Effect of Transplanting Date on Agronomic and Grain Quality Traits Using Early-Maturing Rice Varieties
Abstract
1. Introduction
2. Materials and Methods
2.1. Experimental Site and Rice Varieties
2.2. Meteorological Data
2.3. Cultivation Methods
2.4. Trait Evaluation
2.4.1. Agronomic Traits
2.4.2. Grain Quality Traits
2.5. Statistical Analysis
3. Results
3.1. Meteorological Conditions during Rice Cultivation Period
3.2. Growing Period according to the Transplanting Date
3.3. Agronomic Traits according to the Transplanting Date
3.4. Grain Quality Traits and Mean Temperature
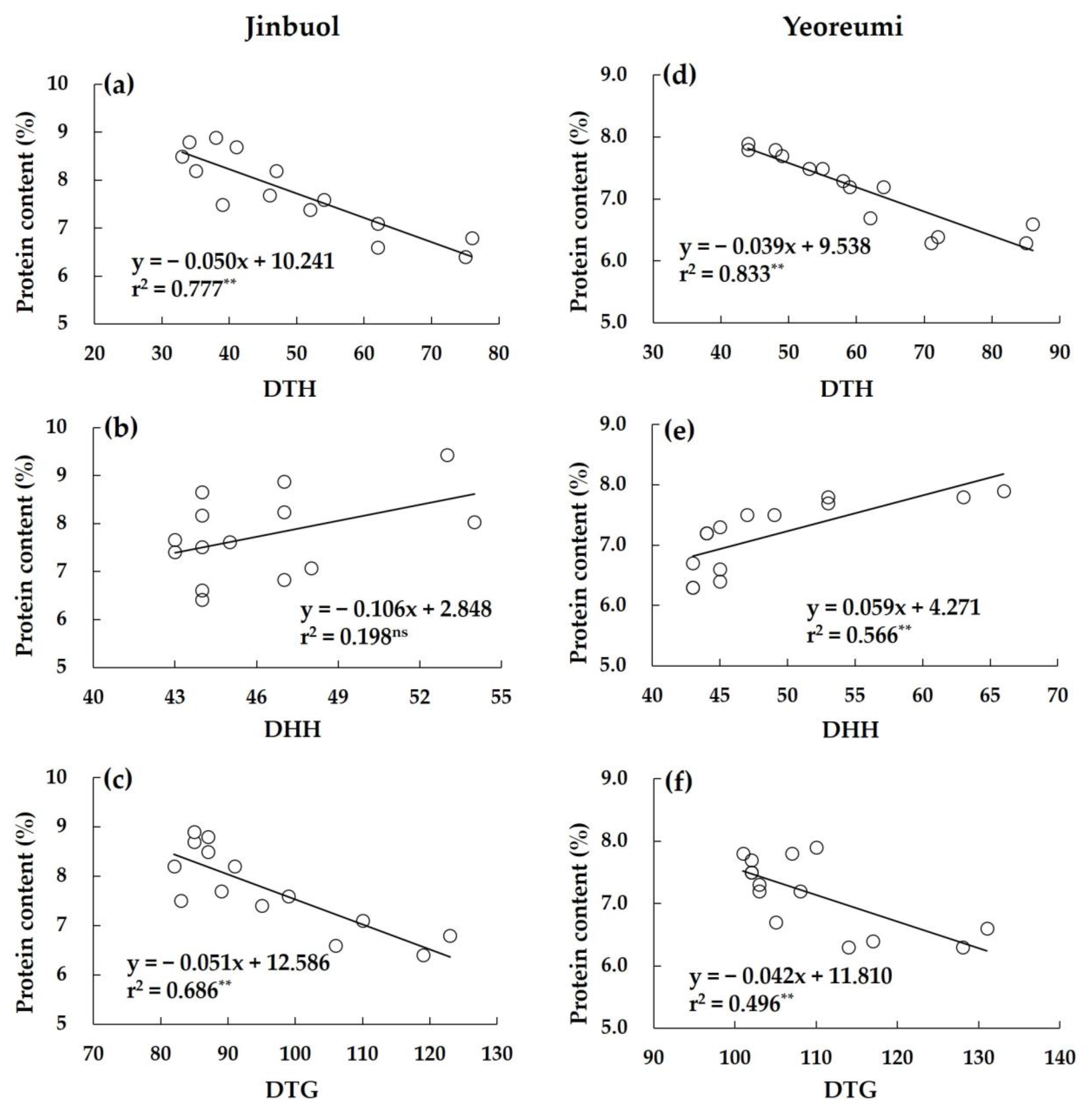
3.5. Relationship between Protein Content and Growing Period
4. Discussion
4.1. Agronomic Traits and Productivity
4.2. Rice Appearance Traits
4.3. Rice Protein Content
4.4. Transplanting Date Suitable for Early-maturing Rice Variety
5. Conclusions
Supplementary Materials
Author Contributions
Funding
Data Availability Statement
Acknowledgments
Conflicts of Interest
References
- Cha, H.-M.; Han, G.S.; Chung, H.-J. A study on the trend analysis regarding the rice consumption of Korean adults using Korean National Health and Nutrition Examination Survey data from 1998, 2001 and 2005. Nutr. Res. Pract. 2012, 6, 254–262. [Google Scholar] [CrossRef]
- Jung, J.M.; Kim, E.C.; Venkatanagappa, S.; Lee, J.S. Review of Rice: Production, Trade, Consumption, and Future Demand in Korea and Worldwide. Korean J. Crop Sci. 2017, 62, 157–165. [Google Scholar] [CrossRef]
- Ministry of Agriculture, Food and Rural Affairs (MAFRA). Available online: https://www.mafra.go.kr (accessed on 27 February 2023).
- Lee, J.-H.; Choi, J.-H.; Kim, S.-Y.; Lee, J.-Y.; Kim, C.-S.; Yeo, U.-S.; Song, Y.-C.; Sohn, Y.-B.; Oh, M.-K.; Kang, H.-W.; et al. Correlation Analysis between Head Rice Ratio and Agronomic Traits in RILs for Developing a Promising Rice Culitivar Adaptable to The Early-Transplanting Cultivation. Korean J. Crop. Sci. 2012, 57, 1–6. [Google Scholar] [CrossRef]
- Oh, S.K. Development of rice varieties for processing and trend of food industry. Food Ind. Nutr. 2016, 21, 8–14. [Google Scholar]
