Bacillus methylotrophicus Could Improve the Tolerance and Recovery Ability of the Tomato to Low-Temperature Stress and Improve Fruit Quality
Abstract
1. Introduction
2. Materials and Methods
2.1. Plant Materials and Growth Conditions
2.2. Plant Morphology and Biomass Determination
2.3. Root Development Strategy
2.4. Leaf Chlorophyll Relative Content and Damage Estimation
2.5. Flowering Statistics of the Tomato
2.6. Determination and Analysis of Fruit Yield and Quality
2.7. Statistical Analysis
3. Results
3.1. B. methylotrophicus Improves the Growth of Tomato Seedlings at Low Temperature
3.2. B. methylotrophicus Promotes Biomass Accumulation in Tomato at Low Temperature
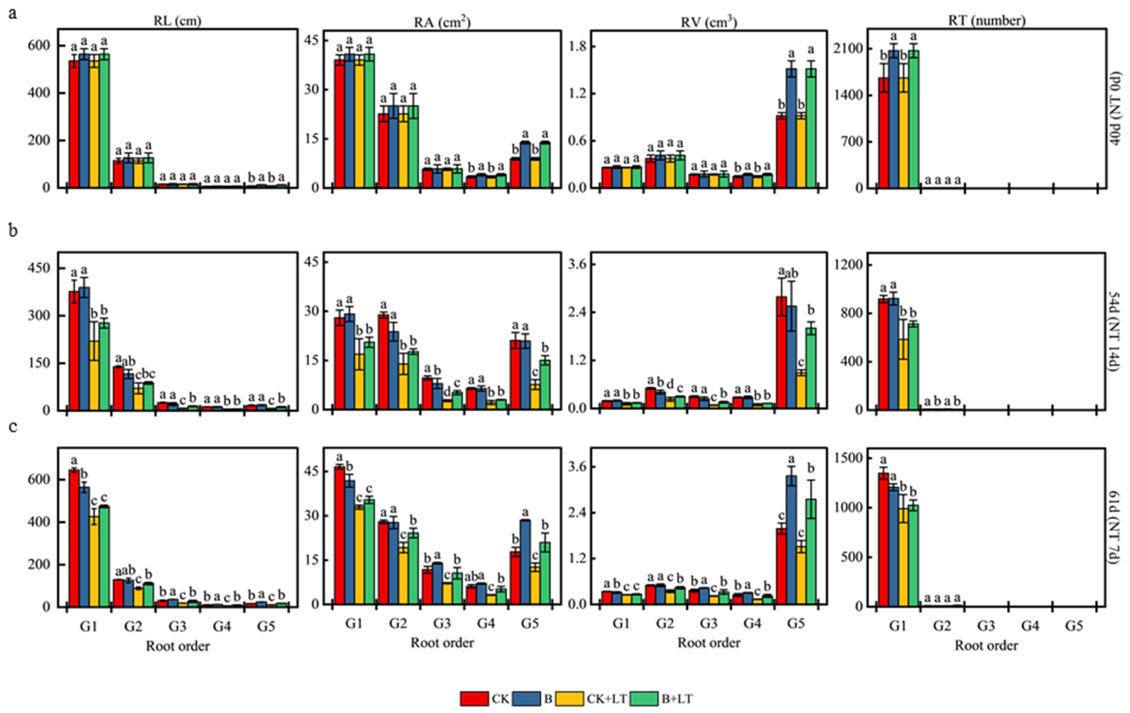
3.3. B. methylotrophicus Can Alleviate the Damage to Tomato Roots Caused by Low Temperature
3.4. B. methylotrophicus Can Reduce the Damage of Low Temperature on Tomato Leaves
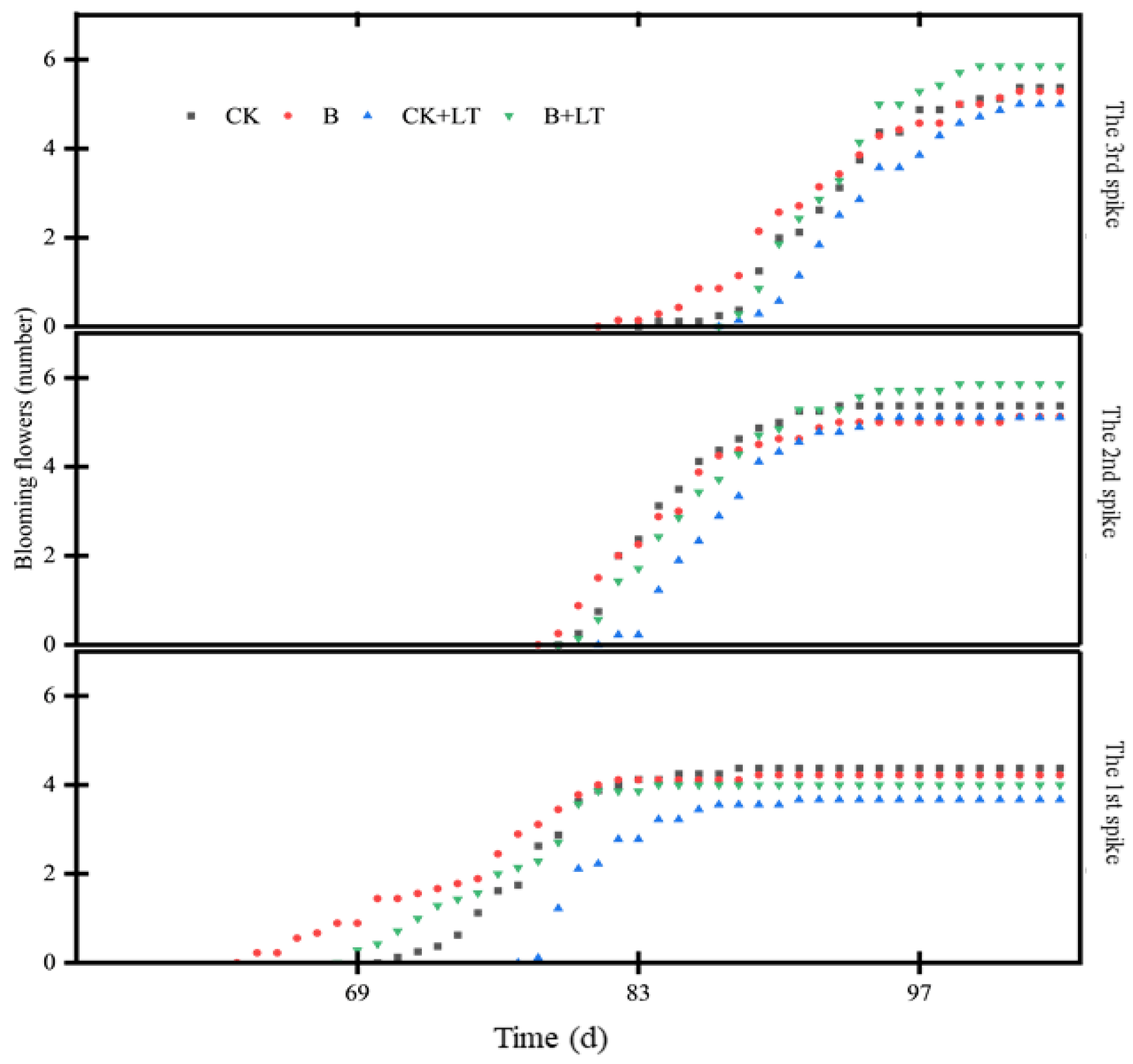
3.5. B. methylotrophicus Can Accelerate the Growth Process of Tomato
3.6. B. methylotrophicus Can Improve Tomato Fruit Quality
4. Discussion
5. Conclusions
Supplementary Materials
Author Contributions
Funding
Data Availability Statement
Conflicts of Interest
References
- Willis, C.G.; Ruhfel, B.; Primack, R.B.; Miller-Rushing, A.J.; Davis, C.C. Phylogenetic patterns of species loss in Thoreau’s woods are driven by climate change. Proc. Natl. Acad. Sci. USA 2008, 105, 17029–17033. [Google Scholar] [CrossRef] [PubMed]
- Ding, F.; Ren, L.; Xie, F.; Wang, M.; Zhang, S. Jasmonate and Melatonin Act Synergistically to Potentiate Cold Tolerance in Tomato Plants. Front. Plant Sci. 2021, 12, 763284. [Google Scholar] [CrossRef] [PubMed]
- Yadav, S.K. Cold stress tolerance mechanisms in plants: A review. Agron. Sustain. Dev. 2010, 30, 515–527. [Google Scholar] [CrossRef]
- Hussain, H.A.; Hussain, S.; Khaliq, A.; Ashraf, U.; Anjum, S.A.; Men, S.; Wang, L. Chilling and Drought Stresses in Crop Plants: Implications, Cross Talk, and Potential Management Opportunities. Front. Plant Sci. 2018, 9, 393. [Google Scholar] [CrossRef]
- Lu, G.; Wu, F.Q.; Wu, W.; Wang, H.J.; Zheng, X.M.; Zhang, Y.; Chen, X.; Zhou, K.; Jin, M.; Cheng, Z.; et al. Rice LTG1 is involved in adaptive growth and fitness under low ambient temperature. Plant J. 2014, 78, 468–480. [Google Scholar] [CrossRef] [PubMed]
