Plasma Treated Cattle Slurry Moderately Increases Cereal Yields
Abstract
1. Introduction
2. Materials and Methods
2.1. Experimental Design
2.2. Trials Location
2.3. Fertilizers
- Untreated slurry: Cattle Slurry from the Norwegian University of Life Sciences farm.
 - NEO (Nitrogen Enriched organic fertilizer): This is the same slurry as «Untreated slurry» processed through the N2 Applied unit. The available nitrogen in NEO is around 50% ammonia, 30% nitrate, and 20% nitrite, and the acidity is down to around pH 5.2. The relative levels of nitrate and nitrite vary quite a lot. See Table 2.
 - Mineral fertilizer 18-3-15: A commercially available mineral fertilizer produced by Yara [20] with 18% nitrogen (N), 3% phosphorus (P), and 15% potassium (K). The 18% N consists of slightly more ammonia than nitrate. This fertilizer was chosen due to the similarities in plant available nutrients to NEO.
 - Mineral fertilizer Opti-NS (27-0-0) [21]: This is an N fertilizer combined with sulfur (S) (3.6%), where the N consists of equal amounts of ammonia and nitrate.
 
2.4. Weather Conditions
2.5. Data Handling, Statistics, and Analysis
3. Results
3.1. Barley and Wheat Grain and Nitrogen Yield—Series 1 2020
3.2. Barley and Wheat Grain and Nitrogen Yield—Series One, 2021 and 2022
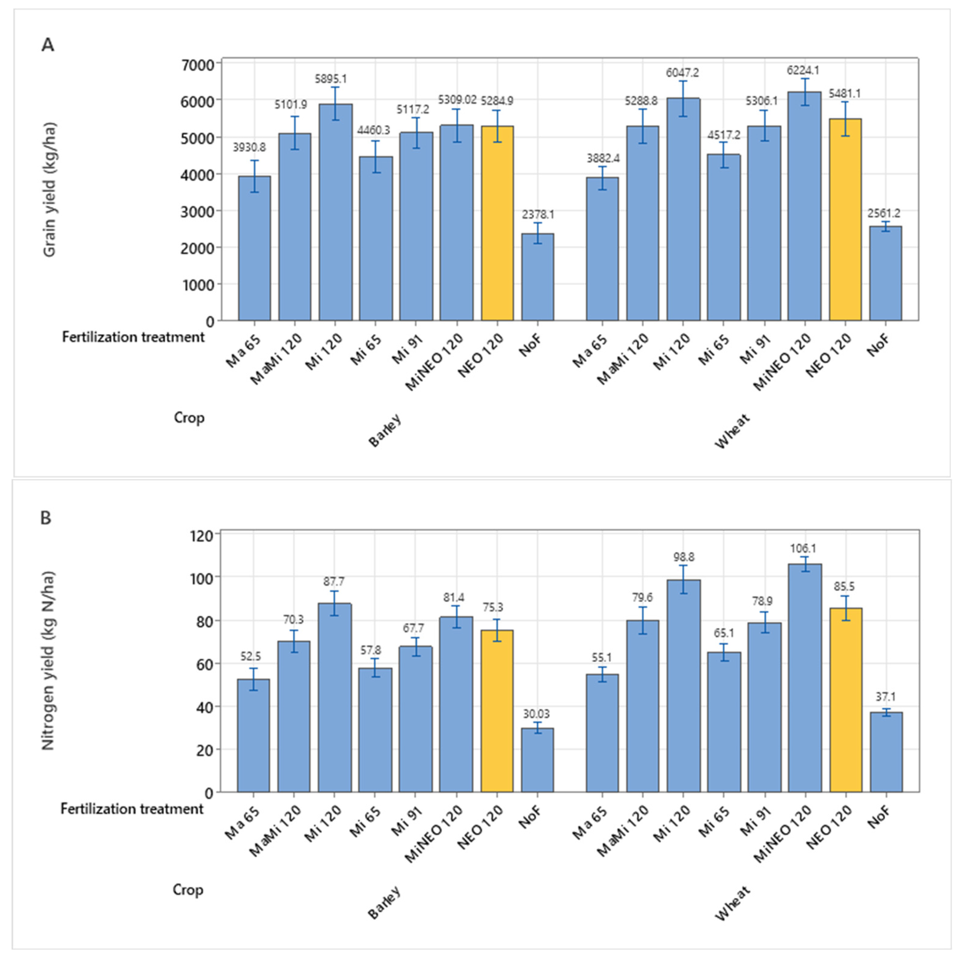
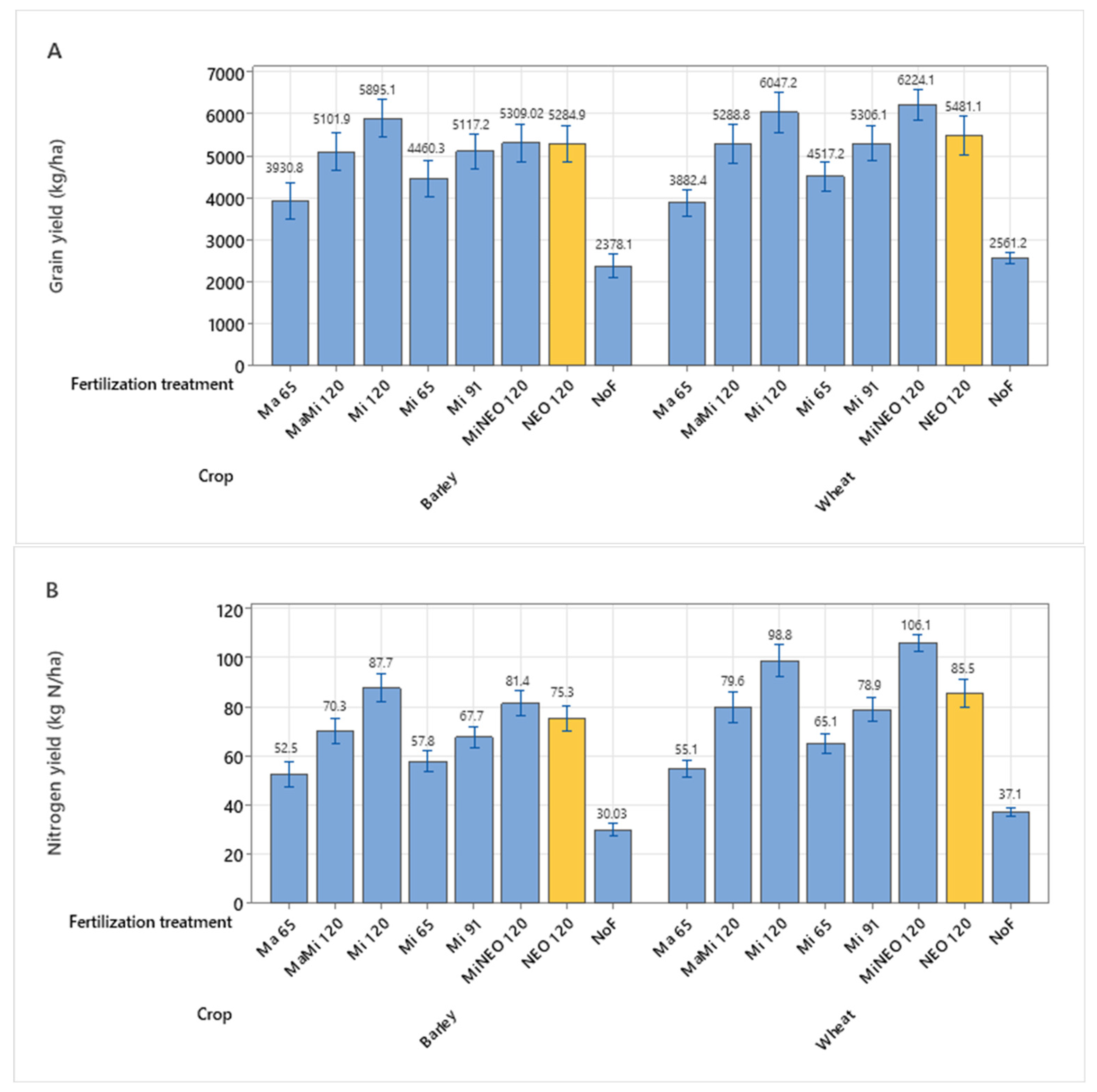
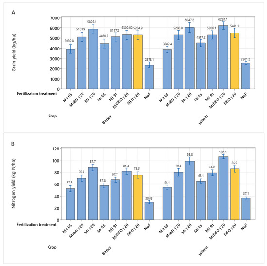
3.3. Barley and Wheat Grain and Nitrogen Yield—Series Two, 2021–2022
3.4. Nitrogen Effects: Results from All 10 Trials in Series One and Two in 2021 and 2022
3.5. Sum up All Average Yields
4. Discussion
4.1. Nitrogen Fertilization Effect of NEO
4.2. NEO at Three Leaf Stage
4.3. Limitations and Further Research
5. Conclusions
Author Contributions
Funding
Data Availability Statement
Acknowledgments
Conflicts of Interest
References
- FAO. The Future of Food and Agriculture, Trends and Challenges; Food and Agriculture Organization of the United Nations: Rome, Italy, 2017; ISBN 978-92-5-109551-5. [Google Scholar]
 - Intergovernmental Panel on Climate Change. Climate Change and Land: IPCC Special Report on Climate Change, Desertification, Land Degradation, Sustainable Land Management, Food Security, and Greenhouse Gas Fluxes in Terrestrial Ecosystems; Cambridge University Press: Cambridge, UK, 2022.