- Guo, T.; Liu, X.; Wan, X.; Weng, J.; Liu, S.; Liu, X.; Chen, M.; Li, J.; Su, N.; Wu, F.; et al. Identification of a Stable Quantitative Trait Locus for Percentage Grains with White Chalkiness in Rice (Oryza sativa). J. Integr. Plant Biol. 2011, 53, 598–607. [Google Scholar] [CrossRef]
- Nakata, M.; Fukamatsu, Y.; Miyashita, T.; Hakata, M.; Kimura, R.; Nakata, Y.; Kuroda, M.; Yamaguchi, T.; Yamakawa, H. High Temperature-Induced Expression of Rice α-Amylases in Developing Endosperm Produces Chalky Grains. Front. Plant Sci. 2017, 8, 2089. [Google Scholar] [CrossRef] [PubMed]
- Nagata, K.; Takita, T.; Yoshinaga, S.; Terashima, K.; Fukuda, A. Effect of air temperature during the early grain-filling stage on grain fissuring in rice. Japan J. Crop Sci. 2004, 73, 336–342. [Google Scholar] [CrossRef]
- Phan, T.T.T.; Ishibashi, Y.; Miyazaki, M.; Tran, H.T.; Okamura, K.; Tanaka, S.; Nakamura, J.; Yuasa, T.; Iwaya-Inoue, M. High Temperature-Induced Repression of the Rice Sucrose Transporter (OsSUT1) and Starch Synthesis-Related Genes in Sink and Source Organs at Milky Ripening Stage Causes Chalky Grains. J. Agron. Crop. Sci. 2013, 199, 178–188. [Google Scholar] [CrossRef]
- Nevame, A.Y.M.; Emon, R.M.; Malek, M.A.; Hasan, M.M.; Alam, A.; Muharam, F.M.; Aslani, F.; Rafii, M.Y.; Ismail, M.R. Relationship between High Temperature and Formation of Chalkiness and Their Effects on Quality of Rice. BioMed Res. Int. 2018, 2018, 1653721. [Google Scholar] [CrossRef] [PubMed]
- Nishimura, M.; Yamauchi, F.; Ohuchi, K.; Hamamura, K. Evaluation of the eating quality of recent rice varieties and lines in Hokkaido- The relation between organoleptic and physicochemical qualities of milled rice harvested in an extremely col year and a very hot year during the summer. Res. Bull. Hokkaido Natl. Agric. Exp. Stn. 1985, 144, 77–89. [Google Scholar]
- Cuili, W.; Wen, G.; Peisong, H.; Xiangjin, W.; Shaoqing, T.; Guiai, J. Differences of Physicochemical Properties Between Chalky and Translucent Parts of Rice Grains. Rice Sci. 2022, 29, 577–588. [Google Scholar] [CrossRef]
- Jin, Z.X.; Qian, C.R.; Yang, J.; Liu, H.Y.; Jin, X.Y. Effect of temperature at grain filling stage on activities of key enzymes related to starch synthesis and grain quality of rice. Rice Sci. 2005, 12, 261–266. [Google Scholar]