- Luan, W.; Chen, H.; Fu, Y.; Si, H.; Peng, W.; Song, S.; Liu, W.; Hu, G.; Sun, Z.; Xie, D.; et al. The effect of the crosstalk between photoperiod and temperature on the heading-date in rice. PLoS ONE 2009, 4, e5891. [Google Scholar] [CrossRef]
- Mesa, T.; Polo, J.; Arabia, A.; Caselles, V.; Munne-Bosch, S. Differential physiological response to heat and cold stress of tomato plants and its implication on fruit quality. J. Plant Physiol. 2022, 268, 153581. [Google Scholar] [CrossRef]
- Song, J.; Shang, L.; Chen, S.; Lu, Y.; Zhang, Y.; Ouyang, B.; Ye, Z.; Zhang, J. Interactions between ShPP2-1, an F-box family gene, and ACR11A regulate cold tolerance of tomato. Hortic. Res. 2021, 8, 148. [Google Scholar] [CrossRef]
- Raza, A.; Razzaq, A.; Mehmood, S.S.; Zou, X.; Zhang, X.; Lv, Y.; Xu, J. Impact of Climate Change on Crops Adaptation and Strategies to Tackle Its Outcome: A Review. Plants 2019, 8, 34. [Google Scholar] [CrossRef]
- Liu, T.; Du, Q.; Li, S.; Yang, J.; Li, X.; Xu, J.; Chen, P.; Li, J.; Hu, X. GSTU43 gene involved in ALA-regulated redox homeostasis, to maintain coordinated chlorophyll synthesis of tomato at low temperature. BMC Plant Biol. 2019, 19, 323. [Google Scholar] [CrossRef]
- Ding, F.; Wang, C.; Xu, N.; Wang, M.; Zhang, S. Jasmonic acid-regulated putrescine biosynthesis attenuates cold-induced oxidative stress in tomato plants. Sci. Hortic. 2021, 288, 110373. [Google Scholar] [CrossRef]
- Krasensky, J.; Jonak, C. Drought, salt, and temperature stress-induced metabolic rearrangements and regulatory networks. J. Exp. Bot. 2012, 63, 1593–1608. [Google Scholar] [CrossRef]
- Che, Y.; Zhang, N.; Zhu, X.; Li, S.; Wang, S.; Si, H. Enhanced tolerance of the transgenic potato plants overexpressing Cu/Zn superoxide dismutase to low temperature. Sci. Hortic. 2020, 261, 108949. [Google Scholar] [CrossRef]
- South, K.A.; Nordstedt, N.P.; Jones, M.L. Identification of Plant Growth Promoting Rhizobacteria that Improve the Performance of Greenhouse-Grown Petunias under Low Fertility Conditions. Plants 2021, 10, 1410. [Google Scholar] [CrossRef] [PubMed]
- Glick, B.R. Plant growth-promoting bacteria: Mechanisms and applications. Scientifica 2012, 2012, 963401. [Google Scholar] [CrossRef]
