Next Article in Journal
Impacts of Environmental Factors and Nutrients Management on Tomato Grown under Controlled and Open Field Conditions
Previous Article in Journal
Combining a Mutant Allele of FAD2-1A with HD Improves the ω-6/ω-3 Ratio in Soybeans
 
 
Font Type:
Arial Georgia Verdana
Font Size:
Aa Aa Aa
Line Spacing:
Column Width:
Background:
Article

Grain Yield Formation and Nitrogen Utilization Efficiency of Different Winter Wheat Varieties under Rainfed Conditions in the Huang-Huai-Hai Plain

Shandong Provincial Key Laboratory of Dryland Farming Technology, College of Agronomy, Qingdao Agricultural University, Qingdao 266109, China
*
Author to whom correspondence should be addressed.
Agronomy 2023, 13(3), 915; https://doi.org/10.3390/agronomy13030915
Submission received: 13 February 2023 / Revised: 12 March 2023 / Accepted: 16 March 2023 / Published: 19 March 2023

Abstract

Winter wheat production is threatened by drought stress under rainfed conditions; thus, screening high- and stable-yielding wheat varieties to ensure the sustainable development of wheat production and food security in the Huang-Huai-Hai Plain (HHHP) is vital. In this research, four-year field experiments with twelve winter wheat varieties were conducted during the winter wheat-growing seasons between 2016 and 2020 in order to: (1) screen high- and stable-yielding winter wheat varieties under rainfed conditions, (2) investigate the mechanism of high-yielding wheat yield formation and the relationships among grain-yield formation traits, and (3) investigate the nitrogen utilization efficiency (NUtE) of high-yielding wheat. The results showed that high-yield level wheat varieties (HL; Yannong999, Taimai1918 and Yannong173) obtained a higher average grain yield than medium-yield level wheat varieties (ML) and low-yield level wheat varieties (LL) by 10.1% and 29.0%, respectively. Compared with ML and LL, HL had a higher biomass at anthesis, higher spike dry matter at anthesis, higher spike partitioning index and fruiting efficiency (grain set per unit of spike dry weight at anthesis), and the highest grain number per square meter (24.2 × 103 m−2). Simultaneously, HL maintained a higher leaf area index (LAI) at anthesis and a higher net photosynthesis rate (Pn) of flag leaves after anthesis, which contributed to a higher post-anthesis biomass; HL also had higher maturity biomass, harvest index (HI), and biomass remobilization in comparison to ML and LL. The above results demonstrated that HL improved grain yield by increasing grain number per square meter, post-anthesis biomass, biomass remobilization, maturity biomass, and HI. Additionally, HL also obtained higher NUtE by improving grain yield. Therefore, screening winter wheat varieties with traits such as HL can help achieve high and stable yields and high NUtE under rainfed conditions.

1. Introduction

The Huang-Huai-Hai Plain (HHHP), located in the north of the country, is the main wheat production region in China, which provides 71% of the country’s wheat production with a 12.0 million hectares wheat planting area known as the ‘Breadbasket of China’ [1,2]. In addition, there are over 2 million hectares of rainfed wheat areas in this region. Rainfed wheat production is also important for ensuring food security [3]. However, it is one of the few areas with a serious shortage of water resources in China, and the lower rainfall and large amplitude of interannual variation severely affects the stability of rainfed wheat yield in this region [3,4]. Additionally, rainfall and water stress have a decisive impact on wheat grain yield under rainfed conditions. It is crucial to select wheat varieties that show sustained good performance in the region [4,5]. Thus, selecting high- and stable-yielding wheat varieties under rainfed conditions is beneficial to ensure stable wheat yield and food security.
The annual average precipitation is 500–600 mm in HHHP; however, only 30–40% of the annual precipitation occurs during the winter wheat-growing season [6]. Meanwhile, the uneven precipitation distribution and lack of irrigation during the winter wheat-growing season leads to drought under rainfed conditions [7]. Drought stress is a major factor that affects wheat production in the rainfed region. Wheat yield formation is determined by the number of spikes, the grain number per spike, and the thousand-grain weight. In recent years, many studies have shown that the improvement in wheat grain yield was mainly due to the increase in the grain number per unit square meter (the number of spikes by the grain number per spike) under rainfed conditions [8,9]. The wheat potential grain number per unit square meter is determined during the reproductive development period. Drought stress before anthesis inhibits the photo-assimilate accumulation and distribution of spikes, which contributes to the lower dry matter accumulation, the lower grain number, and the lower grain yield [5,10]. Otherwise, the wheat grain yield formation is determined by the post-anthesis photo-assimilate accumulation and the pre-anthesis stored assimilates’ remobilization [11]. Leaves are an important photosynthetic organ for assimilate accumulation. Post-anthesis drought stress accelerates leaf senescence and reduces the duration of the green leaf area, which in turn reduces light interception and photosynthetic assimilate accumulation, and further decreases grain yield [12,13]. Meanwhile, the pre-anthesis assimilate storage could alleviate the insufficient photosynthetic assimilate accumulation after anthesis caused by drought stress during the grain-filling period to maintain grain yield [14]. In sum, maintaining higher wheat grain number, increasing the photo-assimilate accumulation after anthesis, and promoting the remobilization of assimilate storage before anthesis will be beneficial to the improvement of grain yield under rainfed conditions [5,14].
Many previous studies have explored conservation tillage to improve wheat grain yield under rainfed conditions. These studies have shown that conservation tillage reduced soil evaporation, improved soil water storage utilization, soil nitrogen and organic carbon content, increased the spike number per unit area and grain number per spike, and ensured post-anthesis photo-assimilate accumulation [3,15]. Furthermore, there is a large quantity of research on improving rainfed wheat yield through nitrogen management; improving nitrogen uptake and utilization in wheat under rainfed conditions can significantly increase biomass and grain yield [16,17,18]. Agronomists and breeders have carried out a series of studies on cultivation and tillage [3,18] and on a selection of drought-resistant wheat genotypes to improve rainfed wheat yield [5,19,20]. Selecting excellent drought-tolerant wheat varieties would be one of the important ways to ensure rainfed wheat production can cope with future climate change [21,22]. In this study, under rainfed conditions, we studied 12 winter wheat cultivars released in the Huang-Huai-Hai region in order to: (1) screen high- and stable-yielding winter wheat varieties under rainfed conditions, (2) investigate the mechanism of high-yielding wheat yield formation and the relationships among grain yield formation traits, and (3) investigate the nitrogen utilization efficiency of high-yielding wheat.