- Aboubacar, A.; Moldenhauer, K.A.K.; McClung, A.M.; Beighley, D.H.; Hamaker, B.R. Effect of Growth Location in the United States on Amylose Content, Amylopectin Fine Structure, and Thermal Properties of Starches of Long Grain Rice Cultivars. Cereal Chem. 2006, 83, 93–98. [Google Scholar] [CrossRef]
- Takeuchi, Y.; Nonoue, Y.; Ebitani, T.; Suzuki, K.; Aoki, N.; Sato, H.; Ideta, O.; Hirabayashi, H.; Hirayama, M.; Ohta, H.; et al. QTL Detection for Eating Quality Including Glossiness, Stickiness, Taste and Hardness of Cooked Rice. Breed. Sci. 2007, 57, 231–242. [Google Scholar] [CrossRef]
- Wada, T.; Ogata, T.; Tsubone, M.; Uchimura, Y.; Matsue, Y. Mapping of QTLs for eating quality and physicochemical properties of the japonica rice ‘Koshihikari’. Breed. Sci. 2008, 58, 427–435. [Google Scholar] [CrossRef]
- Gutierrez, J.; Kim, S.Y.; Kim, P.J. Effect of rice cultivar on CH4 emissions and productivity in Korean paddy soil. Field Crop. Res. 2013, 146, 16–24. [Google Scholar] [CrossRef]
- Yun, Y.; Chung, C.; Kim, G.; Yun, T. ‘Bbareumi’, an Extremely Early-Maturing Rice Cultivar Adaptable for Early Transplanting, in the Chungnam Plain Area. Korean J. Breed. Sci. 2022, 54, 238–243. [Google Scholar] [CrossRef]
- Jiang, M.; Li, X.; Xin, L.; Tan, M.; Zhang, W. Impacts of Rice Cropping System Changes on Paddy Methane Emissions in Southern China. Land 2023, 12, 270. [Google Scholar] [CrossRef]
- Cho, S.-W.; Jeung, J.-U.; Kang, K.-H.; Kim, H.-S.; Kim, B.-K. Evaluation on Early-maturing Korean Japonica Cultivars for High-temperature Tolerance during Grain Filling Stage. Korean J. Crop. Sci. 2015, 60, 146–152. [Google Scholar] [CrossRef]
- Cho, S.R.; Verma, P.P.; Das, S.; Kim, G.W.; Lim, J.Y.; Kim, P.J. A new approach to suppress methane emissions from rice cropping systems using ethephon. Sci. Total Environ. 2022, 804, 150159. [Google Scholar] [CrossRef] [PubMed]
- Lee, J.H.; Park, D.S.; Kwak, D.Y.; Yeo, U.S.; Song, Y.C.; Kim, C.S.; Jeon, M.G.; Oh, B.G.; Shin, M.S.; Kim, J.K. Yield and grain quality of early maturing rice cultivars as affected by early transplanting in Yeongnam plain area. Korean J. Crop Sci. 2008, 53, 326–332. [Google Scholar]
