Abstract
We found that the typical fluoroquinolone antibiotic enrofloxacin (ENR) and plasticizer di-(2-ethylhexyl) phthalate (DEHP) are often detected simultaneously and at high frequencies in the environment, but their combined exposure effects on soil animals are poorly understood. Here, oxidative stress, DNA damage and changes in digestibility of the earthworm were investigated to reflect the toxicological effects of single and combined exposure of DEHP and ENR on earthworms (Eisenia fetida). We found that the DEHP treatment group and the combined pollution treatment group showed significantly increased reactive oxygen species content of earthworms at 14 d and 28 d. ENR exposure alone had little effect on the antioxidant enzyme system, while DEHP and combined treatment showed a trend of inhibition and then activation. Addition of both pollutants caused a rise in the lipid peroxidation levels of earthworms. Malonaldehyde (MDA) was mainly scavenged by glutathione sulfur transferase (GST). ENR and DEHP caused more DNA damage to earthworm tissue than their combined pollution under the regulation of GST. Both single and combined pollution inhibited the digestive enzyme activity of earthworms, but the combined pollution had a stronger inhibitory effect. Cellulase, MDA and GST were the three most sensitive indicators on PCA. The toxicity was ENR + DEHP > DEHP > ENR according to the IBR index, and the combined toxicity showed a synergistic effect. The results showed that the combined pollution of phthalate esters and antibiotics in the actual environment was a significant ecological risk that deserves special attention.
1. Introduction
Phthalate esters are a class of organic compounds that are blended with plastics to bolster their transparency, toughness, and plasticity [1]. Among the various phthalate plasticizers, di-(2-ethylhexyl) phthalate (DEHP) is the most widely utilized and has the highest production output, accounting for roughly 40% of the total plasticizer consumption worldwide in 2014 [2]. DEHP is primarily utilized in the processing of soft polyvinyl chloride with a content ranging from 10% to 60% [2]. DEHP is mainly combined on the matrix by hydrogen bonds and van der Waals force in various types of plastic products, so it migrates from plastic products easily and continuously releases into the surrounding environment during production, use, and disposal [3]. Sewage irrigation and the stacking of plastic products are among the primary mechanisms by which DEHP penetrates the soil [4]. The widespread application of agricultural plastic films has gradually evolved into a crucial path for DEHP to infiltrate the soil. Hu et al. [5] investigated 23 cultivated soil samples in China, and the detection rate of DEHP was 100%, which was in direct correlation with the use of agricultural films. Greenhouse agriculture had a higher DEHP content owing to plastic film mulching. In Hangzhou, the DEHP content in greenhouse soil was 1.48 mg kg−1, while in Handan and Harbin, it was 4.61 mg kg−1 and 2.35 mg kg−1, respectively [5,6]. Studies have shown that DEHP has a long half-life of about 150–300 days in the soil environment [7]. The remaining DEHP in the soil has deleterious effects on soil microorganisms and enzyme activities, and may also pose ecological risks to soil fauna, such as collembolans, nematodes, and earthworms [7,8,9].
Enrofloxacin (ENR) is a fluoroquinolone animal drug that is frequently utilized to treat animal diseases and promote growth. However, ENR cannot be completely absorbed after animal ingestion, and 17–90% is excreted maternally or in the form of metabolites through excreta and secretion [10]. The resource utilization of livestock and poultry manure causes ENR to enter farmland soil through manure return and aquaculture wastewater irrigation [11]. It has been found that ENR has a half-life of 152 days or more in the soil [12], which can lead to the poisoning of soil animals. ENR inhibits the growth and reproduction of earthworms [13], induces oxidative stress in earthworm tissue [14], and affects the proteomic response of earthworms [15].
The complexities and interactions of environmental pollutants cannot be overstated. While ENR and DEHP may be two of the better-known pollutants, they are rarely found alone in the wild. Rather, they are often tangled up with other pollutants, creating a web of synergistic or antagonistic effects that can confound the best efforts of scientists to understand. For example, Christen et al. [16] found that phthalates and bisphenol A have antagonistic effects on the endocrine system at low concentrations, but exhibit synergistic effects at higher concentrations. In particular, Pb and DEHP exhibited antagonistic effects on neurotoxicity in rats, and the combined exposure improved learning and memory rats [17]. ENR has been shown to increase the uptake and toxicity of cadmium in the earthworm Eisenia fetida in farm soils [18]. Wei et al. [19] studied the joint toxicity of five antibiotics and dibutyl phthalate to luminescent bacteria (Vibrio fischeri), and the joint toxicity between pollutants showed a synergistic effect. These results indicate that the effects of the combined pollutants will be different from the effects of each individually applied. Importantly, DEHP and ENR are often detected in facility farm soils due to the application of large amounts of mulch and organic fertilizers [6,20]. However, joint toxicity tests of ENR and DEHP on soil animals are still scarce, and this research has significant theoretical and practical implications.
As soil animals, earthworms are essential components of ecosystems, accounting for a staggering 60% of soil animal biomass [21]. Earthworms are one of the most important components of soil biodecomposition, with the ability to modify soil, digest organic matter and promote decomposition reactions, and are known as “ecosystem engineers,” playing a huge role in maintaining and improving soil ecology [22,23]. Given their sensitivity to pollutants, earthworms are often used as a model organism for monitoring soil quality and evaluating the ecotoxicity of pollutants [3,24]. To evaluate the toxicity of pollutants, researchers often examine a range of biomarkers, including antioxidant and detoxification enzymes (such as superoxide dismutase, peroxidase, catalase, GST, and cytochrome P450), lipid peroxidation degree (LPO), DNA damage degree, and digestive enzyme activity [3,24,25,26]. Despite the relative paucity of research exploring the impact of ENR and DEHP stress on earthworms, extant literature has tentatively revealed that these two pernicious stressors can instigate a cascade of oxidative stress in the organism, resulting in an exacerbation of reactive oxygen species (ROS) levels and an intricate interplay between promotion and inhibition of a suite of antioxidant enzyme systems [27]. This complex biochemical perturbation can ultimately culminate in a pronounced elevation of lipid peroxidation and DNA damage [28]. However, it is important to note that in real-world production environments, the dual stressors of ENR and DEHP always co-occur, yet the elusive nature of their combined toxicity towards soil animals remains largely unexplored in current research.
In this study, earthworms were selected as the model organism for this study, and the joint toxicity of DEHP and ENR on earthworms was investigated by measuring oxidative stress index, DNA damage and digestive enzyme activity. The results of this study are anticipated to offer a crucial basis for evaluating the ecological risk of soil animal combined pollution by phthalates and antibiotics.
2. Materials and Methods
2.1. Materials
In this experiment, the soil used was artificial soil, prepared according to the Earthworm Subchronic Toxicity Test (OCSPP 850.3100): 10% sphagnum peat moss, 20% kaolin clay (97% kaolinite with a particle size under 3.0 ± 0.4 μm), 70% mesh silica sand (>97%, 0.005–0.2 mm); pH adjusted to 6.5 ± 0.5 using an amount of calcium carbonate (99% purity). The earthworms were purchased from Guangdong Zhongshilongtai Low Carbon Science and Technology Co., Ltd. (Guangzhou, Guangdong, China) and identified by Shanghai Jiao Tong University as Eisenia fetida. Before the experiment, the earthworms were domesticated in artificial soil for 2 weeks. Healthy adult earthworms with a fresh weight of about 350 ± 50 mg, sensitivity to external stimuli, obvious bands and similar sizes were selected for the experiment.
