Microbial Properties Depending on Fertilization Regime in Agricultural Soils with Different Texture and Climate Conditions: A Meta-Analysis
Abstract
1. Introduction
2. Material and Methods
2.1. Data Sources
2.2. Data Analysis
2.2.1. Meta-Analysis
2.2.2. Statistical Analysis
3. Results
3.1. The Effect of Fertilization Regime on Soil Microbial and Chemical Properties
3.2. The Effect of Fertilization Regime on the Soil Microbial Properties
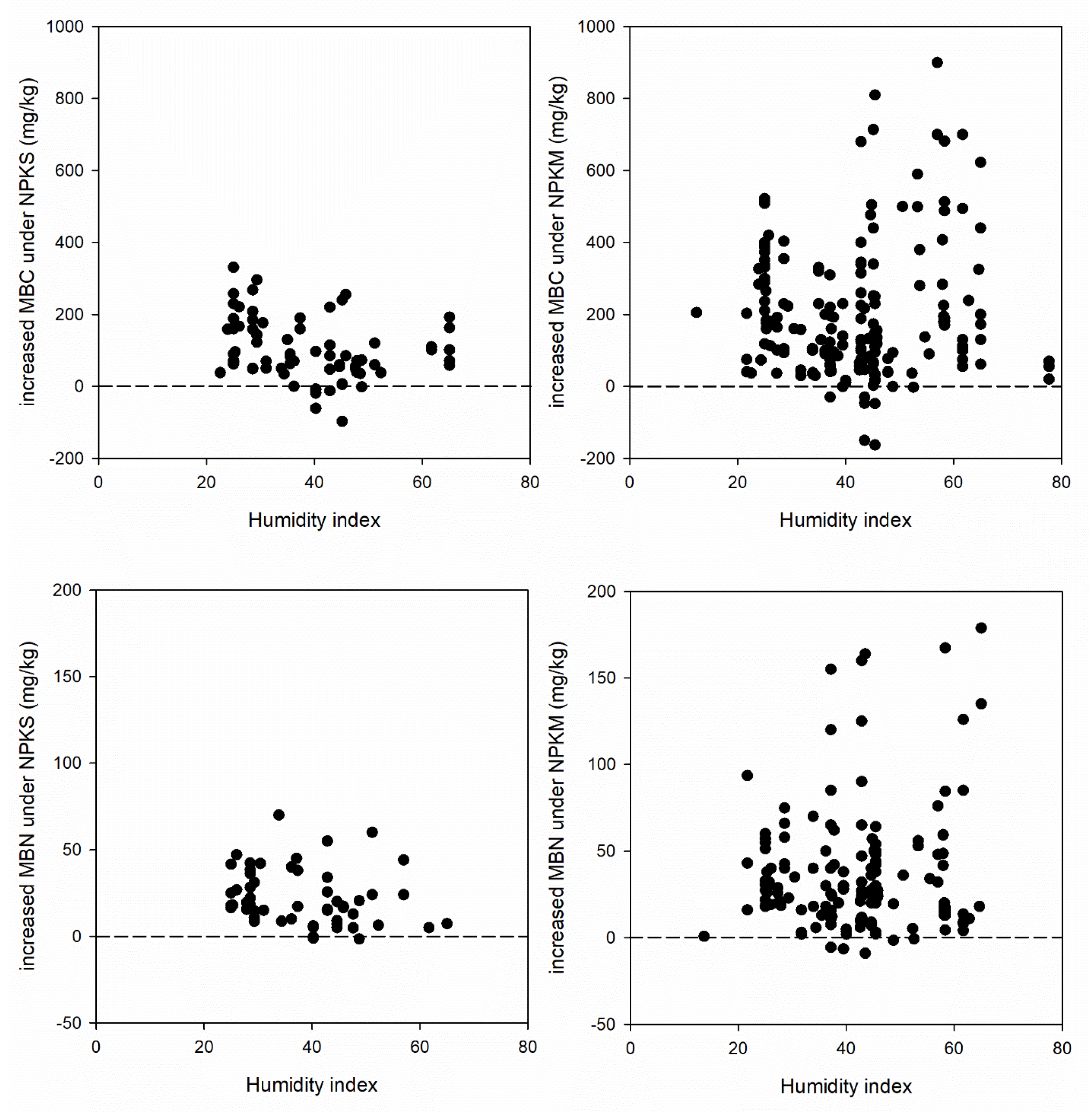
3.3. Climate Controls on the Effects of Fertilizer Type on Soil Microbial Properties
3.4. The Effect of the Fertilization Duration on Soil Microbial Properties Depending on Fertilizer Type and Climate
3.5. The Effects of Fertilization on Microbial Properties Depending on Soil Texture
4. Discussion
4.1. The Effect of Long−Term Fertilization on Microbial Properties
4.2. The Effect of Climate and Fertilization Duration on Microbial Properties
4.3. The Effects of Soil Texture on Microbial Properties
4.4. Best Field Strategies to Improve Soil Microbial Properties despite Long−Term Fertilization
5. Conclusions
Author Contributions
Funding
Data Availability Statement
Conflicts of Interest
References
- Schimel, D.S. Terrestrial ecosystems and the carbon cycle. Glob. Change Biol. 1995, 1, 77–91. [Google Scholar] [CrossRef]
- Thiele-Bruhn, S.; Bloem, J.; de Vries, F.T.; Kalbitz, K.; Wagg, C. Linking soil biodiversity and agricultural soil management. Curr. Opin. Environ. Sustain. 2012, 4, 523–528. [Google Scholar] [CrossRef]
- Insam, H. Are the soil microbial biomass and basal respiration governed by the climatic regime? Soil Biol. Biochem. 1990, 22, 525–632. [Google Scholar] [CrossRef]
