Abstract
Fenlong-ridging (FL) is a new type of conservation tillage. In many crops, FL increases crop yield and quality; however, the cytology and molecular mechanisms of crops under FL is not completely understood. This study investigated soil physical and chemical properties under FL and conventional tillage (CK) during 2018–2019 (plant cane) and 2019–2022 (first stubble), and analyzed the agronomic trait, physiology, leaf anatomical structure, and gene expression related to photosynthesis between FL and CK of sugarcane (Guitang 42). Soil bulk density significantly increased, and soil porosity, water storage, and content of available nitrogen and phosphorus under FL were significantly higher than those under CK. Plant height, stem diameter, single stem weight, effective stem number and yield significantly increased under FL compared to under CK. Sugar content significantly increased in plant cane under FL. Chlorophyll content and the photosynthetic rate increased, with significantly higher activity of photosynthetic enzymes including NADP-malate dehydrogenase (NADP-MDH), phosphoenolpyruvate carboxylase (PEPC), and ribulose-1,5-bisphosphate carboxylase (RuBPC) under FL compared to CK. Fenlong-ridging cytology results showed that the mesophyll cells were large and arranged well, the Kranz anatomy was noticeable, and there were a high number of large chloroplasts in mesophyll cell and in the vascular bundle sheath. Furthermore, the bundle sheath in FL was larger than that in CK. Transcriptomics results showed that 19,357 differentially genes (DEGs) were up-regulated and 28,349 DEGs were down-regulated in sugarcane leaves under FL vs. CK. The Gene Ontology and Kyoto Encyclopedia of Genes and Genomes enrichment analysis revealed that abundant DEGs were enriched in photosynthesis, photosynthesis-antenna protein, carotenoid biosynthesis, and other pathways associated with photosynthesis. Most expression was up-regulated, thus, facilitating photosynthesis regulation. Quantitative real-time polymerase chain reaction analysis revealed the up-regulation of genes related to photosynthesis (PsaH and PsbS) under FL. Overall, this study provides insights into the role of FL in increased sugarcane yield by integrating physiology, cytology, and proteomics analysis. These findings could be used to further improve its application and promotion.
1. Introduction
Sugarcane (Saccharum spp. hybrids) is an important economic tropical crop cultivated for sugar production globally [1]. Approximately 80% of sugar is refined from sugarcane, which makes it a key crucial biofuel and a renewable bioenergy crop [2]. Tillage may improve the sugarcane field growth conditions by reducing soil compaction [3], improving infiltration rate, increasing soil porosity and water storage, and increasing soil fertility, which is beneficial to sugarcane yield and sugar yield [3,4]. Conventional tillage is mostly used in sugarcane cultivation, wherein the soil environment is subjected to a series of changes in the long-term cultivation and production. Conventional tillage has a shallow tillage layer and poor soil permeability that easily causes soil slumping and nutrient imbalance [5]. Furthermore, it adversely affects sugarcane growth and development including poor water and fertilizer absorption capacity of the roots, slow growth of the above-ground part of sugarcane, and lower photosynthetic capacity, among others [6].
Ridge tillage can lead to a higher crop yield by directly improving soil moisture and root growth, and indirectly improving plant water status, thereby slowing down the decomposition of chlorophyll, improving photosynthetic characteristics and grain filling [7]. Fenlong-ridging (FL) is a new smash-ridging farming method developed by the Guangxi Academy of Agricultural Sciences [8]. Traditional tillage uses a plough, rake, or cross-axis rotation with soil breaking by ploughing or longitudinal soil breaking. In contrast, FL is carried out by the “self-propelled intelligent Fenlong machine” with a vertical drill, horizontal soil breaking by deep rotary tillage, ultra-deep tillage, and deep loosening without disturbing the soil layer [8]. Fenlong-ridging has been applied in 21 Chinese provinces to over 40 kinds of crops, including rice [9], maize [10], wheat [11], potato [12], cotton [13], and sugarcane [14]. Fenlong technology has greatly increased yield, quality, and efficiency of many crop [15], including sugarcane. Fenlong-ridging improves the soil environment of cane fields, including water-, nutrient-, and microorganism retention, and more favorable temperature [16]. The activity of enzymes related to respiratory metabolism is regulated to promote root absorption of water, N, P, K, and other nutrient elements [14,17], thereby improving the agronomic traits [14,18] and physiological metabolism of sugarcane aboveground [19]. Moreover, there is an increase in sugarcane yield and sugar content [14,18].
Crop yield and quality are affected by agricultural measures, environment, and genes. As one of the main measures, tillage plays an important role in agricultural production management. Sugarcane is a typical C4 crop with high photosynthetic efficiency, upright leaves, stomata on the upper and lower epidermis, and a special “Kranz” structure which facilitates light energy reception and gas exchange with the external environment [19,20]. Research on FL and crop growth has gradually expanded its focus from the soil environment and crop agronomic traits to crop physiology and cellular aspects. According to Li et al. [14,18], the ultrastructure of sugarcane root and stem cells was better under FL, indicating greater ability of FL to deliver nutrients. Coordination of C4 and C3 biochemical pathways requires complex changes to metabolism, and the compartmentalization of these pathways usually relies on specialized leaf anatomy [20]. The C4 photosynthesis process is a complex trait based on the transcriptional regulation of hundreds of genes [20]. The capacity of nitrogen absorption and assimilation in sugarcane roots was increased under FL due to upregulated expression levels of nitrogen absorption and assimilation-related genes, thereby promoting root growth [17]. However, few studies have determined its effects on leaves at the cellular and molecular level.
Photosynthesis influences plant biomass accumulation, and plants exhibiting high photosynthetic rates may result in higher yields [21]. Sugarcane yield can be defined as sugar (or a direct product of sugar, such as ethanol), and sugar is a direct product of photosynthesis [21], mainly occurring in green leaves. It is well established that appropriate tillage can improve photosynthetic efficiency and increase sugarcane yield. However, the influence of tillage on leaf anatomies is not assessed, and there is little research on the photosynthesis-related molecules of crops.
In this study, we investigated the effects of FL on the physical–chemical properties of the soil and analyzed the effect of FL on sugarcane photosynthetic characteristics, leaf anatomy, and gene expression associated with photosynthesis. Furthermore, the mechanism of increasing sugarcane yield in FL was analyzed by integrating tissue cytology, physiology, and transcriptomic levels. This work provides a theoretical basis for the application and promotion of FL in sugarcane production.
2. Materials and Methods
2.1. Experimental Site
Field experiment plots, established in the spring of 2018, were conducted in Long’an County, Guangxi Province, China (E 107°88′52′′; N 22°99′28′′). The area resembles a South Asian tropical monsoon climate, and the mean temperature is approximately 22 °C, with an average annual rainfall of 1304.2 mm in the sugarcane growing season. The area is characterized by red soil without historical Fenlong cultivation. The basic soil properties of the upper 20 cm soil layer are presented in Table 1.
Table 1.
The chemical and physical properties of 20 cm soil layer at the experimental site at Long’an, China.
2.2. Experimental Design
The experiments were set up in a completely randomized single-factorial (tillage) design with three replicates. Two tillage methods were used before planting sugarcane: conventional tillage (CK) and Fenlong-ridging (FL). The tillage treatments differed in terms of the tools that were used, along with the depth of tillage. The tillage equipment used in the study field and tillage depth are listed in Table 2.
Table 2.
Operation procedures and the equipment used for different tillage practices.