2.2. Chemical Reagents Used in Experiments
Enrofloxacin (CAS 9366-60-6, purity ≥ 99%) and DEHP (CAS 117-81-7, purity ≥ 99.5%) were purchased from Sigma Chemical Co. (St. Louis, MO, USA). Reactive oxygen species (ROS), superoxide dismutase (SOD), catalase (CAT), peroxidase (POD), glutathione sulfur transferase (GST), malondialdehyde (MDA), 8-hydroxy-deoxyguanosine (8-OHDG), cellulase (CL), alkaline phosphatase (AKP) and acid phosphatase (ACP) assay kits were purchased from Nanjing Jiancheng Bioengineering Institute (Nanjing, Jiangsu, China). Neutral protease (NP) assay kit was purchased from Beijing Solarbio Science and Technology Co., Ltd. (Beijing, China).
2.3. Experimental Design
In this study, the toxicity of ENR and DEHP to earthworms were evaluated based on the Earthworm Subchronic Toxicity Test (OCSPP 850.3100) [29]. Earthworms were cultured in 1 L glass beakers with 500 g of artificial soil, as described in Section 2.1. First, 5 mL ENR or DEHP stock solution at a concentration of 5000 mg L−1 was fully mixed with 50 g artificial soil and then well mixed with 450 g artificial soil after the organic solvent had volatilized. The final concentration obtained was 50 mg kg−1 of artificial soil containing ENR or DEHP. The contaminated soil was then transferred to a 1 L glass beaker and adjusted to 30% moisture content with pure water. The concentrations of ENR and DEHP were set according to previous studies [3,13]. Four treatment groups were set up—CK (artificial soil without toxicants, control treatment group); ENR (artificial soil + 50 mg kg−1 ENR); DEHP (artificial soil + 50 mg kg−1 DEHP); ENR + DEHP (artificial soil + 50 mg kg−1 ENR + 50 mg kg−1 DEHP)—and three replicates were set for each treatment. Each beaker had 15 pre-cultured earthworms placed within it and then sealed with a perforated aluminum foil to prevent the earthworms from escaping. The beaker was incubated at 25 ± 1 °C in light/dark (12/12) for 28 days [25]. On the 7th, 14th, and 28th days, three earthworms in each beaker were removed randomly, washed with 0.86% sodium chloride solution, and placed in a petri dish with moist filter paper to incubate and spit mud for use.
2.4. Determination of ROS Content and Oxidative Stress Biomarker Activity
ROS content was determined by the 2,7-dichlorodi-hydro fluorescein diacetate (DCFH-DA) method [30]. The fluorescence intensity was measured at 500 ± 15 nm (excitation wavelength) and 530 ± 20 nm (emission wavelength) using a multifunctional microplate reader. The ROS content was then calculated as fluorescence intensity per milligram of protein (Pr.). The activities of SOD, CAT, POD and GST were detected by the WST-1 method, ammonium molybdate colorimetric method, guaiacol colorimetric method, and 1-chloro-2, 4-dinitrobenzene colorimetric method, respectively [3]. To obtain the necessary samples, the earthworms were ground with 0.86% saline solution (at a ratio of 1:9, w/v) using a glass homogenizer while being kept in ice-bath conditions, and the homogenate was centrifuged at 3000 r min−1 for 15 min at 4 °C. Then, the supernatant was taken and tested according to the corresponding kit method.
2.5. DNA Damage Assessment
An 8-OHDG ELISA kit was purchased to analyze the content of 8-OHDG, which is a product of oxidative DNA damage. Earthworms from control and exposure treatments (n = 3) were randomly selected at 7, 14, and 28 days for DNA damage assays. The preparation of earthworm tissue homogenate and the determination of 8-OHDG were performed according to the kit instructions.
2.6. Determination of Digestive Enzyme Activities
The determination of earthworm digestive enzymes was established through the use of prior research [1,31,32]. AKP/ACP, CL and NP were determined by phenyl disodium phosphate colorimetry, 3,5-dinitro salicylic acid (DNS) colorimetry and Folin phenol colorimetry, respectively. The determination method is briefly summarized as follows: earthworms were homogenized with phosphate buffer (pH 7.4, containing 1 mM PMSF) (1:9 w/v) in an ice bath, and the supernatant was taken after centrifugation at 3000 r min−1 for 15 min at 4 °C. The assay was performed according to the corresponding kit instructions.
2.7. Ecological Risk Assessment
Integrated Biomarker Response version 2 (IBRv2) was used to evaluate the ecological risk of single and combined ENR and DEHP contamination on earthworms [33], and 11 biomarkers (ROS, SOD, CAT, POD, MDA, GST, 8-OHDG, CL, NP, AKP, ACP) were used to calculate IBRv2. The calculation method of IBRv2 was based on previous research [34]:
: the average value of each test index data; : the CK group data of each test index
: standardized average value of each measurement index data; : average value of ; : standard deviation of
: biomarker bias index
2.8. Data Analysis
The original data were processed using Excel 2016 (Microsoft Office, Microsoft, Redmond, WA, USA). One-way ANOVA (p < 0.05) and Duncan’s tests were conducted using SPSS Statistics 26 (SPSS, IBM, Amenk, NY, USA). Bar charts, radar charts, and 3D Y constant with base plot were completed using Origin 2021 (Origin, OriginLab, Northampton, MA, USA).
3. Results and Discussion
3.1. Survival of Earthworms
Throughout the course of the experiment, the average survival rate of earthworms in all treatments was greater than 80%, indicating that this experiment was acceptable [29]. As seen in Table 1, only the CK and DEHP treatment groups showed earthworm mortality during the early stage of the experiment. At day 28, the highest cumulative number of earthworms died in the DEHP + ENR treatment group (7), but this did not exceed 20% mortality.
Table 1.
Cumulative number of earthworm deaths during the experimental time.
3.2. ROS Levels
ROS, an umbrella term for the by-products of aerobic metabolism in living organisms, is primarily generated in mitochondria [35]. When the organism is stimulated by exogenous pollutants, a large amount of ROS will be generated. If the generation rate of ROS is higher than the clearance rate of the antioxidant system, ROS will accumulate in the organism, and the excessive accumulated ROS can cause membrane LPO, base mutation, DNA strand breakage and protein damage [36,37].
Figure 1 reveals the ROS levels of Eisenia fetida following exposure to ENR, DEHP, and ENR + DEHP. On the 7th day, the ROS levels of the ENR, DEHP, and ENR + DEHP groups were found to be significantly lower than the control group (CK). This is possibly due to the major disturbance caused by the external pollutants, leading to a significant impact on antioxidant enzyme activity within the organism, consequently resulting in decreased ROS levels [38]. Moving forward to the 14th day, the ROS levels of the ENR and DEHP groups were not significantly different from the CK group. However, the ROS level of the ENR + DEHP group was discovered to be substantially higher than that of the CK and single-exposure treatments. This indicates that the antioxidant enzymes are no longer capable of managing the excessive ROS pressure under the combined pollution, thus leading to the accumulation of ROS [39]. At a late stage of the experiment (28 days), the ROS content in the DEHP group and ENR + DEHP group was significantly higher than that of the CK group. This can be attributed to the cumulative toxic effects of DEHP on antioxidant systems being time-extended, leading to an inability to process excessive ROS [3]. The CK and ENR groups both showed a decline in ROS levels with increased exposure time, which indicates the adaptability of earthworms to environmental stress and the effectiveness of antioxidant systems [40]. Nonetheless, the ROS level in the DEHP and ENR + DEHP groups was directly proportional to the exposure time, which can be ascribed to the damage caused by DEHP on the antioxidant system [41,42].
Figure 1.
ROS levels in earthworms (Eisenia fetida) exposed to different treatments. The data are presented as averages ± standard deviation (n = 4). The different lowercase letters in each column represent significant differences between groups in the same period (ANOVA, Duncan’s test, p < 0.05).
