Nitrogen Significantly Affected N Cycling Functional Gene Abundances Compared with Phosphorus and Drought in an Alpine Meadow
Abstract
1. Introduction
2. Materials and Methods
2.1. Experimental Area and Experimental Design
2.2. Soil Sampling and Physico-Chemical Analysis
2.3. DNA Extraction and Real-Time PCR
2.4. Data Analysis
3. Results
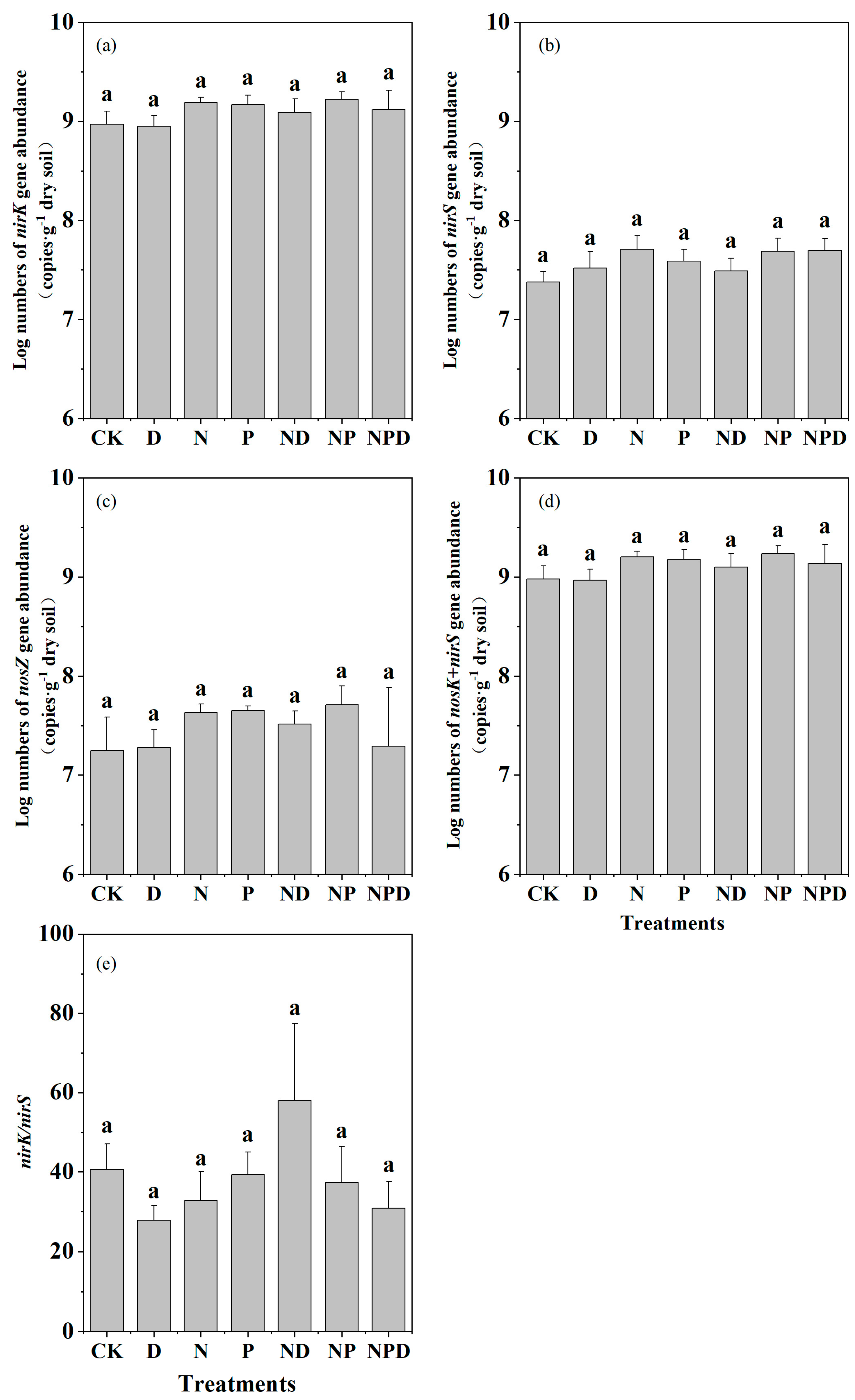
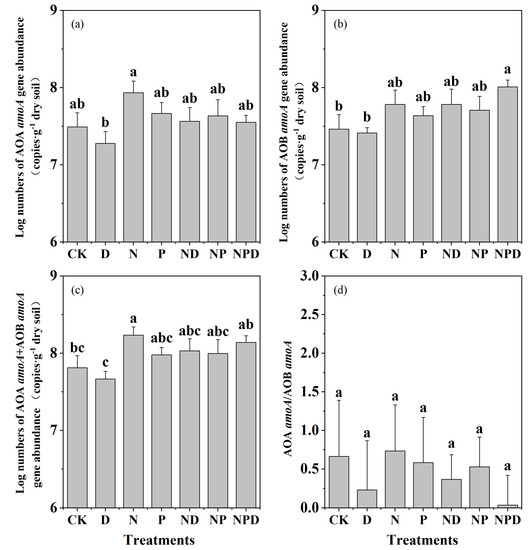
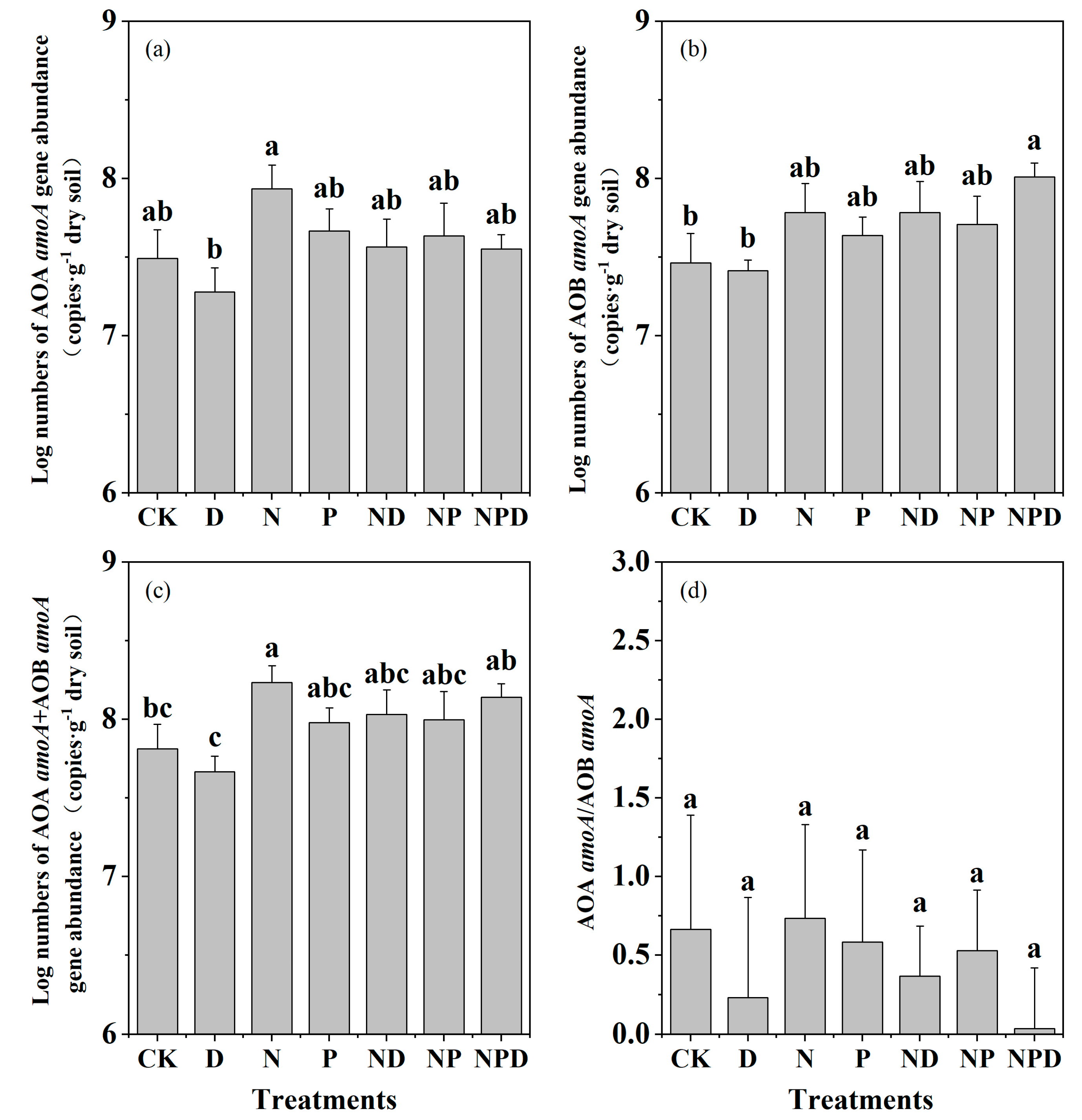
3.1. Effects of Different Treatments on the Abundances of Functional Genes
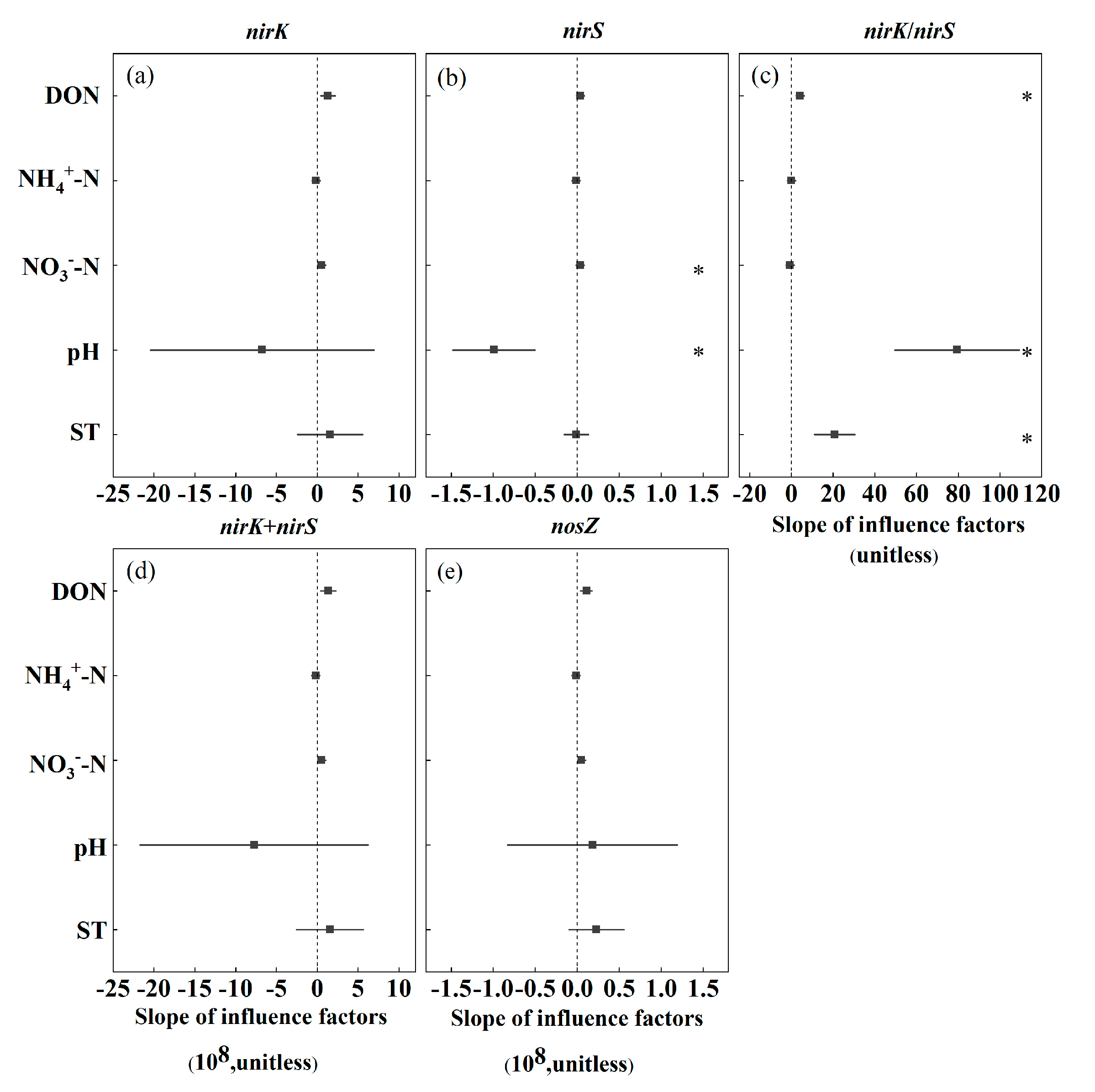
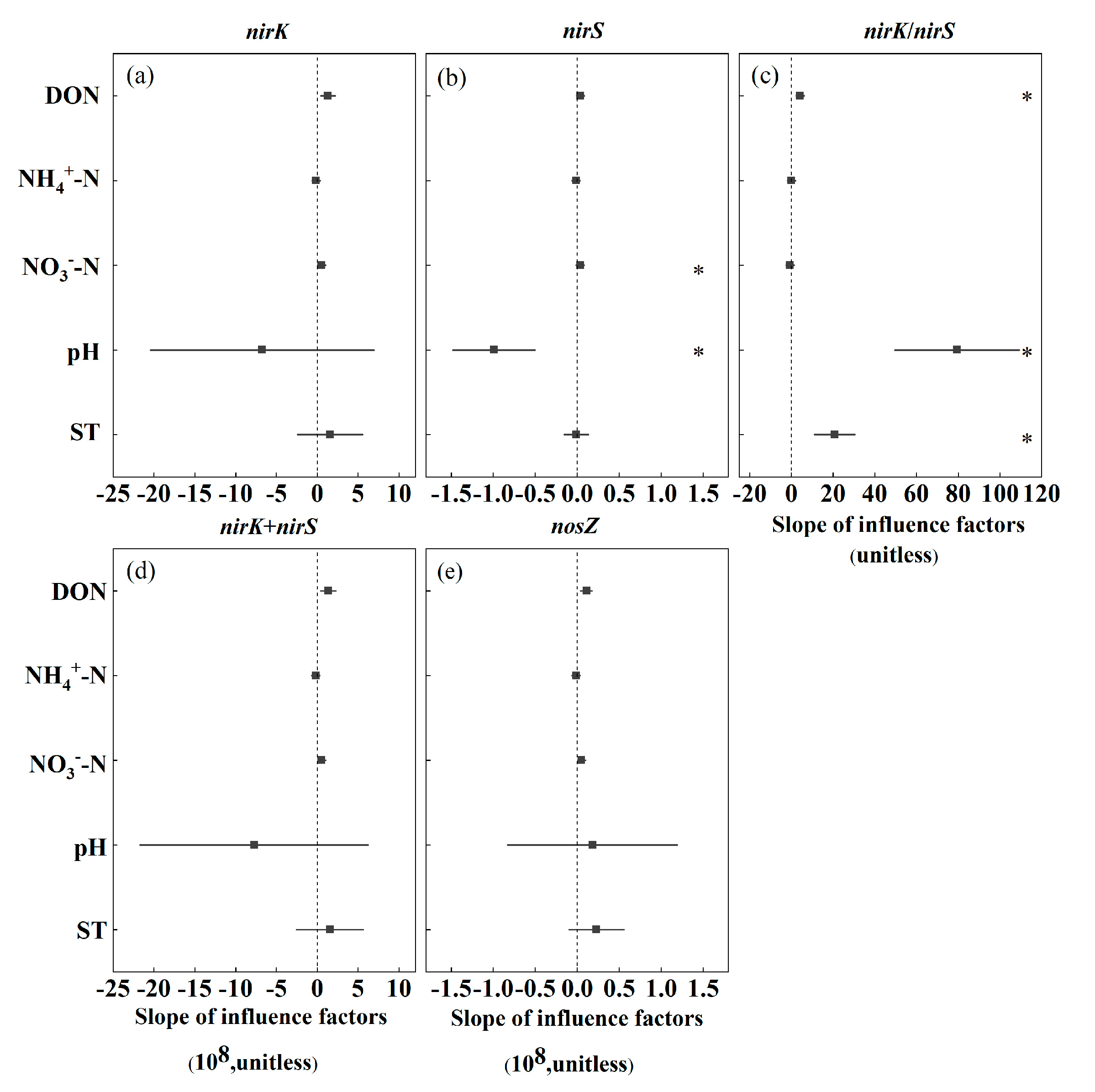
3.2. Relationships between the Soil Physico-Chemical Properties and the Abundance of Functional Genes
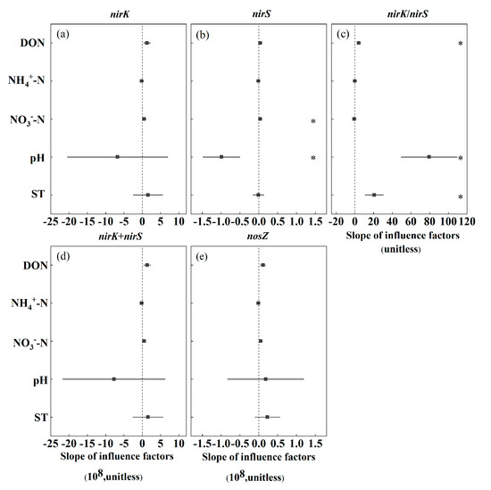
3.3. Main Influencing Factors of Gene Abundance
4. Discussion
4.1. Responses of Nitrification Functional Genes to Changes in Three Resources
4.2. Responses of Denitrification Functional Genes to Changes in Three Resources
4.3. Differences in the Response of Functional Genes to Environmental Changes
5. Conclusions
Supplementary Materials
Author Contributions
Funding
Institutional Review Board Statement
Informed Consent Statement
Conflicts of Interest
References
- Wu, Q.Q.; Yue, K.; Ma, Y.D.; Heděnec, P.; Cai, Y.J.; Chen, J.; Zhang, H.; Shao, J.J.; Chang, S.X.; Li, Y. Contrasting effects of altered precipitation regimes on soil nitrogen cycling at the global scale. Glob. Chang. Biol. 2022, 28, 6679–6695. [Google Scholar] [CrossRef] [PubMed]
- You, L.C.; Ros, G.H.; Chen, Y.L.; Yang, X.; Cui, Z.L.; Liu, X.J.; Jiang, R.F.; Zhang, F.S.; de Vries, W. Global meta-analysis of terrestrial nitrous oxide emissions and associated functional genes under nitrogen addition. Soil Biol. Biochem. 2022, 165, 108523. [Google Scholar] [CrossRef]
