Estimation Model of Rice Aboveground Dry Biomass Based on the Machine Learning and Hyperspectral Characteristic Parameters of the Canopy
Abstract
1. Introduction
2. Materials and Methods
2.1. Study Site
2.2. Experimental Design
2.3. Measurement Methods
2.3.1. Canopy Spectral Reflectance Measurement
2.3.2. Plant Sampling and Measurements
2.4. Data Analysis
2.4.1. Data Preprocessing of Hyperspectral Data
2.4.2. Extraction of HCPs
2.4.3. Sample Division
2.5. The Construction Methods of an ADB Model
2.5.1. Variable Screening
2.5.2. Regression Methods
- (1)
- Traditional linear methods
- (2)
- Machine learning methods
2.6. The Evaluation of the Hyperspectral Model
3. Results and Analysis
3.1. Variations in Rice ADB
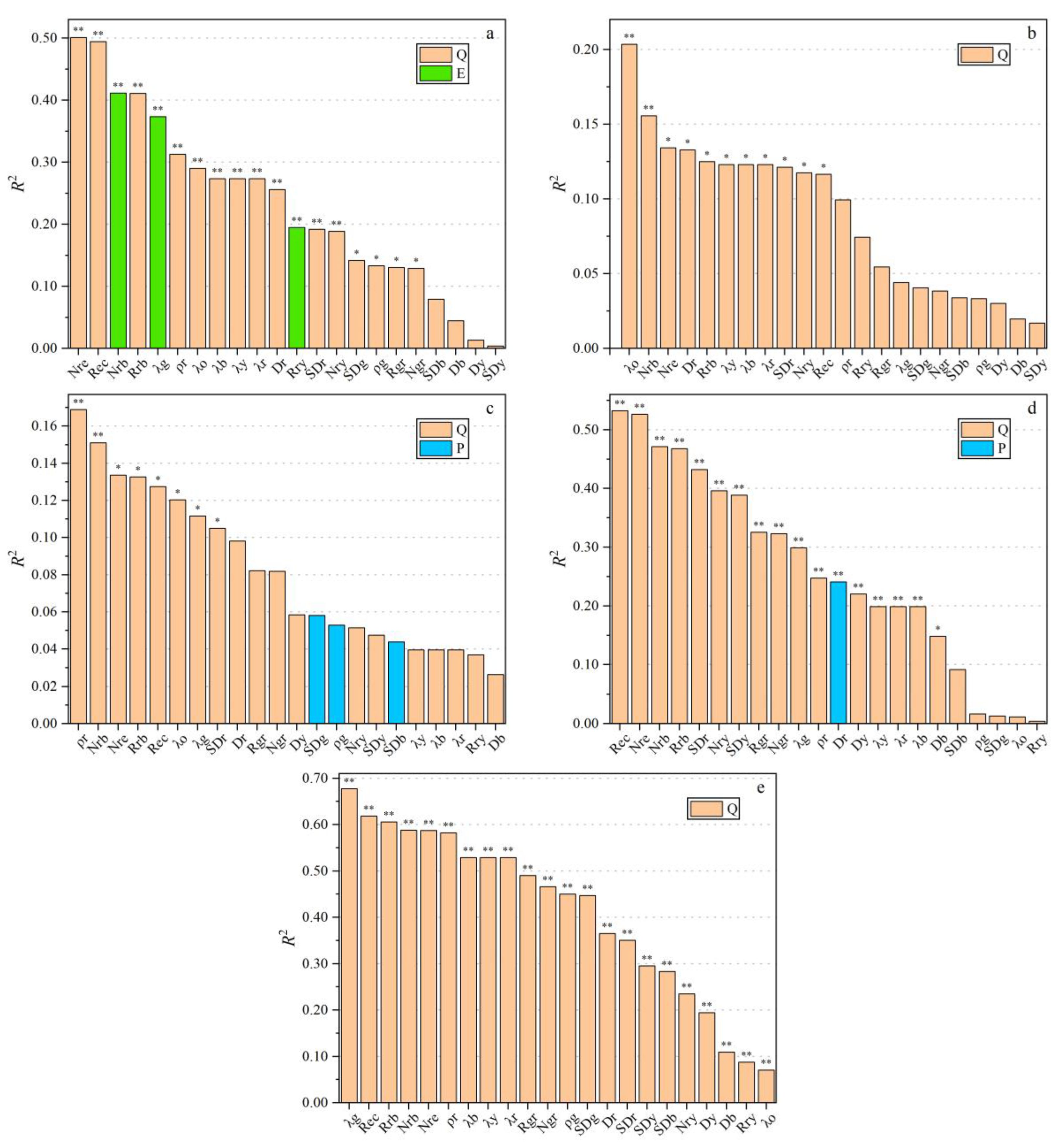
3.2. The Relationship between HCPs and ADB
3.3. Screening of HCPs
3.3.1. Variable Screening Based on the RC
3.3.2. Variable Screening Based on vip
3.3.3. Variable Screening Based on SR
3.3.4. Variable Screening Based on RF
3.4. Construction and Application of the ADB Model Based on Parameters
3.4.1. The Performance Evaluation Results of the ADB Model on the Training Set
3.4.2. The Performance Evaluation Results of the ADB Model on the Test Set
3.4.3. The Determination of the Appropriate Model Based on HCPs
4. Discussion
4.1. Relationship between Hyperspectral Characteristic Parameters and ADB
4.2. HCP Screening for ADB Estimation
4.3. Evaluation of the ADB Estimation Model
5. Conclusions
- (1)
- At each growth stage, the hyperspectral characteristic parameters that were significantly related to ADB contained elements in the red edge region, including SDr, Rrb, and Nrb.
- (2)
- The Rrb and Nrb appeared frequently in the variable screening results, indicating that they played an important role in the estimation of rice ADB.
- (3)
- The RF modeling method based on vip screening variables was found to be the best modeling method for estimating ADB in rice. The independent variables of the RF-vip model involved Nrb at each growth stage.
Author Contributions
Funding
Data Availability Statement
Conflicts of Interest
References
- McCough, S.R.; Doerge, R.W. QTL mapping in rice. Trends Genet. 1995, 11, 482–487. [Google Scholar] [CrossRef] [PubMed]
- Du, M.; Noguchi, N. Monitoring of Wheat Growth Status and Mapping of Wheat Yield’s within-Field Spatial Variations Using Color Images Acquired from UAV-Camera System. Remote Sens. 2017, 9, 289. [Google Scholar] [CrossRef]
- Yang, W.; Peng, S.; Laza, R.C.; Visperas, R.M.; Dionisio Sese, M.L. Yield Gap Analysis between Dry and Wet Season Rice Crop Grown under High-Yielding Management Conditions. Agron. J. 2008, 100, 1390–1395. [Google Scholar] [CrossRef]
- Dhillon, M.S.; Dahms, T.; Kuebert-Flock, C.; Borg, E.; Conrad, C.; Ullmann, T. Modelling Crop Biomass from Synthetic Remote Sensing Time Series: Example for the DEMMIN Test Site, Germany. Remote Sens. 2020, 12, 1819. [Google Scholar] [CrossRef]