3.3. Enzyme Activity Associated with Antioxidant Defense
The activity of antioxidant enzymes in organisms can reflect the degree of oxidative stress suffered by the organism under external stimulation, making them a crucial marker in toxicological research [43,44]. Among these enzymes, SOD, POD, and CAT are essential components of the antioxidant defense system in organisms.
SOD plays a crucial role in reducing oxidative stress by catalyzing the disproportionation reaction of superoxide ion radical (O2−) to produce O2 and H2O2 [45,46]. The SOD activity in each treatment group showed different trends after 28 days of exposure (Figure 2a). Compared with CK, the ENR group exhibited an activation-recovery trend, where the SOD activity was activated on the 14th day (p < 0.05) and then returned to the level of CK on the 28th day. The SOD activity of earthworms in the DEHP group showed no significant difference from CK at days 7 and 14, but appeared to be activated at day 28. In contrast, the ENR + DEHP group showed an inhibition-recovery trend, where the SOD activity was inhibited on days 7 and 14, and returned to the level of CK on day 28. When an earthworm’s body receives external stimulation, SOD activity is generally activated to cope with the increased ROS of the body at first, then gradually tends toward normal with the adaptation to external stimulation. However, in the case of highly toxic pollutants, SOD activity is inhibited early and activity gradually recovers with the regulation of the biological organism [25,44,47].
Figure 2.
The activities of SOD (a), POD (b), CAT (c) in earthworms (Eisenia fetida) exposed to different treatments. The data are presented as averages ± standard deviation (n = 4). The different lowercase letters in each column represent significant differences between groups in the same period (ANOVA, Duncan’s test, p < 0.05).
CAT removes H2O2 produced in organisms by catalyzing the decomposition of H2O2 into O2, and H2O. POD is an enzyme that catalyzes the oxidation of various inorganic and organic substances with H2O2 as an electron acceptor [48,49]. CAT and POD can jointly promote the elimination of H2O2 and prevent H2O2 from causing oxidative damage to the organism [49]. The determination of trends in CAT and POD functions suggests a concomitant relationship between the two. Remarkably, the POD activity of the ENR group was found to be considerably activated at 7 and 14 days, whereas the POD activity of the DEHP and ENR + DEHP groups was significantly activated at 14 and 28 days, respectively. As for the maximum value of CAT activity, it was found to appear in the ENR and DEHP groups at 14 and 28 days, respectively. Interestingly, the trends in CAT and POD activities were found to mirror that of SOD to some degree. This finding may be attributable to the conversion of superoxide anion into hydrogen peroxide catalyzed by SOD, which serves to stimulate the activity of CAT and POD [50,51].
3.4. Lipid Peroxidation (LPO)
MDA, a by-product of lipid peroxidation caused by the noxious effects of reactive oxygen radicals on unsaturated fatty acids, has been posited as a viable surrogate marker for gauging the degree of cellular LPO to a certain extent [52,53]. With the increase in pollutant exposure time, the MDA content in earthworm tissue of each treatment group showed a gradually increasing trend (p < 0.01, Table 2; Figure 3a). It is noteworthy that on day 7, the MDA levels in the ENR and DEHP groups exhibited a marked diminution in comparison with those in the CK. This could be attributed to the regulatory role played by GST in suppressing mitochondrial peroxidation and augmenting the transport and expulsion of MDA [54,55]. However, the MDA levels in the ENR and DEHP groups skyrocketed significantly higher than those in the CK at days 14 and 28, which implies that the lipid peroxidation of earthworms was exacerbated gradually with the prolonged exposure to pollutants [45,56].
Table 2.
Correlation of earthworm indices exposed to different pollutants.
Figure 3.
Effects of different treatments on MDA level (a), GST activity (b), and 8-OHDG level (c) in earthworms (Eisenia fetida). The data are presented as averages ± standard deviation (n = 4). The different lowercase letters in each column represent significant differences between groups in the same period (ANOVA, Duncan’s test, p < 0.05).
3.5. Glutathione S-Transferase (GST)
GST is an enzyme that performs a pivotal role in facilitating the conjugation of exogenous pollutants (such as insecticides, pesticides, antibiotics, etc.) with the sulfur group of reduced glutathione, thereby enhancing their water solubility and eliminability from the cells, and ultimately safeguarding them from the detrimental effects of these substances [57]. Additionally, it can also inhibit microsomal peroxidation reactions, repair membrane phospholipid damage caused by free radicals, and remove hydrogen peroxide from the body [54]. On the seventh day, the GST activity of ENR and DEHP treatment groups was activated, while the activity of ENR + DEHP treatment group was inhibited, indicating that GST was activated under a certain degree of pollution, but its activity would be inhibited when the pollutants exceeded the GST tolerance range [58]. During the course of the experiment, the GST activity of the ENR + DEHP group was significantly greater than that of the other groups on the 14th day. On the 28th day, the GST activity of the DEHP group dipped in contrast to the CK group, while that of the ENR + DEHP group was activated. Over the whole experiment, GST activity was negatively correlated with MDA and 8-OHDG (p < 0.05, Table 2), indicating the crucial role of GST in repairing LPO and DNA damage in earthworms [3,46,58,59].
3.6. Degree of DNA Damage
An oxidative adduct produced by reactive oxygen radicals attacking the eighth carbon atom of the guanine base in DNA molecules, 8-OHDG is teratogenic, carcinogenic and mutagenic [60,61]. The content of 8-OHDG in earthworm tissue under single and combined pollution exposure was not significantly different from that of the CK group on days 7 and 14, which may be due to the joint effect of the immune detoxification system and antioxidant enzyme system in earthworm metabolism at the prometaphase stage [62]. On the 28th day, the content of 8-OHDG in the ENR and DEHP groups was significantly higher than that of the CK group, which may be due to the influence of MDA content and GST activity in earthworms on day 28 (Figure 3a,b). On the 28th day, the content of 8-OHDG in the ENR + DEHP group was lower than that of the CK group. This reduction could be attributed to the activation of GST activity in earthworms and the repair of membrane phospholipid damage caused by free radicals [54]. Overall, the content of 8-OHDG in earthworm tissue is significantly affected by pollutant exposure time and the activity of antioxidant enzymes such as GST. The joint effect of immune detoxification and antioxidant enzyme systems may play a crucial role in mitigating the adverse effects of pollutants on earthworms.
3.7. Earthworm Digestive Enzymes
The digestive enzymes of earthworms are important in the digestion and metabolism of organic matter, and they have been demonstrated to be critical indicators for ecotoxicology [63]. Proteases can decompose proteins and peptides into amino acids, participate in the regulation of biological nitrogen metabolism, and are important enzymes affecting organic nitrogen mineralization [64]. Proteases have been demonstrated to identify and degrade ROS-oxidized proteins in cells, minimizing their cytotoxicity [65]. Another vital enzyme, CL, can decompose cellulose into oligosaccharides and cellobiose and finally into glucose, which also plays an important role in biological autoimmunity [66]. Phosphatase can catalyze the hydrolysis of phosphate monoesters under acid or alkaline conditions, plays a pivotal role in the metabolism of phosphorus in organisms, and significantly affects the phosphorus cycle in the environment [67].