- Yang, W.; Choi, K.-J.; Shon, J.; Kang, S.; Shin, S.-H.; Shim, K.-B.; Kim, J.; Jung, H.; Jang, J.H.; Jeong, J.-S.; et al. Effects of Temperature and Sunshine Hours During Grain Filling Stage on the Quality-Related Traits of High Quality Rice Varieties in Korea. Korean J. Crop. Sci. 2015, 60, 273–281. [Google Scholar] [CrossRef]
- Yun, Y.-T.; Chung, C.-T.; Lee, Y.-J.; Na, H.-J.; Lee, J.-C.; Lee, D.-H.; Lee, K.-W.; Kang, J.-W.; Ahn, S.-N. Variation of Yield and Quality in Early Maturing Rice Cultivars by Transplanting Date in Chungnam Plain Area in Korea. Plant Breed. Biotechnol. 2015, 3, 47–57. [Google Scholar] [CrossRef]
- Yang, W.H.; Park, J.H.; Choi, J.S.; Kang, S.G.; Kim, S.J. Yield Characteristics and Related Agronomic Traits Affected by the Transplanting Date in Early Maturing Varieties of Rice in the Central Plain Area of Korea. Korean J Crop Sci. 2019, 64, 165–175. [Google Scholar] [CrossRef]
- Yang, W.H.; Kim, M.K.; Kang, S.G.; Park, J.H.; Kim, S.J.; Choe, J.S.; Yang, C.I.; Baeg, N.H. Changes in Flowering Date and Yielding Characteristics Affected by Transplanting Date in the Early-maturing Rice Cultivar ‘Joun’ in the Mid-northern Inland of Korea. Korean J Crop Sci. 2017, 62, 304–310. [Google Scholar] [CrossRef]
- Seong, D.-G.; Kim, Y.-G.; Yun, S.-M.; Kim, H.-C.; Lee, J.J.; Kim, C.S.; Chung, J.-S. Studies on How Changing the Transplanting Time Affects Rice Quality and Yield. Korean J. Breed. Sci. 2022, 54, 177–183. [Google Scholar] [CrossRef]
- National Institute of Agricultural Science and Technology (NIAST). Methods of Soil Chemical Analysis; RDA: Suwon, Republic of Korea, 2010; pp. 13–144. [Google Scholar]
- Yun, Y.T.; Chung, C.T.; Kim, G.C.; Kim, B.R. Improving Efficiency and Effectiveness of Disinfection by Soaking Seeds before Rice Seed Disinfection. Korean J. Crop Sci. 2022, 67, 137–146. [Google Scholar] [CrossRef]
- Rural Development Administration (RDA). Available online: https://soil.rda.go.kr (accessed on 10 February 2023).
- ChungcheongNamdo Agricultural Research and Extension Services (CNARES). Available online: https://cnnongup.chungnam.go.kr (accessed on 10 February 2023).
- Korean Meteorological Administration (KMA). Available online: https://www.weather.go.kr (accessed on 15 January 2023).