2. Materials and Methods

2.1. Experimental Site and Design

A four-year field study was performed at Jiaozhou Modern Agricultural Science and Technology Demonstration Park of Qingdao Agricultural University (Shandong province, China; 35.53° N, 119.58° E) during the winter wheat-growing seasons in 2016–2020. The field soil was mortar black soil and the topsoil (20 cm) nutrients were measured at the beginning of the field study, which contained 16.3 g·kg−1 organic matter, 0.92 g·kg−1 total nitrogen, 127.1 mg·kg−1 hydrolysable nitrogen, 5.7 mg·kg−1 available phosphorus, and 129.8 mg·kg−1 available potassium. The precipitation in the 2016–2020 winter wheat-growing seasons is shown in Figure 1.
Twelve winter wheat varieties, including Jinan17, Jimai20, Jimai22, Qingnong2, Shannong28, Shiluan02-1, Taikemai33, Taimai1918, Tanmai98, Xinmai296, Yannong173, and Yannong999, were used as the experimental materials in this study. The experimental design was a completely randomized block design with 3 replications. Each experimental plot was 8.4 m by 4.4 m in size during the 2016–2018 growing seasons and 8.4 m by 8.4 m in size during the 2018–2020 growing seasons with a wheat-row spacing of 0.22 m.
The soil water content of 0–100 cm soil layers before sowing is shown in Table 1. Before sowing, the experimental field was supplied with compound fertilizer (N-P2O5-K2O, 15%-15%-15%) at a rate of 1066.7 kg·ha−1, and then one pass of plow tillage and two passes of rotary tillage were carried out. No fertilization and no irrigation were conducted from emergence to maturity. Winter wheat was sown on 13 October 2016, 13 October 2017, 13 October 2018, and 13 October 2019, with a seeding rate of 97.4 kg·ha−1, respectively. Wheat plants were harvested on 12 June 2017, 14 June 2018, 12 June 2019, and 16 June 2020. Insecticides and fungicides were used in a timely fashion to prevent and control the occurrence of pests and diseases and complied with local practices during the wheat-growing season.

2.2. Sampling and Measurements

2.2.1. Net Photosynthesis Rate (Pn)

The net photosynthesis rate (Pn, the rate of net CO2 assimilation) of flag leaf was determined on sunny mornings (9:00 am to 12:00 am) at 7-day intervals over 0 to 28 days after anthesis (DAA) with the LI-6400 Portable Photosynthesis System (LI-COR, Lincoln, NE, USA) under an artificial light source (photosynthetic photon flux density was 1200 μmol·m−2·s−1). Nine flag leaves of each variety were selected for measurement.

2.2.2. Biomass and Leaf Area Index (LAI)

The spike density for each plot was determined from six rows of wheat in 1 m long portions of the plots at anthesis and maturity. Fifty consecutive culms of each plot were sampled; these samples were separated into green leaves, dead leaves, stems, and spike at anthesis, and were separated into leaves, stems, spike bracts, and grains at maturity. All samples were dried to a constant weight and oven-dried at 70 °C, and their biomass weight was recorded.
The post-anthesis biomass and biomass remobilization were calculated following Xu et al. (2018) [11] as:
Post-anthesis biomass (kg·ha−1) = Maturity biomass − Anthesis biomass
Biomass remobilization (kg·ha−1) = Anthesis biomass − Maturity biomass without grain
The harvest index (HI) was calculated following Li et al. (2019) [23] as:
HI = grain weight/maturity biomass
Fifty culms from the green leaf area were measured using a Li-3000C area meter (Li-Cor, Inc., Lincoln, NE, USA) at anthesis, and then the leaf area index (LAI) was calculated.

2.2.3. Grain Yield

Grain yield was determined from 3 m2 of each plot at maturity. Spike number was counted in six 1 m inner rows, and grain number per spike was determined by counting each spike grain from fifty randomly selected spikes from each plot before harvest. The 1000-grain weight was calculated by weighing 1000 seeds from a yield determination sample with 3 replicates. Grain yield and the 1000-grain weight were standardized on a 13% moisture basis.

2.2.4. Spike Partitioning Index (SPI) and Fruiting Efficiency (FE)

SPI and FE were calculated following Xu et al. (2018) [11] as:
SPI = spike dry matter at anthesis/anthesis biomass
FE (grains·g−1) = grain number per square meter/spike dry matter at anthesis, where grain number per square meter was the product of spike number per square meter and grain number per spike.

2.2.5. Nitrogen Accumulation and Nitrogen Use Efficiency

Maturity nitrogen accumulation analyses using the micro-Kjeldahl method were performed following Li et al.’s (2019) report [23], and the nitrogen utilization efficiency (NUtE) and nitrogen harvest index (NHI) were calculated following Man et al. (2016) [24] as:
NUtE (kg·kg−1) = grain yield/maturity nitrogen accumulation
NHI = grain nitrogen accumulation/maturity nitrogen accumulation

2.3. Data Analysis

The hierarchical cluster analysis of grain yield was conducted using the sum of squares of distances with Origin Pro 2021 (Origin Lab Corporation, Northampton, MA, USA). In addition, the differences between the means of yield levels were compared using analysis of variance (ANOVA) with the least significant difference in multiple comparison tests (0.05 probability level), and the combined ANOVA were carried out across years, yield level, and their interactions.. All the figures were created using Origin Pro 2021.

3. Results

3.1. Grain Yield Cluster Analysis of Winter Wheat Varieties

Twelve winter wheat varieties were classified into three yield levels based on grain yield cluster analysis (Figure 2): high-yield level wheat varieties (HL; Yannong999, Taimai1918, and Yannong173), medium-yield level wheat varieties (ML; Jimai22, Jinan17, Jimai20, Shannong28, Xinmai296, and Qingmai2), and low-yield level wheat varieties (LL; Tanmai98, Taikemai33, and Shiluan02-1).

