Effects of Combined Pollution of Tetracycline and Sulfamethazine on Tomato Growth and Antibiotic Absorption
Abstract
1. Introduction
2. Materials and Methods
2.1. Collection and Preparation of Soil Samples
2.2. Pot Experiment Design
2.3. Chemical Analyses
2.4. Data Analysis
3. Results and Discussion
3.1. Changes in Tetracycline and Sulfamethazine in Soil
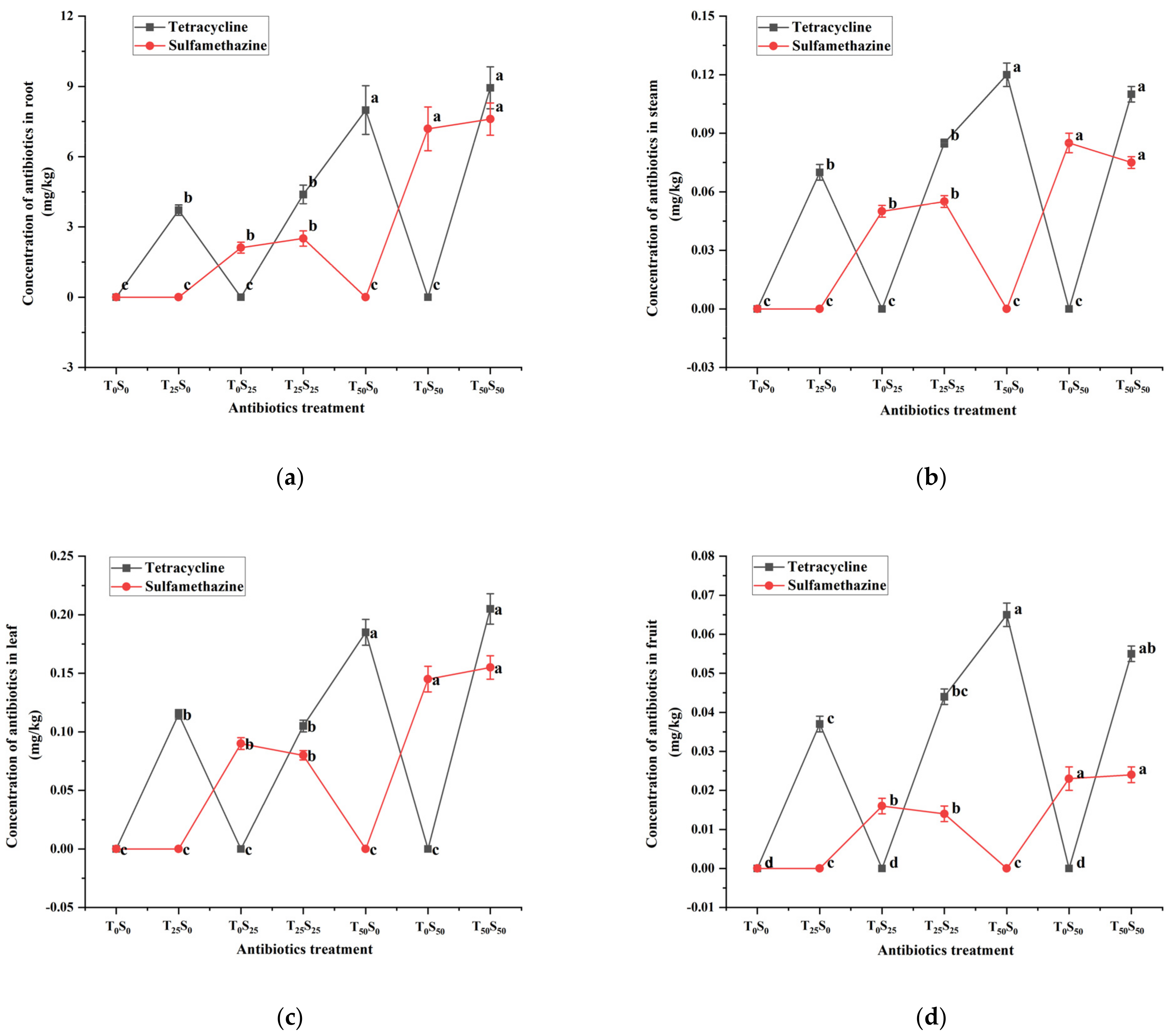
3.2. Changes in Tetracycline and Sulfamethazine in Roots and Shoots of Tomato Plants
3.3. Residues of Tetracycline and Sulfamethazine in Different Tissues of Tomato during Harvest
3.4. Effects of Antibiotic Pollution on Nutrient Content in Plant Organs
3.5. Effects of Antibiotic Pollution on Photosynthesis
3.6. Effects of Antibiotic Pollution on Tomato Plant Height and Length
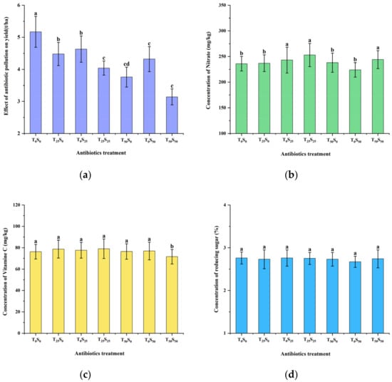
3.7. Effects of Antibiotic Contamination on Yield and Quality
4. Discussion
5. Conclusions
Author Contributions
Funding
Data Availability Statement
Conflicts of Interest
References
- Azanu, D.; Mortey, C.; Darko, G.; Weisser, J.J.; Styrishave, B.; Abaidoo, R.C. Uptake of Antibiotics from Irrigation Water by Plants. Chemosphere 2016, 157, 107–114. [Google Scholar] [CrossRef]
- Aust, M.-O.; Godlinski, F.; Travis, G.R.; Hao, X.; McAllister, T.A.; Leinweber, P.; Thiele-Bruhn, S. Distribution of Sulfamethazine, Chlortetracycline and Tylosin in Manure and Soil of Canadian Feedlots after Subtherapeutic Use in Cattle. Environ. Pollut. 2008, 156, 1243–1251. [Google Scholar] [CrossRef] [PubMed]
- Quaik, S.; Embrandiri, A.; Ravindran, B.; Hossain, K.; Al-Dhabi, N.A.; Arasu, M.V.; Ignacimuthu, S.; Ismail, N. Veterinary Antibiotics in Animal Manure and Manure Laden Soil: Scenario and Challenges in Asian Countries. J. King Saud Univ.-Sci. 2020, 32, 1300–1305. [Google Scholar] [CrossRef]
- Zhao, L.; Dong, Y.H.; Wang, H. Residues of Veterinary Antibiotics in Manures from Feedlot Livestock in Eight Provinces of China. Sci. Total Environ. 2010, 408, 1069–1075. [Google Scholar] [CrossRef]
- Metcalfe, C.D.; Bayen, S.; Desrosiers, M.; Muñoz, G.; Sauvé, S.; Yargeau, V. An Introduction to the Sources, Fate, Occurrence and Effects of Endocrine Disrupting Chemicals Released into the Environment. Environ. Res. 2022, 207, 112658. [Google Scholar] [CrossRef] [PubMed]