- Boschetti, M.; Bocchi, S.; Brivio, P.A. Assessment of pasture production in the Italian Alps using spectrometric and remote sensing information. Agric. Ecosyst. Environ. 2007, 118, 267–272. [Google Scholar] [CrossRef]
- Kim, M.; Wang, Q.; Li, H. Non-contact sensing based geometric quality assessment of buildings and civil structures: A review. Autom. Constr. 2019, 100, 163–179. [Google Scholar] [CrossRef]
- Chao, Z.; Liu, N.; Zhang, P.; Ying, T.; Song, K. Estimation methods developing with remote sensing information for energy crop biomass: A comparative review. Biomass Bioenergy 2019, 122, 414–425. [Google Scholar] [CrossRef]
- Li, F.; Zhang, H.; Jia, L.; Bareth, G.; Miao, Y.; Chen, X. Estimating winter wheat biomass and nitrogen status using an active crop sensor. Intell. Autom. Soft Comput. 2010, 16, 1221–1230. [Google Scholar]
- Gnyp, M.L.; Miao, Y.; Yuan, F.; Ustin, S.L.; Yu, K.; Yao, Y.; Huang, S.; Bareth, G. Hyperspectral canopy sensing of paddy rice aboveground biomass at different growth stages. Field Crops Res. 2014, 155, 42–55. [Google Scholar] [CrossRef]
- Gonsamo, A. Normalized sensitivity measures for leaf area index estimation using three-band spectral vegetation indices. Int. J. Remote Sens. 2011, 32, 2069–2080. [Google Scholar] [CrossRef]
- Heiskanen, J.; Rautiainen, M.; Stenberg, P.; Mõttus, M.; Vesanto, V. Sensitivity of narrowband vegetation indices to boreal forest LAI, reflectance seasonality and species composition. ISPRS J. Photogramm. Remote Sens. 2013, 78, 1–14. [Google Scholar] [CrossRef]
- Pu, R.; Gong, P. Hyperspectral Remote Sensing and Its Applications; Beijing Higher Education Press: Beijing, China, 2000. [Google Scholar]
- Verrelst, J.; Malenovský, Z.; Van der Tol, C.; Camps-Valls, G.; Gastellu-Etchegorry, J.; Lewis, P.; North, P.; Moreno, J. Quantifying Vegetation Biophysical Variables from Imaging Spectroscopy Data: A Review on Retrieval Methods. Surv. Geophys. 2019, 40, 589–629. [Google Scholar] [CrossRef] [PubMed]
- Gong, P.; Pu, R.; Heald, R.C. Analysis of in situ hyperspectral data for nutrient estimation of giant sequoia. Int. J. Remote Sens. 2002, 23, 1827–1850. [Google Scholar] [CrossRef]
- Gates, D.M.; Keegan, H.J.; Schleter, J.C.; Weidner, V.R. Spectral Properties of Plants. Appl. Opt. 1965, 4, 11–20. [Google Scholar] [CrossRef]
- Li, L.; Ren, T.; Ma, Y.; Wei, Q.; Wang, S.; Li, X.; Cong, R.; Liu, S.; Lu, J. Evaluating chlorophyll density in winter oilseed rape (Brassica napus L.) using canopy hyperspectral red-edge parameters. Comput. Electron. Agric. 2016, 126, 21–31. [Google Scholar] [CrossRef]
- Ta, N.; Chang, Q.; Zhang, Y. Estimation of Apple Tree Leaf Chlorophyll Content Based on Machine Learning Methods. Remote Sens. 2021, 13, 3902. [Google Scholar] [CrossRef]
