Effect of Bioreactor Cultures on the Proliferation and Biological Activity of Protocorm-like Bodies of Dendrobium loddigesii
Abstract
1. Introduction
2. Materials and Methods
2.1. Induction and Propagation of D. loddigesii PLBs
2.2. PLB Proliferation
2.3. PBL Growth Curve Analysis
2.4. Influence of Inoculation Quantities on PLB Growth
2.5. Extraction and Analysis of Alkaloids
2.6. Total Flavonoid Content Assessment
2.7. 1,1-Diphenyl-2-picrylhydrazyl (DPPH) Radical Scavenging Capacity
2.8. Reducing Power Assay
2.9. Anti-Helicobacter Pylori Assay
2.10. MTT Assay
2.11. Reverse-Transcription Polymerase Chain Reaction (RT-PCR)
2.12. Statistical Analysis Method
3. Results and Discussion
3.1. Effect of Culture Methods on PLB Proliferation
3.2. Growth Curve Study of PLB Proliferation in a Bioreactor
3.3. Influence of Inoculation Quantities on PLB Proliferation in a Bioreactor
3.4. Alkaloid Content in PLBs
3.5. Antioxidant Properties of PLBs
3.6. Anti-Helicobacter Pylori Activity
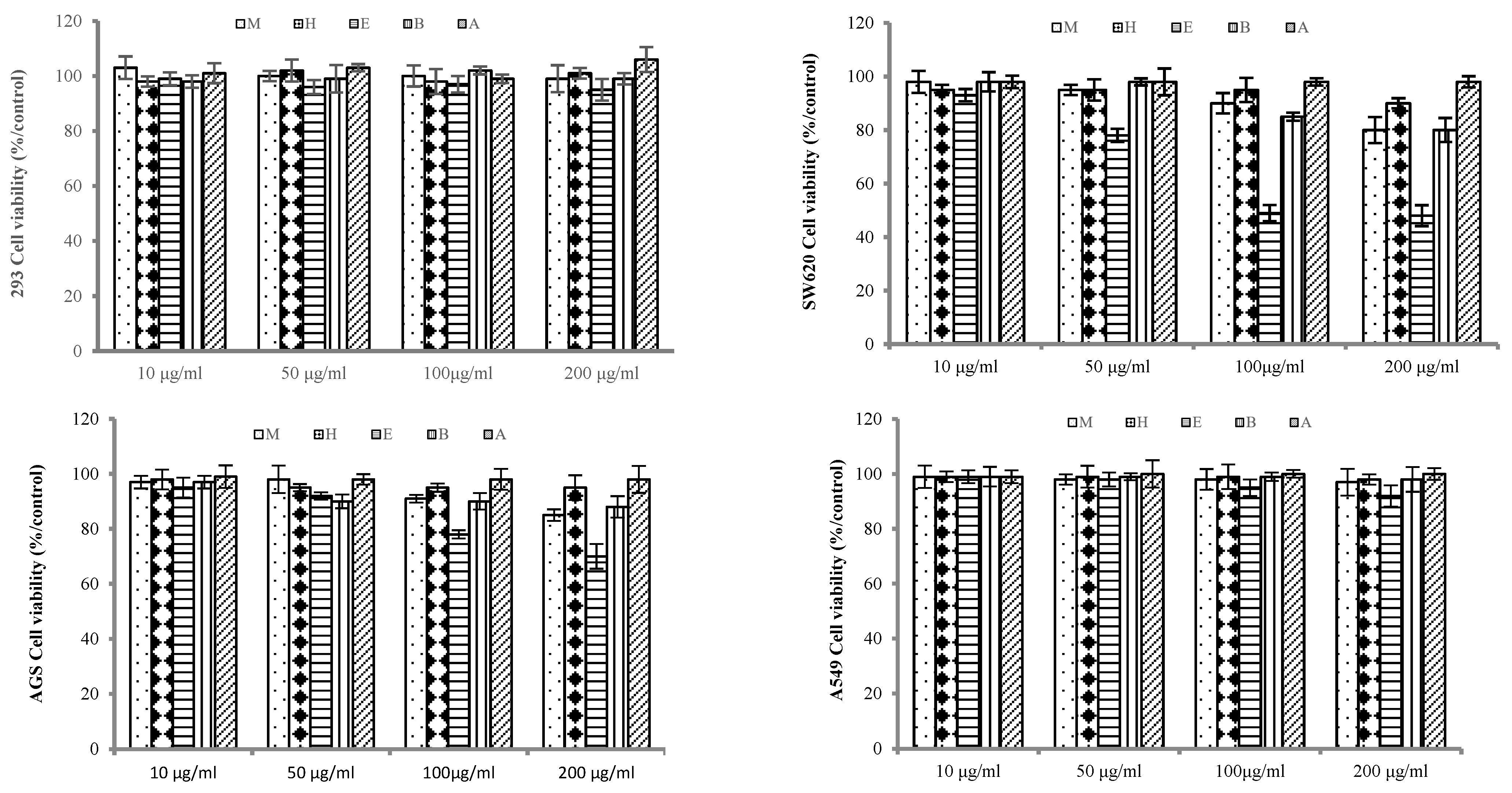
3.7. Antiproliferative Activity
4. Conclusions
Author Contributions
Funding
Data Availability Statement
Acknowledgments
Conflicts of Interest
References
- Editorial Committee of Flora Republicae Popularis Sinicae; Academic Press: Beijing, China, 1999.