- Zhou, S.T.; Xue, K.; Zhang, B.; Tang, L.; Pang, Z.; Wang, F.; Che, R.X.; Ran, Q.W.; Xia, A.Q.; Wang, K.; et al. Spatial patterns of microbial nitrogen-cycling gene abundances along a precipitation gradient in various temperate grasslands at a regional scale. Geoderma 2021, 404, 115236. [Google Scholar] [CrossRef]
- Xiao, J.N.; Dong, S.K.; Shen, H.; Li, S.; Kelly, W.; Liu, S.L.; Wei, L.; Zhi, Y.L.; Mu, Z.Y.; Li, H.B. N Addition Overwhelmed the Effects of P Addition on the Soil C, N, and P Cycling Genes in Alpine Meadow of the Qinghai-Tibetan Plateau. Front. Plant Sci. 2022, 13, 860590. [Google Scholar] [CrossRef]
- Shi, Y.J.; Wang, J.F.; Ao, Y.N.; Han, J.Y.; Guo, Z.H.; Liu, X.Y.; Zhang, J.W.; Mu, C.S.; Le Roux, X. Responses of soil N2O emissions and their abiotic and biotic drivers to altered rainfall regimes and co-occurring wet N deposition in a semi-arid grassland. Glob. Chang. Biol. 2021, 27, 4894–4908. [Google Scholar] [CrossRef] [PubMed]
- Bauhus, J.; Khanna, P.K. Carbon and nitrogen turnover in two acid forest soils of southeast Australia as affected by phosphorus addition and drying and rewetting cycles. Biol. Fertil. Soils 1994, 17, 212–218. [Google Scholar] [CrossRef]
- Sun, R.B.; Myrold, D.D.; Wang, D.Z.; Guo, X.S.; Chu, H.Y. AOA and AOB communities respond differently to changes of soil pH under long-term fertilization. Soil Ecol. Lett. 2019, 1, 126–135. [Google Scholar] [CrossRef]
- Rillig, M.C.; Ryo, M.; Lehmann, A.; Aguilar-Trigueros, C.A.; Buchert, S.; Wulf, A.; Iwasaki, A.; Roy, J.; Yang, G.W. The role of multiple global change factors in driving soil functions and microbial biodiversity. Sci. (Am. Assoc. Adv. Sci.) 2019, 366, 886–890. [Google Scholar] [CrossRef]
- Zhu, X.; Burger, M.; Doane, T.A.; Horwath, W.R. Ammonia oxidation pathways and nitrifier denitrification are significant sources of N₂O and NO under low oxygen availability. Proc. Natl. Acad. Sci. USA 2013, 110, 6328–6333. [Google Scholar] [CrossRef]