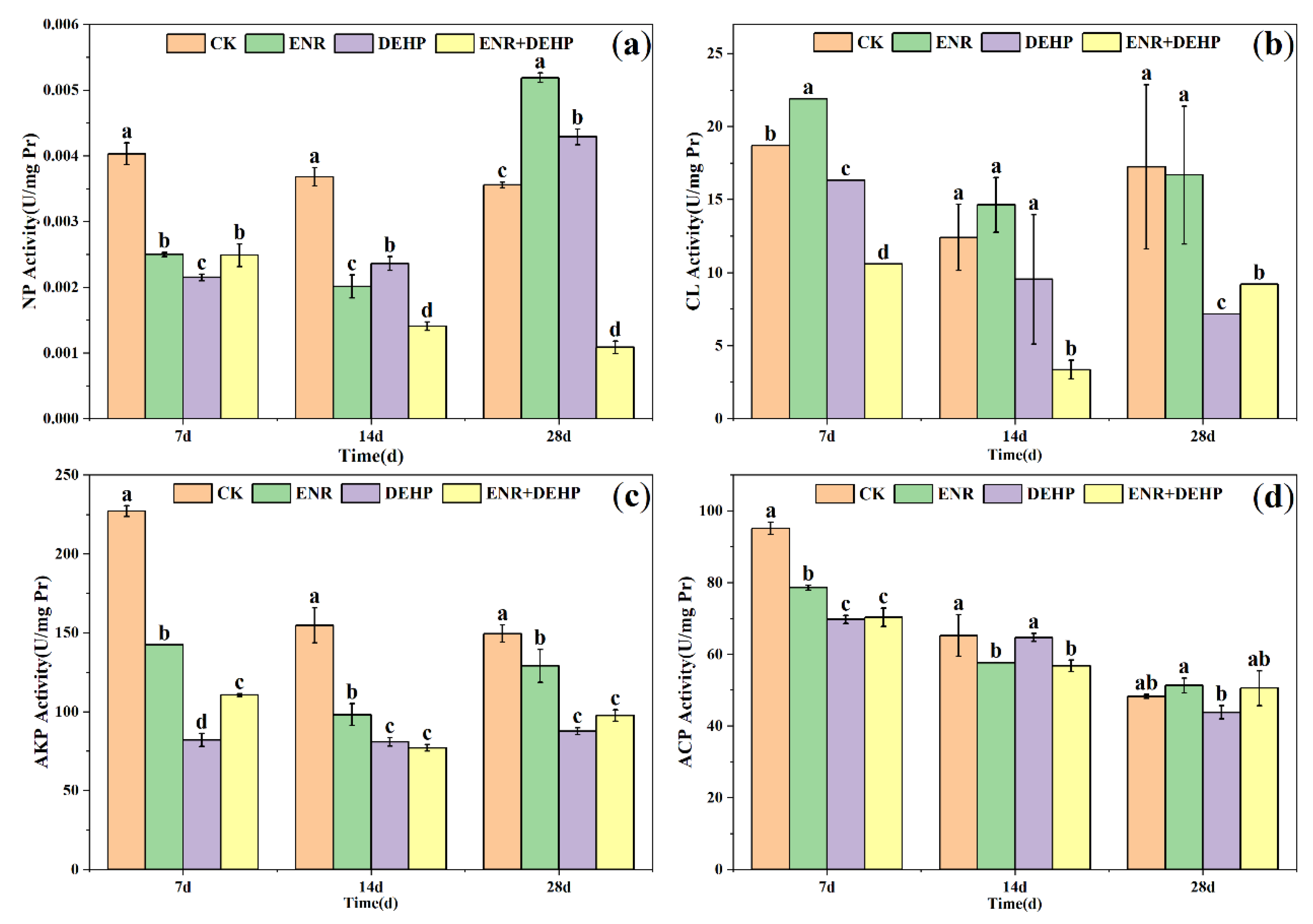
The effects of exposure time on the NP of earthworms subjected to various treatments is illustrated in Figure 4a. With the extension of exposure time, a stable trend was observed in the CK treatment: an upward trend in the ENR or DEHP single pollution treatments and a downward trend in the ENR + DEHP treatment (Figure 4a). At days 7 and 14, inhibition of NP was observed in the three poisoning treatment groups, which was significantly different from that in the CK group. Upon 28 days of exposure, the NP in the ENR and DEHP groups was considerably induced, indicating that earthworms need an abundant supply of amino acids to bolster their physiological function against oxidative stress or clear intracellular proteins damaged by ROS oxidation by enhancing the activity of protease [64]. The combined exposure of ENR and DEHP led to the inhibition of NP activity, implying that the combined exposure may adversely affect protein metabolism [63]. The inhibitory effect of ENR and DEHP on NP was mostly seen during the early and middle stages of exposure (7 and 14 days), while the inhibitory effect of ENR + DEHP became more severe with the extension in exposure time.
Figure 4.
The activities of NP (a), CL (b), AKP (c), and ACP (d) in earthworms (Eisenia fetida) exposed to different treatments. The data are presented as averages ± standard deviation (n = 4). The different lowercase letters on each column represent significant differences between different groups in the same period (ANOVA, Duncan’s test, p < 0.05).
Interestingly, ENR had a minimal effect on CL activity, and its stimulating effect was mainly observed on the seventh day, after which it recovered to the level of CK (Figure 4b). In contrast, the CL of earthworms in DEHP and ENR + DEHP groups showed significant inhibitory effects during the entire experiment. Previous studies have shown that pesticides (such as imidacloprid, spirotetramat, thiacloprid, acetochlor, etc.) can inhibit the CL activity of Eisenia fetida [68,69,70,71]; however, some studies have also shown that ionic liquid [C4-12mim]Br and polycyclic aromatic hydrocarbons phenanthrene can stimulate CL [63,72]. This difference may be attributed to the different chemical structures and functional groups of the compounds [72].
AKP and ACP showed slightly different trends in response to the various treatments (Figure 4c,d). With the extension in exposure time, the activity of AKP and ACP decreased gradually. The AKP of earthworms in the three pollution exposure groups was significantly inhibited throughout the experiment period, and the inhibitory effect of DEHP and ENR + DEHP on AKP was higher than that of ENR. The effect of pollution exposure on ACP was mainly evident in the early stage of the experiment (7 days), indicating that it could be a useful early warning biomarker for soil pollution caused by antibiotics and phthalates.
3.8. IBR Analysis
When biological organisms are invaded by pollutants, different biomarkers show differences. Therefore, it is possible to more reasonably and accurately evaluate the toxic effects of pollutants on biological organisms by integrating multiple biomarkers. IBR analysis has been widely used to assess the ecotoxicological and environmental risks of aquatic and terrestrial organisms [50,73,74]. The length of each indicator on the radar map after exposure to pollutants represents the standardized value of the indicator, while the red line represents the CK group (0). In Figure 5a, different biomarkers played different roles at different concentrations and times, showing various degrees of activation or inhibition. A biomarker greater than 0 indicates activation, while a biomarker less than 0 indicates inhibition. The higher the IBR value, the more significant the poisoning effect on earthworms [50]. During the experiment’s entire duration, the IBR values of ENR, DEHP, and ENR + DEHP were 41.7, 43.4, and 50.8, respectively, indicating that ENR + DEHP was more toxic to earthworms than DEHP or ENR alone (Figure 5b). The maximum IBM value of each exposure treatment group was observed on the seventh day, in order of ENR + DEHP > DEHP > ENR (Figure 5c). With the extension in exposure time, the IBR values of all treatments showed a downward trend (Figure 5b). This trend may be due to the earthworms’ detoxification defense system and antioxidant system playing a crucial role in adapting them to the external environment constantly [75]. Alternatively, it may be that the earthworms reduced the concentration or effective state content of ENR or DEHP, thereby reducing their stimulation [76,77].
Figure 5.
Radar chart for the IBR of earthworms (Eisenia fetida) after exposure to different treatments (a); IBR value of earthworms (Eisenia fetida) for different treatments and exposure time (b); 3D Y constant with base plot of IBR value in earthworms (Eisenia fetida) for different treatments and exposure time (c). The data are presented as averages ± standard deviation (n = 4).