- Xie, Y.; Li, X.-W.; Wang, J.-F.; Christakos, G.; Hu, M.-G.; An, L.-H.; Li, F.-S. Spatial Estimation of Antibiotic Residues in Surface Soils in a Typical Intensive Vegetable Cultivation Area in China. Sci. Total Environ. 2012, 430, 126–131. [Google Scholar] [CrossRef]
- Shi, W.; Yue, T.; Du, Z.; Wang, Z.; Li, X. Surface Modeling of Soil Antibiotics. Sci. Total Environ. 2016, 543, 609–619. [Google Scholar] [CrossRef]
- De Voogt, P. Reviews of Environmental Contamination and Toxicology; Springer International Publishing: Cham, Switzerland, 2017; Volume 243, p. 7233. ISBN 9783319587233. [Google Scholar]
- Tasho, R.P.; Cho, J.Y. Veterinary Antibiotics in Animal Waste, Its Distribution in Soil and Uptake by Plants: A Review. Sci. Total Environ. 2016, 563–564, 366–376. [Google Scholar] [CrossRef]
- Huygens, J.; Rasschaert, G.; Heyndrickx, M.; Dewulf, J.; Van Coillie, E.; Quataert, P.; Daeseleire, E.; Becue, I. Impact of Fertilization with Pig or Calf Slurry on Antibiotic Residues and Resistance Genes in the Soil. Sci. Total Environ. 2022, 822, 153518. [Google Scholar] [CrossRef] [PubMed]
- Onalenna, O.; Rahube, T.O. Assessing Bacterial Diversity and Antibiotic Resistance Dynamics in Wastewater Effluent-Irrigated Soil and Vegetables in a Microcosm Setting. Heliyon 2022, 8, e09089. [Google Scholar] [CrossRef]
- Rocha, D.C.; da Silva Rocha, C.; Tavares, D.S.; de Morais Calado, S.L.; Gomes, M.P. Veterinary Antibiotics and Plant Physiology: An Overview. Sci. Total Environ. 2021, 767, 144902. [Google Scholar] [CrossRef] [PubMed]
- Zhao, F.; Yang, L.; Li, G.; Fang, L.; Yu, X.; Tang, Y.-T.; Li, M.; Chen, L. Veterinary Antibiotics Can Reduce Crop Yields by Modifying Soil Bacterial Community and Earthworm Population in Agro-Ecosystems. Sci. Total Environ. 2022, 808, 152056. [Google Scholar] [CrossRef] [PubMed]
- Camotti Bastos, M.; Soubrand, M.; Le Guet, T.; Le Floch, É.; Joussein, E.; Baudu, M.; Casellas, M. Occurrence, Fate and Environmental Risk Assessment of Pharmaceutical Compounds in Soils Amended with Organic Wastes. Geoderma 2020, 375, 114498. [Google Scholar] [CrossRef]
- Schauss, K.; Focks, A.; Heuer, H.; Kotzerke, A.; Schmitt, H.; Thiele-Bruhn, S.; Smalla, K.; Wilke, B.-M.; Matthies, M.; Amelung, W.; et al. Analysis, Fate and Effects of the Antibiotic Sulfadiazine in Soil Ecosystems. TrAC Trends Anal. Chem. 2009, 28, 612–618. [Google Scholar] [CrossRef]
- Hembach, N.; Bierbaum, G.; Schreiber, C.; Schwartz, T. Facultative Pathogenic Bacteria and Antibiotic Resistance Genes in Swine Livestock Manure and Clinical Wastewater: A Molecular Biology Comparison. Environ. Pollut. 2022, 313, 120128. [Google Scholar] [CrossRef]