- Zhang, N.N.; Sun, G.; Liang, J.; Wang, E.T.; Shi, C.G.; He, J.; Hu, X.; Zhao, C.Z.; Wu, N. Response of ammonium oxidizers to the application of nitrogen fertilizer in an alpine meadow on the Qinghai-Tibetan Plateau. Appl. Soil Ecol. A Sect. Agric. Ecosyst. Environ. 2018, 124, 266–274. [Google Scholar] [CrossRef]
- Tian, X.F.; Hu, H.W.; Ding, Q.; Song, M.H.; Xu, X.L.; Zheng, Y.; Guo, L.D. Influence of nitrogen fertilization on soil ammonia oxidizer and denitrifier abundance, microbial biomass, and enzyme activities in an alpine meadow. Biol. Fertil. Soils 2013, 50, 703–713. [Google Scholar] [CrossRef]
- Li, Y.Y.; Chapman, S.J.; Nicol, G.W.; Yao, H.Y. Nitrification and nitrifiers in acidic soils. Soil Biol. Biochem. 2018, 116, 290–301. [Google Scholar] [CrossRef]
- Lin, Y.X.; Hu, H.W.; Ye, G.P.; Fan, J.B.; Ding, W.X.; He, Z.Y.; Zheng, Y.; He, J.Z. Ammonia-oxidizing bacteria play an important role in nitrification of acidic soils: A meta-analysis. Geoderma 2021, 404, 115395. [Google Scholar] [CrossRef]
- Ma, W.B.; Jiang, S.J.; Assemien, F.; Qin, M.S.; Ma, B.B.; Xie, Z.; Liu, Y.J.; Feng, H.Y.; Du, G.Z.; Ma, X.J.; et al. Response of microbial functional groups involved in soil N cycle to N, P and NP fertilization in Tibetan alpine meadows. Soil Biol. Biochem. 2016, 101, 195–206. [Google Scholar] [CrossRef]
- Tang, Y.Q.; Zhang, X.Y.; Li, D.D.; Wang, H.M.; Chen, F.S.; Fu, X.L.; Fang, X.M.; Sun, X.M.; Yu, G.R. Impacts of nitrogen and phosphorus additions on the abundance and community structure of ammonia oxidizers and denitrifying bacteria in Chinese fir plantations. Soil Biol. Biochem. 2016, 103, 284–293. [Google Scholar] [CrossRef]
- Li, J.J.; Wang, G.L.; Yan, B.S.; Liu, G.B. The responses of soil nitrogen transformation to nitrogen addition are mainly related to the changes in functional gene relative abundance in artificial Pinus tabulaeformis forests. Sci. Total Environ. 2020, 723, 137679. [Google Scholar] [CrossRef] [PubMed]
- Song, L.; Niu, S.L. Increased soil microbial AOB amoA and narG abundances sustain long-term positive responses of nitrification and denitrification to N deposition. Soil Biol. Biochem. 2022, 166, 108539. [Google Scholar] [CrossRef]