- Wang, J.; Qu, F.; Liang, J.; Yang, M.; Hu, X. Bacillus velezensis SX13 promoted cucumber growth and production by accelerating the absorption of nutrients and increasing plant photosynthetic metabolism. Sci. Hortic. 2022, 301. [Google Scholar] [CrossRef]
- Lugtenberg, B.; Kamilova, F. Plant-growth-promoting rhizobacteria. Annu. Rev. Microbiol. 2009, 63, 541–556. [Google Scholar] [CrossRef]
- Vives-Peris, V.; de Ollas, C.; Gomez-Cadenas, A.; Perez-Clemente, R.M. Root exudates: From plant to rhizosphere and beyond. Plant Cell Rep. 2020, 39, 3–17. [Google Scholar] [CrossRef]
- Gouda, S.; Kerry, R.G.; Das, G.; Paramithiotis, S.; Shin, H.S.; Patra, J.K. Revitalization of plant growth promoting rhizobacteria for sustainable development in agriculture. Microbiol. Res. 2018, 206, 131–140. [Google Scholar] [CrossRef] [PubMed]
- Rubin, R.L.; van Groenigen, K.J.; Hungate, B.A. Plant growth promoting rhizobacteria are more effective under drought: A meta-analysis. Plant Soil. 2017, 416, 309–323. [Google Scholar] [CrossRef]
- Ha-Tran, D.M.; Nguyen, T.T.M.; Hung, S.H.; Huang, E.; Huang, C.C. Roles of Plant Growth-Promoting Rhizobacteria (PGPR) in Stimulating Salinity Stress Defense in Plants: A Review. Int. J. Mol. Sci. 2021, 22, 3154. [Google Scholar] [CrossRef] [PubMed]
- Kumar, A.; Verma, J.P. Does plant-Microbe interaction confer stress tolerance in plants: A review? Microbiol. Res. 2018, 207, 41–52. [Google Scholar] [CrossRef] [PubMed]
- Ait Barka, E.; Nowak, J.; Clement, C. Enhancement of chilling resistance of inoculated grapevine plantlets with a plant growth-promoting rhizobacterium, Burkholderia phytofirmans strain PsJN. Appl. Env. Environ. Microbiol. 2006, 72, 7246–7252. [Google Scholar] [CrossRef] [PubMed]
- Mitra, D.; Díaz Rodríguez, A.M.; Parra Cota, F.I.; Khoshru, B.; Panneerselvam, P.; Moradi, S.; Sagarika, M.S.; Anđelković, S.; Santos-Villalobos, S.d.l.; Das Mohapatra, P.K. Amelioration of thermal stress in crops by plant growth-promoting rhizobacteria. Physiol. Mol. Plant Pathol. 2021, 115, 101679. [Google Scholar] [CrossRef]
- Kaan, T.; Homuth, G.; Mader, U.; Bandow, J.; Schweder, T. Genome-wide transcriptional profiling of the Bacillus subtilis cold-shock response. Microbiology 2002, 148, 3441–3455. [Google Scholar] [CrossRef]
- Aguilar, P.; Hernandez-Arriaga, A.; Cybulski, L.; Erazo, A.; de Mendoza, D. Molecular basis of thermosensing a two-component signal transduction thermometer in. EMBO J. 2001, 20, 1681–1691. [Google Scholar] [CrossRef]