3.9. Correlation Analysis between Indices
When earthworms are exposed to exogenous pollutants, their bodies respond by producing a large amount of ROS, which can have detrimental effects if not properly regulated. To mitigate the toxic effects of pollutants and stabilize ROS levels, the earthworm’s antioxidant system and detoxification enzymes are activated [74]. However, if ROS accumulates excessively, it can lead to lipid LPO of cellular phospholipids, resulting in increased cellular permeability and potential cytotoxicity, leading to DNA damage [3,74]. Oxidative stress and DNA damage in earthworms will feed back to the digestive enzyme systems [63].
The relationship between detection indices and earthworm biomarkers under diverse exposures was shown in Table 2. A significant negative correlation of MDA and GST with SOD was observed, indicating the direct and indirect effects of GST and SOD on reducing MDA. MDA was positively correlated with POD, CAT and 8-OHDG. SOD catalyzes O2− to H2O2, but excess H2O2 can be converted into hydroxyl free radicals, leading to lipid peroxidation, so POD and CAT are increased to alleviate the production of MDA. However, the significant positive correlation between MDA and 8-OHDG directly proves that LPO damages cellular DNA (Table 2). GST showed a significant negative correlation with 8-OHDG, indicating its detoxification effect on DNA damage. The activities of CL and ACP were negatively correlated with MDA content, and positively correlated with GST and SOD, indicating that LPO caused a weakness in digestive function of earthworms.
PCA based on earthworm biomarkers showed that the degree of dispersion among treatment groups increased with the extension in exposure time (Figure 6). According to the contribution degree of biomarkers, the three most sensitive indices of earthworm under ENR and DEHP exposure were CL, MDA and GST. Eisenia fetida is an epidermal earthworm with high CL activity in the intestine, which can effectively utilize plant residues whose main component is cellulose [72]. The importance of CL to Eisenia fetida is self-evident, so the toxicity of ENR and DEHP to Eisenia fetida should be paid more attention.
Figure 6.
PCA based on earthworm biomarkers.
4. Conclusions
In this study, we investigated the ecotoxicity responses of Eisenia fetida to ENR and DEHP single and combined exposures through indoor culture experiments. The results indicated that ENR and DEHP induced an increase in ROS levels in Eisenia fetida, ultimately leading to LPO and cellular DNA damage. According to the changes observed in ROS activity, it can be concluded that DEHP imposes a greater pressure stimulation effect on ROS production in earthworms than ENR, displaying a synergistic effect between ENR and DEHP. The activities of antioxidant enzymes in Eisenia fetida showed different degrees of activation or inhibition. Surprisingly, the 8-OHDG index showed that single exposure of ENR or DEHP caused more damage to DNA than the combined pollution of the two under the action of GST and antioxidant enzymes in the 28-day experimental monitoring, so we suggest that the subsequent 8-OHDG index studies require additional monitoring days. Both ENR and DEHP inhibited the activity of earthworm digestive enzymes to varying degrees, and the inhibitory effect of compound pollution was more noticeable. The IBR index showed that the toxicity to Eisenia fetida among the treatment groups showed: ENR + DEHP > DEHP > ENR. According to PCA, the three most sensitive indicators of Eisenia fetida to ENR and DEHP exposure were CL, MDA and GST. This study provides a basis for evaluating the potential risks of antibiotics combined with phthalate plasticizers in soil.
Author Contributions
J.G.: data curation, investigation, writing—original draft. Q.S.: writing—reviewing and editing. Y.-L.L., W.-J.X. and S.-H.Z.: investigation, sample testing. Y.Z.: methodology, project administration, funding acquisition. Y.L.: supervision, project administration, funding acquisition. H.-J.X.: conceptualization, methodology, writing—reviewing and editing, supervision. All authors have read and agreed to the published version of the manuscript.
Funding
This research was financially supported by the National Natural Science Foundation of China—Guangdong Joint Fund (U1901601), Natural Science Foundation of Guangdong Province (2023A1515010593), National Natural Science Foundation of China (41877063), the open competition program of top ten critical priorities of Agricultural Science and Technology Innovation for the 14th Five-Year Plan of Guangdong Province (2022SDZG08), and the double first-class discipline promotion project (2021B10564001).
Data Availability Statement
The data presented in this study are available on request from the corresponding author on reasonable request.
Acknowledgments
Thank you to Key Laboratory of Arable Land Conservation (South China) and Guangdong Province Key Laboratory for Land Use and Consolidation for providing experimental conditions. Thank you to Yongtao Li, Hui-Juan Xu, and Yulong Zhang for providing financial support in the experiment. Thank you to Qinghong Sun and Hui-Juan Xu for their revisions to the manuscript. Thank you to the MDPI editorial department for their serious and responsible attitude.
Conflicts of Interest
The authors declare that they have no known competing financial interest or personal relationships that could have appeared to influence the work reported in this paper.
References
- Zhang, W.Z.; Zheng, X.W.; Gu, P.; Wang, N.; Lai, Z.N.; He, J.; Zheng, Z. Distribution and risk assessment of phthalates in water and sediment of the Pearl River Delta. Environ. Sci. Pollut. Res. Int. 2020, 27, 12550–12565. [Google Scholar] [CrossRef]
- Adamovsky, O.; Buerger, A.N.; Vespalcova, H.; Sohag, S.R.; Hanlon, A.T.; Ginn, P.E.; Craft, S.L.; Smatana, S.; Budinska, E.; Persico, M.; et al. Evaluation of Microbiome-Host Relationships in the Zebrafish Gastrointestinal System Reveals Adaptive Immunity Is a Target of Bis(2-ethylhexyl) Phthalate (DEHP) Exposure. Environ. Sci. Technol. 2020, 54, 5719–5728. [Google Scholar] [CrossRef] [PubMed]
- Song, P.; Gao, J.; Li, X.; Zhang, C.; Zhu, L.; Wang, J.; Wang, J. Phthalate induced oxidative stress and DNA damage in earthworms (Eisenia fetida). Environ. Int. 2019, 129, 10–17. [Google Scholar] [CrossRef] [PubMed]