3.2. Net Photosynthesis Rate (Pn) of Flag Leaf at Three Yield Levels

The net photosynthesis rate (Pn) of flag leaf showed a decreasing trend after anthesis (Figure 3). For the 2018–2019 growing season (Figure 3A), the Pn in ML and LL was significantly lower than that in HL at 0 days after anthesis (DAA) and 7 DAA, but those in ML and LL were not significantly different from one another. The highest Pn was obtained in HL, followed by ML and LL, from 14 DAA to 28 DAA. For the 2019–2020 growing season (Figure 3B), the Pn in HL was significantly greater than that in ML and LL, whereas the Pn in LL was significantly lower than that in ML.

3.3. LAI at Anthesis of Three Yield Levels

The leaf area index (LAI) at anthesis in the 2018–2019 (A) and 2019–2020 (B) growing seasons is shown in Figure 4. The variations of LAI were consistent across the two growing seasons. LAI at anthesis of HL was 10.1% and 14.8% higher than that of ML and LL in the 2018–2019 growing season, and was 6.5% and 10.6% higher than that of ML and LL in the 2019–2020 growing season.

3.4. Biomass Accumulation and Remobilization at Three Yield Levels

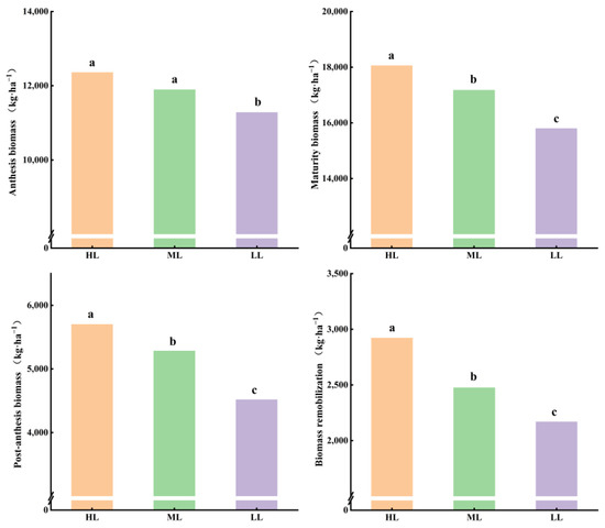
The highest anthesis biomass was achieved in HL. No significant difference in anthesis biomass was observed between HL and ML, but both were significantly higher than LL (Figure 5). HL obtained the highest maturity biomass, post-anthesis biomass, and biomass remobilization, followed by ML and LL. Maturity biomass in HL was higher than that in ML and LL by 5.1% and 14.3%, respectively; post-anthesis biomass in HL was higher than that in ML and LL by 18.0% and 34.7%, respectively; biomass remobilization in HL was higher than that in ML and LL by 7.9% and 26.2%, respectively.

3.5. Grain Yield, Yield Components, and Grain Number in Wheat Varieties

Combined ANOVA (Table 2) showed that all the traits were influenced significantly (p < 0.05) by year (Y) and all the traits (except grain number per spike) were influenced significantly (p < 0.01) by yield level (YL), and grain number per square meter and grain yield were influenced significantly (p < 0.001) by Y × YL interaction. The YL variation had the highest impact on grain number per square meter and grain yield and, followed by Y and Y × YL, YL had a greater impact on spike number and 1000-grain weight than Y. Significant differences in the mean grain yield were observed among three yield levels. The highest grain yield was obtained in HL (8716.2 kg·ha−1), followed by ML (7916.2 kg·ha−1), and LL (6756.7 kg·ha−1). Grain number per square meter and spike number in HL were significantly higher than those in ML and LL, with the lowest grain number per square meter and spike number observed in LL. There was no significant difference in grain number per spike among the three yield levels, and no significant difference in the 1000-grain weight between HL and ML. However, the 1000-grain weight in LL was significantly lower than that in HL and ML.

3.6. Spike Dry Matter at Anthesis (SDWa), Spike Partitioning Index (SPI), Fruiting Efficiency (FE), and Harvest Index (HI) at Three Yield Levels

As shown in Table 3, a combined analysis of variance showed that all the traits were determined mainly (p < 0.01) by year (Y) and yield level (YL), and SDWa, FE, and HI were determined mainly (p < 0.001) by Y × YL interaction. The YL variation had the highest impact on all the traits, followed by Y and Y × YL. The spike dry matter at anthesis (SDWa), fruiting efficiency (FE), and harvest index (HI) in HL were higher than those in ML and LL, and were lower in LL in comparison to ML. The spike partitioning index (SPI) in HL was greater than that in ML and LL, whereas those in ML and LL were not significantly different from one another.

3.7. Nitrogen Accumulation and Nitrogen Use Efficiency at Three Yield Levels

As shown in Figure 6, the maturity nitrogen accumulation in HL was higher than that in ML and LL, but no significant difference was observed between ML and LL. HL obtained a higher nitrogen harvest index (NHI) and nitrogen utilization efficiency (NUtE) than ML and LL. Additionally, the NHI and NUtE in ML were greater in comparison to LL.

3.8. Linear Regression Analysis

As shown in Figure 7, grain yield showed a significant linear positive correlation with anthesis biomass, maturity biomass, HI, biomass remobilization, post-anthesis biomass, and grain number, respectively. Grain number was significantly correlated with spike dry matter at anthesis (SDWa), fruiting efficiency (FE), and spike partitioning index (SPI) positively.