The field experiment included six plots, and each plot size was 60 m2 (10 m × 6 m) and contained five rows with pathways of 1.2 m to separate plots. In this study, sugarcane (Guitang 42) was planted by a double-bud planting method on 16 March 2018. Plant cane was harvested 10 months after planting in 2019, and first stubble was harvested 12 months after plant cane harvest in 2020. Plant density was controlled at 140,000 plants ha−1. Based on recommended nutrient rates for sugarcane growth in Guangxi, 538 kg N ha−1, 225 kg P2O ha−1, and 630 kg K2O ha−1 were applied to the soil in 2018 and 2019, respectively. The following fertilizers were used: urea, compound fertilizer, and potassium chloride.
2.3. Measurement Items and Methods
2.3.1. Agronomic Traits, Yield, and Quality
Plant cane was harvested on 19 January 2019, and first stubble was harvested on 13 January 2020. Effective stems with a length of 1 m or more were collected by cutting stems as close to the soil as possible. The final number of effective stems was recorded at harvest in plant cane (2019) and first stubble (2020) harvests. The weight of those was regarded as yield. Meanwhile, 20 representative sugarcanes were selected from each plot to measure plant height (on-ground sugarcane base to sugarcane growth point), stem diameter (average diameter of above-ground third internode, middle internode, and top-down seventh internode of sugarcane), and single stem weight (average weight of 20 representative sugarcanes). Six representative plants from each plot were selected and sent to the Institute of Sugarcane Research (Guangxi Academy of Agricultural Sciences) for sugar content determination.
2.3.2. Soil Bulk Density, Porosity, Water Storage, and Available N, P, K
Three soil samples (from the 0–20 cm soil layer) were taken at each plot in the elongation stage. Soil samples were ground to pass through a 0.8 mm sieve. Soil bulk density was measured by the core sampling method using a ring knife [22]. The soil porosity was determined as follows [22]:
The standard value of 2.65 g cm−3 was used as the soil specific gravity.
Soil water storage was calculated as follows:
where MWC is the mass soil water content of the 0–20 cm soil layer (%), SD is the soil thickness of the 0–20 cm soil layer (mm), and γ is the soil bulk density (g cm−3).
Available N was measured using the alkaline hydrolysable diffusion method [22]. Available P was measured using the molybdenum antimony colorimetric method with hydrochloric acid and sulfuric acid [22]. Available K was extracted using ammonium acetate and measured using flame photometry [22].
2.3.3. Chlorophyll Content and Photosynthetic Characteristics of Leaf
Ten representative sugarcane plants from each plot were selected to measure the chlorophyll content and photosynthetic characteristics of the sugarcane leaf (top visible dewlap) in the elongation stage. This was conducted on 2 July 2018 for plant cane, and on 31 August 2019 for first stubble. Chlorophyll content was measured using the SPAD-502 chlorophyll meter (Konica Minolta, Chiyoda City, Japan). Photosynthetic rate (Pn), stomatal conductance (Gs), intercellular CO2 concentration (Ci), and transpiration rate (Tr) were measured using the LI-6400XT photosynthesis system (Li-cor, Lincoln, NE, USA).
2.3.4. Photosynthesis-Related Enzyme Activity and Atomical Structure Characteristic of Leaf
Sugarcane leaf sampling was conducted once in the elongation stage (July, 2018) for analysis of enzyme activity and anatomical structure. Ten representative sugarcane plants from each plot were selected to cut the sugarcane leaves (top visible dewlap). Some leaf samples were frozen using liquid nitrogen, transported to the laboratory, and stored at −40 °C for the determination of photosynthesis-related enzyme activity.
The activity of NADP-malate dehydrogenase (NADP-MDH) was determined according to the method of Ye et al. [23]. The activity of phosphoenolpyruvate carboxylase (PEPC) and ribulose-1,5-bisphosphate carboxylase (RuBPC) was measured using enzyme-linked immunosorbent assay kits according to the manufacturer’s instructions (Jianglai Biologicals, Shanghai, China).
Other leaf samples were preserved in formaldehyde–acetic acid–ethanol fixative to prepare paraffin sections. A smart digital camera was used to observe the leaf cell structure. The size of vascular bundle sheath cell, horizontal diameter of mesophyll cell, and chloroplast number were measured using Jiangsu Jetta morphological analysis software (Jetta, Jiangsu, China). Meanwhile, the leaves were preserved in 2.5% (v/v) glutaraldehyde solution to prepare ultrastructural sections. These sections were cut with a thickness of 80 nm using a Leica UCT slicer (Danaher Corporation, Wetzlar, Germany). Ultrastructural cell characteristics were observed using Tecnai G2 12, 100 kV transmission electron microscope (Thermo Fisher Scientific, Shanghai, China). The chloroplast size, and grana lamella number were measured using Jiangsu Jetta morphological analysis software.
2.4. Transcriptomic Analysis
2.4.1. Sample Preparation
Top visible dewlap leaves in the elongation stage were collected and immediately frozen using liquid nitrogen before being sent to BGI-Tech (Shenzhen, China) for RNA-sequencing (RNA-seq) on 2 July 2018. Sugarcane leaves were collected and stored at −80 °C for analysis of target gene expression on 25 October 2018 (plant cane maturity), and 19 October 2019 (first stubble maturity), respectively.
2.4.2. RNA-Seq Data Analysis
Total RNA was extracted from the materials in CK and FL using Trizol (Beijing ComWin Biotech, Beijing, China). Agarose gel electrophoresis (1%) was performed on the extracted RNA to check for purity. After qualification, the RNA-seq libraries were constructed using the BGISEQ-500 platform, and a total of 87.22 Gb of data was generated. The raw transcriptome reads were pre-processed by pruning the sequencing joints, and removing reads with unknown bases, N content greater than 5%, and those which were of a low quality. Clean reads were obtained by SOAPnuke and Trimmomatic software, and GC%, Q20, and Q30 values were calculated. Genes were assembled de novo and correlated with the Unigene database (https://www.ncbi.nlm.nih.gov/gene, accessed on 19 August 2018).
2.4.3. Differentially Expressed Gene (DEG) Identification and Gene Functional Annotation
Clean reads were aligned to genomic sequences by Bowtie2 software, and the gene expression of each sample was calculated with RSEM. DEG-seq detection was performed according to Poisson distribution and the method of Wang et al. [24]. A difference multiple > 2 and a Q value ≤ 0.001 was screened as significantly differentially expressed after the p value was corrected to the Q value. Gene Ontology (GO) and Kyoto Encyclopedia of Genes and Genomes (KEGG) enrichment analysis of DEGs were carried out using the Phyper function in R software to define DEG functions. A Q value ≤ 0.05 was considered to be significantly enriched after correcting the p value to the Q value.
2.4.4. Quantitative Real-Time PCR (qRT-PCR) Analysis
Ten genes were randomly selected from the DEGs for fluorescence qRT-PCR validation to verify the reliability of the RNA-seq results. Glyceraldehyde 3-phosphate dehydrogenase (GAPDH) was used as the internal reference gene. The primer was designed by Shengong Bioengineering Co. (Shanghai, China) (Table S1). Quantitative RT-PCR was carried out using a LightCycler 480 system with SYBR Premix Ex TaqTMII (Tli RNaseH Plus; TaKaRa Biotechnology, Dalian, China) as the dye according to the PrimeScriptTMRT reagent kit with gDNA eraser from TaKaRa. The expression of photosynthesis genes (PsbM, PsaH, and PsbS) was analyzed by qPCR based on RNAseq data and the KEGG enrichment pathway. The amplification system had a volume of 20 μL, and the amplification procedure was as follows: 95 °C for 30 s, 1 cycle; quantitative analysis: 95 °C for 5 s, 60 °C for 30 s, 40 cycles; melt curve: 95 °C for 5 s, 60 °C for 1 min, 95 °C, 1 cycle; cooling: 95 °C for 30 s, 1 cycle. The gene names and primer sequences are presented in Table S2.