- Shibahara, F.; Inubushi, K. Effects of organic matter application on microbial biomass and available nutrients in various types of paddy soils. Soil Sci. Plant Nutr. 1997, 43, 191–203. [Google Scholar] [CrossRef]
- Doran, J.W.; Zeiss, M.R. Soil health and sustainability: Managing the biotic component of soil quality. Appl. Soil Ecol. 2000, 15, 3–11. [Google Scholar] [CrossRef]
- Powlson, D.S.; Brooke, P.C.; Christensen, B.T. Measurement of soil microbial biomass provides an early indication of changes in total soil organic matter due to straw incorporation. Soil Biol. Biochem. 1987, 19, 159–164. [Google Scholar] [CrossRef]
- Zhang, Q.; Wu, J.; Yang, F.; Lei, Y.; Zhang, Q.; Cheng, X. Alterations in soil microbial community composition and biomass following agricultural land use change. Sci. Rep. 2016, 6, 36587. [Google Scholar] [CrossRef] [PubMed]
- Jia, S.; Yuan, D.; Li, W.; He, W.; Raza, S.; Kuzyakov, Y.; Zamanian, K.; Zhao, X. Soil chemical properties depending on fertilization and management in China: A meta-analysis. Agronomy 2022, 12, 2501. [Google Scholar] [CrossRef]
- Tao, J.; Raza, S.; Zhao, M. Vulnerability and driving factors of soil inorganic carbon stocks in Chinese croplands. Sci. Total Environ. 2022, 825, 154087. [Google Scholar] [CrossRef] [PubMed]
- Morugán-Coronado, A.; Pérez-Rodríguez, P.; Insolia, E.; Soto-Gómez, D.; Fernández-Calviño, D.; Zornoza, R. The impact of crop diversification, tillage and fertilization type on soil total microbial, fungal and bacterial abundance: A worldwide meta-analysis of agricultural sites. Agric. Ecosyst. Environ. 2022, 329, 107867. [Google Scholar] [CrossRef]
- FAO. Fao Database. 2021. Available online: https://www.fao.org/faostat/en/#home (accessed on 5 June 2022).