 - Vermeir, I.; Verbeke, W. Sustainable Food Consumption: Exploring the Consumer “Attitude–Behavioral Intention” Gap. J. Agric. Environ. Ethics 2006, 19, 169–194. [Google Scholar] [CrossRef]
 - Augustin, M.A.; Riley, M.; Stockmann, R.; Bennett, L.; Kahl, A.; Lockett, T.; Osmond, M.; Sanguansri, P.; Stonehouse, W.; Zajac, I.; et al. Role of food processing in food and nutrition security. Trends Food Sci. Technol. 2016, 56, 115–125. [Google Scholar] [CrossRef]
 - Janker, J.; Mann, S.; Rist, S. Social sustainability in agriculture—A system-based framework. J. Rural Stud. 2019, 65, 32–42. [Google Scholar] [CrossRef]
 - Rajic, S.; Đorđević, V.; Tomasevic, I.; Djekic, I. The role of food systems in achieving the sustainable development goals: Environmental perspective. Bus. Strategy Environ. 2022, 31, 988–1001. [Google Scholar] [CrossRef]
 - Dong, N.-Q.; Lin, H.-X. Higher yield with less nitrogen fertilizer. Nat. Plants 2020, 6, 1078–1079. [Google Scholar] [CrossRef] [PubMed]
 - Houlton, B.Z.; Almaraz, M.; Aneja, V.; Austin, A.T.; Bai, E.; Cassman, K.G.; Compton, J.E.; Davidson, E.A.; Erisman, J.W.; Galloway, J.N.; et al. A World of Cobenefits: Solving the Global Nitrogen Challenge. Earth’s Future 2019, 7, 865–872. [Google Scholar] [CrossRef] [PubMed]
 - Bondada, B.R.; Oosterhuis, D.M. Canopy photosynthesis, specific leaf weight, and yield components of cotton under varying nitrogen supply. J. Plant Nutr. 2001, 24, 469–477. [Google Scholar] [CrossRef]
 - Rütting, T.; Aronsson, H.; Delin, S. Efficient use of nitrogen in agriculture. Nutr. Cycl. Agroecosyst. 2018, 110, 1–5. [Google Scholar] [CrossRef]
 - FAO. World Fertilizer Trends and Outlook to 2022; FAO: Rome, Italy, 2019. [Google Scholar]
 - Upendra, M.S.; Rajan, G.; Gautam, P.P. Nitrogen Fertilization I: Impact on Crop, Soil, and Environment. In Nitrogen Fixation; Everlon Cid, R., Ademar Pereira, S., Eds.; IntechOpen: Rijeka, Croatia, 2019; Chapter 5. [Google Scholar]
 - European Commission. Sustainable Use of Nutrients: The Common Agricultural Policy Supports Farmers in the Safe and Efficient Use of Nutrients. Available online: https://ec.europa.eu/info/food-farming-fisheries/sustainability/environmental-sustainability/low-input-farming/nutrients_en (accessed on 18 July 2022).
 - Graves, D.B.; Bakken, L.B.; Jensen, M.B.; Ingels, R. Plasma Activated Organic Fertilizer. Plasma Chem. Plasma Process. 2019, 39, 1–19. [Google Scholar] [CrossRef]
 - Ingels, R.; Graves, D.B. Improving the Efficiency of Organic Fertilizer and Nitrogen Use via Air Plasma and Distributed Renewable Energy. Plasma Med. 2015, 5, 257–270. [Google Scholar] [CrossRef]
 - N2 Applied. Nitrogen Enriched Organic Fertiliser. Available online: https://n2applied.com/ (accessed on 19 July 2022).