2.5. Statistical Analysis
Excel 2010 was used for data calculation, and the data obtained were normally distributed. SPSS 20.0 software (IBM, Armonk, NY, USA) was used to test for homogeneity and difference. The difference was significant when double-tailed (p value < 0.05). Figures were prepared using Origin 2021 (Origin Lab, Northampton, MA, USA) and Adobe Illustrator 2021 (Adobe, Mountain View, CA, USA).
3. Results
3.1. Agronomic Traits and Process Maturity Index of Sugarcane
Fenlong-ridging uses a self-propelled cultivation machine with an auger bit (Figure 1a). It produced stronger sugarcane with more green leaves and denser effective stems in the elongation and mature stage compared with that in CK (Figure 1b,c).
Figure 1.
Fenlong machine (a) was operated. Sugarcane growth and development in the elongation stage (b) and the mature stage (c) under two tillage systems: CK = conventional tillage, FL = Fenlong-ridging.
Fenlong-ridging had significant effects on agronomic traits, yield, and sugar content of sugarcane at harvest time (Figure 2). Plant height, stem diameter, single stem weight, effective stem number, yield, and sugar content of plant cane produced by FL were significantly higher (13.21%, 17.58%, 30.60%, 5.27%, 18.89%, and 11.83%, respectively) than those of sugarcane produced by CK, during the harvesting period (Figure 2a–f). Similarly, plant height, stem diameter, single stem weight, effective stem number, and yield of stubble sugarcane produced by FL were significantly higher (7.66%, 22.18%, 70.31% 18.67%, and 12.92%, respectively) than those of sugarcane produced by CK (Figure 2a–e). No difference was observed in the sugar content of first stubbles between the two tillage methods (Figure 2f). In addition, no significant correlation was observed between agronomic traits and sugar content (Table 3). There were significant positive correlations between plant height, effective stem number, single stem number, and yield (Table 3). Those significantly increased under FL in this study, and this indicated that FL may indirectly increase sugar yield by increasing yield.
Figure 2.
Plant height (a), stem diameter (b), single stem (c), effective stem number (d), yield (e), and sugar content (f) at harvest time of plant cane (on 19 January 2019) and first stubble (on 13 January 2020) under tow tillage methods: CK = conventional tillage, FL = Fenlong-ridging. The values are presented as mean ± standard deviation. Different lowercase letters indicate significant difference at p < 0.05 level at the same sugarcane harvested time.
Table 3.
Correlation analysis of agronomic characters, yield, and sugar content of sugarcane.
3.2. Soil Properties
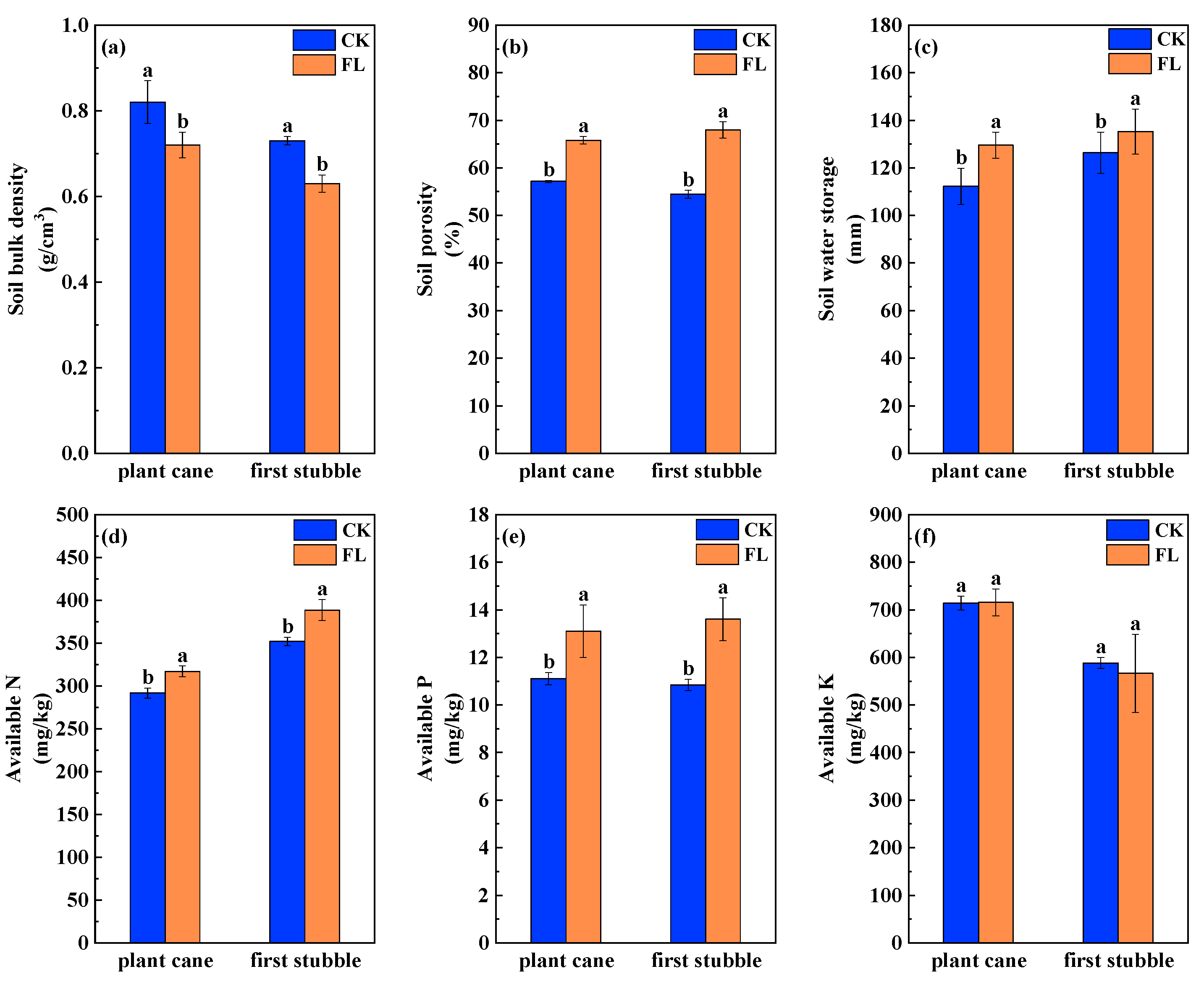
Fenlong-ridging had an active influence on soil physical and chemical properties. Soil bulk density under FL significantly reduced by 12.20–13.70% compared to that under CK (Figure 3a). Soil porosity and water storage were significantly higher under FL than those under CK, by 15.17–24.84% and 5.44–7.04%, respectively (Figure 3b,c). This indicated FL created a favorable soil environment.
Figure 3.
Effects of Fenlong-ridging on soil bulk density (a), soil porosity (b), soil water storage (c), available N content (d), available P content (e), and available K (f) in the elongation stage compared with conventional tillage. The values are presented as mean ± standard deviation. Different lowercase letters indicate significant difference at p < 0.05 level at the same sugarcane harvested time.
3.3. Chlorophyll Content and Photosynthetic Characteristics of Sugarcane Leaves
Fenlong-ridging increased the chlorophyll content and had a significant effect on photosynthetic rate in both planting methods of the current study (Table 4). The chlorophyll content, Pn, Gs, Ci, and Tr of plant cane and first stubble produced under FL increased by 5.39–5.98%, 37.10–10.14%, 45.00–47.06%, 19.12–17.15%, and 25.88–11.63%, respectively, compared with that under CK in the elongation stage. Other indices, except Tr of first stubble, showed significant differences when compared with those of CK (Table 4).