- Chen, Y.; Hammer, E.E.; Richards, V.P. Phylogenetic Signature of Lateral Exchange of Genes for Antibiotic Production and Resistance among Bacteria Highlights a Pattern of Global Transmission of Pathogens between Humans and Livestock. Mol. Phylogenet. Evol. 2018, 125, 255–264. [Google Scholar] [CrossRef] [PubMed]
- Karcı, A.; Balcıoğlu, I.A. Investigation of the Tetracycline, Sulfonamide, and Fluoroquinolone Antimicrobial Compounds in Animal Manure and Agricultural Soils in Turkey. Sci. Total Environ. 2009, 407, 4652–4664. [Google Scholar] [CrossRef]
- Selvam, A.; Xu, D.; Zhao, Z.; Wong, J.W.C. Fate of Tetracycline, Sulfonamide and Fluoroquinolone Resistance Genes and the Changes in Bacterial Diversity during Composting of Swine Manure. Bioresour. Technol. 2012, 126, 383–390. [Google Scholar] [CrossRef]
- Van den Meersche, T.; Pamel, E.V.; Poucke, C.V.; Herman, L.; Heyndrickx, M.; Rasschaert, G.; Daeseleire, E. Development, Validation and Application of an Ultra High Performance Liquid Chromatographic-Tandem Mass Spectrometric Method for the Simultaneous Detection and Quantification of Five Different Classes of Veterinary Antibiotics in Swine Manure. J. Chromatogr. A 2016, 1429, 248–257. [Google Scholar] [CrossRef]
- Chen, Y.; Zhang, H.; Luo, Y.; Song, J. Occurrence and Assessment of Veterinary Antibiotics in Swine Manures: A Case Study in East China. Chin. Sci. Bull. 2012, 57, 606–614. [Google Scholar] [CrossRef]
- Zhang, Y.-L.; Lin, S.-S.; Dai, C.-M.; Shi, L.; Zhou, X.-F. Sorption–Desorption and Transport of Trimethoprim and Sulfonamide Antibiotics in Agricultural Soil: Effect of Soil Type, Dissolved Organic Matter, and PH. Environ. Sci. Pollut. Res. 2014, 21, 5827–5835. [Google Scholar] [CrossRef]
- Priya, A.K.; Antony, S.; Kumar, G.M.S.; Sivamoorthi, S.; Vineesh, S. Anthropogenic Impacts on the Contamination in the Coastal Region: A Review. Mater. Today Proc. 2021, 37, 2236–2238. [Google Scholar] [CrossRef]
- Hamscher, G.; Sczesny, S.; Höper, H.; Nau, H. Determination of Persistent Tetracycline Residues in Soil Fertilized with Liquid Manure by High-Performance Liquid Chromatography with Electrospray Ionization Tandem Mass Spectrometry. Anal. Chem. 2002, 74, 1509–1518. [Google Scholar] [CrossRef] [PubMed]