- National Pharmacopoeia Committee. Pharmacopoeia of the People’s Republic of China. Part 1; China Medical Science Press: Beijing, China, 2015. [Google Scholar]
- Xu, J.; Han, Q.B.; Li, S.L.; Chen, X.J.; Wang, X.N.; Zhao, Z.Z.; Chen, H.B. Chemistry, bioactivity and uality control of Dendrobium, a commonly used tonic herb in traditional Chinese medicine. Phytochem. Rev. 2013, 12, 341–367. [Google Scholar] [CrossRef]
- Mehbub, H.; Akter, A.; Akter, M.A.; Mandal, M.S.H.; Hoque, M.A.; Tuleja, M.; Mehraj, H. Tissue culture in ornamentals: Cultivation factors, propagation techniques, and its application. Plants 2022, 11, 3208. [Google Scholar] [CrossRef] [PubMed]
- Lee, Y.I.; Hsu, S.T.; Yeung, E.C. Orchid protocorm-like bodies are somatic embryos. Am. J. Bot. 2013, 100, 2121–2131. [Google Scholar] [CrossRef] [PubMed]
- Mujib, A.; Ilah, A.; Aslam, J.; Fatima, S.; Siddiqui, Z.H.; Maqsood, M. Catharanthus roseus alkaloids: Application of biotechnology for improving yield. Plant Growth Regul. 2012, 68, 111–127. [Google Scholar] [CrossRef]
- Ekmekcigil, M.; Bayraktar, M.; Akkus, O.; Gurel, A. High-frequency protocorm like bodies and shoot regeneration through a combination of thin cell layer and RITA® temporary immersion bioreactor in Cattleya forbesii lindl. Plant Cell Tissue Organ Cult. 2019, 136, 451–464. [Google Scholar] [CrossRef]
- Quiala, E.; Barbón, R.; Capote, A.; Pérez, N.; Jiménez, E. In vitro mass propagation of cymbopogon citratus stapf., a medicinal gramineae. Methods Mol. Biol. 2016, 1391, 445–457. [Google Scholar]
- Ebadi, M.; Iranbakhsh, A.; Khaniki, G.B. Shoot micropropagation and microtuberization in potato (Solanum tuberosum L.) by the semi-continuous bioreactor. Pak. J. Biol. Sci. 2007, 10, 861–867. [Google Scholar] [CrossRef]
- Debnath, S.C. Developing a scale-up system for the in vitro multiplication of thidiazuron-induced strawberry shoots using a bioreactor. Can. J. Plant Sci. 2008, 88, 737–746. [Google Scholar] [CrossRef]
- Jiangseubchatveera, N.; Liawruangrat, S.; Teerawutgulrag, A.; Santiarworn, D.; Pyne, S.G.; Liawruangrath, B. Phytochemical screening, phenolic and flavonoid contents, antioxidant and cytotoxic activities of Graptophyllum pictum (L.) Griff. Fac. Sci. Med. Health Pap. Part A 2017, 44, 193–202. [Google Scholar]
- Lobo, V.; Patil, A.; Phatak, A.; Chandra, N. Free radicals, antioxidants and functional foods: Impact on human health. Pharmacogn. Rev. 2010, 4, 118–126. [Google Scholar] [CrossRef]
- Halliwell, B. How to characterize an antioxidant—An update. Biochem. Soc. Symp. 1995, 61, 73–101. [Google Scholar] [PubMed]
- Yu, R.; Mandlekar, S.; Kong, A.N.T. Molecular mechanism of butylated hydroxylanisole-induced toxicity: Induction of apoptosis through direct release of cytochrome c. Mol. Pharmacol. 2000, 58, 431–437. [Google Scholar] [CrossRef] [PubMed]
- Ra, J.H.; Nakamura, M.; Herath, K.H.I.N.M.; Kim, I.S. Antioxidant and hepatoprotective effects of different ethanol concentrations in extraction from leaves of Sasa quelpaertensis Nakai. S. Afr. J. Bot. 2017, 112, 376–382. [Google Scholar] [CrossRef]