Table 4.
Effects of Fenlong-ridging on chlorophyll content and photosynthesis of sugarcane in the elongation stage compared with conventional tillage.
3.4. Photosynthesis-Related Enzyme Activity of Sugarcane Leaves
Photosynthesis-related enzyme activities of sugarcane leaves were higher under FL than under CK in the elongation stage. The activities of NADP-MDH, PEPC, and RuBPC were significantly increased by 23.53%, 30.89%, and 18.65%, respectively (Figure 4).
Figure 4.
Activities of photosynthesis-related enzymes of sugarcane leaves in the elongation stage: (a) NADP-malate dehydrogenase (NADP-MDH); (b) phosphoenolpyruvate carboxylase (PEPC); (c) ribulose-1,5-bisphosphate carboxylase (RuBPC). CK = conventional tillage, FL = Fenlong-ridging. The values are presented as mean ± standard deviation. Different lowercase letters indicate significant difference at p < 0.05 level at the same sugarcane harvested time.
3.5. Anatomical Structure Characteristics of Sugarcane Leaves
The leaf mesophyll cells under FL were loosely arranged with large cells and vascular bundle sheath cells, and the density of chloroplasts under FL was higher than that under CK (Figure 5a,b). Kranz anatomy was distinctly observed under FL (Figure 5c,d). The number of chloroplast grana lamellae under FL (with close cell arrangements) was higher (Figure 5f) than that under CK, which exhibited loose arrangements (Figure 5e). Therefore, the anatomical structure characteristics of sugarcane leaves under FL were more conducive to photosynthesis compared with those under CK.
Figure 5.
Anatomical structural characteristics of sugarcane leaves, including cross-section of the leaf blade (a,b), Kranz anatomy (c,d), and chloroplast ultrastructure (e,f) under two tillage methods: CK = conventional tillage (a,c,e), FL = Fenlong-ridging (b,d,f). The scale bars of sections in (a–d) and (e,f) are 20 mm and 300 nm, respectively. VC: vascular bundle sheath cell; VB: vascular bundle; MC: mesophyll cell; Chl: chloroplast; GL: grana lamella.
Most anatomical structure indicators of sugarcane leaf under FL were significantly higher than those under CK. The vascular bundle sheath size increased by 28.4% (Figure 6a); the number and size of chloroplasts in the vascular bundle sheath increased by 50.0% and 78.4%, respectively (Figure 6c,e); the number and size of chloroplasts in mesophyll cells were 60.0% and 117.0%, respectively (Figure 6d,f); the number of chloroplast grana lamellae increased by 31.3% (Figure 6g). Meanwhile, the horizontal diameter of mesophyll cells under FL was 8.8% higher than that under CK; however, the difference was insignificant (Figure 6b).
Figure 6.
Size of vascular bundle (a), horizontal diameter of mesophyll (b), number of chloroplasts in bundle sheath cell (c), number of chloroplasts in mesophyll cell (d), size of chloroplasts in bundle sheath cell (e), and in mesophyll cell (f), and number of grana lamella (g) of sugarcane leaves under two tillage methods: CK = conventional tillage, FL = Fenlong-ridging. VC: vascular bundle sheath cell; VB: vascular bundle; MC: mesophyll cell; Chl: chloroplast; GL: grana lamella. The values are presented as mean ± standard deviation. Different lowercase letters indicate significant difference at p < 0.05 level at the same sugarcane harvested time.
3.6. Transcriptomic Analysis
3.6.1. Transcriptome Sequencing Quality
Transcriptome sequencing quality assessment and assembly results are shown in Table S3. The output data of each sample was above 10.7 Gb, with Q20 (%) above 95% and Q30 (%) above 85%, indicating that the data were within the acceptable range. The GC content was above 49.5% after assembly, which indicates a good splicing effect. The results of transcriptome sequencing quality assessment under CK vs. FL were reliable and were further analyzed and studied.
3.6.2. Analysis of DEGs and qRT-PCR
A total of 47,706 DEGs were identified in sugarcane leaves under CK and FL by RNA-seq: 19,357 (40.6%) were up-regulated, while 28,349 (59.4%) were down-regulated (Figure 7a). Seven DEGs were randomly screened, and qRT-PCR was performed to verify the results of RNA-seq using GAPDH as the internal reference. The qRT-PCR and RNA-seq results showed the same trend of up- and down-regulated expression, although there were differences in the expression level (Figure 7b). This indicated that the RNA-seq data analysis results were reliable.
Figure 7.
Number of DEGs and qRT-PCR analysis. (a) Significant differences in the number of genes in sugarcane leaves under CK vs. FL; (b) qRT-PCR results of DEGs. 1: CL17795.contig41; 2: CL13244.contig4; 3: unigene53214; 4: CL17795.contig11; 5: CL6533.contig3; 6: unigene86348; 7: unigene15144.
The fragments per kilobase of exon model per million mapped fragments (FPKM) of DEGs in sugarcane samples under CK and FL was conducted by cluster analysis to infer the expression level among two tillage methods. The DEGs of samples under the same tillage method had similar expression patterns, and genes were differentially expressed between the two tillage methods by heat map analysis (Figure 8).
Figure 8.
Cluster analysis of differential gene expression. The color represents the difference multiple: red and blue represents the up-regulation multiple and the down-regulation multiple, respectively.
3.6.3. GO Functional Analysis of DEGs
Gene ontology functional enrichment analysis was used to annotate the functions and features (expression patterns) of the DEGs to the given GO terms, which were classified as biological process, cellular component, and molecular function. Our RNA-seq report identified 47,706 DEGs under CK vs. FL; 13,265 (27.8%) belonged to biological process, 15,221 (31.9%) belonged to cellular component, and 19,169 (40.2%) belonged to molecular function. These DEGs were mainly enriched in biological regulation, cellular process, metabolic process, cell, cell part, membrane, catalytic activity, and binding (Figure 9).
Figure 9.
GO functional analysis of CK vs. FL.
3.6.4. KEGG Enrichment Analysis of DEGs
The degree of KEGG enrichment was measured by the Rich factor, Q-value, and the number of genes enriched in the pathway; a Q value ≤ 0.05 indicated significance. The metabolic pathways with significant enrichment of DEGs were analyzed to determine the physiological, biochemical, metabolic, and signal transduction pathways associated with DEGs to provide further insight into the biological functions. KEGG pathway annotation classification was performed on the DEGs (Figure 10). Most DEGs under CK vs. FL were annotated in the metabolic category. DEGs were enriched in 134 pathways, and the first 20 enrichment pathways are presented in Table S4.
Figure 10.
KEGG pathway classification of DEGs under CK vs. FL.
The DEGs were enriched in pathways associated with photosynthesis, including photosynthesis, photosynthesis-antenna protein, and carotenoid biosynthesis, which were significantly up-regulated (Table S5). Moreover, the up-regulated genes were enriched in monoterpenoid biosynthesis, protein processing in the endoplasmic reticulum, isoquinoline alkaloid biosynthesis, cyanoamino acid metabolism, zein biosynthesis, and glutathione metabolism (Table S5). Meanwhile, down-regulated genes were enriched in brassinosteroid, pantothenate, N-Glycan and CoA biosynthesis, circadian rhythm, and plant-, alanine-, aspartate-, and glutamate metabolism (Table S6).