- Carter, L.J.; Harris, E.; Williams, M.; Ryan, J.J.; Kookana, R.S.; Boxall, A.B.A. Fate and Uptake of Pharmaceuticals in Soil–Plant Systems. J. Agric. Food Chem. 2014, 62, 816–825. [Google Scholar] [CrossRef]
- Daghrir, R.; Drogui, P. Tetracycline Antibiotics in the Environment: A Review. Environ. Chem. Lett. 2013, 11, 209–227. [Google Scholar] [CrossRef]
- Pan, M.; Chu, L.M. Phytotoxicity of Veterinary Antibiotics to Seed Germination and Root Elongation of Crops. Ecotoxicol. Environ. Saf. 2016, 126, 228–237. [Google Scholar] [CrossRef] [PubMed]
- Matamoros, V.; Casas, M.E.; Mansilla, S.; Tadić, Đ.; Cañameras, N.; Carazo, N.; Portugal, J.; Piña, B.; Díez, S.; Bayona, J.M. Occurrence of Antibiotics in Lettuce (Lactuca sativa L.) and Radish (Raphanus sativus L.) Following Organic Soil Fertilisation under Plot-Scale Conditions: Crop and Human Health Implications. J. Hazard. Mater. 2022, 436, 129044. [Google Scholar] [CrossRef]
- Hu, W.; Huang, B.; Shi, X.; Chen, W.; Zhao, Y.; Jiao, W. Accumulation and Health Risk of Heavy Metals in a Plot-Scale Vegetable Production System in a Peri-Urban Vegetable Farm near Nanjing, China. Ecotoxicol. Environ. Saf. 2013, 98, 303–309. [Google Scholar] [CrossRef]
- Yu, Z.; Yediler, A.; Yang, M.; Schulte-Hostede, S. Leaching Behavior of Enrofloxacin in Three Different Soils and the Influence of a Surfactant on Its Mobility. J. Environ. Sci. 2012, 24, 435–439. [Google Scholar] [CrossRef]
- Migliore, L.; Godeas, F.; De Filippis, S.P.; Mantovi, P.; Barchi, D.; Testa, C.; Rubattu, N.; Brambilla, G. Hormetic Effect(s) of Tetracyclines as Environmental Contaminant on Zea mays. Environ. Pollut. 2010, 158, 129–134. [Google Scholar] [CrossRef]
- Kang, D.H.; Gupta, S.; Rosen, C.; Fritz, V.; Singh, A.; Chander, Y.; Murray, H.; Rohwer, C. Antibiotic Uptake by Vegetable Crops from Manure-Applied Soils. J. Agric. Food Chem. 2013, 61, 9992–10001. [Google Scholar] [CrossRef]
- Li, X.; Yu, H.; Xu, S.; Hua, R. Uptake of Three Sulfonamides from Contaminated Soil by Pakchoi Cabbage. Ecotoxicol. Environ. Saf. 2013, 92, 297–302. [Google Scholar] [CrossRef]
- Pan, M.; Chu, L.M. Transfer of Antibiotics from Wastewater or Animal Manure to Soil and Edible Crops. Environ. Pollut. 2017, 231, 829–836. [Google Scholar] [CrossRef]
- Chand, J.B.; Hewa, G.; Hassanli, A.; Myers, B. Deficit Irrigation on Tomato Production in a Greenhouse Environment: A Review. J. Irrig. Drain Eng. 2021, 147, 04020041. [Google Scholar] [CrossRef]