- Madhusudan, S.; Middleton, M.R. The emerging role of DNA repair proteins and predictive, prognostic and therapeutic target in cancer. Cancer Treat. Rev. 2005, 31, 603–617. [Google Scholar] [CrossRef]
- Minarni, M.; Julistiono, H.; Bermawie, M.; Riyanti, E.I.; Hasan, A.E.Z. Anticancer activity test of ethyl acetate extract od endophytic fungi isolated from soursop leaf (Annona muricata L.). Asian Pac. J. Trop. Med. 2017, 10, 566–571. [Google Scholar] [CrossRef]
- Torre, L.A.; Bray, F.; Siegel, R.L.; Ferlay, J.; Lortet-Tieulent, J.; Jemal, A. Global cancer statistics. CA Cancer J. Clin. 2015, 65, 87–108. [Google Scholar] [CrossRef]
- Tamas, K.; Walenkamp, A.M.; Hospers, G.A. Rectal and colon cancer: Not just a different anatomic site. Cancer Treat. Rev. 2015, 41, 671–679. [Google Scholar] [CrossRef]
- Desai, A.G.; Qazi, G.N.; Ganju, R.K.; Tamer, M.E.; Singh, J. Medicinal plants and cancer chemoprevention. Curr. Drug Metab. 2008, 9, 581–591. [Google Scholar] [CrossRef]
- Han, Y.H.; Lee, K.D.; Lee, D.U. Anti-Helicobacter pylori activity and structure-activity relationships of berberine derivatives. Bull. Korean Chem. Soc. 2009, 30, 3147. [Google Scholar] [CrossRef]
- Wang, Z.J.; Jiang, W.M.; Liu, Y.Y.; Meng, X.X.; Peng, D.Y. Putative genes in alkaloid biosynthesis identified in Dendrobium officinale by correlating the contents of major bioactive metabolites with genes expression between Protocorm-like bodies and leaves. BMC Genom. 2021, 22, 579. [Google Scholar] [CrossRef]
- Singleton, V.L.; Roosi, J.A. Colorimetry of total phenoilcs with phosphomolypdic-phosphotungstic acid reagents. Am. J. Enol. Viticult. 1965, 16, 144–158. [Google Scholar] [CrossRef]
- Li, C.H.; Qiu, J.; Ding, L.; Huang, M.Z.; Huang, S.R.; Yang, G.S. Anthocyanin biosynthesis regulation of DhMYB2 and DhbHLH1 in Dendrobium hybrids petals. Plant Physiol. Biochem. 2017, 112, 335–345. [Google Scholar] [CrossRef] [PubMed]
- Tao, Y.; Cai, H.; Li, W.D.; Cai, B.C. Ultrafiltration coupled with high-performance liquid chromatography and quadrupole-time-of-flight mass spectrometry for screening lipase binders from different extracts of Dendrobium officinale. Anal. Bioanal. Chem. 2015, 407, 6081–6093. [Google Scholar] [CrossRef] [PubMed]
- Park, D.S.; Shin, K.H.; Choi, Y.J.; Kim, J.B.; Kim, Y.B. Antimicrobial activities of ethanol and butanol fractions of white rose petal extract. Regul. Toxicol. Pharmacol. 2016, 76, 57–62. [Google Scholar] [CrossRef]
- Yuan, Y.D.; Zhang, J.C.; Liu, X.; Meng, M.J.; Wang, J.P.; Lin, J. Tissue-specific transcriptome for Dendrobium officinale reveals genes involved in flavonoid biosynthesis. Genomics 2019, 112, 1781–1794. [Google Scholar] [CrossRef]
- Mujib, A.; Muzamil, A.; Isah, T. Somatic embryo mediated mass production of Catharanthus roseus in culture vessel (bioreactor)—A comparative study. Saudi J. Biol. Sci. 2014, 21, 442–449. [Google Scholar] [CrossRef]
- Blois, M.S. Antioxidant determinations by the use of a stable free radical. J. Nat. 1958, 181, 1199–1200. [Google Scholar] [CrossRef]