The DEGs were enriched in the cytoplasm and the chloroplast stroma, vesicle membrane, and thylakoid. Seventy-six DEGs were enriched (64% up-regulated and 36% down-regulated) in the photosynthesis pathway under FL compared with those under CK. Six up-regulated DEGs and three down-regulated DEGs were differentially expressed by over four-fold. Photosystem II (PSII) consists of multiple subunits that capture light energy, transfer electrons, oxidize water, and release oxygen. Photosystem I (PSI) catalyzes the transfer of electrons from plastocyanin through a series of electron transporters to ferredoxin in the photosynthetic electron transport chain. Figure 11 demonstrates that some PSI genes (PsaA, PsaE, PsaF, PsaG, PsaH, PsaK, PsaN, and PsaO) and PSII genes (PsbA, PsbO, PsbS, and PsbW) were up-regulated, while PsbD of PSII was down-regulated. This indicated that FL had a great influence on sugarcane photosynthesis.
Figure 11.
Photosynthetic proteins of CK vs. FL. The red box represents up-regulated expression; green box represents down-regulated expression.
3.7. Expression of Genes Associated with Photosynthesis from Leaves
Different genes associated with photosynthesis showed different expression levels. The expression of PsbM under two tillage methods was similar, and no significant differences were observed between FL and CK (Figure 12a). PsbS expression was 224% higher in first stubble under FL than that of CK, respectively (Figure 12b). A similar trend was observed in PsaH expression, where 25% and 479% higher expression was observed in plant cane and first stubble, respectively (Figure 12c). The differences in the expression of PsbS, and PsaH observed were insignificant in plant cane under FL and CK (Figure 12b,c).
Figure 12.
PsbM (a), PsaH (b), and PsbS (c) expression in sugarcane leaves in the mature stage of newly panted sugarcane and first stubble under two tillage methods: CK = conventional tillage, FL = Fenlong-ridging. Different lowercase letters indicate significant difference at p < 0.05 level at the same sugarcane harvested time.
4. Discussion
4.1. Fenlong-Ridging Increases Sugarcane Yield and Quality through Strong Photosynthetic Capacity
Fenlong-ridging creates soil that is suspended and loosened and not easily hardened. This may create a more advantageous hydrothermal condition and increase the capacity of soil nutrients, water, oxygen, and microorganisms, thereby benefiting photosynthetic efficiency and crop yield increase [8]. This study had similar results, with a reduction in soil bulk density, an increase in soil porosity and water storage, as well as an improvement in available N and P under FL, which indicated that FL could play an active role in the excitation of soil nutrients. Fenlong-ridging increases the content of large aggregates in the soil and the average mean weight diameter of soil water stable aggregates [25]. It also improves rainwater infiltration and soil water up–down transferring capacity, leading to enhancing soil water availability [26]. The roots of sugarcane under FL have high soil water uptake and, subsequently, increased water transfer to the leaves. This promotes leaf stomatal opening and gas exchange and maintains effective photosynthesis [27,28,29]. Crop yield depends on photoassimilates synthesized through photosynthesis (source capacity) and their utilization at the sink organ [30,31]. Chlorophyll and photosynthetic parameters determine the photosynthesis process, and the cultivation of crops in the appropriate tillage systems could benefit photosynthesis and crop yield [27,32]. In the present study, FL significantly increased the chlorophyll content, Gs, Ci, and Tr of sugarcane leaves compared with that under CK. Furthermore, FL enhanced the net photosynthetic rate. The intensity of the Pn, Gs, and Tr parameters can be highly variable owing to the plant needs for photosynthesis products in different environments [32,33]. A significant increase in Gs, Ci, Pn, together with higher sugar content and grain yield, were observed in FL compared with those in conventional tillage [34].
At the same time, NADP-MDH, PEPC, and RuBPC, are important enzymes in plant photosynthesis that accelerate CO2 assimilation efficiency and the activity of leaf photosynthetic enzymes so that photosynthetic products are primarily translocated to the sink organ in the form of sucrose (synthesized at the source leaves) for sink growth development [35]. This leads to a higher crop yield [36]. In this study, the activities of NADP-MDH, PEPC, and RuBPC were higher under FL than those under conventional tillage. Simultaneously, we found that FL increased available nitrogen content and water supplies. The effects of N on yield may be driven primarily by photosynthesis [37] and increasing nitrogen supply in an appropriate amount leads to an increase in chlorophyll SPAD and net photosynthetic rate [38,39].
It was confirmed that FL increased available nitrogen content and photosynthetic capacity. Water-deficient areas caused significant decreases in net photosynthetic rate, transpiration rate, and stomatal conductance of sugarcane, finally resulting in yield deterioration. Soil water storage of FL was significantly higher than that of conventional tillage, corresponding to higher photosynthetic capacity. This culminates in FL increasing sugarcane and sugar yield with an increased physiological basis of photosynthesis.
4.2. Fenlong-Ridging Increases Sugarcane Yield and Quality on a Cytological Basis of Photosynthesis-Friendly Leaf Anatomical Structure
Leaf photosynthesis is influenced by the proportion of tissues, cell size and arrangement, the number of chloroplasts, the number of grana and grana lamellae, and the leaf structural characteristics, which are closely related to the environment [40,41,42]. Photosynthesis of the C4 plant is essentially conducted in mesophyll cells and bundle sheath cells [43]. In this study, sugarcane leaves under FL exhibited larger, well arranged mesophyll cells that were numerous and contained a larger area of chloroplast in mesophyll cells and a greater number of grana lamellae compared with those in sugarcane leaves derived from CK. Ghannoum compared different C4 plants and found that most leaf N is allocated in mesophyll cells and bundle sheath cells [44]. Therefore, the increase in soil N availability under FL may be attributed to large mesophyll cells.
Phosphorus affects the cell structure of crops. Under low-phosphorus conditions, crops had loose cells, a larger surface area of bundle sheath cell walls and adverse ultrastructure of the chloroplasts, including a significantly decreased number of chloroplasts and grana [45]. In this study, sugarcane grown under FL had larger, more abundant bundle sheath cells and a greater density of chloroplasts, with evident Kranz anatomy, compared with that of sugarcane grown under CK. This may be attributed to the improvement in soil phosphorus availability under FL. Thus, Fenlong-ridging was beneficial to the anatomical structure of sugarcane leaf associated with carbon assimilation.
The mesophyll bears the large part of the light reaction as well as the production of ATP and reducing equivalents in many C4 species [46]. In this study, the large mesophyll cells and the great number of grana lamellae form a wreath-like formation known as Kranz anatomy in sugarcane derived from FL vs. CK. These bundle sheath cells play a significant role in carbon assimilation of C4 plants [47], are clustered around vascular bundles, and are surrounded by mesophyll cells [48]. This indicated that FL had a positive effect on increasing the photosynthetic film area, improving the ability to capture light quanta, and promoting light reactions. This suggested that FL was beneficial to the anatomical structure of sugarcane leaf associated with carbon assimilation. Such structures include mesophyll cells and bundle sheath cells, as well as increased chloroplast and grana lamellae numbers, which form the cytological basis to increase crop yield.