4. Discussion

Soil water storage and precipitation were the main sources of water supply and the dominant factors for wheat production in rainfed areas. Soil water content, before wheat sowing, and the uneven precipitation over the wheat-growing season and between years influenced wheat grain yield under the rainfed region [25,26]. In this research, combined ANOVA (Table 2 and Table 3) showed that the interaction effect of Y × YL on the traits was lower than that of Y and YL. The difference in soil water content before wheat sowing (Table 1) and the precipitation amount and distribution during wheat-growing seasons (Figure 1) could explain the interannual variations. The YL variations could be explained by several varieties.
Wheat grain yield was a result of spike number, grain number per spike, and 1000-grain weight, or grain number per square meter and 1000-grain weight [5,11]. Drought, as one of the abiotic stresses, had a greater impact on grain yield formation [5]. Drought stress that occurred before anthesis mainly reduced spike number and grain number per spike [5], while drought stress that occurred during the grain-filling stage mainly accelerated leaf senescence and then reduced grain weight [12,27]. Chen et al. (2019) reported that a 1000-grain weight was a likely potential trait for improving the grain yield of winter wheat varieties under rainfed conditions [28]. Other studies have shown that the grain yield of modern wheat varieties increased when the spike number per unit square meter and the grain number per spike were increased. Increasing the number of grains per unit square meter was beneficial to the increase in wheat yield under rainfed conditions [8,9].
In this research, winter wheat varieties were classified into three yield levels (Figure 2). High-yield level wheat varieties (HL) and medium-yield level wheat varieties (ML) increased grain yield mainly by increasing the spike number, grain number per square meter, and grain weight in comparison to low-yield level wheat varieties (LL). HL obtained a higher grain yield by increasing the spike number and grain number per square meter when compared to ML. Linear regression analysis showed that grain yield was significantly and positively correlated with grain number per square meter (Figure 7), which is consistent with previous findings [11,29]. Therefore, increasing grain number per square meter and maintaining high grain weight were beneficial to achieve higher grain yield under rainfed conditions.
Previous studies have shown that traits such as above-ground biomass and harvest index (HI) were positively associated with grain yield [11,30]; synergistically improving maturity biomass accumulation and HI was an important approach to increasing wheat yield potential [31]. Our results showed that grain yield was significantly and positively correlated with maturity biomass and HI, respectively (Figure 7; Table 3); HL obtained higher maturity biomass and HI than ML and LL (Figure 5), then achieved the highest grain yield. Post-anthesis photo-assimilate accumulation (biomass) and pre-anthesis storage assimilate transportation (remobilization) are two major sources of grain yield formation [13,32]. As leaves are an important photosynthetic organ for assimilate accumulation, drought stress accelerates leaf senescence and reduces the duration of the green leaf area, thereby reducing light interception and photosynthetic accumulation post-anthesis and further decreasing grain yield [12,33]. Although drought stress reduced the photo-assimilate accumulation after anthesis, it promoted remobilization of pre-anthesis-stored assimilation to grains and alleviated the shortage of source supply caused by the post-anthesis water deficit [14,34]. Hence, under drought conditions, selecting genotypes that simultaneously remobilize pre-anthesis-stored assimilation and current photo assimilation to grains could reduce the negative effects of drought [35].
In this research, HL obtained the highest post-anthesis biomass and biomass remobilization (Figure 5), which may contribute to its improved grain yield in comparison to ML and LL. Maintaining a higher green area (LAI) and photosynthetic activity during the grain-filling stage in wheat production was the key to obtaining higher post-anthesis photo-assimilate accumulation [14,36]. In this research, net photosynthesis rate (Pn) of flag leaf after anthesis and LAI at anthesis of HL were higher than that of ML and LL (Figure 3 and Figure 4), which may account for the higher post-anthesis and maturity biomass and higher grain yield in HL.
Pre-anthesis photo assimilation not only affected the remobilization of pre-anthesis reserves [37,38] but also influenced the grain number per square meter under drought stress [39]. Potential grain number per square meter depended on the spike dry weight at anthesis (SDWa) and grains set by a unit of spike dry weight at anthesis (FE, fruiting efficiency) [40], or anthesis biomass, spike partitioning index (SPI), and FE [41].
Numerous studies have clarified that grain number per square meter could be improved via increasing FE [40,42], SDWa [43], or increasing SPI and FE [44]. In this research, compared with ML and LL, HL increased grain number per square meter by improving SDWa, SPI, and FE. Meanwhile, ML obtained a higher grain number per square meter than LL due to ML achieving the higher SDWa and FE (Table 3). Linear regression analysis showed that grain number was significantly and positively correlated with SDWa, FE, and SPI (Figure 7). In summary, HL improved grain yield by increasing biomass accumulation and remobilization. In addition, HL improved grain number per square meter by increasing SDWa, FE, and SPI.
Nitrogen was one of the most critical plant nutrients affecting plant growth and development [45]. Improving N uptake and utilization was beneficial for increasing grain yield and reducing nitrogen input [45,46]. High grain yield and NUtE could be achieved through fertilizer management and the selection of wheat cultivars or the genetic improvement of nitrogen uptake and utilization [47,48,49]. A previous study has shown that NUtE was mainly determined by grain yield [50] and improving grain yield without changing wheat nitrogen accumulation was an effective method of increasing NUtE [45,51]. In this research, HL achieved the highest maturity nitrogen accumulation and NUtE. This was mainly due to a higher HI and grain yield in HL than those in ML and LL, which led to an increase in NUtE in HL, as is consistent with the findings of Tian et al. (2016) [46].

5. Conclusions

Under rainfed conditions, the wheat varieties of the high-yield level (HL; Yannong999, Taimai1918, and Yannong173) had a higher LAI and higher Pn after anthesis, which further increased post-anthesis biomass while also achieving the higher biomass remobilization, the higher maturity biomass, and HI. Additionally, HL achieved the higher grain number per square meter by the higher spike dry matter at anthesis, increased spike partitioning index, and fruiting efficiency, and then improved grain yield. HL not only had the higher maturity nitrogen accumulation, but also obtained the higher NUtE through grain yield improvement. Thus, selecting winter wheat varieties with the traits that are stated in this study could improve grain yield and nitrogen utilization efficiency under rainfed conditions.

Author Contributions

Methodology, X.X., X.Z., Y.S., and C.Z.; Investigation, X.X., S.L., F.M., X.Z., J.Z., and W.Q.; Data analysis, X.X. and X.Z.; Writing—original draft preparation, X.X.; Writing—review and editing, X.X., Y.S., and C.Z.; Funding acquisition, X.X., Y.S., and C.Z. All authors have read and agreed to the published version of the manuscript.