- Oyaizu, M. Studies on products of browning reactions: Antioxidative activities of products of browning reaction prepared from glucosamine. J. Nutr. 1986, 44, 307–315. [Google Scholar]
- Sivakumar, G.; Kim, S.J.; Hahn, E.J.; Paek, K.Y. Optimizing environmental factors for large-scale multiplication of chrysanthemum (Chrysanthemum grandiflorum) in balloon-type bioreactor culture. In Vitro Cell. Dev. Biol. Plant 2005, 41, 822–825. [Google Scholar] [CrossRef]
- Kentsop, R.A.D.; Consonni, R.; Alfieri, M.; Laura, M.; Ottolina, G.; Mascheretti, I.; Mattana, M. Linum lewisii adventitious and hairy-roots cultures as lignan plant factories. Antioxidants 2022, 11, 1526. [Google Scholar] [CrossRef]
- Murthy, H.N.; Joseph, K.S.; Paek, K.Y.; Park, S.Y. Bioreactor systems for micropropagation of plants: Present scenario and future prospects. Front. Plant Sci. 2023, 14, 1159588. [Google Scholar] [CrossRef] [PubMed]
- Cui, X.H.; Chakrabarty, D.; Lee, E.J.; Paek, K.Y. Production of adventitious roots and secondary metabolites by Hypericum perforatum L. in a bioreactor. Bioresour. Technol. 2010, 101, 4708–4716. [Google Scholar] [CrossRef] [PubMed]
- Indah, P.; Iman, P.M.; Dadan, S.S. A Review of Fibraurea tinctoria and its component, berberine, as an antidiabetic and antioxidant. Molecules 2023, 28, 1294. [Google Scholar]
- Mou, Z.M.; Zhao, Y.; Ye, F.; Shi, Y.; Kennelly, E.J.; Chen, S.Y.; Zhao, D. Identification, biological activities and biosynthetic pathway of dendrobium alkaloids. Front. Pharmacol. 2021, 12, 605994. [Google Scholar] [CrossRef]
- Oyeyinka, B.O.; Afolayan, A.J. Comparative and correlational evaluation of the phytochemical constituents and antioxidant activity of Musa sinensis L. and Musa paradisiaca L. fruit compartments (Musaceae). Sci. World J. 2020, 2020, 4503824. [Google Scholar] [CrossRef]
- Yang, S.A.; Im, N.K.; Ji, Y.J.; Yoo, D.C.; Hee, K.H.; Lee, I.S. Radical scavenging and inhibition of platelet function by a polyphenol rich fraction from Salvia miltiorrhiza Bunge. Nat. Prod. 2008, 1, 7–13. [Google Scholar] [CrossRef]
- Marshall, B.J.; Warren, J.R. Unidentified curved bacilli on gastric epithelium in active chronic gastritis. Lancet 1983, 321, 1273–1275. [Google Scholar]
- Ke, H.L.; Wang, X.P.; Zhou, Z.; Wang, A.; Wu, Z.Y.; Zhang, Y.W. Effect of weimaining on apoptosis and Caspase-3 expression in a breast cancer mouse model. J. Ethnopharmacol. 2021, 264, 113363. [Google Scholar] [CrossRef] [PubMed]
- Noriko, O.; Nam, H.D.; Emi, K.; Akira, K.; Satoshi, I.; Chikao, M. Aqueous extract of Carica papaya leaves exhibits anti-tumor activity and immunomodulatory effects. J. Ethnopharmacol. 2010, 127, 760–767. [Google Scholar]
- Yamamoto, H.; Ngan, C.Y.; Monden, M. Cancer cells survive with survivin. Cancer Sci. 2008, 99, 1709–1714. [Google Scholar] [CrossRef]
- Habibi, R.M.; Mohammadi, R.A.; Delazar, A.; Halabian, R.; Soleimani, R.J.; Mehdipour, A. Effects of polygonum aviculare herbal extract on proliferation and apoptotic gene expression of MCF-7. DARU J. Pharm. Sci. 2021, 19, 326–331. [Google Scholar]




| Primer | Sequences | |
|---|---|---|
| Survivin | Forward | 5’-GGACCACCGCATCTCTACAT-3′ |