- Li, W.; Huang, F.; Shi, F.; Wei, X.; Zamanian, K.; Zhao, X. Human and climatic drivers of land and water use from 1997 to 2019 in Tarim River Basin, China. Int. Soil Water Conserv. Res. 2021, 9, 532–543. [Google Scholar] [CrossRef]
- Geisseler, D.; Scow, K.M. Long-term effects of mineral fertilizers on soil microorganisms—A review. Soil Biol. Biochem. 2014, 75, 54–63. [Google Scholar] [CrossRef]
- Allison, S.D.; Martiny, J.B.H. Resistance, resilience, and redundancy in microbial communities. Proc. Natl. Acad. Sci. USA 2008, 105, 11512–11519. [Google Scholar] [CrossRef]
- Fauci, M.F.; Dick, R.P. Soil microbial dynamics short and long-term effects of inorganic and organic nitrogen. Soil Sci. Soc. Am. J. 1994, 58, 801–806. [Google Scholar] [CrossRef]
- Marschner, P. Structure and function of the soil microbial community in a long-term fertilizer experiment. Soil Biol. Biochem. 2003, 35, 453–461. [Google Scholar] [CrossRef]
- Hooker, B.A.; Morris, T.F.; Peters, R. Long-term effects of tillage and corn stalk return on soil carbon dynamics. Soil Sci. Soc. Am. J. 2005, 69, 188–196. [Google Scholar] [CrossRef]
- Bapiri, A.; Bååth, E.; Rousk, J. Drying-rewetting cycles affect fungal and bacterial growth differently in an arable soil. Microb. Ecol. 2010, 60, 419–428. [Google Scholar] [CrossRef]
- Preece, C.; Verbruggen, E.; Liu, L.; Weedon, J.T. Effects of past and current drought on the composition and diversity of soil microbial communities. Soil Biol. Biochem. 2018, 131, 28–39. [Google Scholar] [CrossRef]
- Sun, Y.; Chen, H.Y.; Jin, L.; Wang, C.; Zhang, R.; Ruan, H.; Yang, J. Drought stress induced increase of fungi: Bacteria ratio in a poplar plantation. Catena 2020, 193, 104607. [Google Scholar] [CrossRef]
- Williams, M.A. Response of microbial communities to water stress in irrigated and drought-prone tallgrass prairie soils. Soil Biol. Biochem. 2007, 39, 2750–2757. [Google Scholar] [CrossRef]
- McHugh, T.A.; Koch, G.W.; Schwartz, E. Minor changes in soil bacterial and fungal community composition occur in response to monsoon precipitation in a semiarid grassland. Microb. Ecol. 2014, 68, 370–378. [Google Scholar] [CrossRef] [PubMed]
- Huang, S.; Pan, X.; Guo, J.; Qian, C.; Zhang, W. Differences in soil organic carbon stocks and fraction distributions between rice paddies and upland cropping systems in China. J. Soils Sediments 2014, 14, 89–98. [Google Scholar] [CrossRef]
- Li, Y.; Zhang, X.; Ren, F.; Sun, N.; Xu, M.; Xu, M. A meta-analysis of long-term fertilization impact on soil dissolved organic carbon and nitrogen across Chinese cropland. Sci. Agric. Sin. 2020, 53, 224–1233. [Google Scholar] [CrossRef]
- Hedges, L.V.; Gurevitch, J.; Curtis, P.S. The meta-analysis of response ratios in experimental ecology. Ecology 1999, 80, 1150–1156. [Google Scholar] [CrossRef]
- Su, Y.; Ma, X.; Gong, Y.; Li, K.; Han, W.; Liu, X. Responses and drivers of leaf nutrients and resorption to nitrogen enrichment across northern China’s grasslands: A meta-analysis. Catena 2021, 199, 105110. [Google Scholar] [CrossRef]
- Sha, Z.; Ma, X.; Wang, J.; Lv, T.; Li, Q.; Misselbrook, T.; Liu, X. Effect of N stabilizers on fertilizer-N fate in the soil-crop system: A meta-analysis. Agric. Ecosyst. Environ. 2020, 290, 106763. [Google Scholar] [CrossRef]
- Wang, Y.; Chen, L.; Xiang, W.; Ouyang, S.; Zhang, T.; Zhang, X.; Zeng, Y.; Hu, Y.; Luo, G.; Kuzyakov, Y. Forest conversion to plantations: A meta-analysis of consequences for soil and microbial properties and functions. Glob. Change Biol. 2021, 27, 5643–5656. [Google Scholar] [CrossRef]