- Shimono, H.; Hasegawa, T.; Iwama, K. Response of growth and grain yield in paddy rice to cool water at different growth stages. Field Crop. Res. 2002, 73, 67–79. [Google Scholar] [CrossRef]
- Ye, C.; Fukai, S.; Godwin, I.; Reinke, R.; Snell, P.; Schiller, J.; Basnayake, J. Cold tolerance in rice varieties at different growth stages. Crop. Pasture Sci. 2009, 60, 328–338. [Google Scholar] [CrossRef]
- Abookheili, F.A.; Mobasser, H.R. Effect of planting density on growth characteristics and grain yield increase in successive cultivations of two rice cultivars. Agrosystems Geosci. Environ. 2021, 4, e20213. [Google Scholar] [CrossRef]
- Meas, V.; Shon, D.; Lee, Y.-H. Impacts of Planting Density on Nutrients Uptake by System of Rice Intensification under No-tillage Paddy in Korea. Korean J. Soil Sci. Fertil. 2011, 44, 98–103. [Google Scholar] [CrossRef]
- Ying, J.; Peng, S.; He, Q.; Yang, H.; Yang, C.; Visperas, R.M.; Cassman, K.G. Comparison of high-yield rice in tropical and subtropical environments: I. Determinants of grain and dry matter yields. Field Crop. Res. 1998, 57, 71–84. [Google Scholar] [CrossRef]
- Son, Y.; Park, S.T.; Kim, S.C.; Lee, S.S.; Lee, S.K. Varietal response on different planting densities in rice. Res. Rept. RDA 1989, 34, 1–6. [Google Scholar]
- Hayashi, S.; Kamoshita, A.; Yamagishi, J. Effect of Planting Density on Grain Yield and Water Productivity of Rice (Oryza sativa L.) Grown in Flooded and Non-flooded Fields in Japan. Plant Prod. Sci. 2006, 9, 298–311. [Google Scholar] [CrossRef]
- Li, Z.-F.; Wan, J.-M.; Xia, J.-F.; Zhai, H.-Q. Mapping quantitative trait loci underlying appearance quality of rice grains (Oryza sativa L.). Acta Genet. Sin. 2003, 30, 251–259. [Google Scholar] [CrossRef]
- Nelson, J.C.; McClung, A.M.; Fjellstrom, R.G.; Moldenhauer, K.A.K.; Boza, E.; Jodari, F.; Oard, J.H.; Linscombe, S.; Scheffler, B.E.; Yeater, K.M. Mapping QTL main and interaction influences on milling quality in elite US rice germplasm. Theor. Appl. Genet. 2011, 122, 291–309. [Google Scholar] [CrossRef]
- Chen, H.; Zhao, Z.; Jiang, L.; Wan, X.; Liu, L.; Wu, X.; Wan, J. Molecular genetic analysis on percentage of grains with chalkiness in rice (Oryza sativa L.). Afr. J. Biotech. 2011, 10, 6891–6903. [Google Scholar]
- Yun, Y.-T.; Chung, C.-T.; Lee, Y.-J.; Na, H.-J.; Lee, J.-C.; Lee, S.-G.; Lee, K.-W.; Yoon, Y.-H.; Kang, J.-W.; Lee, H.-S.; et al. QTL Mapping of Grain Quality Traits Using Introgression Lines Carrying Oryza rufipogon Chromosome Segments in Japonica Rice. Rice 2016, 9, 62. [Google Scholar] [CrossRef]
- Kwon, S.-W.; Cho, Y.-C.; Lee, J.-H.; Suh, J.-P.; Kim, J.-J.; Kim, M.-K.; Choi, I.-S.; Hwang, H.-G.; Koh, H.-J.; Kim, Y.-G. Identification of quantitative trait loci associated with rice eating quality traits using a population of recombinant inbred lines derived from a cross between two temperate japonica cultivars. Mol. Cells 2011, 31, 437–445. [Google Scholar] [CrossRef] [PubMed]