- Wang, Y.; Wang, F.; Xiang, L.; Gu, C.; Redmile-Gordon, M.; Sheng, H.; Wang, Z.; Fu, Y.; Bian, Y.; Jiang, X. Risk Assessment of Agricultural Plastic Films Based on Release Kinetics of Phthalate Acid Esters. Environ. Sci. Technol. 2021, 55, 3676–3685. [Google Scholar] [CrossRef]
- Hu, X.Y.; Wen, B.; Shan, X.Q. Survey of phthalate pollution in arable soils in China. J. Environ. Monit. 2003, 5, 649–653. [Google Scholar] [CrossRef]
- Chen, Y.S.; Luo, Y.M.; Zhang, H.B.; Song, J. Preliminary study on PAEs pollution of greenhouse soils. Acta Pedol. Sin. 2011, 48, 516–523. [Google Scholar] [CrossRef]
- Kim, D.; Cui, R.; Moon, J.; Kwak, J.I.; An, Y.J. Soil ecotoxicity study of DEHP with respect to multiple soil species. Chemosphere 2019, 216, 387–395. [Google Scholar] [CrossRef]
- Wang, J.; Wang, L.; Zhu, L.; Wang, J. Individual and combined effects of enrofloxacin and cadmium on soil microbial biomass and the ammonia-oxidizing functional gene. Sci. Total. Environ. 2018, 624, 900–907. [Google Scholar] [CrossRef]
- Yang, R.; Wang, J.; Zhu, L.; Wang, J.; Yang, L.; Mao, S.; Conkle, J.L.; Chen, Y.; Kim, Y.M. Effects of interaction between enrofloxacin and copper on soil enzyme activity and evaluation of comprehensive toxicity. Chemosphere 2021, 268, 129208. [Google Scholar] [CrossRef]
- Zhu, Y.G.; Johnson, T.A.; Su, J.Q.; Qiao, M.; Guo, G.X.; Stedtfeld, R.D.; Hashsham, S.A.; Tiedje, J.M. Diverse and abundant antibiotic resistance genes in Chinese swine farms. Proc. Natl. Acad. Sci. USA 2013, 110, 3435–3440. [Google Scholar] [CrossRef]
- Shawver, S.; Wepking, C.; Ishii, S.; Strickland, M.S.; Badgley, B.D. Application of manure from cattle administered antibiotics has sustained multi-year impacts on soil resistome and microbial community structure. Soil. Biol. Biochem. 2021, 157, 108252. [Google Scholar] [CrossRef]
- Boxall, A.B.A.; Johnson, P.; Smith, E.J.; Sinclair, C.J.; Stutt, E.S.; Levy, L.S. Uptake of veterinary medicines from soils into plants. J. Agric. Food Chem. 2006, 54, 2288–2297. [Google Scholar] [CrossRef] [PubMed]
- Li, Y.; Hu, Y.; Ai, X.; Qiu, J.; Wang, X. Acute and sub-acute effects of enrofloxacin on the earthworm species Eisenia fetida in an artificial soil substrate. Eur. J. Soil. Biol. 2015, 66, 19–23. [Google Scholar] [CrossRef]
- Li, Y.; Zhao, C.; Lu, X.; Ai, X.; Qiu, J. Identification of a cytochrome P450 gene in the earthworm Eisenia fetida and its mRNA expression under enrofloxacin stress. Ecotoxicol. Environ. Saf. 2018, 150, 70–75. [Google Scholar] [CrossRef] [PubMed]
- Lu, X.; Li, Y.; Thunders, M.; Matthew, C.; Wang, X.; Ai, X.; Zhou, X.; Qiu, J. Effect of enrofloxacin on the proteome of earthworms. Sci. Total. Environ. 2018, 616–617, 531–542. [Google Scholar] [CrossRef]
- Christen, V.; Crettaz, P.; Oberli-Schrammli, A.; Fent, K. Antiandrogenic activity of phthalate mixtures: Validity of concentration addition. Toxicol. Appl. Pharmacol. 2012, 259, 169–176. [Google Scholar] [CrossRef]
- Li, L.; Li, H.; Qu, P.; Xiao, M.; Zhang, G.; Zhang, Q.; Cai, Y.; Jin, C.; Yang, J.; Wu, S.; et al. An Antagonism Joint Action of Lead and Di-2-Ethylhexyl Phthalate Explains an Improved Ability of Learning and Memory after Combined Exposure in Weaning Rats. Biol. Trace Elem. Res. 2019, 191, 126–134. [Google Scholar] [CrossRef]
- Li, Y.; Tang, H.; Hu, Y.; Wang, X.; Ai, X.; Tang, L.; Matthew, C.; Cavanagh, J.; Qiu, J. Enrofloxacin at environmentally relevant concentrations enhances uptake and toxicity of cadmium in the earthworm Eisenia fetida in farm soils. J. Hazard. Mater. 2016, 308, 312–320. [Google Scholar] [CrossRef]
- Wei, S.; Wang, F.; Chen, Y.; Lan, T.; Zhang, S. The joint toxicity effect of five antibiotics and dibutyl phthalate to luminescent bacteria (Vibrio fischeri). Environ. Sci. Pollut. Res. Int. 2018, 25, 26504–26511. [Google Scholar] [CrossRef]
- Li, X.W.; Xie, Y.F.; Li, C.L.; Zhao, H.N.; Zhao, H.; Wang, N.; Wang, J.F. Investigation of residual fluoroquinolones in a soil-vegetable system in an intensive vegetable cultivation area in Northern China. Sci. Total. Environ. 2014, 468–469, 258–264. [Google Scholar] [CrossRef]
- Huang, C.; Ge, Y.; Yue, S.; Qiao, Y.; Liu, L. Impact of soil metals on earthworm communities from the perspectives of earthworm ecotypes and metal bioaccumulation. J. Hazard. Mater. 2021, 406, 124738. [Google Scholar] [CrossRef] [PubMed]
- Xu, H.J.; Bai, J.; Li, W.Y.; Zhao, L.X.; Li, Y.T. Removal of persistent DDT residues from soils by earthworms: A mechanistic study. J. Hazard. Mater. 2019, 365, 622–631. [Google Scholar] [CrossRef] [PubMed]
- Xu, H.J.; Bai, J.; Li, W.; Murrell, J.C.; Zhang, Y.; Wang, J.; Luo, C.; Li, Y. Mechanisms of the enhanced DDT removal from soils by earthworms: Identification of DDT degraders in drilosphere and non-drilosphere matrices. J. Hazard. Mater. 2021, 404, 124006. [Google Scholar] [CrossRef] [PubMed]
- Zhang, C.; Zhou, T.; Du, Z.; Juhasz, A.; Zhu, L.; Wang, J.; Wang, J.; Li, B. Applying fungicide on earthworms: Biochemical effects of Eisenia fetida exposed to fluoxastrobin in three natural soils. Environ. Pollut. 2020, 258, 113666. [Google Scholar] [CrossRef]
- Song, P.; Ping, L.; Gao, J.; Li, X.; Zhu, M.; Wang, J. Ecotoxicological effects of fertilizers made from pulping waste liquor on earthworm Eisenia fetida. Ecotoxicol. Environ. Saf. 2018, 166, 237–241. [Google Scholar] [CrossRef]
- Sanchez-Hernandez, J.C.; Rios, J.M.; Attademo, A.M.; Malcevschi, A.; Andrade Cares, X. Assessing biochar impact on earthworms: Implications for soil quality promotion. J. Hazard. Mater. 2019, 366, 582–591. [Google Scholar] [CrossRef]
- Junior, S.F.S.; da Silva, E.O.; de Farias Araujo, G.; Soares, L.O.S.; Parente, C.E.T.; Malm, O.; Saggioro, E.M.; Correia, F.V. Antioxidant system alterations and biological health status of earthworms following long-term exposure to antibiotic-contaminated poultry litter. Environ. Sci. Pollut. Res. Int. 2022, 29, 23607–23618. [Google Scholar] [CrossRef]
- Ma, T.; Zhou, W.; Chen, L.; Wu, L.; Christie, P.; Zhang, H.; Luo, Y. Toxicity effects of di-(2-ethylhexyl) phthalate to Eisenia fetida at enzyme, cellular and genetic levels. PLoS ONE 2017, 12, e0173957. [Google Scholar] [CrossRef]
- USEPA. Ecological Effects Test Guidelines—OCSPP 850.3100: Earthworm Sub Chronic Toxicity Test. EPA 712-C-016. 2012. Available online: https://nepis.epa.gov/Exe/ZyPDF.cgi/P100IREJ.PDF?Dockey=P100IREJ.PDF (accessed on 20 May 2023).