Funding

This research was funded by the Shandong Key Research and Development Program (2022CXPT009), the Major Industrial Tackling Project of Shandong Province New and Old Kinetic Energy Conversion (2021-54), the Major Scientific and Technological Innovation Project of Shandong Province (2019JZZY010716), the National Key Research and Development Program of China (2016YFD0300403), and the Qingdao Agricultural University Doctoral Start-Up Fund (6631119022).

Data Availability Statement

Not applicable.

Acknowledgments

We would like to thank Kong Yingzhen for polishing this paper.

Conflicts of Interest

The authors declare no conflict of interest.

References

  1. Wang, D. Water use efficiency and optimal supplemental irrigation in a high yield wheat field. Field Crops Res. 2017, 213, 213–220. [Google Scholar] [CrossRef]
  2. Li, Y.S.; Chang, C.Y.; Wang, Z.R.; Qi, G.H.; Dong, C.; Zhao, G.X. Upscaling remote sensing inversion model of wheat field cultivated land quality in the Huang-Huai-Hai agricultural region, China. Remote Sens. 2021, 13, 5095. [Google Scholar] [CrossRef]
  3. Wang, H.G.; Yu, Z.W.; Shi, Y.; Zhang, Y.L. Effects of tillage practices on grain yield formation of wheat and the physiological mechanism in rainfed areas. Soil Till. Res. 2020, 202, 104675. [Google Scholar] [CrossRef]
  4. Wang, X.B.; Cai, D.X.; Wu, H.J.; Hoogmoed, W.B.; Oenema, O. Effects of variation in rainfall on rainfed crop yields and water use in dryland farming areas in China. Arid Land Res. Manag. 2016, 30, 1–24. [Google Scholar] [CrossRef]
  5. Senapati, N.; Stratonovitch, P.; Paul, M.J.; Semenov, M.A. Drought tolerance during reproductive development is important for increasing wheat yield potential under climate change in Europe. J. Exp. Bot. 2019, 70, 2549–2560. [Google Scholar] [CrossRef]
  6. Shao, Y.; Xie, Y.; Wang, C.; Yue, J.; Yao, Y.; Li, X.; Liu, W.; Zhu, Y.; Guo, T. Effects of different soil conservation tillage approaches on soil nutrients, water use and wheat-maize yield in rainfed dry-land regions of North China. Eur. J. Agron. 2016, 81, 37–45. [Google Scholar] [CrossRef]
  7. You, Y.; Song, P.; Yang, X.; Zheng, Y.; Dong, L.; Chen, J. Optimizing irrigation for winter wheat to maximize yield and maintain high-efficient water use in a semi-arid environment. Agric. Water Manag. 2022, 273, 107901. [Google Scholar] [CrossRef]
  8. Feng, T.; Xi, Y.; Zhu, Y.H.; Chai, N.; Zhang, X.T.; Jin, Y.; Turner, N.C.; Li, F.M. Reduced vegetative growth increases grain yield in spring wheat genotypes in the dryland farming region of North-West China. Agronomy 2021, 11, 663. [Google Scholar] [CrossRef]
  9. Savin, R.; Cossani, C.M.; Dahan, R.; Ayad, J.Y.; Albrizio, R.; Todorovic, M.; Karrou, M.; Slafer, G.A. Intensifying cereal management in dryland Mediterranean agriculture: Rainfed wheat and barley responses to nitrogen fertilisation. Eur. J. Agron. 2022, 137, 126518. [Google Scholar] [CrossRef]
  10. Zhang, Z.; Li, J.; Hu, N.Y.; Li, W.; Qin, W.L.; Li, J.P.; Gao, Y.M.; Liu, Y.; Sun, Z.C.; Yu, K.; et al. Spike growth affects spike fertility through the number of florets with green anthers before floret abortion in wheat. Field Crops Res. 2021, 260, 108007. [Google Scholar] [CrossRef]
  11. Xu, X.X.; Zhang, M.; Li, J.P.; Liu, Z.Q.; Zhao, Z.G.; Zhang, Y.H.; Zhou, S.L.; Wang, Z.M. Improving water use efficiency and grain yield of winter wheat by optimizing irrigations in the North China Plain. Field Crops Res. 2018, 221, 219–227. [Google Scholar] [CrossRef]
  12. Guo, Z.J.; Shi, Y.; Yu, Z.W.; Zhang, Y.L. Supplemental irrigation affected flag leaves senescence post-anthesis and grain yield of winter wheat in the Huang-Huai-Hai Plain of China. Field Crops Res. 2015, 180, 100–109. [Google Scholar] [CrossRef]
  13. Kamal, N.M.; Gorafi, Y.S.A.; Mega, R.; Tsujimoto, H. Physiological response of wheat to chemical desiccants used to simulate post-anthesis drought stress. Agronomy 2018, 8, 44. [Google Scholar] [CrossRef]
  14. Maydup, M.L.; Antonietta, M.; Guiamet, J.J.; Graciano, C.; López, J.R.; Tambussi, E.A. The contribution of ear photosynthesis to grain filling in bread wheat (Triticum aestivum L.). Field Crops Res. 2010, 119, 48–58. [Google Scholar] [CrossRef]
  15. Peng, Z.; Wang, L.; Xie, J.; Li, L.; Coulter, J.A.; Zhang, R.; Luo, Z.; Cai, L.; Carberry, P.; Whitbread, A. Conservation tillage increases yield and precipitation use efficiency of wheat on the semi-arid Loess Plateau of China. Agric. Water Manag. 2020, 231, 106024. [Google Scholar] [CrossRef]
  16. Benchelali, S.; Benkherbache, N.; Mefti, M.; Ronga, D.; Louahdi, N.; Russo, M.; Pecchioni, N. Nitrogen use efficiency in durum wheat (Triticum durum Desf.) grown under semiarid conditions in Algeria. Agronomy 2022, 12, 1284. [Google Scholar] [CrossRef]
  17. Carucci, F.; Gatta, G.; Gagliardi, A.; Vita, P.D.; Giuliani, M.M. Strobilurin effects on nitrogen use efficiency for the yield and protein in durum wheat grown under rainfed mediterranean conditions. Agronomy 2020, 10, 1508. [Google Scholar] [CrossRef]
  18. Limon-Ortega, A. Nitrogen use and agronomic efficiency of rainfed wheat in permanent beds as affected by N fertilizer, precipitation and soil nitrate. J. Agric. Sci. 2021, 159, 199–205. [Google Scholar] [CrossRef]
  19. Kyratzis, A.C.; Pallides, A.; Katsiotis, A. Investigating stability parameters for agronomic and quality traits of durum wheat grown under Mediterranean conditions. Agronomy 2022, 12, 1774. [Google Scholar] [CrossRef]
  20. Morsy, S.M.; Elbasyoni, I.S.; Abdallah, A.M.; Baenziger, P.S. Imposing water deficit on modern and wild wheat collections to identify drought-resilient genotypes. J. Agron. Crop Sci. 2022, 208, 427–440. [Google Scholar] [CrossRef]
  21. Abdelhakim, L.O.A.; Rosenqvist, E.; Wollenweber, B.; Spyroglou, I.; Ottosen, C.-O.; Panzarová, K. Investigating combined drought-and heat stress effects in wheat under controlled conditions by dynamic image-based phenotyping. Agronomy 2021, 11, 364. [Google Scholar] [CrossRef]
  22. Chowdhury, M.K.; Hasan, M.A.; Bahadur, M.M.; Islam, M.R.; Hakim, M.A.; Iqbal, M.A.; Javed, T.; Raza, A.; Shabbir, R.; Sorour, S.; et al. Evaluation of drought tolerance of some wheat (Triticum aestivum L.) genotypes through phenology, growth, and physiological indices. Agronomy 2021, 11, 1792. [Google Scholar] [CrossRef]