- Yanase, H.; Ohtsubo, K.; Hashimoto, K.; Sato, H.; Teranishi, T. Correlation between protein contents of brown rice and textural parameters of cooked rice and cooking quality of rice. Rep. Natl. Food Res. Inst. 1984, 45, 118–122. [Google Scholar]
- Yun, Y.; Kim, G.; Cho, G.; Lee, Y.; Yun, T.; Kim, H. Effect of Nitrogen Application Methods on Yield and Grain Quality of an Extremely Early Maturing Rice Variety. Agriculture 2023, 13, 832. [Google Scholar] [CrossRef]
- Heu, M.H.; Lee, C.Y.; Choe, Z.R.; Kim, S.I. Variablility of protein content in rice grown at several different environments. Korean J. Crop Sci. 1969, 7, 79–84. [Google Scholar]
- Ladha, J.; Kirk, G.; Bennett, J.; Peng, S.; Reddy, C.; Reddy, P.; Singh, U. Opportunities for increased nitrogen-use efficiency from improved lowland rice germplasm. Field Crop. Res. 1998, 56, 41–71. [Google Scholar] [CrossRef]
- Peng, S.; Buresh, R.J.; Huang, J.; Yang, J.; Zou, Y.; Zhong, X.; Wang, G.; Zhang, F. Strategies for overcoming low agronomic nitrogen use efficiency in irrigated rice systems in China. Field Crop. Res. 2006, 96, 37–47. [Google Scholar] [CrossRef]
- Zhou, C.; Huang, Y.; Jia, B.; Wang, S.; Dou, F.; Samonte, S.O.P.; Chen, K.; Wang, Y. Optimization of Nitrogen Rate and Planting Density for Improving the Grain Yield of Different Rice Genotypes in Northeast China. Agronomy 2019, 9, 555. [Google Scholar] [CrossRef]
- Schnier, H.F.; Dingkuhn, M.; De Datta, S.K.; Marqueses, E.P.; Faronilo, J.E. Nitrogen-15 balance in transplanted and direct-seeded flooded rice as affected by different methods of urea application. Biol. Fertil. Soils 1990, 10, 89–96. [Google Scholar] [CrossRef]
- Khan, S.; Anwar, S.; Kuai, J.; Ullah, S.; Fahad, S.; Zhou, G. Optimization of Nitrogen Rate and Planting Density for Improving Yield, Nitrogen Use Efficiency, and Lodging Resistance in Oilseed Rape. Front. Plant Sci. 2017, 8, 532. [Google Scholar] [CrossRef]
- Sui, B.; Feng, X.; Tian, G.; Hu, X.; Shen, Q.; Guo, S. Optimizing nitrogen supply increases rice yield and nitrogen use efficiency by regulating yield formation factors. Field Crop. Res. 2013, 150, 99–107. [Google Scholar] [CrossRef]
- Counce, P.A.; Wells, B.R. Rice Plant Population Density Effect on Early-Season Nitrogen Requirement. J. Prod. Agric. 1990, 3, 390–393. [Google Scholar] [CrossRef]







| Variety | Transplanting Date (m.dd) | Heading Date (m.dd) | Accumulated Temp. (°C) | Harvesting Date (m.dd) | Mean Temp. (°C) |
|---|---|---|---|---|---|
| Jinbuol | 4.16 | 6.29 | 1358 | 8.13 | 23.9 |
| 5.01 | 7.01 | 1204 | 8.15 | 24.1 | |
| 5.16 | 7.07 | 1096 | 8.19 | 24.7 | |
| 6.01 | 7.17 | 1018 | 8.28 | 25.3 | |
| 6.16 | 7.25 | 907 | 9.06 | 25.2 | |
| 7.01 | 8.06 | 872 | 9.20 | 24.1 | |
| 7.16 | 8.18 | 851 | 10.09 | 21.7 | |
| Yeoreumi | 4.17 | 7.10 | 1588 | 8.21 | 24.8 |
| 5.01 | 7.11 | 1424 | 8.23 | 24.9 | |
| 5.16 | 7.17 | 1322 | 8.28 | 25.3 | |