- Hoffmann, T.; Boiangiu, C.; Moses, S.; Bremer, E. Responses of Bacillus subtilis to hypotonic challenges: Physiological contributions of mechanosensitive channels to cellular survival. Appl. Environ. Microbiol. 2008, 74, 2454–2460. [Google Scholar] [CrossRef] [PubMed]
- Mishra, P.K.; Mishra, S.; Bisht, S.C.; Selvakumar, G.; Kundu, S.; Bisht, J.K.; Gupta, H.S. Isolation, molecular characterization and growth-promotion activities of a cold tolerant bacterium Pseudomonas sp. NARs9 (MTCC9002) from the Indian Himalayas. Biol. Res. 2009, 42, 305–313. [Google Scholar] [CrossRef]
- Caradonia, F.; Francia, E.; Morcia, C.; Ghizzoni, R.; Moulin, L.; Terzi, V.; Ronga, D. Arbuscular Mycorrhizal Fungi and Plant Growth Promoting Rhizobacteria Avoid Processing Tomato Leaf Damage during Chilling Stress. Agronomy 2019, 9, 299. [Google Scholar] [CrossRef]
- Wang, C.; Wang, C.; Gao, Y.-L.; Wang, Y.-P.; Guo, J.-H. A Consortium of Three Plant Growth-Promoting Rhizobacterium Strains Acclimates Lycopersicon esculentum and Confers a Better Tolerance to Chilling Stress. J. Plant Growth Regul. 2015, 35, 54–64. [Google Scholar] [CrossRef]
- Madhaiyan, M.; Poonguzhali, S.; Kwon, S.W.; Sa, T.M. Bacillus methylotrophicus sp. nov., a methanol-utilizing, plant-growth-promoting bacterium isolated from rice rhizosphere soil. Int. J. Syst. Evol. Microbiol. 2010, 60, 2490–2495. [Google Scholar] [CrossRef] [PubMed]
- Wang, A.; Hua, J.; Wang, Y.; Zhang, G.; Luo, S. Stereoisomers of Nonvolatile Acetylbutanediol Metabolites Produced by Bacillus velezensis WRN031 Improved Root Elongation of Maize and Rice. J. Agric. Food Chem. 2020, 68, 6308–6315. [Google Scholar] [CrossRef]
- Narayanasamy, S.; Thangappan, S.; Uthandi, S. Plant Growth-Promoting Bacillus sp. Cahoots Moisture Stress Alleviation in Rice Genotypes by Triggering Antioxidant Defense System. Microbiol. Res. 2020, 239, 126518. [Google Scholar] [CrossRef] [PubMed]
- Chaprao, M.J.; da Silva, R.; Rufino, R.D.; Luna, J.M.; Santos, V.A.; Sarubbo, L.A. Production of a biosurfactant from Bacillus methylotrophicus UCP1616 for use in the bioremediation of oil-contaminated environments. Ecotoxicology 2018, 27, 1310–1322. [Google Scholar] [CrossRef] [PubMed]