  23. Li, J.P.; Xu, X.X.; Lin, G.; Wang, Y.Q.; Liu, Y.; Zhang, M.; Zhou, J.Y.; Wang, Z.M.; Zhang, Y.H. Micro-irrigation improves grain yield and resource use efficiency by co-locating the roots and N-fertilizer distribution of winter wheat in the North China Plain. Sci. Total Environ. 2018, 643, 367–377. [Google Scholar] [CrossRef] [PubMed]
  24. Man, J.G.; Yu, Z.W.; Zhang, Y.L.; Shi, Y.; Wang, L.Q. Water and nitrogen use of winter wheat under different supplemental irrigation regimes. Crop Sci. 2016, 56, 3237–3249. [Google Scholar] [CrossRef]
  25. Yang, X.; Wang, G.; Chen, Y.; Sui, P.; Pacenka, S.; Steenhuis, T.S.; Siddique, K.H. Reduced groundwater use and increased grain production by optimized irrigation scheduling in winter wheat–summer maize double cropping system—A 16-year field study in North China Plain. Field Crops Res. 2022, 275, 108364. [Google Scholar] [CrossRef]
  26. Dong, Z.; Zhang, X.; Li, J.; Zhang, C.; Wei, T.; Yang, Z.; Cai, T.; Zhang, P.; Ding, R.; Jia, Z. Photosynthetic characteristics and grain yield of winter wheat (Triticum aestivum L.) in response to fertilizer, precipitation, and soil water storage before sowing under the ridge and furrow system: A path analysis. Agric. For. Meteorol. 2019, 272, 12–19. [Google Scholar] [CrossRef]
  27. Farooq, M.; Hussain, M.; Siddique, K.H. Drought stress in wheat during flowering and grain-filling periods. Crit. Rev. Plant Sci. 2014, 33, 331–349. [Google Scholar] [CrossRef]
  28. Chen, W.; Sun, Y.; Zhang, S.; Palta, J.A.; Deng, X. The proportion of superior grains and the sink strength are the main yield contributors in modern winter wheat varieties grown in the Loess Plateau of China. Agronomy 2019, 9, 612. [Google Scholar] [CrossRef]
  29. Zhang, H.P.; Richards, R.; Riffkin, P.; Berger, J.; Christy, B.; O’Leary, G.; Acuña, T.B.; Merry, A. Wheat grain number and yield: The relative importance of physiological traits and source-sink balance in southern Australia. Eur. J. Agron. 2019, 110, 125935. [Google Scholar] [CrossRef]
  30. Gerard, G.S.; Crespo-Herrera, L.A.; Crossa, J.; Mondal, S.; Velu, G.; Juliana, P.; Huerta-Espino, J.; Vargas, M.; Rhandawa, M.S.; Bhavani, S.; et al. Grain yield genetic gains and changes in physiological related traits for CIMMYT’s High Rainfall Wheat Screening Nursery tested across international environments. Field Crops Res. 2020, 249, 107742. [Google Scholar] [CrossRef]
  31. Senapati, N.; Brown, H.E.; Semenov, M.A. Raising genetic yield potential in high productive countries: Designing wheat ideotypes under climate change. Agric. For. Meteorol. 2019, 271, 33–45. [Google Scholar] [CrossRef] [PubMed]
  32. Brinton, J.; Uauy, C. A reductionist approach to dissecting grain weight and yield in wheat. J. Integr. Plant Biol. 2019, 61, 337–358. [Google Scholar] [CrossRef] [PubMed]
  33. Ding, H.; Liu, D.; Liu, X.; Li, Y.; Kang, J.; Lv, J.; Wang, G. Photosynthetic and stomatal traits of spike and flag leaf of winter wheat (Triticum aestivum L.) under water deficit. Photosynthetica 2018, 56, 687–697. [Google Scholar] [CrossRef]
  34. Thapa, S.; Rudd, J.C.; Jessup, K.E.; Liu, S.; Baker, J.A.; Devkota, R.N.; Xue, Q.W. Middle portion of the wheat culm remobilizes more carbon reserve to grains under drought. J. Agron. Crop Sci. 2022, 208, 795–804. [Google Scholar] [CrossRef]
  35. Izanloo, A.; Condon, A.G.; Langridge, P.; Tester, M.; Schnurbusch, T. Different mechanisms of adaptation to cyclic water stress in two South Australian bread wheat cultivars. J. Exp. Bot. 2008, 59, 3327–3346. [Google Scholar] [CrossRef]
  36. Royo, C.; Aparicio, N.; Blanco, R.; Villegas, D. Leaf and green area development of durum wheat genotypes grown under Mediterranean conditions. Eur. J. Agron. 2004, 20, 419–430. [Google Scholar] [CrossRef]
  37. Koocheki, A.R.; Yazdansepas, A.; Mahmadyorov, U.; Mehrvar, M.R. Physiological-based selection criteria for terminal drought in wheat (Triticum aestivum L.). J. Agric. Sci. Technol. 2014, 16, 1043–1053. [Google Scholar]
  38. Xue, Q.W.; Zhu, Z.X.; Musick, J.T.; Stewart, B.A.; Dusek, D.A. Physiological mechanisms contributing to the increased water-use efficiency in winter wheat under deficit irrigation. J. Plant Physiol. 2006, 163, 154–164. [Google Scholar] [CrossRef]
  39. Asseng, S.; Kassie, B.T.; Labra, M.H.; Amador, C.; Calderini, D.F. Simulating the impact of source-sink manipulations in wheat. Field Crops Res. 2017, 202, 47–56. [Google Scholar] [CrossRef]
  40. Slafer, G.A.; Elia, M.; Savin, R.; García, G.A.; Terrile, I.I.; Ferrante, A.; Miralles, D.J.; González, F.G. Fruiting efficiency: An alternative trait to further rise wheat yield. Food Energy Secur. 2015, 4, 92–109. [Google Scholar] [CrossRef]
  41. Foulkes, M.J.; Slafer, G.A.; Davies, W.J.; Berry, P.M.; Sylvester-Bradley, R.; Martre, P.; Calderini, D.F.; Griffiths, S.; Reynolds, M.P. Raising yield potential of wheat. III. Optimizing partitioning to grain while maintaining lodging resistance. J. Exp. Bot. 2011, 62, 469–486. [Google Scholar] [CrossRef] [PubMed]
  42. Mirabella, N.E.; Abbate, P.E.; Ramirez, I.A.; Pontaroli, A.C. Genetic variation for wheat spike fertility in cultivars and early breeding materials. J. Agric. Sci. 2016, 154, 13–22. [Google Scholar] [CrossRef]
  43. Terrile, I.I.; Miralles, D.J.; González, F.G. Fruiting efficiency in wheat (Triticum aestivum L.): Trait response to different growing conditions and its relation to spike dry weight at anthesis and grain weight at harvest. Field Crops Res. 2017, 201, 86–96. [Google Scholar] [CrossRef]
  44. Ferrante, A.; Savin, R.; Slafer, G.A. Relationship between fruiting efficiency and grain weight in durum wheat. Field Crops Res. 2015, 177, 109–116. [Google Scholar] [CrossRef]
  45. de Oliveira Silva, A.; Ciampitti, I.A.; Slafer, G.A.; Lollato, R.P. Nitrogen utilization efficiency in wheat: A global perspective. Eur. J. Agron. 2020, 114, 126008. [Google Scholar] [CrossRef]
  46. Tian, Z.W.; Li, Y.; Liang, Z.H.; Guo, H.; Cai, J.; Jiang, D.; Cao, W.X.; Dai, T.B. Genetic improvement of nitrogen uptake and utilization of winter wheat in the Yangtze River Basin of China. Field Crops Res. 2016, 196, 251–260. [Google Scholar] [CrossRef]