- Luo, Y.; Hui, D.; Zhang, D. Elevated CO2 stimulates net accumulations of carbon and nitrogen in land ecosystems: A meta-analysis. Ecology 2006, 87, 53–63. [Google Scholar] [CrossRef]
- Dick, R.P. A review: Long-term effects of agricultural systems on soil biochemical and microbial parameters. Agric. Ecosyst. Environ. 1992, 40, 25–36. [Google Scholar] [CrossRef]
- Guo, Z.; Wang, X.; Xu, H. A large number of long-term application of organic fertilizer can effectively increase microbial biomass carbon and nitrogen in yellow paddy soil. J. Plant Nutr. Fertil. 2017, 23, 1168–1174. [Google Scholar] [CrossRef]
- Xun, W.; Zhao, J.; Xue, C. Significant alteration of soil bacterial communities and organic carbon decomposition by different long-term fertilization management conditions of extremely low-productivity arable soil in South China. Environ. Microbiol. 2015, 18, 1907–1917. [Google Scholar] [CrossRef]
- Workneh, F.; Van Bruggen, A.H.C. Microbial density, composition, and diversity in organically and conventionally managed rhizosphere soil in relation to suppression of corky root of tomatoes. Appl. Soil Ecol. 1994, 1, 219–230. [Google Scholar] [CrossRef]
- Wan, Z.; Wu, J. Study progress on factors affecting soil enzyme activity. J. Northwest Sci.-Tech Univ. Agric. For. 2005, 33, 019. [Google Scholar] [CrossRef]
- Aula, L.; Macnack, N.; Omara, P.; Mullock, J.; Raun, W. Effect of fertilizer nitrogen (N) on soil organic carbon, total N, and soil pH in long-term continuous winter wheat (Triticum aestivum L.). Commun. Soil Sci. Plant Anal. 2016, 47, 863–874. [Google Scholar] [CrossRef]
- Zamanian, K.; Kuzyakov, Y. Contribution of soil inorganic carbon to atmospheric CO2: More important than previously thought. Glob. Change Biol. 2019, 25, E1–E3. [Google Scholar] [CrossRef] [PubMed]
- Raza, S.; Miao, N.; Wang, P.; Ju, X.; Chen, Z.; Zhou, J.; Kuzyakov, Y. Dramatic loss of inorganic carbon by nitrogen-induced soil acidification in Chinese croplands. Glob. Change Biol. 2020, 26, 3738–3751. [Google Scholar] [CrossRef] [PubMed]
- Bowman, W.D.; Cleveland, C.C.; Halada, Ĺ. Negative impact of nitrogen deposition on soil buffering capacity. Nat. Geosci. 2008, 1, 767–770. [Google Scholar] [CrossRef]
- Zhao, W.; Cai, Z.; Xu, Z. Does ammonium-based N addition influence nitrification and acidification in humid subtropical soils of China? Plant Soil 2007, 297, 213–221. [Google Scholar] [CrossRef]
- Hinsinger, P.; Bengough, A.G.; Vetterlein, D. Rhizosphere: Biophysics, biogeochemistry and ecological relevance. Plant Soil 2009, 321, 117–152. [Google Scholar] [CrossRef]
- Liu, E.; Yan, C.; Mei, X.; Zhang, Y.; Fan, T. Long-term effect of manure and fertilizer on soil organic carbon pools in dryland farming in Northwest China. PLoS ONE 2013, 8, e56536. [Google Scholar] [CrossRef] [PubMed]
- Tabatabai, M.A. Effects of trace elements on urease activity in soils. Soil Biol. Biochem. 1977, 9, 9–13. [Google Scholar] [CrossRef]
- Liu, E.; Yan, C.; Mei, X. Long-term effect of chemical fertilizer, straw and manure on soil chemical and biological properties in northwest China. Geoderma 2010, 158, 173–180. [Google Scholar] [CrossRef]
- Huang, X.; Liu, S.; Wang, H. Changes of soil microbial biomass carbon and community composition through mixing nitrogen-fixing species with Eucalyptus urophylla in subtropical China. Soil Biol. Biochem. 2014, 73, 42–48. [Google Scholar] [CrossRef]