| 6.01 | 7.29 | 1310 | 9.10 | 25.0 | |
| 6.16 | 8.08 | 1265 | 9.24 | 23.9 | |
| 7.01 | 8.18 | 1188 | 10.09 | 21.7 | |
| 7.16 | 8.28 | 1110 | 10.30 | 20.0 | |
| Mean | Jinbuol | 7.19 | 1043 | 9.02 | 24.1 |
| Yeoreumi | 7.30 | 1315 | 9.16 | 23.7 | |
| Difference | ** | ** | ** | * |
| Variety | Transplanting Date (m.dd) | Culm Length (cm) | Panicle Length (cm) | Panicle Number hill−1 | Panicle Number m−2 |
|---|---|---|---|---|---|
| Jinbuol | 4.16 | 63.4 a | 17.4 a | 21.9 a | 522 a |
| 5.01 | 63.8 a | 17.4 a | 21.7 a | 517 a | |
| 5.16 | 63.1 a | 17.5 a | 21.6 a | 515 a | |
| 6.01 | 62.7 a | 17.0 ab | 20.6 b | 489 b | |
| 6.16 | 62.9 a | 16.7 bc | 20.5 b | 488 b | |
| 7.01 | 58.6 b | 16.2 c | 20.3 b | 484 b | |
| 7.16 | 56.7 c | 15.4 d | 19.8 b | 470 b | |
| Yeoreumi | 4.16 | 75.2 a | 18.7 a | 17.9 ab | 423 ab |
| 5.01 | 75.4 a | 18.8 a | 18.1 a | 431 a | |
| 5.16 | 75.1 a | 18.7 a | 18.1 a | 429 a | |
| 6.01 | 73.4 a | 18.6 a | 18.0 a | 428 a | |
| 6.16 | 73.5 a | 18.2 ab | 17.5 ab | 417 ab | |
| 7.01 | 68.1 b | 17.8 b | 17.1 b | 408 b | |
| 7.16 | 67.5 b | 17.6 b | 16.1 c | 384 c | |
| Mean | Jinbuol | 61.6 | 16.8 | 20.9 | 498 |
| Yeoreumi | 72.6 | 18.3 | 17.5 | 417 | |
| Difference | ** | ** | ** | ** |
| Variety | Transplanting Dates (m.dd) | Spikelet Number Panicle−1 | Spikelet Number m−2 | Ripened Grain (%) | 1000-Grain Weight (g) |
|---|---|---|---|---|---|
| Jinbuol | 4.16 | 46.1 a | 24,069 a | 80.5 a | 24.5 a |
| 5.01 | 45.1 ab | 23,301 a | 80.8 a | 24.6 a | |
| 5.16 | 44.6 ab | 22,899 a | 81.3 a | 24.3 a | |
| 6.01 | 42.9 b | 20,983 b | 81.7 a | 24.4 a | |
| 6.16 | 42.8 b | 20,880 b | 80.6 a | 24.5 a | |
| 7.01 | 38.5 c | 18,233 c | 82.1 a | 24.4 a | |
| 7.16 | 32.9 d | 15,514 d | 82.8 a | 24.1 a | |
| Yeoreumi | 4.16 | 75.7 a | 32,007 a | 83.2 a | 20.2 a |
| 5.01 | 76.1 a | 32,738 a | 83.4 a | 20.3 a | |
| 5.16 | 75.8 a | 32,540 a | 83.5 a | 20.1 a | |
| 6.01 | 74.8 a | 32,048 a | 84.1 a | 20.0 a | |
| 6.16 | 76.5 a | 31,886 a | 83.2 a | 20.1 a | |
| 7.01 | 69.2 b | 28,210 b | 84.1 a | 20.1 a | |
| 7.16 | 69.0 b | 26,465 c | 84.3 a | 20.0 a | |
| Mean | Jinbuol | 41.8 | 20,840 | 81.4 | 24.4 |
| Yeoreumi | 73.9 | 30,842 | 83.7 | 20.1 | |
| Difference | ** | ** | ** | ** |
| Yeoreumi | |||||||||
|---|---|---|---|---|---|---|---|---|---|
| Trait | DTH | CL | PL | PNH | SNP | SNM | RGR | TGW | MRY |
| DTH | 1 | 0.791 ** | 0.835 ** | 0.677 ** | 0.659 * | 0.697 ** | −0.507 ns | 0.565 * | 0.731 ** |
| CL | 0.689 ** | 1 | 0.930 ** | 0.890 ** | 0.879 ** | 0.950 ** | −0.552 * | 0.528 ns | 0.909 ** |
| PL | 0.779 ** | 0.875 ** | 1 | 0.829 ** | 0.783 ** | 0.870 ** | −0.575 * | 0.633 * | 0.912 ** |
| PNH | 0.816 ** | 0.608 * | 0.736 ** | 1 | 0.711 ** | 0.915 ** | −0.347 ns | 0.555 * | 0.835 ** |
| SNP | 0.780 ** | 0.924 ** | 0.940 ** | 0.758 ** | 1 | 0.927 ** | −0.663 ** | 0.333 ns | 0.864 ** |
| SNM | 0.851 ** | 0.889 ** | 0.927 ** | 0.881 ** | 0.972 ** | 1 | −0.547 * | 0.462 ns | 0.909 ** |