- Zhang, C.; Zhou, T.; Wang, J.; Zhang, S.; Zhu, L.; Du, Z.; Wang, J. Acute and chronic toxic effects of fluoxastrobin on zebrafish (Danio rerio). Sci. Total. Environ. 2018, 610–611, 769–775. [Google Scholar] [CrossRef]
- Villar, I.; Alves, D.; Perez-Diaz, D.; Mato, S. Changes in microbial dynamics during vermicomposting of fresh and composted sewage sludge. Waste Manag. 2016, 48, 409–417. [Google Scholar] [CrossRef]
- Xu, Z.; Yang, Z.; Zhu, T.; Shu, W.; Geng, L. Ecological improvement of antimony and cadmium contaminated soil by earthworm Eisenia fetida: Soil enzyme and microorganism diversity. Chemosphere 2021, 273, 129496. [Google Scholar] [CrossRef] [PubMed]
- Liang, X.; Zhou, D.; Wang, J.; Li, Y.; Liu, Y.; Ning, Y. Evaluation of the toxicity effects of microplastics and cadmium on earthworms. Sci. Total. Environ. 2022, 836, 155747. [Google Scholar] [CrossRef] [PubMed]
- Sanchez, W.; Burgeot, T.; Porcher, J.M. A novel “Integrated Biomarker Response” calculation based on reference deviation concept. Environ. Sci. Pollut. Res. Int. 2013, 20, 2721–2725. [Google Scholar] [CrossRef] [PubMed]
- Chauhan, D.; Pandey, P.; Ogata, A.; Teoh, G.; Krett, N.; Halgren, R.; Anderson, K. Cytochrome c-dependent and -independent induction of apoptosis in multiple myeloma cells. J. Biol. Chem. 1997, 272, 29995–29997. [Google Scholar] [CrossRef]
- Circu, M.L.; Aw, T.Y. Reactive oxygen species, cellular redox systems, and apoptosis. Free. Radic. Biol. Med. 2010, 48, 749–762. [Google Scholar] [CrossRef]
- Cooke, M.S.; Evans, M.D.; Dizdaroglu, M.; Lunec, J. Oxidative DNA damage: Mechanisms, mutation, and disease. FASEB J. 2003, 17, 1195–1214. [Google Scholar] [CrossRef]
- Han, Y.; Liu, T.; Wang, J.; Wang, J.; Zhang, C.; Zhu, L. Genotoxicity and oxidative stress induced by the fungicide azoxystrobin in zebrafish (Danio rerio) livers. Pestic. Biochem. Physiol. 2016, 133, 13–19. [Google Scholar] [CrossRef]
- Liu, T.; Wang, X.; Chen, D.; Li, Y.; Wang, F. Growth, reproduction and biochemical toxicity of chlorantraniliprole in soil on earthworms (Eisenia fetida). Ecotoxicol. Environ. Saf. 2018, 150, 18–25. [Google Scholar] [CrossRef]
- Liang, J.; Xia, X.; Zhang, W.; Zaman, W.Q.; Lin, K.; Hu, S.; Lin, Z. The biochemical and toxicological responses of earthworm (Eisenia fetida) following exposure to nanoscale zerovalent iron in a soil system. Environ. Sci. Pollut. Res. Int. 2017, 24, 2507–2514. [Google Scholar] [CrossRef]
- Liu, W.J.; Gao, J.P.; Wang, G.Y.; Zhu, L.S.; Wang, J.H.; Wang, J. Oxidating Stress and DNA Damage of DEHP to Soil Earthworms. Acta Pedol. Sin. 2017, 54, 1170. [Google Scholar] [CrossRef]
- Baihetiyaer, B.; Jiang, N.; Li, X.; He, B.; Wang, J.; Fan, X.; Sun, H.; Yin, X. Oxidative stress and gene expression induced by biodegradable microplastics and imidacloprid in earthworms (Eisenia fetida) at environmentally relevant concentrations. Environ. Pollut. 2023, 323, 121285. [Google Scholar] [CrossRef]
- He, F.; Li, X.; Huo, C.; Chu, S.; Cui, Z.; Li, Y.; Wan, J.; Liu, R. Evaluation of fluorene-caused ecotoxicological responses and the mechanism underlying its toxicity in Eisenia fetida: Multi-level analysis of biological organization. J. Hazard. Mater. 2022, 437, 129342. [Google Scholar] [CrossRef]
- Hou, K.; Shi, B.; Liu, Y.; Lu, C.; Li, D.; Du, Z.; Li, B.; Zhu, L. Toxicity evaluation of pyraclostrobin exposure in farmland soils and co-exposure with nZnO to Eisenia fetida. J. Hazard. Mater. 2022, 433, 128794. [Google Scholar] [CrossRef] [PubMed]
- Hu, S.; Zhang, W.; Li, J.; Lin, K.; Ji, R. Antioxidant and gene expression responses of Eisenia fetida following repeated exposure to BDE209 and Pb in a soil-earthworm system. Sci. Total. Environ. 2016, 556, 163–168. [Google Scholar] [CrossRef] [PubMed]
- Qiao, Z.; Li, P.; Tan, J.; Peng, C.; Zhang, F.; Zhang, W.; Jiang, X. Oxidative stress and detoxification mechanisms of earthworms (Eisenia fetida) after exposure to flupyradifurone in a soil-earthworm system. J. Environ. Manag. 2022, 322, 115989. [Google Scholar] [CrossRef]
- Cao, B.; Lv, H.; Nie, T.; Ma, Y.; Jiang, Z.; Hu, Y.; Yang, C.; Zhang, Y. Combined toxicity of acetochlor and metribuzin on earthworm Eisenia fetida: Survival, oxidative stress responses and joint effect. Appl. Soil. Ecol. 2022, 178, 104583. [Google Scholar] [CrossRef]
- Conesa, A.; Punt, P.J.; van den Hondel, C.A. Fungal peroxidases molecular aspects and applications. J. Biotechnol. 2002, 93, 143–158. [Google Scholar] [CrossRef] [PubMed]
- Gupta, P.; Kumar, V.; Usmani, Z.; Rani, R.; Chandra, A.; Gupta, V.K. A comparative evaluation towards the potential of Klebsiella sp. and Enterobacter sp. in plant growth promotion, oxidative stress tolerance and chromium uptake in Helianthus annuus (L.). J. Hazard. Mater. 2019, 377, 391–398. [Google Scholar] [CrossRef]
- Song, P.; Jiang, N.; Zhang, K.; Li, X.; Li, N.; Zhang, Y.; Wang, Q.; Wang, J. Ecotoxicological evaluation of zebrafish liver (Danio rerio) induced by dibutyl phthalate. J. Hazard. Mater. 2022, 425, 128027. [Google Scholar] [CrossRef]
- He, F.; Liu, R.; Tian, G.; Qi, Y.; Wang, T. Ecotoxicological evaluation of oxidative stress-mediated neurotoxic effects, genetic toxicity, behavioral disorders, and the corresponding mechanisms induced by fluorene-contaminated soil targeted to earthworm (Eisenia fetida) brain. Sci. Total. Environ. 2023, 871, 162014. [Google Scholar] [CrossRef]
- Hannam, M.L.; Bamber, S.D.; Galloway, T.S.; John Moody, A.; Jones, M.B. Effects of the model PAH phenanthrene on immune function and oxidative stress in the haemolymph of the temperate scallop Pecten maximus. Chemosphere 2010, 78, 779–784. [Google Scholar] [CrossRef] [PubMed]
- Li, D.; Hockaday, W.C.; Masiello, C.A.; Alvarez, P.J.J. Earthworm avoidance of biochar can be mitigated by wetting. Soil. Biol. Biochem. 2011, 43, 1732–1737. [Google Scholar] [CrossRef]
- Hayes, J.D.; Strange, R.C. Glutathione S-Transferase Polymorphisms and Their Biological Consequences. Pharmacology 2000, 61, 154–166. [Google Scholar] [CrossRef] [PubMed]
- Li, X.W.; Xiao, X.L.; Liang, Y.P.; Zhang, C.P.; Zhang, S.L.; Gu, Z.M.; Qi, Z.Q. Inhibition Effect of Alachlor on Glutathione S-transferase of Chironomus riparius (Diptera: Chironomidae). Asian J. Ecotoxicol. 2015, 2, 243–250. [Google Scholar] [CrossRef]