4.3. Fenlong-Ridging Increases Sugarcane Yield and Quality on a Molecular Biological Basis of Favorable Photosynthesis
Crop yield is affected by the environment, agronomic measures, and plant genes. The effects of agronomic measures and the environment on plant photosynthetic rates may be partly mediated through coarse regulation of gene expression [49]. Agronomic practices affect plant growth, development, and productivity through modifications of plant physiological and molecular processes [50]. In this study, FL up-regulated key genes involved in light reactions of photosynthesis, such as PsaA, PsaE, PsaF, PsaG, PsaH, PsaK, PsaN, PsaO, PsbA, PsbO, PsbS, and PsbW. Low nitrogen supply down-regulated the genes involved in PSI and PSII of maize, including GRMZM2G351977, GRMZM2G414192, GRMZM2G149428, GRMZM2G092427, GRMZM2G038519, and GRMZM2G072280, ultimately contributing to a lower photosynthetic rate [17]. Fenlong-ridging up-regulated genes of sugarcane root that were related to nitrogen absorption and utilization, including nitrate transporter genes, nitrate reductase genes, glutamine synthetase genes, and glutamate synthase genes [17]. It contributed to strong growth and nitrogen reabsorption in sugarcane roots [17]. By up-regulating genes associated with nitrogen and great ventilation and permeability, an increasing amount of nitrogen was transferred to the ground. Consequently, increased nitrogen levels were allowed into photosynthetic protein synthesis and photosynthetic gene up-regulation. This may be because FL increases the availability of soil N, ensuring sufficient chlorophyll content and allowing more N to be transported to light-harvesting proteins. This indicated that FL increased photosynthetic efficiency by up-regulating the expression of photosynthesis-related genes, leading to higher yield and sugar levels.
Water conditions may also cause a change in the expression levels of some photosystem genes in plants. Water stress increases PsbS expression in summer maize to suppress stomatal opening, with little effect on CO2 uptake, thus, increasing water use efficiency in a field-grown crop [51]. Plants expressing low levels of PsbO have lower chlorophyll content [52], and this is not conducive for plant growth. In this study, FL significantly increased the chlorophyll content, Gs, Ci, and Tr of sugarcane leaves compared with those under CK. The activities of NADP-MDH, PEPC, and RuBPC were higher under FL than under those CK. We hypothesize that FL creates an improved environment for crop growth by directly improving the soil water and nutrition availability and other soil environmental conditions. This positive change is a result of upregulation of genes of photosynthesis, and thereby promotes the positive feedback that increases sugarcane yield.
5. Conclusions
This study investigated soil physical and chemical properties under FL and analyzed the effects of FL on sugarcane photosynthetic characteristics, leaf anatomical structures, and gene expression levels, based on tissue cytology, physiology, and transcriptomic levels, in comparison to conventional tillage. Our results revealed the following (Figure 13):
Figure 13.
Theoretical model of Fenlong-ridging mechanism of increasing sugarcane yield and sugar content.
- FL directly increased soil porosity, reduced soil bulk density, enhanced soil porosity and soil water storage, increased microbial diversity, and improved available nutrients (nitrogen and phosphorus) in the soil, which contributed to the absorption and transportation of water and fertilizer by roots. Furthermore, it favored a well-developed root system, thereby facilitating growth and above-ground development.
- Sugarcane leaf transcriptomics (photosynthesis, photosynthesis-antenna protein, and carotenoid biosynthesis) were differentially expressed; the expression of genes (PsaA, PsaE, PsaF, PsaG, PsaH, PsaK, PsaN, PsaO, PsbS, and PsbW) related to photosynthesis was up-regulated under FL compared with those under conventional tillage.
- Photosynthetic parameters (chlorophyll content, photosynthetic rate, and stomatal conductance) and photosynthetic enzymes (NADP-MDH, PEPC, and RuBPC) were enhanced, and the growth and development of sugarcane leaf tissue and cellular structure (vascular bundles and chloroplasts) were facilitated. Under FL, roots were enhanced by improved soil environment, photosynthesis-related genes were upregulated, which led to improved photosynthetic physiology and cell structure. Furthermore, agronomic traits (plant height, stem diameter, single stem weight, and effective stem number) were improved, indicating an adequate source, large sink, and smooth flow, which improved sugarcane yield and sugar content.
Overall, this study enhances our understanding of transcriptomics, photosynthetic physiology, and leaf structure with respect to FL (Figure 13); these insights provide a theoretical basis for the application and promotion of FL in sugarcane production.
Supplementary Materials
The following supporting information can be downloaded at: https://www.mdpi.com/article/10.3390/agronomy13051196/s1, Table S1: The names and sequences of primers were verified by qRT-PCR; Table S2: Target gene primer; Table S3: The results of transcriptome sequencing quality assessment and assembly; Table S4: The result of differential genes KEGG pathway function ratio of CK vs. FL; Table S5: The first 20 pathways of KEGG enrichment of CK vs. FL were up-regulated genes; Table S6: The first 20 pathways of KEGG enrichment of CK vs. FL were down-regulated genes.
Author Contributions
Conceptualization, S.Z., J.X. and S.L.; data curation, S.Z., J.X., S.H., X.L., R.W. and R.L.; software, S.Z., J.X., X.L., D.Z. and L.Y.; methodology, S.H., Z.L., B.W. and S.L.; validation, S.H., B.W. and S.L.; formal analysis, S.H., X.L., Z.L., B.W. and S.L.; investigation, S.H., X.L., Z.L., D.Z., R.W., R.L. and L.Y.; resources, Z.L., S.H. and S.L.; writing—original draft preparation, S.Z., J.X., S.H., Z.L., D.Z., R.W., R.L., L.Y. and S.L.; writing—review and editing, S.Z., J.X., S.H., Z.L., X.L., B.W., D.Z., R.W., R.L., L.Y. and S.L.; supervision, S.L.; project administration, S.L.; funding acquisition, S.L. All authors have read and agreed to the published version of the manuscript.
Funding
This research was supported by Science and Technology Major Project of Guangxi (GuikeAA20302020–3, GuikeAA17204037–4), Science and Technology Major Project of Guangxi (GuikeAA22117006), the National Natural Science Foundation of China (Grant No. 31871689; 31860159), Science and Technology Major Project of Chongzuo (FA2020006).
Data Availability Statement
All the data generated in this study are present in the main manuscript.
Acknowledgments
All individuals appreciate the partial support of Guangxi University and Guangxi Academy of Science.
Conflicts of Interest
The authors declare no conflict of interest.