- Blair, N.; Faulkner, R.D.; Till, A.R.; Korschens, M.; Schulz, E. Long-term management impacts on soil c, n and physical fertility: Part II: Bad Lauchstadt static and extreme FYM experiments. Soil Till Res. 2006, 91, 39–47. [Google Scholar] [CrossRef]
- Angers, D.A.; Pesant, A.; Vigneux, J. Early cropping-induced changes in soil aggregation, organic matter, and microbial biomass. Soil Sci. Soc. Am. J. 1992, 56, 115. [Google Scholar] [CrossRef]
- He, Z.; Wu, J.; O’ Donnell, A.G. Seasonal responses in microbial biomass carbon, phosphorus and sulphur in soils under pasture. Biol. Fertil. Soils 1997, 24, 421–428. [Google Scholar] [CrossRef]
- Riffaldi, R.; Saviozzi, A.; Levi-minzi, R. Carbon mineralization kinetics as influenced by soil properties. Biol. Fertil. Soils 1996, 22, 293–298. [Google Scholar] [CrossRef]
- Saha, S.; Prakash, V.; Kundu, S. Soil enzymatic activity as affected by long term application of farm yard manureand mineral fertilizer under a rainfed soybeanewheat system in N-W Himalaya. Eur. J. Soil Biol. 2008, 44, 309–315. [Google Scholar] [CrossRef]
- Liu, S.; Wang, T.; Qu, J. Soil characteristics changes in desertification processes in hunshandake sandy land, Northern China. J. Desert Res. 2008, 28, 611–617, (in Chinese with English abstract). [Google Scholar]
- Hassink, J.; Whitmore, A.P.; Kubát, J. Size and density fractionation of soil organic matter and the physical capacity of soils to protect organic matter. Eur. J. Agron. 1997, 7, 189–199. [Google Scholar] [CrossRef]
- Alvarez, R. A review of nitrogen fertilizer and conservation tillage effects on soil organic carbon storage. Soil Use Manag. 2010, 21, 38–52. [Google Scholar] [CrossRef]
- LiuSui, Y.; Zhu, X.; Li, D.; Yan, C.; Sun, T.; Jia, H.; Zhao, X. Soil aggregate and intra-aggregate carbon fractions associated with vegetation succession in an alpine wetland of Northwest China. Catena 2019, 181, 104107. [Google Scholar] [CrossRef]
- Elliott, E.T.; Paustian, K. Aggregate and soil organic matter dynamics under conventional and no-tillage systems. Soil Sci. Soc. Am. J. 1999, 63, 1350–1358. [Google Scholar] [CrossRef]
- Franzluebbers, A.J.; Haney, R.L.; Hons, F.M.; Zuberer, D.A. Active fractions of organic matter in soils with different texture. Soil Biol. Biochem. 1996, 28, 1367–1372. [Google Scholar] [CrossRef]
- Marschner, P.; Yang, C.; Lieberei, R.; Crowley, D.E. Soil and plant specific effects on bacterial community composition in the rhizosphere. Soil Biol. Biochem. 2001, 33, 1437–1445. [Google Scholar] [CrossRef]
- Diekow, J.; Mielniczuk, J.; Knicker, H.; Bayer, C.; Dick, D.P.; Kögel-Knabner, I. Carbon and nitrogen stocks in physical fractions of a subtropical acrisol as influenced by long-term no-till cropping systems and N fertilisation. Plant Soil 2005, 268, 319–328. [Google Scholar] [CrossRef]
- Elliott, E.T.; Coleman, D.C. Let the Soil Work for Us. Ecol. Bull. 1988, 39, 23–32. [Google Scholar] [CrossRef]
- Kravchenko, A.N.; Guber, A.K. Soil pores and their contributions to soil carbon processes. Geoderma 2016, 287, 31–39. [Google Scholar] [CrossRef]
- Tian, D.; Gao, M.; Xu, C.; Tobacco, M.B. Effects of soil moisture and nitrogen addition on nitrogen mineralization and soil pH in purple soil of three different textures. J. Soil Water Conserv. 2016, 30, 255–261. [Google Scholar] [CrossRef]