- Qiu, Z.; Wang, X.; Gao, J.; Guo, Y.; Huang, Z.; Du, Y. The Tomato Hoffman’s Anthocyaninless Gene Encodes a bHLH Transcription Factor Involved in Anthocyanin Biosynthesis That Is Developmentally Regulated and Induced by Low Temperatures. PLoS ONE 2016, 11, e0151067. [Google Scholar] [CrossRef] [PubMed]
- Xu, Z.; Wang, J.; Ma, Y.; Wang, F.; Wang, J.; Zhang, Y.; Hu, X. The bZIP transcription factor SlAREB1 regulates anthocyanin biosynthesis in response to low temperature in tomato. Plant J. 2023, 115, 205–219. [Google Scholar] [CrossRef]
- McCormack, M.L.; Dickie, I.A.; Eissenstat, D.M.; Fahey, T.J.; Fernandez, C.W.; Guo, D.; Helmisaari, H.S.; Hobbie, E.A.; Iversen, C.M.; Jackson, R.B.; et al. Redefining fine roots improves understanding of below-ground contributions to terrestrial biosphere processes. New Phytol. 2015, 207, 505–518. [Google Scholar] [CrossRef]
- Perez-Bueno, M.L.; Pineda, M.; Diaz-Casado, E.; Baron, M. Spatial and temporal dynamics of primary and secondary metabolism in Phaseolus vulgaris challenged by Pseudomonas syringae. Physiol. Plant 2015, 153, 161–174. [Google Scholar] [CrossRef]
- Igwe, A.N.; Quasem, B.; Liu, N.M.; Vannette, R.L. Plant phenology influences rhizosphere microbial community and is accelerated by serpentine microorganisms in Plantago erecta. Fems Microbiol. Ecol. 2021, 97, fiab085. [Google Scholar] [CrossRef]
- Li, H.S. Physiology and Biochemical Principles and Techniques; Higher Education Press: Beijing, China, 2000; pp. 195–196. (In Chinese) [Google Scholar]
- Sundriyal, M.; Sundriyal, R.C. Wild edible plants of the Sikkim Himalaya: Nutritive values of selected species. Econ. Bot. 2001, 55, 377–390. [Google Scholar] [CrossRef]
- Zhu, K.; Zhao, Y.; Ma, Y.; Zhang, Q.; Kang, Z.; Hu, X. Drip irrigation strategy for tomatoes grown in greenhouse on the basis of fuzzy Borda and K-means analysis method. Agric. Water Manag. 2022, 267, 107598. [Google Scholar] [CrossRef]
- Koevoets, I.T.; Venema, J.H.; Elzenga, J.T.; Testerink, C. Roots Withstanding their Environment: Exploiting Root System Architecture Responses to Abiotic Stress to Improve Crop Tolerance. Front. Plant Sci. 2016, 7, 1335. [Google Scholar] [CrossRef]
- Chen, L.; Pan, Y.; Li, H.; Liu, Z.; Jia, X.; Li, W.; Jia, H.; Li, X. Constant temperature during postharvest storage delays fruit ripening and enhances the antioxidant capacity of mature green tomato. J. Food Process. Preserv. 2020, 44, e14831. [Google Scholar] [CrossRef]