References
- Raj, K.; Krishnan, C. High Sugar Yields from Sugarcane (Saccharum officinarum) Bagasse Using Low-Temperature Aqueous Ammonia Pretreatment and Laccase-Mediator Assisted Enzymatic Hydrolysis. Ind. Crops Prod. 2018, 111, 673–683. [Google Scholar] [CrossRef]
- Pang, Z.; Dong, F.; Liu, Q.; Lin, W.; Hu, C.; Yuan, Z. Soil Metagenomics Reveals Effects of Continuous Sugarcane Cropping on the Structure and Functional Pathway of Rhizospheric Microbial Community. Front. Microbiol. 2021, 12, 627569. [Google Scholar] [CrossRef]
- Luo, J.; Lin, Z.; Que, Y.; Zhang, H.; Li, S.; Luo, H.; Zhang, C.; Chen, J. Effect of tillage mode on soil structure characteristics of plough layer and sugarcane yield. Chin. J. Eco-Agric. 2018, 26, 824–836. [Google Scholar] [CrossRef]
- Surendran, U.; Ramesh, V.; Jayakumar, M.; Marimuthu, S.; Sridevi, G. Improved Sugarcane Productivity with Tillage and Trash Management Practices in Semi Arid Tropical Agro Ecosystem in India. Soil Tillage Res. 2016, 158, 10–21. [Google Scholar] [CrossRef]
- Scarpare, F.V.; de Jong van Lier, Q.; de Camargo, L.; Pires, R.C.M.; Ruiz-Corrêa, S.T.; Bezerra, A.H.F.; Gava, G.J.C.; Dias, C.T.S. Tillage Effects on Soil Physical Condition and Root Growth Associated with Sugarcane Water Availability. Soil Tillage Res. 2019, 187, 110–118. [Google Scholar] [CrossRef]
- Li, Y.; Li, T.; Zhao, D.; Wang, Z.; Liao, Y. Different Tillage Practices Change Assembly, Composition, and Co-Occurrence Patterns of Wheat Rhizosphere Diazotrophs. Sci. Total Environ. 2021, 767, 144252. [Google Scholar] [CrossRef]
- Ren, B.; Dong, S.; Liu, P.; Zhao, B.; Zhang, J. Ridge Tillage Improves Plant Growth and Grain Yield of Waterlogged Summer Maize. Agric. Water Manag. 2016, 177, 392–399. [Google Scholar] [CrossRef]
- WEI, B. Establishment of the “Fenlong Energy Theory” and Conjecture of the “Fenlong Dark Matter Flow”. Meteorol. Environ. Res. 2021, 12, 11–16. [Google Scholar] [CrossRef]
- Wei, B.H. Reconstruction of Highly-efficient Smash-ridging Ecological Cultivation Method for Sustainable Yield-increasing of Soil Plough Layers. Agric. Sci. Technol. 2014, 15, 1526–1529. [Google Scholar] [CrossRef]
- Chen, Y.Y.; Xia, W.Y.; Zhao, H.; Zeng, M. Effects of deep vertical rotary tillage on soil enzyme activity, microbial community structure and functional diversity of cultivated land. Acta Ecol. Sin. 2022, 42, 5009–5021. [Google Scholar]
- Nie, S.W.; Zhang, Y.T.; Zhang, Q.P.; Guo, Q.; Tang, F.S.; Wang, H.Q.; He, N. Effect of Smashing Ridge Tillage on Grain Yields of Winter Wheat and Summer Maize and Contents of Soil Nutrients. Chin. J. Soil Sci. 2017, 48, 930–936. [Google Scholar] [CrossRef]
- Wei, B.H.; Gan, X.Q.; Chen, Y.F.; Shen, Z.Y.; Luo, X.F.; Lu, L.Y.; Hu, P.; Li, Y.Y.; Wu, Y.Y.; Liu, B.; et al. Planting Winter Potato in Rice Field by Using Smash-ridging Technique. Chin. Potato J. 2011, 25, 342–344. [Google Scholar]
- Sun, M.L.; Lin, G.C.; Hui, J.T.; Xian, H.; Ren, X.R.; Zhang, R.L.; Yang, J. Effects of smash-ridging cultivation on physical and chemical properties of saline-alkali soil and cotton growth in Xinjiang. Soils Fertil. Sci. China 2020, 6, 58–64. [Google Scholar]
- Li, H.; Wei, B.H.; Huang, J.L.; Li, Z.G.; Wang, L.Q.; Liang, X.Y.; Li, S.L. Effects of Fenlong Cultivation on Root Cell Structure and Enzyme of Respiratory Metabolic of Sugarcane. Sci. Agric. Sin. 2021, 54, 522–532. [Google Scholar]
- WEI, B.H. Discussion on Green Development of Fenlong for Yield Increase, Quality Enhancing, Water Retaining and Multiple Use of Natural Resources. Agric. Sci. Technol. 2017, 18, 1631–1637. [Google Scholar] [CrossRef]
- Liu, H.; Wei, B.H.; Dang, K.K.; Peng, J.W.; Li, J.G.; Dong, Y.H. Effect of Deep Vertical Rotary Tillage on Microbial Community in Sugar Cane Soil. Chin. J. Trop. Crops 2022, 43, 597–605. [Google Scholar]
- Wang, Q.; Zhu, Y.C.; Shen, Z.Y.; Zhou, J.; Yi, C.X.; Wei, B.H. Regulation of smashing ridging tillage on sugarcane root growth and nitrogen absorption and utilization. J. South. Agric. 2020, 51, 2674–2681. [Google Scholar]
- Li, H.; Huang, J.L.; Li, Z.G.; Wei, B.; Chen, R.; Han, S.J.; Liang, X.Y.; Li, S.L. Fenlong tillage increase soil nutrient availability, and benefit vascular tissue structure and nutrient absorption of sugarcane. J. Plant Nutr. Fertil. 2021, 27, 204–214. [Google Scholar]
- Taylor, S.H.; Ripley, B.S.; Woodward, F.I.; Osborne, C.P. Drought Limitation of Photosynthesis Differs between C3 and C4 Grass Species in a Comparative Experiment: Drought Limitation in C3 and C4 Grass Species. Plant Cell Environ. 2011, 34, 65–75. [Google Scholar] [CrossRef] [PubMed]
- Osborne, C.P.; Sack, L. Evolution of C 4 Plants: A New Hypothesis for an Interaction of CO2 and Water Relations Mediated by Plant Hydraulics. Phil. Trans. R. Soc. B 2012, 367, 583–600. [Google Scholar] [CrossRef]
- Rossato Jr, J.A.S.; Madaleno, L.L.; Mutton, M.J.R.; Higley, L.G.; Fernandes, O.A. Photosynthesis, Yield and Raw Material Quality of Sugarcane Injured by Multiple Pests. PeerJ 2019, 7, e6166. [Google Scholar] [CrossRef] [PubMed]
- Bao, S.D. Soi Agrochemical Analysis, 3rd ed.; China Agriculture Press: Beijing, China, 2000. [Google Scholar]
- Ye, S.H. Plant Physiology and Biochemistry Experiment Course; China Agricultural University Press: Kunming, China, 2007. [Google Scholar]
- Wang, L.; Feng, Z.; Wang, X.; Wang, X.; Zhang, X. DEGseq: An R Package for Identifying Differentially Expressed Genes from RNA-Seq Data. Bioinformatics 2010, 26, 136–138. [Google Scholar] [CrossRef] [PubMed]
- Chen, S.L.; Hu, J.M.; Huang, Z.H.; Li, T.T.; Zheng, J.S.; Huang, Y.M.; Luo, W.G.; He, T.G.; Wei, X.H. Effects of smash ridging on soil organic carbon mineralization and structure of sugarcane field in flat and slope farmland. Chin. J. Agrometeorol. 2020, 41, 299–307. [Google Scholar]
- Li, Y.B.; Feng, H.C.; Yang, X.; Li, Y.Y.; Li, H.; Ren, T.Z.; Dong, G.H.; Guo, L.H. Effects of deep vertically rotary tillage on soil water and water use efficiency in northern China’s Huang-huai-hai Region. Acta Ecol. Sin. 2013, 33, 7478–7486. [Google Scholar]
- Wang, Z.; Sun, J.; Du, Y.; Niu, W. Conservation Tillage Improves the Yield of Summer Maize by Regulating Soil Water, Photosynthesis and Inferior Kernel Grain Filling on the Semiarid Loess Plateau, China. J. Sci. Food Agric. 2022, 102, 2330–2341. [Google Scholar] [CrossRef]