| Reverse | 5’-GCACTTTCTTCGCAGTTTCC-3′ | |
| p53 | Forward | 5’-GCGCACAGAGGAAGAGAATC-3′ |
| Reverse | 5’-GAACTGGACTGTGGCATTGA-3′ | |
| Caspase-3 | Forward | 5’-TGTCGGCATACTCTTTCAGA-3′ |
| Reverse | 5’-GCACTTTCTTCGCAGTTTCC-3′ | |
| Caspase-9 | Forward | 5’-TGGACGACATCTTTGAGCAG-3′ |
| Reverse | 5’-GCAAGATAAGGCAGGGTGAG-3′ | |
| β-actin | Forward | 5’-GGATTCCTATGTGGGCGA-3′ |
| Reverse | 5’-CGCTCGGTGAGGATCTTCATG-3′ |
| Culture Methods | Inoculation Quantities (g/vessel) | Fresh Weight (g/vessel) | Growth Ratio |
|---|---|---|---|
| Solid | 0.5 | 1.9 | 2.8 c |
| Agitated | 0.5 | 3.5 | 5.6 b |
| Bioreactor | 30.0 | 352.1 | 10.7 a |
| Inoculation Quantities (g/vessel) | Fresh Weight (g/vessel) | Dry Weight (g/vessel) | Growth Ratio |
|---|---|---|---|
| 20 30 40 | 185.7 c 360.7 a 327.1 b | 16.9 c 23.3 a 19.1 b | 8.3 c 11.0 a 7.1 b |
| Fraction | DPPH Radical Scavenging Activity IC50 (μg/mL) | Total Flavonoid Contents (mg QE/g) | Total Alkaloid (mg/g) |
|---|---|---|---|
| MeOH | 87.36 ± 0.42 c | 8.72 ± 0.06 b | 0.42 ± 0.25 b |
| Hexane | 121.63 ± 0.07 d | 1.05 ± 0.16 d | ND |
| EtOAc | 48.81 ± 2.34 a | 19.58 ± 1.04 a | 0.86 ± 0.03 a |
| n-BuOH | 75.47 ± 0.73 b | 10.43 ± 0.81 c | 0.53 ± 0.13 c |
| Aqueous | ND | 0.81 ± 0.48 d | ND |
| BHA | 80.81 ± 0.27 |
| Fraction | Minimal Inhibitory Concentration (μg/mL) |
|---|---|
| MeOH | ≥500 |
| Hexane | ND |
| EtOAc | ≥250 |
| n-BuOH | ≥1000 |
| Aqueous | ND |
| * Tetracycline | ≥8 |
Disclaimer/Publisher’s Note: The statements, opinions and data contained in all publications are solely those of the individual author(s) and contributor(s) and not of MDPI and/or the editor(s). MDPI and/or the editor(s) disclaim responsibility for any injury to people or property resulting from any ideas, methods, instructions or products referred to in the content. |
© 2023 by the authors. Licensee MDPI, Basel, Switzerland. This article is an open access article distributed under the terms and conditions of the Creative Commons Attribution (CC BY) license (https://creativecommons.org/licenses/by/4.0/).
Share and Cite
Yang, J.; Kwon, Y.S.; Seong, E.S.; Kim, M.J. Effect of Bioreactor Cultures on the Proliferation and Biological Activity of Protocorm-like Bodies of Dendrobium loddigesii. Agronomy 2023, 13, 1928. https://doi.org/10.3390/agronomy13071928
Yang J, Kwon YS, Seong ES, Kim MJ. Effect of Bioreactor Cultures on the Proliferation and Biological Activity of Protocorm-like Bodies of Dendrobium loddigesii. Agronomy. 2023; 13(7):1928. https://doi.org/10.3390/agronomy13071928
Chicago/Turabian StyleYang, Jinfeng, Yong Soo Kwon, Eun Soo Seong, and Myong Jo Kim. 2023. "Effect of Bioreactor Cultures on the Proliferation and Biological Activity of Protocorm-like Bodies of Dendrobium loddigesii" Agronomy 13, no. 7: 1928. https://doi.org/10.3390/agronomy13071928
APA StyleYang, J., Kwon, Y. S., Seong, E. S., & Kim, M. J. (2023). Effect of Bioreactor Cultures on the Proliferation and Biological Activity of Protocorm-like Bodies of Dendrobium loddigesii. Agronomy, 13(7), 1928. https://doi.org/10.3390/agronomy13071928