- Pu, R.; Gong, P.; Biging, G.S.; Larrieu, M.R. Extraction of red edge optical parameters from Hyperion data for estimation of forest leaf area index. IEEE Trans. Geosci. Remote Sens. 2003, 41, 916–921. [Google Scholar]
- Feng, W.; Zhu, Y.; Yao, X.; Tian, Y.; Guo, T.; Cao, W. Monitoring nitrogen accumulation in wheat leaf with red edge characteristics parameters. Trans. CSAE 2009, 25, 194–201. [Google Scholar]
- Wang, X.; Huang, J.; Li, Y.; Wang, R. Study on hyperspectral remote sensing estimation models for the ground fresh biomass of rice. Acta Agron. Sin. 2003, 5544, 815–821. [Google Scholar]
- Li, W.; Dou, Z.; Wang, Y.; Wu, G.; Zhang, M.; Lei, Y.; Ping, Y.; Wang, J.; Cui, L.; Ma, W. Estimation of above-ground biomass of reed (Phragmites communis) based on in situ hyperspectral data in Beijing Hanshiqiao Wetland, China. Wetl. Ecol. Manag. 2019, 27, 87–102. [Google Scholar] [CrossRef]
- Salisbury, J.W.; Milton, N.M.; Walsh, P.A. Significance of non-isotropic scattering from vegetation for geobotanical remote sensing. Int. J. Remote Sens. 1987, 8, 997–1009. [Google Scholar] [CrossRef]
- Elvidge, C.D.; Chen, Z. Comparison of broad-band and narrow-band red and near-infrared vegetation indices. Remote Sens. Environ. 1995, 54, 38–48. [Google Scholar] [CrossRef]
- Zarco-Tejada, P.J.; Miller, J.R.; Noland, T.L.; Mohammed, G.H.; Sampson, P.H. Scaling-up and model inversion methods with narrowband optical indices for chlorophyll content estimation in closed forest canopies with hyperspectral data. IEEE Trans. Geosci. Remote Sens. 2001, 39, 1491–1507. [Google Scholar] [CrossRef]
- Chen, J.; Li, F.; Wang, R.; Fan, Y.; Raza, M.A.; Liu, Q.; Wang, Z.; Cheng, Y.; Wu, X.; Yang, F.; et al. Estimation of nitrogen and carbon content from soybean leaf reflectance spectra using wavelet analysis under shade stress. Comput. Electron. Agric. 2019, 156, 482–489. [Google Scholar] [CrossRef]
- Lu, D.; Chen, Q.; Wang, G.; Liu, L.; Li, G.; Moran, E. A survey of remote sensing-based aboveground biomass estimation methods in forest ecosystems. Int. J. Digit. Earth 2016, 9, 63–105. [Google Scholar] [CrossRef]
- Chen, P.; Haboudane, D.; Tremblay, N.; Wang, J.; Vigneault, P.; Li, B. New spectral indicator assessing the efficiency of crop nitrogen treatment in corn and wheat. Remote Sens. Environ. 2010, 114, 1987–1997. [Google Scholar] [CrossRef]
- Jayathunga, S.; Owari, T.; Tsuyuki, S. Digital Aerial Photogrammetry for Uneven-Aged Forest Management: Assessing the Potential to Reconstruct Canopy Structure and Estimate Living Biomass. Remote Sens. 2019, 11, 338. [Google Scholar] [CrossRef]
- Zhu, W.; Sun, Z.; Peng, J.; Huang, Y.; Li, J.; Zhang, J.; Yang, B.; Liao, X. Estimating Maize Above-Ground Biomass Using 3D Point Clouds of Multi-Source Unmanned Aerial Vehicle Data at Multi-Spatial Scales. Remote Sens. 2019, 11, 2678. [Google Scholar] [CrossRef]