- Neilson, J.W.; Califf, K.; Cardona, C.; Copeland, A.; van Treuren, W.; Josephson, K.L.; Knight, R.; Gilbert, J.A.; Quade, J.; Caporaso, J.G.; et al. Significant Impacts of Increasing Aridity on the Arid Soil Microbiome. MSystems 2017, 2, e00195-16. [Google Scholar] [CrossRef]
- Li, L.F.; Zheng, Z.Z.; Wang, W.J.; Biederman, J.A.; Xu, X.L.; Ran, Q.W.; Qian, R.Y.; Xu, C.; Zhang, B.; Wang, F.; et al. Terrestrial N2O emissions and related functional genes under climate change: A global meta-analysis. Glob. Chang. Biol. 2020, 26, 931–943. [Google Scholar] [CrossRef]
- Eisenhauer, N.; Cesarz, S.; Koller, R.; Worm, K.; Reich, P.B. Global change belowground: Impacts of elevated CO2, nitrogen, and summer drought on soil food webs and biodiversity. Glob. Chang. Biol. 2012, 18, 435–447. [Google Scholar] [CrossRef]
- Dong, J.Y.; Zhang, J.Q.; Liu, Y.H.; Jing, H.C. How climate and soil properties affect the abundances of nitrogen-cycling genes in nitrogen-treated ecosystems: A meta-analysis. Plant Soil. 2022, 477, 389–404. [Google Scholar] [CrossRef]
- Li, L.; Wang, Y.; Hu, S.Y.; Li, Y.; Shen, Y.; Yu, Q.; Huang, J.H.; Wang, C.H. Responses of soil potential carbon/nitrogen mineralization and microbial activities to extreme droughts in a meadow steppe. Ying Yong Sheng Tai Xue Bao 2020, 31, 814–820. [Google Scholar] [CrossRef] [PubMed]
- He, D.; Shen, W.J.; Eberwein, J.; Zhao, Q.; Ren, L.J.; Wu, Q.L. Diversity and co-occurrence network of soil fungi are more responsive than those of bacteria to shifts in precipitation seasonality in a subtropical forest. Soil Biol. Biochem. 2017, 115, 499–510. [Google Scholar] [CrossRef]
- Zong, N.; Shi, P.L.; Zhao, G.S.; Zheng, L.L.; Niu, B.; Zhou, T.C.; Hou, G. Variations of nitrogen and phosphorus limitation along the environmental gradient in alpine grasslands on the Northern Xizang Plateau. Chin. J. Plant Ecol. 2021, 45, 444–455. [Google Scholar] [CrossRef]