| RGR | −0.607 * | −0.769 ** | −0.723 ** | −0.432 ns | −0.790 ** | −0.725 ** | 1 | −0.467 ns | −0.579 * |
| TGW | 0.526 ns | 0.677 ** | 0.549 * | 0.350 ns | 0.650 * | 0.590 * | −0.802 ** | 1 | 0.600 * |
| MRY | 0.766 ** | 0.942 ** | 0.938 ** | 0.788 ** | 0.962 ** | 0.963 ** | −0.726 ** | 0.648 * | 1 |
| Jinbuol | |||||||||
| Variety | Transplanting Date (mm.dd) | Appearance Traits (%) | Protein (%) | |||
|---|---|---|---|---|---|---|
| Head | Chalky | Broken | Damaged | |||
| Jinbuol | 4.16 | 79.2 c | 17.0 b | 3.6 ab | 0.2 a | 6.6 c |
| 5.01 | 80.1 c | 15.1 bc | 4.5 a | 0.4 a | 6.8 c | |
| 5.16 | 76.2 d | 20.0 a | 3.2 abc | 0.6 a | 7.5 b | |
| 6.01 | 75.4 d | 21.3 a | 3.3 ab | 0.3 a | 7.9 b | |
| 6.16 | 74.6 d | 21.2 a | 3.8 ab | 0.4 a | 8.1 ab | |
| 7.01 | 83.8 b | 13.1 c | 2.7 bc | 0.3 a | 8.6 a | |
| 7.16 | 90.6 a | 7.5 d | 1.8 c | 0.2 a | 8.7 a | |
| Yeoreumi | 4.16 | 88.8 b | 8.8 b | 2.0 c | 0.4 a | 6.5 d |
| 5.01 | 89.2 b | 8.1 b | 2.6 bc | 0.3 a | 6.3 d | |
| 5.16 | 84.9 d | 12.3 ab | 2.8 bc | 0.3 a | 6.9 c | |
| 6.01 | 86.2 cd | 10.4 a | 3.0 b | 0.4 a | 7.2 b | |
| 6.16 | 87.3 bc | 8.1 b | 4.3 a | 0.3 a | 7.5 b | |
| 7.01 | 94.4 a | 2.6 d | 2.8 bc | 0.2 a | 7.8 a | |
| 7.16 | 95.3 a | 2.5 d | 2.0 c | 0.2 a | 7.9 a | |
| Mean | Jinbuol | 80.0 | 16.5 | 3.3 | 0.3 | 7.7 |
| Yeoreumi | 89.4 | 7.5 | 2.8 | 0.3 | 7.2 | |
| t-test | ** | ** | * | ns | ** | |
Disclaimer/Publisher’s Note: The statements, opinions and data contained in all publications are solely those of the individual author(s) and contributor(s) and not of MDPI and/or the editor(s). MDPI and/or the editor(s) disclaim responsibility for any injury to people or property resulting from any ideas, methods, instructions or products referred to in the content. |
© 2023 by the authors. Licensee MDPI, Basel, Switzerland. This article is an open access article distributed under the terms and conditions of the Creative Commons Attribution (CC BY) license (https://creativecommons.org/licenses/by/4.0/).
Share and Cite
Yun, Y.; Kim, G.; Cho, G.; Yun, T. Effect of Transplanting Date on Agronomic and Grain Quality Traits Using Early-Maturing Rice Varieties. Agronomy 2023, 13, 1195. https://doi.org/10.3390/agronomy13051195
Yun Y, Kim G, Cho G, Yun T. Effect of Transplanting Date on Agronomic and Grain Quality Traits Using Early-Maturing Rice Varieties. Agronomy. 2023; 13(5):1195. https://doi.org/10.3390/agronomy13051195
Chicago/Turabian StyleYun, Yeotae, Gyucheol Kim, Giwon Cho, and Tugsang Yun. 2023. "Effect of Transplanting Date on Agronomic and Grain Quality Traits Using Early-Maturing Rice Varieties" Agronomy 13, no. 5: 1195. https://doi.org/10.3390/agronomy13051195
APA StyleYun, Y., Kim, G., Cho, G., & Yun, T. (2023). Effect of Transplanting Date on Agronomic and Grain Quality Traits Using Early-Maturing Rice Varieties. Agronomy, 13(5), 1195. https://doi.org/10.3390/agronomy13051195