- Ray-Mukherjee, J.; Nimon, K.; Mukherjee, S.; Morris, D.W.; Slotow, R.; Hamer, M. Using commonality analysis in multiple regressions: A tool to decompose regression effects in the face of multicollinearity. Methods Ecol. Evol. 2014, 5, 320–328. [Google Scholar] [CrossRef]
- Sun, J.; Zhou, X.; Hu, Y.; Wu, X.; Zhang, X.; Wang, P. Visualizing distribution of moisture content in tea leaves using optimization algorithms and NIR hyperspectral imaging. Comput. Electron. Agric. 2019, 160, 153–159. [Google Scholar] [CrossRef]
- Wold, S.; Sjöström, M.; Eriksson, L. PLS-regression: A basic tool of chemometrics. Chemom. Intell. Lab. Syst. 2001, 58, 109–130. [Google Scholar] [CrossRef]
- Wang, G.; Wang, W.; Fang, Q.; Jiang, H.; Xin, Q.; Xue, B. The Application of Discrete Wavelet Transform with Improved Partial Least-Squares Method for the Estimation of Soil Properties with Visible and Near-Infrared Spectral Data. Remote Sens. 2018, 10, 867. [Google Scholar] [CrossRef]
- Hansen, P.M.; Schjoerring, J.K. Reflectance measurement of canopy biomass and nitrogen status in wheat crops using normalized difference vegetation indices and partial least squares regression. Remote Sens. Environ. 2003, 86, 542–553. [Google Scholar] [CrossRef]
- Ryu, C.; Suguri, M.; Umeda, M. Multivariate analysis of nitrogen content for rice at the heading stage using reflectance of airborne hyperspectral remote sensing. Field Crops Res. 2011, 122, 214–224. [Google Scholar] [CrossRef]
- Yang, H.; Li, F.; Wang, W.; Yu, K. Estimating Above-Ground Biomass of Potato Using Random Forest and Optimized Hyperspectral Indices. Remote Sens. 2021, 13, 2339. [Google Scholar] [CrossRef]
- Breunig, F.M.; Galvão, L.S.; Dalagnol, R.; Dauve, C.E.; Parraga, A.; Santi, A.L.; Della Flora, D.P.; Chen, S. Delineation of management zones in agricultural fields using cover–crop biomass estimates from PlanetScope data. Int. J. Appl. Earth Obs. Geoinf. 2020, 85, 102004. [Google Scholar] [CrossRef]
- Zeng, N.; Ren, X.; He, H.; Zhang, L.; Li, P.; Niu, Z. Estimating the grassland aboveground biomass in the Three-River Headwater Region of China using machine learning and Bayesian model averaging. Environ. Res. Lett. 2021, 16, 114020. [Google Scholar] [CrossRef]
- Ali, I.; Greifeneder, F.; Stamenkovic, J.; Neumann, M.; Notarnicola, C. Review of Machine Learning Approaches for Biomass and Soil Moisture Retrievals from Remote Sensing Data. Remote Sens. 2015, 7, 16398–16421. [Google Scholar] [CrossRef]
- Yue, J.; Feng, H.; Yang, G.; Li, Z. A Comparison of Regression Techniques for Estimation of Above-Ground Winter Wheat Biomass Using Near-Surface Spectroscopy. Remote Sens. 2018, 10, 66. [Google Scholar] [CrossRef]
- Dong, Y.; Cai, B.; Wang, F.; Zhang, Y.; Wang, X.; Wang, F.; Xie, J. Estimation of Fresh Biomass of Rice Based on Optimum Vegetation Index. Bull. Sci. Technol. 2019, 35, 58–65. [Google Scholar]