  47. Li, J.P.; Wang, Z.M.; Song, Y.H.; Li, J.C.; Zhang, Y.H. Effects of reducing nitrogen application rate under different irrigation methods on grain yield, water and nitrogen utilization in winter wheat. Agronomy 2022, 12, 1835. [Google Scholar] [CrossRef]
  48. Foulkes, M.J.; Hawkesford, M.J.; Barraclough, P.B.; Holdsworth, M.J.; Kerr, S.; Kightley, S.; Shewry, P.R. Identifying traits to improve the nitrogen economy of wheat: Recent advances and future prospects. Field Crops Res. 2009, 114, 329–342. [Google Scholar] [CrossRef]
  49. Peng, C.J.; Zhang, Z.C.; Li, Y.; Zhang, Y.; Dong, H.B.; Fang, Y.H.; Han, L.P.; Xu, W.G.; Hu, L. Genetic improvement analysis of nitrogen uptake, utilization, translocation, and distribution in Chinese wheat in Henan Province. Field Crops Res. 2022, 277, 108406. [Google Scholar] [CrossRef]
  50. Barraclough, P.B.; Howarth, J.R.; Jones, J.; Lopez-Bellido, R.; Parmar, S.; Shepherd, C.E.; Hawkesford, M.J. Nitrogen efficiency of wheat: Genotypic and environmental variation and prospects for improvement. Eur. J. Agron. 2010, 33, 1–11. [Google Scholar] [CrossRef]
  51. Wang, Z.; Sadras, V.O.; Hoogmoed, M.; Yang, X.Y.; Huang, F.; Han, X.Y.; Zhang, S.L. Shifts in nitrogen and phosphorus uptake and allocation in response to selection for yield in Chinese winter wheat. Crop Pasture Sci. 2017, 68, 807–816. [Google Scholar] [CrossRef]
Figure 1. Precipitation in the 2016–2020 winter wheat-growing seasons.
Figure 1. Precipitation in the 2016–2020 winter wheat-growing seasons.
Agronomy 13 00915 g001
Figure 2. Grain yield cluster analysis of different wheat varieties.
Figure 2. Grain yield cluster analysis of different wheat varieties.
Agronomy 13 00915 g002
Figure 3. Pn of the flag leaf after anthesis under three yield levels in the 2018–2019 (A) and 2019–2020 (B) growing seasons. Note: **, p < 0.01; *, p < 0.05; ns, no significant difference at p = 0.05.
Figure 3. Pn of the flag leaf after anthesis under three yield levels in the 2018–2019 (A) and 2019–2020 (B) growing seasons. Note: **, p < 0.01; *, p < 0.05; ns, no significant difference at p = 0.05.
Agronomy 13 00915 g003
Figure 4. LAI at anthesis of three yield levels in 2018–2019 (A) and 2019–2020 (B) growing seasons. Note: **, p < 0.01; *, p < 0.05.
Figure 4. LAI at anthesis of three yield levels in 2018–2019 (A) and 2019–2020 (B) growing seasons. Note: **, p < 0.01; *, p < 0.05.
Agronomy 13 00915 g004
Figure 5. Biomass accumulation and remobilization of three yield levels. Note: The different letters are significantly different at p < 0.05.
Figure 5. Biomass accumulation and remobilization of three yield levels. Note: The different letters are significantly different at p < 0.05.
Agronomy 13 00915 g005
Figure 6. Maturity nitrogen accumulation, nitrogen harvest index (NHI), and nitrogen utilization efficiency (NUtE) under three yield levels. Note: The different letters are significantly different at p < 0.05.
Figure 6. Maturity nitrogen accumulation, nitrogen harvest index (NHI), and nitrogen utilization efficiency (NUtE) under three yield levels. Note: The different letters are significantly different at p < 0.05.
Agronomy 13 00915 g006
Figure 7. Linear regression between grain yield and biomass accumulation, harvest index, grain number per square meter, and linear regression between grain number per square meter and spike dry matter at anthesis (SDWa), spike partitioning index (SPI), and fruiting efficiency (FE). Note: **, p < 0.01.
Figure 7. Linear regression between grain yield and biomass accumulation, harvest index, grain number per square meter, and linear regression between grain number per square meter and spike dry matter at anthesis (SDWa), spike partitioning index (SPI), and fruiting efficiency (FE). Note: **, p < 0.01.
Agronomy 13 00915 g007
Table 1. The soil water content (%) of 0–100 cm soil layers before sowing.
Table 1. The soil water content (%) of 0–100 cm soil layers before sowing.
Growing SeasonSoil Layers (cm)
0–2020–4040–6060–8080–100
2016–201720.319.619.319.621.1
2017–201821.420.720.721.021.7
2018–201921.421.121.421.722.5
2019–202018.616.616.917.919.5
Table 2. The mean grain yield, yield components, and grain number of three yield levels.
Table 2. The mean grain yield, yield components, and grain number of three yield levels.
Yield LevelSpike NumberGrain NumberGrain Number per Square Meter1000-Grain WeightGrain Yield
per Spike
104·Spike·ha−1 Grains·Spike−1 103·m−2gkg·ha−1
HL660.3 a 136.8 a24.2 a42.7 a8716.2 a
ML613.4 b36.0 a21.9 b42.8 a7916.2 b
LL558.8 c35.9 a19.6 c41.0 b6756.7 c
Source of variation
Year (Y)2.5 × 104 **, 2282.2 ***93.8 ***22.1 *2.0 × 107 ***
Yield level (YL)9.3 × 104 ***9.7 N.S.188.7 ***40.1 **3.5 × 107 ***
Y × YL9.0 × 103 N.S.8.2 N.S.14.1 ***9.4 N.S.2.0 × 106 ***
1 The different letters in the same column are significantly different at p < 0.05. 2 Mean square, N.S., *, ** and ***, mean no significant difference at p ≥ 0.05, difference at p < 0.05, p < 0.01, and p < 0.001, respectively.
Table 3. Spike dry matter at anthesis (SDWa), spike partitioning index (SPI), fruiting efficiency (FE), and harvest index (HI) of three yield levels.
Table 3. Spike dry matter at anthesis (SDWa), spike partitioning index (SPI), fruiting efficiency (FE), and harvest index (HI) of three yield levels.
Yield LevelSDWaSPIFEHI
(kg·ha−1) (Grains·g−1)
HL2331.1 a 10.189 a104.3 a0.477 a
ML2202.2 b0.185 b100.1 b0.452 b
LL2064.7 c0.183 b95.5 c0.423 c
Source of variation
Year (Y)2.8 × 106 **, 23.0 × 10−4 **1.5 × 103 **1.5 × 10−3 **
Yield level (YL)6.4 × 105 ***2.7 × 10−4 **691.7 ***2.6 × 10−2 ***
Y × YL4.2 × 104 ***5.9 × 10−5 N.S.94.5 ***1.4 × 10−3 ***
1 The different letters in the same column are significantly different at p < 0.05. 2 Mean square, N.S., ** and ***, mean no significant difference at p = 0.05, difference at p < 0.05, p < 0.01 and p < 0.001, respectively.
Disclaimer/Publisher’s Note: The statements, opinions and data contained in all publications are solely those of the individual author(s) and contributor(s) and not of MDPI and/or the editor(s). MDPI and/or the editor(s) disclaim responsibility for any injury to people or property resulting from any ideas, methods, instructions or products referred to in the content.