- Ding, Y.; Shi, Y.; Yang, S. Advances and challenges in uncovering cold tolerance regulatory mechanisms in plants. New Phytol. 2019, 222, 1690–1704. [Google Scholar] [CrossRef]
- Li, S.; Xia, Y.; Sun, Z. Effects of cold-shock on the growth and flower bud differentiation of tomato seedlings under high temperature stress. J. Appl. Ecol. 2016, 27, 477–483. [Google Scholar]
- Affandi, F.Y.; Pijnenburg, C.; Verdonk, J.C.; Woltering, E.J.; Schouten, R.E. Growth Temperature Influences Postharvest Quality and Cold Tolerance of Green Harvested Dwarf Tomatoes During Storage. Front. Sustain. Food Syst. 2022, 6, 876597. [Google Scholar] [CrossRef]
- Schmidt, J.; Messmer, M.; Wilbois, K.-P. Beneficial microorganisms for soybean (Glycine max (L.) Merr), with a focus on low root-zone temperatures. Plant Soil. 2015, 397, 411–445. [Google Scholar] [CrossRef]
- Munoz-Huerta, R.F.; Guevara-Gonzalez, R.G.; Contreras-Medina, L.M.; Torres-Pacheco, I.; Prado-Olivarez, J.; Ocampo-Velazquez, R.V. A review of methods for sensing the nitrogen status in plants: Advantages, disadvantages and recent advances. Sensors 2013, 13, 10823–10843. [Google Scholar] [CrossRef]
- Rajametov, S.N.; Lee, K.; Jeong, H.-B.; Cho, M.-C.; Nam, C.-W.; Yang, E.-Y. Physiological Traits of Thirty-Five Tomato Accessions in Response to Low Temperature. Agriculture 2021, 11, 792. [Google Scholar] [CrossRef]
- Girgin, E.; Sezen, I. The Effects of Rhizobacteria and Chemical Fertilizers on the Development of Cyclamen persicum. Fresenius Environ. Bull. 2021, 30, 9642–9652. [Google Scholar]
- Sharma, M.; Charron, J.B.; Rani, M.; Jabaji, S. Bacillus velezensis strain B26 modulates the inflorescence and root architecture of Brachypodium distachyon via hormone homeostasis. Sci. Rep. 2022, 12, 7951. [Google Scholar] [CrossRef]
- Siomos, A.; Tsouvaltzis, P.; Kasampalis, D. Tomato fruit quality in relation to growing season, harvest period, ripening stage and postharvest storage. Emir. J. Food Agric. 2020, 33, 130–138. [Google Scholar] [CrossRef]
- Pirlak, L.; Kose, M. Runner Plant Yield and Quality of Strawberry (Fragaria x ananassa Duch_) Inoculated with Plant Growth Promoting Rhizobacteria (PGPR). Philipp. Agric. Sci. 2010, 93, 42–46. [Google Scholar]