- Fitzgerald, G.; Rodriguez, D.; Leary, G.O. Measuring and predicting canopy nitrogen nutrition in wheat using a spectral index—The canopy chlorophyll content index (CCCI). Field Crops Res. 2010, 116, 318–324. [Google Scholar] [CrossRef]
- Li, F.; Miao, Y.; Feng, G.; Yuan, F.; Yue, S.; Gao, X.; Liu, Y.; Liu, B.; Ustin, S.L.; Chen, X. Improving estimation of summer maize nitrogen status with red edge-based spectral vegetation indices. Field Crops Res. 2014, 157, 111–123. [Google Scholar] [CrossRef]
- Ong, P.; Chen, S.; Tsai, C.; Chuang, Y. Prediction of tea theanine content using near-infrared spectroscopy and flower pollination algorithm. Spectrochim. Acta Part A Mol. Biomol. Spectrosc. 2021, 255, 119657. [Google Scholar] [CrossRef] [PubMed]
- Chong, I.; Jun, C. Performance of some variable selection methods when multicollinearity is present. Chemom. Intell. Lab. Syst. 2005, 78, 103–112. [Google Scholar] [CrossRef]
- Jin, J.; Wang, Q. Selection of Informative Spectral Bands for PLS Models to Estimate Foliar Chlorophyll Content Using Hyperspectral Reflectance. IEEE Trans. Geosci. Remote Sens. 2019, 57, 3064–3072. [Google Scholar] [CrossRef]
- Gao, Y.; Lu, D.; Li, G.; Wang, G.; Chen, Q.; Liu, L.; Li, D. Comparative Analysis of Modeling Algorithms for Forest Aboveground Biomass Estimation in a Subtropical Region. Remote Sens. 2018, 10, 627. [Google Scholar] [CrossRef]
- Haaland, D.M.; Thomas, E.V. Partial least-squares methods for spectral analyses. 1. Relation to other quantitative calibration methods and the extraction of qualitative information. Anal. Chem. 1988, 60, 1193–1202. [Google Scholar] [CrossRef]
- Breiman, L. Random Forests. Mach. Learn. 2001, 45, 5–32. [Google Scholar] [CrossRef]
- Breiman, L. Out-of-Bag Estimation; University of California: Berkeley, CA, USA, 1996. [Google Scholar]
- Cortes, C.; Vapnik, V. Support-vector networks. Mach. Learn. 1995, 20, 273–297. [Google Scholar] [CrossRef]
- Chang, C.; Lin, C. LIBSVM: A library for support vector machines. ACM Trans. Intell. Syst. Technol. 2011, 2, 21–27. [Google Scholar] [CrossRef]
- Werbos, P. Beyond Regression: New Tools for Prediction and Analysis in the Behavioral Sciences. Ph.D. Thesis, Harvard University, Cambridge, MA, USA, 1974. [Google Scholar]
- Esteban, L.G.; Fernández, F.G.; de Palacios, P. MOE prediction in Abies pinsapo Boiss. timber: Application of an artificial neural network using non-destructive testing. Comput. Struct. 2009, 87, 1360–1365. [Google Scholar] [CrossRef]
- Huang, G.; Zhu, Q.; Siew, C. Extreme learning machine: Theory and applications. Neurocomputing 2006, 70, 489–501. [Google Scholar] [CrossRef]
- Pham, T.D.; Yoshino, K.; Bui, D.T. Biomass estimation of Sonneratia caseolaris (L.) Engler at a coastal area of Hai Phong city (Vietnam) using ALOS-2 PALSAR imagery and GIS-based multi-layer perceptron neural networks. GISci. Remote Sens. 2017, 54, 329–353. [Google Scholar] [CrossRef]