- Li, X.; Li, M.; Jiang, N.; Yao, X.; Wang, Q.; Lv, H.; Wang, C.; Wang, J. Evaluation of soil ecological health after exposure to environmentally relevant doses of Di (2-ethylhexyl) phthalate: Insights from toxicological studies of earthworms at different ecological niches. Environ. Pollut. 2023, 322, 121204. [Google Scholar] [CrossRef]
- Enayati, A.A.; Ranson, H.; Hemingway, J. Insect glutathione transferases and insecticide resistance. Insect Mol. Biol. 2005, 14, 3–8. [Google Scholar] [CrossRef]
- Zhang, Y.; Yang, Z.; Li, X.; Song, P.; Wang, J. Effects of diisononyl phthalate exposure on the oxidative stress and gut microorganisms in earthworms (Eisenia fetida). Sci. Total. Environ. 2022, 822, 153563. [Google Scholar] [CrossRef]
- Chu, L.; Hou, X.; Song, X.; Zhao, X.; Hu, S.; Shen, G. Toxicity of ionic liquids against earthworms (Eisenia fetida). Sci. Total. Environ. 2023, 875, 162411. [Google Scholar] [CrossRef]
- Anjana Vaman, V.S.; Tinu, S.K.; Geetha, C.S.; Lissy, K.K.; Mohanan, P.V. Effect of fibrin glue on antioxidant defense mechanism, oxidative DNA damage and chromosomal aberrations. Toxicol. Mech. Methods 2013, 23, 500–508. [Google Scholar] [CrossRef]
- Di Minno, A.; Turnu, L.; Porro, B.; Squellerio, I.; Cavalca, V.; Tremoli, E.; Di Minno, M.N. 8-Hydroxy-2-deoxyguanosine levels and heart failure: A systematic review and meta-analysis of the literature. Nutr. Metab. Cardiovasc. Dis. 2017, 27, 201–208. [Google Scholar] [CrossRef]
- Wen, S.; Liu, C.; Wang, Y.; Xue, Y.; Wang, X.; Wang, J.; Xia, X.; Kim, Y.M. Oxidative stress and DNA damage in earthworm (Eisenia fetida) induced by triflumezopyrim exposure. Chemosphere 2021, 264, 128499. [Google Scholar] [CrossRef] [PubMed]
- Shi, Z.; Wen, M.; Zhang, J.; Tang, Z.; Wang, C. Effect of phenanthrene on the biological characteristics of earthworm casts and their relationships with digestive and anti-oxidative systems. Ecotoxicol. Environ. Saf. 2020, 193, 110359. [Google Scholar] [CrossRef] [PubMed]
- Rong, H.; Wang, C.; Liu, H.; Zhang, M.; Yuan, Y.; Pu, Y.; Huang, J.; Yu, J. Biochemical Toxicity and Potential Detoxification Mechanisms in Earthworms Eisenia fetida Exposed to Sulfamethazine and Copper. Bull. Environ. Contam. Toxicol. 2020, 105, 255–260. [Google Scholar] [CrossRef] [PubMed]
- Polge, C.; Jaquinod, M.; Holzer, F.; Bourguignon, J.; Walling, L.; Brouquisse, R. Evidence for the Existence in Arabidopsis thaliana of the Proteasome Proteolytic Pathway: Activation in response to cadmium. J. Biol. Chem. 2009, 284, 35412–35424. [Google Scholar] [CrossRef]
- Park, I.Y.; Cha, J.R.; Ok, S.M.; Shin, C.; Kim, J.S.; Kwak, H.J.; Yu, Y.S.; Kim, Y.K.; Medina, B.; Cho, S.J.; et al. A new earthworm cellulase and its possible role in the innate immunity. Dev. Comp. Immunol. 2017, 67, 476–480. [Google Scholar] [CrossRef] [PubMed]
- Khalid, H.; Kashif Zahoor, M.; Riaz, D.; Arshad, M.; Yaqoob, R.; Ranian, K. Sewage Sludge-Induced Effect on Growth, Enzyme Inhibition, and Genotoxicity can be Ameliorated Using Wheat Straw and Biochar in Pheretima posthuma Earthworms. Front. Environ. Sci. 2022, 10, 888394. [Google Scholar] [CrossRef]
- Wang, K.; Pang, S.; Mu, X.; Qi, S.; Li, D.; Cui, F.; Wang, C. Biological response of earthworm, Eisenia fetida, to five neonicotinoid insecticides. Chemosphere 2015, 132, 120–126. [Google Scholar] [CrossRef]
- Zhang, Q.; Zhang, G.; Yin, P.; Lv, Y.; Yuan, S.; Chen, J.; Wei, B.; Wang, C. Toxicological effects of soil contaminated with spirotetramat to the earthworm Eisenia fetida. Chemosphere 2015, 139, 138–145. [Google Scholar] [CrossRef]
- Zhang, Q.; Zhang, B.; Wang, C. Ecotoxicological effects on the earthworm Eisenia fetida following exposure to soil contaminated with imidacloprid. Environ. Sci. Pollut. Res. Int. 2014, 21, 12345–12353. [Google Scholar] [CrossRef]
- Xiao, N.; Jing, B.; Ge, F.; Liu, X. The fate of herbicide acetochlor and its toxicity to Eisenia fetida under laboratory conditions. Chemosphere 2006, 62, 1366–1373. [Google Scholar] [CrossRef]
- Luo, Y.R.; Wang, S.H.; Yun, M.X.; Li, X.Y.; Wang, J.J.; Sun, Z.J. The toxic effects of ionic liquids on the activities of acetylcholinesterase and cellulase in earthworms. Chemosphere 2009, 77, 313–318. [Google Scholar] [CrossRef]
- Beaumelle, L.; Hedde, M.; Vandenbulcke, F.; Lamy, I. Relationships between metal compartmentalization and biomarkers in earthworms exposed to field-contaminated soils. Environ. Pollut. 2017, 224, 185–194. [Google Scholar] [CrossRef]
- Jiang, N.; Song, P.; Li, X.; Zhu, L.; Wang, J.; Yin, X.; Wang, J. Dibutyl phthalate induced oxidative stress and genotoxicity on adult zebrafish (Danio rerio) brain. J. Hazard. Mater. 2022, 424, 127749. [Google Scholar] [CrossRef] [PubMed]
- Du, L.; Li, G.; Liu, M.; Li, Y.; Yin, S.; Zhao, J.; Zhang, X. Evaluation of DNA damage and antioxidant system induced by di-n-butyl phthalates exposure in earthworms (Eisenia fetida). Ecotoxicol. Environ. Saf. 2015, 115, 75–82. [Google Scholar] [CrossRef] [PubMed]
- Hu, X.Y.; Wen, B.; Zhang, S.; Shan, X.Q. Bioavailability of phthalate congeners to earthworms (Eisenia fetida) in artificially contaminated soils. Ecotoxicol. Environ. Saf. 2005, 62, 26–34. [Google Scholar] [CrossRef] [PubMed]
- Pu, Q.; Wang, H.T.; Pan, T.; Li, H.; Su, J.Q. Enhanced removal of ciprofloxacin and reduction of antibiotic resistance genes by earthworm Metaphire vulgaris in soil. Sci. Total. Environ. 2020, 742, 140409. [Google Scholar] [CrossRef]
Disclaimer/Publisher’s Note: The statements, opinions and data contained in all publications are solely those of the individual author(s) and contributor(s) and not of MDPI and/or the editor(s). MDPI and/or the editor(s) disclaim responsibility for any injury to people or property resulting from any ideas, methods, instructions or products referred to in the content. |
© 2023 by the authors. Licensee MDPI, Basel, Switzerland. This article is an open access article distributed under the terms and conditions of the Creative Commons Attribution (CC BY) license (https://creativecommons.org/licenses/by/4.0/).