- Liu, L.T.; Hu, C.S.; Yang, P.P.; Ju, Z.Q.; Olesen, J.E.; Tang, J.W. Experimental warming-driven soil drying reduced N2O emissions from fertilized crop rotations of winter wheat–soybean/fallow, 2009–2014. Agric. Ecosyst. Environ. 2016, 219, 71–82. [Google Scholar] [CrossRef]
- Sun, Y.F.; Shen, J.P.; Zhang, C.J.; Zhang, L.M.; Bai, W.M.; Fang, Y.; He, J.Z. Responses of soil microbial community to nitrogen fertilizer and precipitation regimes in a semi-arid steppe. J. Soils Sediments 2017, 18, 762–774. [Google Scholar] [CrossRef]
- Song, H.; Che, Z.; Cao, W.C.; Huang, T.; Wang, J.G.; Dong, Z.R. Changing roles of ammonia-oxidizing bacteria and archaea in a continuously acidifying soil caused by over-fertilization with nitrogen. Environ. Sci. Pollut. Res. Int. 2016, 23, 11964–11974. [Google Scholar] [CrossRef]
- He, J.Z.; Hu, H.W.; Zhang, L.M. Current insights into the autotrophic thaumarchaeal ammonia oxidation in acidic soils. Soil Biol. Biochem. 2012, 55, 146–154. [Google Scholar] [CrossRef]
- Zhang, J.Q.; He, P.; Liu, Y.H.; Du, W.; Jing, H.C.; Nie, C. Soil properties and microbial abundance explain variations in N2O fluxes from temperate steppe soil treated with nitrogen and water in Inner Mongolia, China. Appl. Soil Ecol. A Sect. Agric. Ecosyst. Environ. 2021, 165, 103984. [Google Scholar] [CrossRef]
- Ouyang, Y.; Evans, S.E.; Friesen, M.L.; Tiemann, L.K. Effect of nitrogen fertilization on the abundance of nitrogen cycling genes in agricultural soils: A meta-analysis of field studies. Soil Biol. Biochem. 2018, 127, 71–78. [Google Scholar] [CrossRef]
- Carey, C.J.; Dove, N.C.; Beman, J.M.; Hart, S.C.; Aronson, E.L. Meta-analysis reveals ammonia-oxidizing bacteria respond more strongly to nitrogen addition than ammonia-oxidizing archaea. Soil Biol. Biochem. 2016, 99, 158–166. [Google Scholar] [CrossRef]