 - Mousavi, H.; Cottis, T.; Pommeresche, R.; Dörsch, P.; Solberg, S.Ø. Plasma-Treated Nitrogen-Enriched Manure Does Not Impose Adverse Effects on Soil Fauna Feeding Activity or Springtails and Earthworms Abundance. Agronomy 2022, 12, 2314. [Google Scholar] [CrossRef]
 - Mousavi, H.; Solberg, S.Ø.; Cottis, T.; Dörsch, P. Nitrogen-Enriched Organic Fertilizer (NEO) Elevates Nitrification Rates Shortly after Application But Has No Lasting Effect on Nitrification in Agricultural Soils. Preprint. 2023. Available online: https://doi.org/10.21203/rs.3.rs-2565156/v1 (accessed on 10 March 2023).
 - Mousavi, H.; Cottis, T.; Hoff, G.; Solberg, S.Ø. Nitrogen Enriched Organic Fertilizer (NEO) and Its Effect on Ryegrass Yield and Soil Fauna Feeding Activity under Controlled Conditions. Sustainability 2022, 14, 2005. [Google Scholar] [CrossRef]
 - Yara. YaraMila™. Available online: https://www.yara.com/crop-nutrition/products-and-solutions/global-fertilizer-brands/yaramila/ (accessed on 20 July 2022).
 - Yara International. Yara Opti NS. Available online: https://www.yara.no/gjoedsel/produkter/yarabela/yarabela-opti-ns-27-0-0-4s/ (accessed on 3 May 2023).
 - Zadoks, J.C.; Chang, T.T.; Konzak, C.F. A decimal code for the growth stages of cereals. Weed Res. 1974, 14, 415–421. [Google Scholar] [CrossRef]
 - yr.no. Norwegian Meteorological Institute and the Norwegian Broadcasting Corporation; Weather Data History. 2023. Available online: www.yr.no (accessed on 11 March 2023).
 - Strand, E. Jord-Og Plantekultur 2021 Forsøk i Korn, Olje-Og Belgvekster, Engfrøavl Og Potet 2020; NIBIO: Amsterdam, The Netherlands, 2021; Available online: https://nibio.brage.unit.no/nibio-xmlui/handle/11250/2740694 (accessed on 11 March 2023).
 - Watson, C.A.; Atkinson, D.; Gosling, P.; Jackson, L.R.; Rayns, F.W. Managing soil fertility in organic farming systems. Soil Use Manag. 2002, 18, 239–247. [Google Scholar] [CrossRef]
 - Biswas, D.; Micallef, S.A. Safety and Practice for Organic Food; Academic Press: Cambridge, MA, USA, 2019. [Google Scholar]
 - Sutton, M.; Howard, C.; Mason, K.; Brownlie, W.; Cordovil, C. Nitrogen Opportunities for Agriculture, Food & Environment. UNECE Guidance Document on Integrated Sustainable Nitrogen Management. 2022. Available online: https://nora.nerc.ac.uk/id/eprint/534033/ (accessed on 10 March 2023).
 - Jackson, D.R.; Smith, K.A. Animal manure slurries as a source of nitrogen for cereals; effect of application time on efficiency. Soil Use Manag. 1997, 13, 75–81. [Google Scholar] [CrossRef]
 - Ladha, J.K.; Pathak, H.J.; Krupnik, T.; Six, J.; van Kessel, C. Efficiency of Fertilizer Nitrogen in Cereal Production: Retrospects and Prospects. In Advances in Agronomy; Academic Press: Cambridge, MA, USA, 2005; Volume 87, pp. 85–156. [Google Scholar]
 - Bosshard, C.; Sørensen, P.; Frossard, E.; Dubois, D.; Mäder, P.; Nanzer, S.; Oberson, A. Nitrogen use efficiency of 15N-labelled sheep manure and mineral fertiliser applied to microplots in long-term organic and conventional cropping systems. Nutr. Cycl. Agroecosyst. 2009, 83, 271–287. [Google Scholar] [CrossRef]