- Horler, D.N.H.; Dockray, M.; Barber, J. The red edge of plant leaf reflectance. Int. J. Remote Sens. 1983, 4, 273–288. [Google Scholar] [CrossRef]
- Filella, I.; Peñuelas, J. The red edge position and shape as indicators of plant chlorophyll content, biomass and hydric status. Int. J. Remote Sens. 1994, 15, 1459–1470. [Google Scholar] [CrossRef]
- Bannari, A.; Morin, D.; Bonn, F.; Huete, A.R. A review of vegetation indices. Remote Sens. Rev. 1995, 13, 95–120. [Google Scholar] [CrossRef]
- Pôças, I.; Calera, A.; Campos, I.; Cunha, M. Remote sensing for estimating and mapping single and basal crop coefficientes: A review on spectral vegetation indices approaches. Agric. Water Manag. 2020, 233, 106081. [Google Scholar] [CrossRef]
- Melendez-Pastor, I.; Navarro-Pedreño, J.; Gómez, I.; Koch, M. Identifying optimal spectral bands to assess soil properties with VNIR radiometry in semi-arid soils. Geoderma 2008, 147, 126–132. [Google Scholar] [CrossRef]
- Schlerf, M.; Atzberger, C.; Hill, J.; Buddenbaum, H.; Werner, W.; Schüler, G. Retrieval of chlorophyll and nitrogen in Norway spruce (Picea abies L. Karst.) using imaging spectroscopy. Int. J. Appl. Earth Obs. Geoinf. 2010, 12, 17–26. [Google Scholar] [CrossRef]
- Gao, J.; Meng, B.; Liang, T.; Feng, Q.; Ge, J.; Yin, J.; Wu, C.; Cui, X.; Hou, M.; Liu, J.; et al. Modeling alpine grassland forage phosphorus based on hyperspectral remote sensing and a multi-factor machine learning algorithm in the east of Tibetan Plateau, China. ISPRS J. Photogramm. Remote Sens. 2019, 147, 104–117. [Google Scholar] [CrossRef]
- Sun, H.; Feng, M.; Xiao, L.; Yang, W.; Ding, G.; Wang, C.; Jia, X.; Wu, G.; Zhang, S. Potential of Multivariate Statistical Technique Based on the Effective Spectra Bands to Estimate the Plant Water Content of Wheat under Different Irrigation Regimes. Front. Plant Sci. 2021, 12, 631573. [Google Scholar] [CrossRef] [PubMed]
- Ma, W.; Tan, K.; Du, P. Predicting soil heavy metal based on Random Forest model. In Proceedings of the 2016 IEEE International Geoscience and Remote Sensing Symposium (IGARSS), Beijing, China, 10–15 July 2016; IEEE: Piscataway, NJ, USA, 2016. [Google Scholar]









| HCP Identifier | HCP Symbol | Name | Definition |
|---|---|---|---|
| 1 | Db | Blue edge amplitude | Maximum value of the first-derivative spectral reflectance in blue edge (490~530 nm) |
| 2 | λb | Blue edge position | Corresponding wavelength of the maximum value of the first-derivative spectral reflectance in the blue edge (490~530 nm) |
| 3 | SDb | Blue edge area | Sum of first-derivative spectral reflectance in blue edge (490~530 nm) |
| 4 | Dy | Yellow edge amplitude | Maximum value of first-derivative spectral reflectance in the yellow edge (560~640 nm) |
| 5 | λy | Yellow edge position | Corresponding wavelength of the maximum value of the first-derivative spectral reflectance in the yellow edge (560~640 nm) |