- Datta, R.; Anand, S.; Moulick, A. How enzymes are adsorbed on soil solid phase and factors limiting its activity: A Review. Int. Agrophysics 2017, 31, 287–302. [Google Scholar] [CrossRef]
- Mateos, M.P.; Carcedo, S.G. Effect of fractionation on location of enzyme activities in soil structural units. Biol. Fertil. Soils 1985, 1, 153–159. [Google Scholar] [CrossRef]
- Deng, L.; Peng, C.; Dong, G. Drought effects on soil carbon and nitrogen dynamics in global natural ecosystems. Earth-Sci. Rev. 2021, 214, 103501. [Google Scholar] [CrossRef]
- Yang, Z.; Hu, Y.; Zhang, S.; Raza, S.; Wei, X.; Zhao, X. The thresholds and management of irrigation and fertilization earning yields and water use efficiency in maize, wheat, and rice in China: A meta-analysis (1990–2020). Agronomy 2022, 12, 709. [Google Scholar] [CrossRef]
- Niu, J.H.; Li, S.W. The necessity of fallow farm land and it simple mentation ideas. Agric. Environ. Dev. 2009, 2, 27–28. [Google Scholar] [CrossRef]
- Lei, O.; Zhang, R. Effects of biochars derived from different feed stocks and pyrolysis temperatures on soil physical and hydraulic properties. J. Soils Sediments 2013, 13, 1561–1572. [Google Scholar] [CrossRef]
- Jien, S.; Wang, C. Effects of biochar on soil properties and erosion potential in a highly weathered soil. Catena 2013, 110, 225–233. [Google Scholar] [CrossRef]
- Zhao, X.; Hu, K.; Li, K. Effect of optimal irrigation, different fertilization, and reduced tillage on soil organic carbon storage and crop yields in the North China Plain. J. Plant Nutr. Soil Sci. 2013, 176, 89–98. [Google Scholar] [CrossRef]








Disclaimer/Publisher’s Note: The statements, opinions and data contained in all publications are solely those of the individual author(s) and contributor(s) and not of MDPI and/or the editor(s). MDPI and/or the editor(s) disclaim responsibility for any injury to people or property resulting from any ideas, methods, instructions or products referred to in the content. |
© 2023 by the authors. Licensee MDPI, Basel, Switzerland. This article is an open access article distributed under the terms and conditions of the Creative Commons Attribution (CC BY) license (https://creativecommons.org/licenses/by/4.0/).
Share and Cite
Yuan, D.; Hu, Y.; Jia, S.; Li, W.; Zamanian, K.; Han, J.; Huang, F.; Zhao, X. Microbial Properties Depending on Fertilization Regime in Agricultural Soils with Different Texture and Climate Conditions: A Meta-Analysis. Agronomy 2023, 13, 764. https://doi.org/10.3390/agronomy13030764
Yuan D, Hu Y, Jia S, Li W, Zamanian K, Han J, Huang F, Zhao X. Microbial Properties Depending on Fertilization Regime in Agricultural Soils with Different Texture and Climate Conditions: A Meta-Analysis. Agronomy. 2023; 13(3):764. https://doi.org/10.3390/agronomy13030764
Chicago/Turabian StyleYuan, Ding, Yi Hu, Shengnan Jia, Wenwen Li, Kazem Zamanian, Jiangang Han, Fan Huang, and Xiaoning Zhao. 2023. "Microbial Properties Depending on Fertilization Regime in Agricultural Soils with Different Texture and Climate Conditions: A Meta-Analysis" Agronomy 13, no. 3: 764. https://doi.org/10.3390/agronomy13030764
APA StyleYuan, D., Hu, Y., Jia, S., Li, W., Zamanian, K., Han, J., Huang, F., & Zhao, X. (2023). Microbial Properties Depending on Fertilization Regime in Agricultural Soils with Different Texture and Climate Conditions: A Meta-Analysis. Agronomy, 13(3), 764. https://doi.org/10.3390/agronomy13030764