- Zapata-Sifuentes, G.; Hernandez-Montiel, L.G.; Saenz-Mata, J.; Fortis-Hernandez, M.; Blanco-Contreras, E.; Chiquito-Contreras, R.G.; Preciado-Rangel, P. Plant Growth-Promoting Rhizobacteria Improve Growth and Fruit Quality of Cucumber under Greenhouse Conditions. Plants 2022, 11, 1612. [Google Scholar] [CrossRef] [PubMed]
- Mena-Violante, H.G.; Olalde-Portugal, V. Alteration of tomato fruit quality by root inoculation with plant growth-promoting rhizobacteria (PGPR): Bacillus subtilis BEB-13bs. Sci. Hortic. 2007, 113, 103–106. [Google Scholar] [CrossRef]







| Treatment Name | Inoculate | Plant Growth Process |
|---|---|---|
| Control (CK) | no | Growth at 25 °C/16 °C for 40 d + 25 °C/16 °C for 14 d + normal temperature cultivation |
| B | yes | Growth at 25 °C/16 °C for 40 d + 25 °C/16 °C for 14 d + normal temperature cultivation |
| CK + LT | no | Growth at 25 °C/16 °C for 40 d + 15 °C/8 °C for 14 d + normal temperature cultivation |
| B + LT | yes | Growth at 25 °C/16 °C for 40 d + 15 °C/8 °C for 14 d + normal temperature cultivation |
| Spike | Treatment | Calendar Seedling Age (d) | Physiological Seedling Age (Number of Leaves) | Effective Cumulative Temperature (°C) |
|---|---|---|---|---|
| 1st | CK | 64.25 ± 0.03 b | 8.29 ± 0.08 ab | 654.12 ± 22.52 a |
| B | 62.13 ± 0.03 c | 8.16 ± 0.03 b | 626.88 ± 18.06 b | |
| CK + LT | 67.11 ± 0.01 a | 8.65 ± 0.03 a | 568.22 ± 7.60 c | |
| B + LT | 62.57 ± 0.04 c | 7.59 ± 0.09 c | 515.71 ± 25.87 d | |
| 2nd | CK | 70.63 ± 0.02 b | 10.38 ± 0.08 ab | 692.55 ± 16.30 a |
| B | 68.88 ± 0.03 c | 9.59 ± 0.10 c | 667.81 ± 17.52 b | |
| CK + LT | 73.00 ± 0.00 a | 10.81 ± 0.04 a | 602.00 ± 3.45 c | |
| B + LT | 70.29 ± 0.03 bc | 9.94 ± 0.06 bc | 563.97 ± 21.40 d | |
| 3rd | CK | 78.25 ± 0.01 b | 12.96 ± 0.05 ab | 739.02 ± 13.02 a |
| B | 77.86 ± 0.01 b | 12.98 ± 0.05 ab | 724.83 ± 12.87 a | |
| CK + LT | 81.86 ± 0.04 a | 13.29 ± 0.05 a | 660.14 ± 22.71 b | |
| B + LT | 78.14 ± 0.02 b | 12.37 ± 0.07 b | 611.48 ± 17.99 c |
| Treatment | Nitrate Nitrogen (NO3−-N mg·g−1) | Vitamin C (μg/100 g) | Lycopene (μg/g) | Total Soluble Sugars (%) | Soluble Solids (%) | Titratable Acids (%) | Sugar to Acid Ratio |
|---|---|---|---|---|---|---|---|
| CK | 0.58 ± 0.04 b | 33.84 ± 0.04 a | 24.41 ± 1.57 a | 3.57 ± 0.26 b | 3.80 ± 0.10 d | 5.75 ± 0.30 a | 8.27 ± 0.36 c |