| 6 | SDy | Yellow edge area | Sum of first differential spectra in the yellow edge (560~640 nm) |
| 7 | Dr | Red edge amplitude | Maximum value of the first-derivative spectral reflectance in the red edge (680~760 nm) |
| 8 | λr | Red edge position | Corresponding wavelength of the maximum value of the first-derivative spectral reflectance in the red edge (680~760 nm) |
| 9 | SDr | Red edge area | Sum of first-derivative spectral reflectance in red edge (680~760 nm) |
| 10 | ρg | Green peak reflectance | Maximum raw spectral reflectance within the green peak (510~560 nm) |
| 11 | λg | Green peak position | Wavelength corresponding to the maximum raw spectral reflectance in the green peak (510~560 nm) |
| 12 | SDg | Green peak area | Sum of the raw spectral reflectance in the green peak (510~560 nm) |
| 13 | ρr | Red valley reflectance | Minimum raw spectral reflectance in red valley (650~690 nm) |
| 14 | λo | Red valley position | Wavelength corresponding to minimum raw spectral reflectance in red valley (650~690 nm) |
| 15 | Rrb | SDr/SDb | Ratio of red edge area to blue edge area |
| 16 | Rry | SDr/SDy | Ratio of red edge area to yellow edge area |
| 17 | Nrb | (SDr − SDb)/(SDr + SDb) | Normalized value of red edge area and blue edge area |
| 18 | Nry | (SDr − Sdy)/(SDr + Sdy) | Normalized value of red edge area and yellow edge area |
| 19 | Rgr | ρg/ρr | Ratio of green peak reflectance to red valley reflectance |
| 20 | Ngr | (ρg − ρr)/(ρg + ρr) | Normalized value of green peak reflectance and red valley reflectance |
| Stage | Data Set | n | Min | Max | Mean | SD | CV |
|---|---|---|---|---|---|---|---|
| JS | All | 90 | 1.63 | 5.85 | 3.20 | 1.00 | 31.25 |
| Train | 60 | 1.63 | 5.85 | 3.21 | 1.01 | 31.48 | |
| Test | 30 | 1.72 | 5.43 | 3.20 | 1.00 | 31.33 | |
| BS | All | 90 | 4.41 | 9.00 | 6.66 | 0.95 | 14.28 |
| Train | 60 | 4.41 | 9.00 | 6.67 | 0.95 | 14.30 | |
| Test | 30 | 4.68 | 8.92 | 6.66 | 0.97 | 14.49 | |
| HS | All | 90 | 6.56 | 12.41 | 9.06 | 1.35 | 14.85 |
| Train | 60 | 6.56 | 12.41 | 9.06 | 1.34 | 14.78 | |
| Test | 30 | 6.69 | 12.31 | 9.07 | 1.38 | 15.26 | |
| MS | All | 90 | 9.91 | 24.07 | 15.77 | 2.56 | 16.23 |
| Train | 60 | 9.91 | 24.07 | 15.77 | 2.61 | 16.57 | |
| Test | 30 | 11.28 | 21.47 | 15.78 | 2.50 | 15.82 | |
| AS | All | 360 | 1.63 | 24.07 | 8.68 | 4.87 | 56.16 |
| Train | 240 | 1.63 | 24.07 | 8.68 | 4.88 | 56.24 | |
| Test | 120 | 1.72 | 21.47 | 8.67 | 4.88 | 56.22 |
| Growth Stage | Number of Variables | Variable Names |
|---|---|---|
| JS | 20 | SDr Dr Rrb ρr Dy ρg Nrb Rry SDy SDg Db Nry λg SDb Rgr λo λb λy λr Ngr |
| BS | 11 | ρg Db SDg ρr Nry Nrb SDr Dr Dy Rrb λo |
| HS | 17 | SDy ρg Dy SDg SDr Dr Db Ngr Nry Rry Rgr Nrb Rrb ρr λg λo λr |
| MS | 15 | Rrb Nrb Nry SDr λo Dr λb λy λr Db λg SDb ρr Rgr Rry |