- Tang, Y.G.; Yu, G.R.; Zhang, X.Y.; Wang, Q.F.; Tian, D.S.; Tian, J.; Niu, S.L.; Ge, J.P. Environmental variables better explain changes in potential nitrification and denitrification activities than microbial properties in fertilized forest soils. Sci. Total Environ. 2019, 647, 653–662. [Google Scholar] [CrossRef]
- Li, Y.Q.; Ma, J.W.; Yu, Y.; Li, Y.J.; Shen, X.Y.; Huo, S.L.; Xia, X.H. Effects of multiple global change factors on soil microbial richness, diversity and functional gene abundances: A meta-analysis. Sci. Total Environ. 2022, 815, 152737. [Google Scholar] [CrossRef] [PubMed]
- Liu, Y.W.; Xu, R.; Wang, Y.S.; Pan, Y.P.; Piao, S.L. Wet deposition of atmospheric inorganic nitrogen at five remote sites in the Tibetan Plateau. Atmos. Chem. Phys. 2015, 15, 11683–11700. [Google Scholar] [CrossRef]
- Fu, Y.W. Responses and Mechanisms of Ecosystem Carbon Fluxes to Multiple Nutrient Addition and Drought in An Alpine Meadow. Ph.D. Thesis, Tibet University, Tibet, China, 2020. [Google Scholar]
- Li, J.P.; Tian, D.S.; He, Y.C.; Fu, Y.W.; Wang, J.S.; Wang, J.Y.; Zhou, Q.P.; Niu, S.L. Responses and mechanisms of leaf potassium concentration of dominant species to multiple nutrient addition in an alpine meadow. J. Beijing For. Univ. 2022, 44, 116–123. [Google Scholar]
- Fu, Y.W.; Tian, D.S.; Niu, S.L.; Zhao, K.T. Effects of nitrogen, phosphorus addition and drought on leaf stoichiometry in dominant species of alpine meadow. J. Beijing For. Univ. 2020, 42, 115–123. [Google Scholar]
- Borer, E.T.; Harpole, W.S.; Adler, P.B.; Lind, E.M.; Orrock, J.L.; Seabloom, E.W.; Smith, M.D.; Freckleton, R. Finding generality in ecology: A model for globally distributed experiments. Methods Ecol. Evol. 2014, 5, 65–73. [Google Scholar] [CrossRef]
- Smith, M.; Sala, O.; Phillips, R. Drought-Net: A Global Network to Assess Terrestrial Ecosystem Sensitivity to Drought. Available online: http://asm2015.lternet.edu/working-groups/drought-net-global-network-assess-terrestrial-ecosystem-sensitivity-drought/ (accessed on 1 July 2022).