| B | 0.80 ± 0.11 a | 33.64 ± 0.06 b | 21.60 ± 2.78 a | 4.63 ± 0.41 a | 4.60 ± 0.10 b | 5.42 ± 0.05 a | 10.15 ± 0.26 a |
| CK + LT | 0.86 ± 0.08 a | 33.61 ± 0.07 b | 16.62 ± 2.19 b | 3.49 ± 0.08 b | 4.80 ± 0.10 a | 5.56 ± 0.23 a | 9.95 ± 0.51 ab |
| B + LT | 0.62 ± 0.06 b | 33.63 ± 0.03 b | 15.66 ± 0.17 b | 3.63 ± 0.15 b | 4.00 ± 0.10 c | 5.68 ± 0.22 a | 9.45 ± 0.13 b |
| PGPR | 0.05 | 8.68 * | 2.84 | 16.46 ** | 0.00 | 11.11 * | 11.97 ** |
| LT | 1.25 | 15.45 ** | 37.69 *** | 13.16 ** | 12.00 ** | 0.11 | 5.97 * |
| PGPR × LT | 27.83 ** | 14.16 ** | 0.69 | 9.45 * | 192.00 *** | 7.11 * | 35.49 *** |
Disclaimer/Publisher’s Note: The statements, opinions and data contained in all publications are solely those of the individual author(s) and contributor(s) and not of MDPI and/or the editor(s). MDPI and/or the editor(s) disclaim responsibility for any injury to people or property resulting from any ideas, methods, instructions or products referred to in the content. |
© 2023 by the authors. Licensee MDPI, Basel, Switzerland. This article is an open access article distributed under the terms and conditions of the Creative Commons Attribution (CC BY) license (https://creativecommons.org/licenses/by/4.0/).
Share and Cite
Li, G.; Peng, T.; Qu, F.; Wang, J.; Long, Y.; Hu, X. Bacillus methylotrophicus Could Improve the Tolerance and Recovery Ability of the Tomato to Low-Temperature Stress and Improve Fruit Quality. Agronomy 2023, 13, 1902. https://doi.org/10.3390/agronomy13071902
Li G, Peng T, Qu F, Wang J, Long Y, Hu X. Bacillus methylotrophicus Could Improve the Tolerance and Recovery Ability of the Tomato to Low-Temperature Stress and Improve Fruit Quality. Agronomy. 2023; 13(7):1902. https://doi.org/10.3390/agronomy13071902
Chicago/Turabian StyleLi, Guobin, Tieli Peng, Feng Qu, Junzheng Wang, Yanghao Long, and Xiaohui Hu. 2023. "Bacillus methylotrophicus Could Improve the Tolerance and Recovery Ability of the Tomato to Low-Temperature Stress and Improve Fruit Quality" Agronomy 13, no. 7: 1902. https://doi.org/10.3390/agronomy13071902
APA StyleLi, G., Peng, T., Qu, F., Wang, J., Long, Y., & Hu, X. (2023). Bacillus methylotrophicus Could Improve the Tolerance and Recovery Ability of the Tomato to Low-Temperature Stress and Improve Fruit Quality. Agronomy, 13(7), 1902. https://doi.org/10.3390/agronomy13071902