| AS | 20 | SDg ρg Db SDb SDr Dr SDy Ngr ρr Rrb Rgr Dy λg Nrb Nry λo λb λy λr Rry |
| Growth Stage | Number of Variables | Variable Names |
|---|---|---|
| JS | 8 | Rrb Nrb λg Dr SDr ρr Dy λo |
| BS | 4 | λo λg Nrb Nry |
| HS | 9 | Rry ρr Nrb Rgr Dy Ngr λo Rrb SDy |
| MS | 7 | Rrb Nrb SDr Nry SDy Ngr Rgr |
| AS | 9 | λg Rrb Nrb ρr SDg λb λy λr ρg |
| Growth Stage | Number of Variables | Variable Names |
|---|---|---|
| JS | 5 | Dy SDy ρr Rrb Rry |
| BS | 1 | λo |
| HS | 1 | ρr |
| MS | 2 | SDb Rrb |
| AS | 10 | Db SDb Dr SDr ρg λg SDg Rrb Rgr (ρg − ρr)/(ρg + ρr) |
| Growth Stage | Number of Variables | Variable Names |
|---|---|---|
| JS | 17 | Rrb Nrb ρr Dr λg ρg SDr SDb Ngr SDg Rgr Dy Db Rry λo Nry λr |
| BS | 19 | Rry Nrb Rrb Dy Nry SDy Dr SDb Db ρr Ngr SDr ρg λo Rgr SDg λg λr λb |
| HS | 16 | ρr Rrb Nrb Ngr Nry Rgr SDy Db Rry SDb ρg Dy SDr Dr SDg λo |
| MS | 18 | Rrb Nrb SDr SDy Nry ρr λg Rgr Dr Ngr ρg Dy λo SDg Rry SDb Db λr |
| AS | 15 | Nrb Rrb λg ρr Rgr Ngr λo Dy SDy Nry ρg SDg λy λb SDr |
Disclaimer/Publisher’s Note: The statements, opinions and data contained in all publications are solely those of the individual author(s) and contributor(s) and not of MDPI and/or the editor(s). MDPI and/or the editor(s) disclaim responsibility for any injury to people or property resulting from any ideas, methods, instructions or products referred to in the content. |
© 2023 by the authors. Licensee MDPI, Basel, Switzerland. This article is an open access article distributed under the terms and conditions of the Creative Commons Attribution (CC BY) license (https://creativecommons.org/licenses/by/4.0/).
Share and Cite
Wang, X.; Xu, G.; Feng, Y.; Peng, J.; Gao, Y.; Li, J.; Han, Z.; Luo, Q.; Ren, H.; You, X.; et al. Estimation Model of Rice Aboveground Dry Biomass Based on the Machine Learning and Hyperspectral Characteristic Parameters of the Canopy. Agronomy 2023, 13, 1940. https://doi.org/10.3390/agronomy13071940
Wang X, Xu G, Feng Y, Peng J, Gao Y, Li J, Han Z, Luo Q, Ren H, You X, et al. Estimation Model of Rice Aboveground Dry Biomass Based on the Machine Learning and Hyperspectral Characteristic Parameters of the Canopy. Agronomy. 2023; 13(7):1940. https://doi.org/10.3390/agronomy13071940
Chicago/Turabian StyleWang, Xiaoke, Guiling Xu, Yuehua Feng, Jinfeng Peng, Yuqi Gao, Jie Li, Zhili Han, Qiangxin Luo, Hongjun Ren, Xiaoxuan You, and et al. 2023. "Estimation Model of Rice Aboveground Dry Biomass Based on the Machine Learning and Hyperspectral Characteristic Parameters of the Canopy" Agronomy 13, no. 7: 1940. https://doi.org/10.3390/agronomy13071940
APA StyleWang, X., Xu, G., Feng, Y., Peng, J., Gao, Y., Li, J., Han, Z., Luo, Q., Ren, H., You, X., & Lu, W. (2023). Estimation Model of Rice Aboveground Dry Biomass Based on the Machine Learning and Hyperspectral Characteristic Parameters of the Canopy. Agronomy, 13(7), 1940. https://doi.org/10.3390/agronomy13071940