 - Alcoz, M.M.; Hons, F.M.; Haby, V.A. Nitrogen Fertilization Timing Effect on Wheat Production, Nitrogen Uptake Efficiency, and Residual Soil Nitrogen. Agron. J. 1993, 85, 1198–1203. [Google Scholar] [CrossRef]
 - Cox, W.J.; Reisenauer, H.M. Growth and ion uptake by wheat supplied nitrogen as nitrate, or ammonium, or both. Plant Soil 1973, 38, 363–380. [Google Scholar] [CrossRef]
 - Fangueiro, D.; Hjorth, M.; Gioelli, F. Acidification of animal slurry—A review. J. Environ. Manag. 2015, 149, 46–56. [Google Scholar] [CrossRef] [PubMed]
 





| Series | Trial | Location | Crops, Varieties, and Years | Detailed Location and Coordinates | Soil Type and Key Soil Parameters | 
|---|---|---|---|---|---|
| 1 | 1 | 3 | Barley’ Salome’ 2020, Wheat ‘Betong’ 2021, Barley’ Bente’ 2022 | 3 km east of Hamar (60.81830° N. 011.17968° E) | Loam. 4.5% organic. pH 7.4 | 
| 1 | 2 | 3 | Wheat ‘Mirakel’ 2020, Barley’ Anita’ 2021, Wheat ‘Betong’ 2022 | 3 km east of Hamar (60.81830° N. 011.17968° E) | Loam. 4.5% organic. pH 7.4 | 
| 1 | 3 | 2 | Wheat ‘Helmi’ 2021 | 3 km west of Årnes (60.12604° N. 11.39471° E) | Silt loam. 4.0% organic. pH 6.0 | 
| 1 | 4 | 2 | Barley ‘Brage’ 2021 | 3 km west of Årnes (60.12604° N. 11.39471° E) | Silt loam. 4.0% organic. pH 6.0 | 
| 2 | 5 | 1 | Wheat ‘Betong’ 2021 | 5 km west of Tønsberg (59.294937° N. 10.318813° E) | Silt loam. 6.5% organic. pH 6.2 | 
| 2 | 5 | 1 | Wheat ‘Betong’ 2022 | 15 km north of Tønsberg (59.384537° N. 10.232651° E) | Silt loam. 4.8% organic. pH 6.9 | 
| 2 | 6 | 4 | Barley ‘Thermus’ 2021 | 4 km north of Stjørdal (70.41109° N. 59.3647° E) | Loam. 2.7% organic. pH 6.1 | 
| 2 | 6 | 4 | Barley ‘Thermus’ 2022 | 4 km north of Stjørdal (70.37496° N. 59.7733° E) | Loam. 2.7% organic. pH 6.1 | 
| Fertilizer and Year | N-Min (kg ton−1)  | NH4+ (kg ton−1)  | NO3− (kg ton−1)  | NO2− (kg ton−1)  | Total N (kg ton−1)  | pH | 
|---|---|---|---|---|---|---|
| NEO 2020 | 3.4 | 1.68 | 1.24 | 0.52 | 4.7 | 5.3 | 
| Untreated 2020 | 1.7 | 1.7 | 0 | 0 | 2.8 | 7.1 | 
| NEO 2021 | 3.2 | 1.5 | 0.92 | 0.8 | 4.38 | 5.59 | 
| Untreated 2021 | 1.5 | 1.5 | 0 | 0 | 2.68 | 7.17 | 
| NEO 2022 | 3.55 | 1.66 | 1.19 | 0.69 | Not analyzed | 5.15 | 
| Untreated 2022 | 1.75 | 1.7 | 0 | 0 | Not analyzed | 7.35 | 
| Treatments in Series 1 in 2020: | Treatments in Series 1 in 2021 and 2022: | Treatments in Series 2 in 2021 and 2022: | 
|---|---|---|
| MaF51: 51 kg N ha−1 in Filtered untreated slurry. | NoF: No fertilizer | NoF: No fertilizer | 
| Ma56: 56 kg N ha−1 in untreated slurry | Ma65: 65 kg N ha−1 in untreated slurry (manure). | NEO120: 120 kg N ha−1 in NEO | 
| NEO102: 102 kg N ha−1 in NEO | NEO120: 120 kg N ha−1 in NEO | Ma65: 65 kg N ha−1 in untreated slurry. | 
| MiNEO 104: 12 kg N ha−1 in mineral fertilizer 18-3-15 applied to the trial plots before sowing and 92 kg N/ha−1 in NEO at Zadoks GS13 three leaves stage. | MiNEO 120: 12 kg N ha−1 in mineral fertilizer 18-3-15 applied to the trial plots before sowing and 108 kg N/ha−1 in NEO at Zadoks GS13 three leaves stage. | MaMi120: 65 kg N ha−1 in untreated slurry and 55 kg N ha−1 in mineral fertilizer Opti-NS. | 