Share and Cite

MDPI and ACS Style

Xu, X.; Liu, S.; Meng, F.; Zhang, X.; Zhao, J.; Qu, W.; Shi, Y.; Zhao, C. Grain Yield Formation and Nitrogen Utilization Efficiency of Different Winter Wheat Varieties under Rainfed Conditions in the Huang-Huai-Hai Plain. Agronomy 2023, 13, 915. https://doi.org/10.3390/agronomy13030915

AMA Style

Xu X, Liu S, Meng F, Zhang X, Zhao J, Qu W, Shi Y, Zhao C. Grain Yield Formation and Nitrogen Utilization Efficiency of Different Winter Wheat Varieties under Rainfed Conditions in the Huang-Huai-Hai Plain. Agronomy. 2023; 13(3):915. https://doi.org/10.3390/agronomy13030915

Chicago/Turabian Style

Xu, Xuexin, Shuai Liu, Fangang Meng, Xia Zhang, Jinke Zhao, Wenkai Qu, Yan Shi, and Changxing Zhao. 2023. "Grain Yield Formation and Nitrogen Utilization Efficiency of Different Winter Wheat Varieties under Rainfed Conditions in the Huang-Huai-Hai Plain" Agronomy 13, no. 3: 915. https://doi.org/10.3390/agronomy13030915

APA Style

Xu, X., Liu, S., Meng, F., Zhang, X., Zhao, J., Qu, W., Shi, Y., & Zhao, C. (2023). Grain Yield Formation and Nitrogen Utilization Efficiency of Different Winter Wheat Varieties under Rainfed Conditions in the Huang-Huai-Hai Plain. Agronomy, 13(3), 915. https://doi.org/10.3390/agronomy13030915

Note that from the first issue of 2016, this journal uses article numbers instead of page numbers. See further details here.

Article Metrics

Back to TopTop