- Li, S.L.; Huang, J.L.; Wei, B.H.; Liang, X.Y.; Lu, R.J.; Wang, L.Q.; Li, Z.G. Effects of Fenlong tillage on photosynthetic and physiological characteristics, yield and quality of sugarcane (Saccharumofficinarum). Chin. J. Trop. Crops 2021, 42, 726–731. [Google Scholar]
- Zegada-Lizarazu, W.; Iijima, M. Deep Root Water Uptake Ability and Water Use Efficiency of Pearl Millet in Comparison to Other Millet Species. Plant Prod. Sci. 2005, 8, 454–460. [Google Scholar] [CrossRef]
- Fan, Y.; Gao, J.; Sun, J.; Liu, J.; Su, Z.; Hu, S.; Wang, Z.; Yu, X. Potentials of Straw Return and Potassium Supply on Maize (Zea mays L.) Photosynthesis, Dry Matter Accumulation and Yield. Sci. Rep. 2022, 12, 799. [Google Scholar] [CrossRef]
- Yin, W.; Cai, Q.; Yu, A.Z.; Zhao, C.; Fan, Z.L.; Hu, F.L.; Fan, H.; Guo, Y. Effects of Intercropped Wheat Straw Retention on Canopy Temperature and Photosynthetic Physiological Characteristics of Intercropped Maize Mulched with Plastic During Grain Filling Stage. Sci. Agric. Sin. 2020, 53, 4764–4776. [Google Scholar]
- Buczek, J.; Bobrecka-Jamro, D.; Jańczak-Pieniążek, M. Photosynthesis, Yield and Quality of Soybean (Glycine max (L.) Merr.) under Different Soil-Tillage Systems. Sustainability 2022, 14, 4903. [Google Scholar] [CrossRef]
- Lawlor, D.W. Photosynthesis, Productivity and Environment. J. Exp. Bot. 1995, 46, 1449–1461. [Google Scholar] [CrossRef]
- Wang, Z.D.; Liu, J.L.; Wu, N. Effects of Fenlong Tillage on Photosynthetic Physiological Characteristics and Yield of Sweet Sorghum. J. Agric. Sci. Technol. 2022, 24, 148–156. [Google Scholar] [CrossRef]
- Aluko, O.O.; Li, C.; Wang, Q.; Liu, H. Sucrose Utilization for Improved Crop Yields: A Review Article. Int. J. Mol. Sci. 2021, 22, 4704. [Google Scholar] [CrossRef] [PubMed]
- Wang, J.N.; Li, L.L.; Xie, J.H.; Wang, L.L.; Guo, X.J.; Kang, C.R.; Liu, C.; Effah, Z.; Wang, J.B. Effects of conservation tillage on photosynthesis and yield formation of rain-fed spring wheat in semi-arid areas. J. Ournal. Triticeae Crops 2020, 40, 1493–1500. [Google Scholar]
- Makino, A. Photosynthesis, Grain Yield, and Nitrogen Utilization in Rice and Wheat. Plant Physiol. 2011, 155, 125–129. [Google Scholar] [CrossRef]
- Yuan, D.; Zhu, K.; Li, J.H.; Yang, L.T.; Nong, Y.Y.; Li, Y.R. Effects of nitrogen application rate on chloroplast ultrastructure and photosynthetic rate in sugarcane. J. South. Agric. 2017, 48, 1190–1195. [Google Scholar] [CrossRef]
- Effects of Nitrogen Deficiency on Leaf Photosynthesis, Carbohydrate Status and Biomass Production in Two Olive Cultivars ‘Meski’ and ‘Koroneiki’. Sci. Hortic. 2010, 123, 336–342. [CrossRef]
- Huang, G.; Shu, Y.; Peng, S.; Li, Y. Leaf Photosynthesis Is Positively Correlated with Xylem and Phloem Areas in Leaf Veins in Rice (Oryza sativa) Plants. Ann. Bot. 2022, 129, 619–631. [Google Scholar] [CrossRef] [PubMed]
- Fan, Y.; Chen, J.; Wang, Z.; Tan, T.; Li, S.; Li, J.; Wang, B.; Zhang, J.; Cheng, Y.; Wu, X.; et al. Soybean (Glycine max L. Merr.) Seedlings Response to Shading: Leaf Structure, Photosynthesis and Proteomic Analysis. BMC Plant Biol. 2019, 19, 34. [Google Scholar] [CrossRef]
- Yabiku, T.; Ueno, O. Structural and Photosynthetic Re-Acclimation to Low Light in C4 Maize Leaves That Developed under High Light. Ann. Bot. 2019, 124, 437–445. [Google Scholar] [CrossRef]
- Makino, Y.; Ueno, O. Structural and Physiological Responses of the C4 Grass Sorghum bicolor to Nitrogen Limitation. Plant Prod. Sci. 2018, 21, 39–50. [Google Scholar] [CrossRef]
- Ghannoum, O.; Evans, J.R.; Chow, W.S.; Andrews, T.J.; Conroy, J.P.; von Caemmerer, S. Faster Rubisco Is the Key to Superior Nitrogen-Use Efficiency in NADP-Malic Enzyme Relative to NAD-Malic Enzyme C4 Grasses. Plant Physiol. 2005, 137, 638–650. [Google Scholar] [CrossRef] [PubMed]
- Chu, S.; Li, H.; Zhang, X.; Yu, K.; Chao, M.; Han, S.; Zhang, D. Physiological and Proteomics Analyses Reveal Low-Phosphorus Stress Affected the Regulation of Photosynthesis in Soybean. Int. J. Mol. Sci. 2018, 19, 1688. [Google Scholar] [CrossRef] [PubMed]
- Schlüter, U.; Weber, A.P.M. Regulation and Evolution of C4 Photosynthesis. Annu. Rev. Plant Biol. 2020, 71, 183–215. [Google Scholar] [CrossRef] [PubMed]
- Heinen, R.B.; Ye, Q.; Chaumont, F. Role of Aquaporins in Leaf Physiology. J. Exp. Bot. 2009, 60, 2971–2985. [Google Scholar] [CrossRef] [PubMed]
- Pengelly, J.J.L.; Kwasny, S.; Bala, S.; Evans, J.R.; Voznesenskaya, E.V.; Koteyeva, N.K.; Edwards, G.E.; Furbank, R.T.; von Caemmerer, S. Functional Analysis of Corn Husk Photosynthesis. Plant Physiol. 2011, 156, 503–513. [Google Scholar] [CrossRef]
- McCormick, A.J.; Cramer, M.D.; Watt, D.A. Changes in Photosynthetic Rates and Gene Expression of Leaves during a Source–Sink Perturbation in Sugarcane. Ann. Bot. 2008, 101, 89–102. [Google Scholar] [CrossRef]
- Roach, E.; Duiker, S.W.; Chopra, S. Soil Management Affects Expression of Genes Involved in Carbon and Nitrogen Metabolism in Maize. Crop Sci. 2016, 56, 1841–1856. [Google Scholar] [CrossRef]
- Głowacka, K.; Kromdijk, J.; Kucera, K.; Xie, J.; Cavanagh, A.P.; Leonelli, L.; Leakey, A.D.B.; Ort, D.R.; Niyogi, K.K.; Long, S.P. Photosystem II Subunit S Overexpression Increases the Efficiency of Water Use in a Field-Grown Crop. Nat. Commun. 2018, 9, 868. [Google Scholar] [CrossRef]
- Dwyer, S.A.; Chow, W.S.; Yamori, W.; Evans, J.R.; Kaines, S.; Badger, M.R.; von Caemmerer, S. Antisense Reductions in the PsbO Protein of Photosystem II Leads to Decreased Quantum Yield but Similar Maximal Photosynthetic Rates. J. Exp. Bot. 2012, 63, 4781–4795. [Google Scholar] [CrossRef] [PubMed]
Disclaimer/Publisher’s Note: The statements, opinions and data contained in all publications are solely those of the individual author(s) and contributor(s) and not of MDPI and/or the editor(s). MDPI and/or the editor(s) disclaim responsibility for any injury to people or property resulting from any ideas, methods, instructions or products referred to in the content. |
© 2023 by the authors. Licensee MDPI, Basel, Switzerland. This article is an open access article distributed under the terms and conditions of the Creative Commons Attribution (CC BY) license (https://creativecommons.org/licenses/by/4.0/).