- Jones, D.L.; Willett, V.B. Experimental evaluation of methods to quantify dissolved organic nitrogen (DON) and dissolved organic carbon (DOC) in soil. Soil Biol. Biochem. 2006, 38, 991–999. [Google Scholar] [CrossRef]
- Tang, Y.Q.; Yu, G.R.; Zhang, X.Y.; Wang, Q.F.; Ge, J.P.; Liu, S. Changes in nitrogen-cycling microbial communities with depth in temperate and subtropical forest soils. Appl. Soil Ecol. A Sect. Agric. Ecosyst. Environ. 2018, 124, 218–228. [Google Scholar] [CrossRef]
- Kolb, S.; Knief, C.; Stubner, S.; Conrad, R. Quantitative Detection of Methanotrophs in Soil by Novel pmoA-Targeted Real-Time PCR Assays. Appl. Environ. Microbiol. 2003, 69, 2423–2429. [Google Scholar] [CrossRef]
- Prosser, J.I.; Nicol, G.W. Relative contributions of archaea and bacteria to aerobic ammonia oxidation in the environment. Environ. Microbiol. 2008, 10, 2931–2941. [Google Scholar] [CrossRef] [PubMed]
- Di, H.J.; Cameron, K.C.; Shen, J.P.; Winefield, C.S.; O’Callaghan, M.; Bowatte, S.; He, J.Z. Ammonia-oxidizing bacteria and archaea grow under contrasting soil nitrogen conditions. FEMS Microbiol. Ecol. 2010, 72, 386–394. [Google Scholar] [CrossRef] [PubMed]
- Zhang, C.J.; Yang, Z.L.; Shen, J.P.; Sun, Y.F.; Wang, J.T.; Han, H.Y.; Wan, S.Q.; Zhang, L.M.; He, J.Z. Impacts of long-term nitrogen addition, watering and mowing on ammonia oxidizers, denitrifiers and plant communities in a temperate steppe. Appl. Soil Ecol. A Sect. Agric. Ecosyst. Environ. 2018, 130, 241–250. [Google Scholar] [CrossRef]
- Martens-Habbena, W.; Berube, P.M.; Stahl, D.A.; Urakawa, H.; de la Torre, J.R. Ammonia oxidation kinetics determine niche separation of nitrifying Archaea and Bacteria. Nature 2009, 461, 976–979. [Google Scholar] [CrossRef]
- Chen, Y.L.; Hu, H.W.; Han, H.Y.; Du, Y.; Wan, S.Q.; Xu, Z.W.; Chen, B.D. Abundance and community structure of ammonia-oxidizing Archaea and Bacteria in response to fertilization and mowing in a temperate steppe in Inner Mongolia. FEMS Microbiol. Ecol. 2014, 89, 67–79. [Google Scholar] [CrossRef]
- Ma, W.B. Response of Microbial Functional Groups Involved in Soil Ncycle to N, P and NP Fertilization in Tibetan Alpine Meadows. Master’s Thesis, Lanzhou University, Lanzhou, China, 2016. [Google Scholar]
- Allison, S.D.; Martiny, J.B.H. Resistance, resilience, and redundancy in microbial communities. Proc. Natl. Acad. Sci. USA 2008, 105, 11512. [Google Scholar] [CrossRef]
- Rinnan, R.; Michelsen, A.; Bååth, E.; Jonasson, S. Fifteen years of climate change manipulations alter soil microbial communities in a subarctic heath ecosystem. Glob. Chang. Biol. 2007, 13, 28–39. [Google Scholar] [CrossRef]
- Hatzenpichler, R.; Lebedeva, E.V.; Spieck, E.; Stoecker, K.; Richter, A.; Daims, H.; Wagner, M. A Moderately Thermophilic Ammonia-Oxidizing Crenarchaeote from a Hot Spring. Proc. Natl. Acad. Sci. USA 2008, 105, 2134–2139. [Google Scholar] [CrossRef]
- Miller, M.N.; Zebarth, B.J.; Dandie, C.E.; Burton, D.L.; Goyer, C.; Trevors, J.T. Crop residue influence on denitrification, N2O emissions and denitrifier community abundance in soil. Soil Biol. Biochem. 2008, 40, 2553–2562. [Google Scholar] [CrossRef]
- Zhalnina, K.; De Quadros, P.D.; Camargo, F.A.O.; Triplett, E.W. Drivers of archaeal ammonia-oxidizing communities in soil. Front. Microbiol. 2012, 3, 210. [Google Scholar] [CrossRef]