| Mi51: 51 kg N ha−1 in mineral fertilizer 18-3-15 | Mi65: 65 kg N ha−1 in mineral fertilizer 18-3-15 | Mi30: 30 kg N ha−1 in mineral fertilizer 18-3-15 | 
| Mi91: 91 kg N ha−1 in mineral fertilizer 18-3-15 | Mi91: 91 kg N ha−1 in mineral fertilizer 18-3-15 | Mi55: 55 kg N ha−1 in mineral fertilizer 18-3-15 | 
| Mi123: 123 kg N ha−1 in mineral fertilizer 18-3-15 | Mi120: 120 kg N ha−1 in mineral fertilizer 18-3-15 | Mi80: 80 kg N ha−1 in mineral fertilizer 18-3-15 | 
| MaMi123: 56 kg N ha−1 in untreated slurry combined with 6.7 kg N ha−1 in mineral fertilizer Opti-NS | MaMi120: 65 kg N ha−1 in untreated slurry combined with 55 kg N ha−1 in mineral fertilizer Opti-NS | Mi105: 105 kg N ha−1 in mineral fertilizer 18-3-15 | 
| Mi120: 120 kg N ha−1 in mineral fertilizer 18-3-15 | 
| Year | Location | Average Temperature (°C)  | Normal Temperature (°C)  | Average Precipitation (mm)  | Normal Precipitation (mm)  | 
|---|---|---|---|---|---|
| 2020 | Hamar | 8.5 | 9.9 | 23 | 55 | 
| 2021 | Tønsberg | 9.9 | 10.8 | 95.1 | 71 | 
| 2021 | Årnes | 9.3 | 10.2 | 88.4 | 59 | 
| 2021 | Hamar | 9.5 | 9.9 | 77.9 | 55 | 
| 2021 | Stjørdal | 9.6 | 9.0 | 33.1 | 63 | 
| 2022 | Tønsberg | 11.4 | 10.8 | 36.5 | 71 | 
| 2022 | Hamar | 9.8 | 9.9 | 31.8 | 55 | 
| 2022 | Stjørdal | 9.6 | 9.0 | 72.6 | 63 | 
| Fertilization Treatment | Average Yield (kg ha−1) All Trials 2021 and 2022 Barley (5 Trials) | Average Yield (kg ha−1) All Trials 2021 and 2022 Wheat (5 Trials) | Average Yield (kg ha−1) Series 1 2021 and 2022 Barley (3 Trials)  | Average Yield (kg ha−1) Series 1 2021 and 2022 Wheat (3 Trials)  | 
|---|---|---|---|---|
| Ma65 | 4068 | 4013 | 3931 | 3882 | 
| MaMi120 | 5083 | 5290 | 5102 | 5289 | 
| NEO120 | 5068 | 5155 | 5285 | 5481 | 
| MiNEO120 | - | - | 5309 | 6224 | 
| Mi120 | 5443 | 6123 | 5895 | 6047 | 
Disclaimer/Publisher’s Note: The statements, opinions and data contained in all publications are solely those of the individual author(s) and contributor(s) and not of MDPI and/or the editor(s). MDPI and/or the editor(s) disclaim responsibility for any injury to people or property resulting from any ideas, methods, instructions or products referred to in the content.  | 
© 2023 by the authors. Licensee MDPI, Basel, Switzerland. This article is an open access article distributed under the terms and conditions of the Creative Commons Attribution (CC BY) license (https://creativecommons.org/licenses/by/4.0/).
Share and Cite
Cottis, T.; Mousavi, H.; Solberg, S.Ø. Plasma Treated Cattle Slurry Moderately Increases Cereal Yields. Agronomy 2023, 13, 1549. https://doi.org/10.3390/agronomy13061549
Cottis T, Mousavi H, Solberg SØ. Plasma Treated Cattle Slurry Moderately Increases Cereal Yields. Agronomy. 2023; 13(6):1549. https://doi.org/10.3390/agronomy13061549
Chicago/Turabian StyleCottis, Thomas, Hesam Mousavi, and Svein Øivind Solberg. 2023. "Plasma Treated Cattle Slurry Moderately Increases Cereal Yields" Agronomy 13, no. 6: 1549. https://doi.org/10.3390/agronomy13061549
APA StyleCottis, T., Mousavi, H., & Solberg, S. Ø. (2023). Plasma Treated Cattle Slurry Moderately Increases Cereal Yields. Agronomy, 13(6), 1549. https://doi.org/10.3390/agronomy13061549
        