- Desnues, C.; Michotey, V.D.; Wieland, A.; Zhizang, C.; Fourçans, A.; Duran, R.; Bonin, P.C. Seasonal and diel distributions of denitrifying and bacterial communities in a hypersaline microbial mat (Camargue, France). Water Res. 2007, 41, 3407–3419. [Google Scholar] [CrossRef] [PubMed]
- Levy-Booth, D.J.; Prescott, C.E.; Grayston, S.J. Microbial functional genes involved in nitrogen fixation, nitrification and denitrification in forest ecosystems. Soil Biol. Biochem. 2014, 75, 11–25. [Google Scholar] [CrossRef]
- Chen, Z.; Liu, J.B.; Wu, M.N.; Xie, X.L.; Wu, J.S.; Wei, W.X. Differentiated Response of Denitrifying Communities to Fertilization Regime in Paddy Soil. Microb. Ecol. 2012, 63, 446–459. [Google Scholar] [CrossRef] [PubMed]
- Zhong, L.; Du, R.; Ding, K.; Kang, X.M.; Li, F.Y.; Bowatte, S.; Hoogendoorn, C.J.; Wang, Y.F.; Rui, Y.C.; Jiang, L.L.; et al. Effects of grazing on N2O production potential and abundance of nitrifying and denitrifying microbial communities in meadow-steppe grassland in northern China. Soil Biol. Biochem. 2014, 69, 1–10. [Google Scholar] [CrossRef]






| Treatment | AOA amoA | AOB amoA | AOA amoA +AOB amoA | AOA amoA /AOB amoA | nirK | nirS | nirK+nirS | nirK/nirS | nosZ |
|---|---|---|---|---|---|---|---|---|---|
| N | n.s. | 0.031 | 0.013 | n.s. | n.s. | n.s. | n.s. | n.s. | n.s. |
| P | n.s. | n.s. | n.s. | n.s. | n.s. | n.s. | n.s. | n.s. | n.s. |
| D | n.s. | n.s. | n.s. | n.s. | n.s. | n.s. | n.s. | n.s. | n.s. |
| N*P | n.s. | n.s. | n.s. | n.s. | n.s. | n.s. | n.s. | n.s. | n.s. |
| N*D | n.s. | n.s. | n.s. | n.s. | n.s. | n.s. | n.s. | n.s. | n.s. |
| N*P*D | n.s. | n.s. | n.s. | n.s. | n.s. | n.s. | n.s. | n.s. | n.s. |
Disclaimer/Publisher’s Note: The statements, opinions and data contained in all publications are solely those of the individual author(s) and contributor(s) and not of MDPI and/or the editor(s). MDPI and/or the editor(s) disclaim responsibility for any injury to people or property resulting from any ideas, methods, instructions or products referred to in the content. |
© 2023 by the authors. Licensee MDPI, Basel, Switzerland. This article is an open access article distributed under the terms and conditions of the Creative Commons Attribution (CC BY) license (https://creativecommons.org/licenses/by/4.0/).
Share and Cite
Li, H.; Zhang, J.; Tian, D.; Liu, Y.; Dong, J. Nitrogen Significantly Affected N Cycling Functional Gene Abundances Compared with Phosphorus and Drought in an Alpine Meadow. Agronomy 2023, 13, 1041. https://doi.org/10.3390/agronomy13041041
Li H, Zhang J, Tian D, Liu Y, Dong J. Nitrogen Significantly Affected N Cycling Functional Gene Abundances Compared with Phosphorus and Drought in an Alpine Meadow. Agronomy. 2023; 13(4):1041. https://doi.org/10.3390/agronomy13041041
Chicago/Turabian StyleLi, Haiyan, Jiaqi Zhang, Dashuan Tian, Yinghui Liu, and Jingyi Dong. 2023. "Nitrogen Significantly Affected N Cycling Functional Gene Abundances Compared with Phosphorus and Drought in an Alpine Meadow" Agronomy 13, no. 4: 1041. https://doi.org/10.3390/agronomy13041041
APA StyleLi, H., Zhang, J., Tian, D., Liu, Y., & Dong, J. (2023). Nitrogen Significantly Affected N Cycling Functional Gene Abundances Compared with Phosphorus and Drought in an Alpine Meadow. Agronomy, 13(4), 1041. https://doi.org/10.3390/agronomy13041041