- Rajapaksha, A.U.; Vithanage, M.; Lim, J.E.; Ahmed, M.B.M.; Zhang, M.; Lee, S.S.; Ok, Y.S. Invasive Plant-Derived Biochar Inhibits Sulfamethazine Uptake by Lettuce in Soil. Chemosphere 2014, 111, 500–504. [Google Scholar] [CrossRef] [PubMed]
- Aristilde, L.; Melis, A.; Sposito, G. Inhibition of Photosynthesis by a Fluoroquinolone Antibiotic. Environ. Sci. Technol. 2010, 44, 1444–1450. [Google Scholar] [CrossRef]
- Michelini, L.; La Rocca, N.; Rascio, N.; Ghisi, R. Structural and Functional Alterations Induced by Two Sulfonamide Antibiotics on Barley Plants. Plant Physiol. Biochem. 2013, 67, 55–62. [Google Scholar] [CrossRef] [PubMed]
- Kurwadkar, S.; Struckhoff, G.; Pugh, K.; Singh, O. Uptake and Translocation of Sulfamethazine by Alfalfa Grown under Hydroponic Conditions. J. Environ. Sci. 2017, 53, 217–223. [Google Scholar] [CrossRef] [PubMed]
- Madikizela, L.M.; Ncube, S.; Chimuka, L. Uptake of Pharmaceuticals by Plants Grown under Hydroponic Conditions and Natural Occurring Plant Species: A Review. Sci. Total Environ. 2018, 636, 477–486. [Google Scholar] [CrossRef]
- Dorival-García, N.; Zafra-Gómez, A.; Cantarero, S.; Navalón, A.; Vílchez, J.L. Simultaneous Determination of 13 Quinolone Antibiotic Derivatives in Wastewater Samples Using Solid-phase Extraction and Ultra Performance Liquid Chromatography–Tandem Mass Spectrometry. Microchem. J. 2013, 106, 323–333. [Google Scholar] [CrossRef]
- Lindqvist, D.N.; Pedersen, H.Æ.; Rasmussen, L.H. A Novel Technique for Determination of the Fructose, Glucose and Sucrose Distribution in Nectar from Orchids by HPLC-ELSD. J. Chromatogr. B 2018, 1081–1082, 126–130. [Google Scholar] [CrossRef]
- Ahmed, M.B.M.; Rajapaksha, A.U.; Lim, J.E.; Vu, N.T.; Kim, I.S.; Kang, H.M.; Lee, S.S.; Ok, Y.S. Distribution and Accumulative Pattern of Tetracyclines and Sulfonamides in Edible Vegetables of Cucumber, Tomato, and Lettuce. J. Agric. Food Chem. 2015, 63, 398–405. [Google Scholar] [CrossRef] [PubMed]
- Hillis, D.G.; Fletcher, J.; Solomon, K.R.; Sibley, P.K. Effects of Ten Antibiotics on Seed Germination and Root Elongation in Three Plant Species. Arch. Environ. Contam. Toxicol. 2011, 60, 220–232. [Google Scholar] [CrossRef] [PubMed]
- Eggen, T.; Asp, T.N.; Grave, K.; Hormazabal, V. Uptake and Translocation of Metformin, Ciprofloxacin and Narasin in Forage- and Crop Plants. Chemosphere 2011, 85, 26–33. [Google Scholar] [CrossRef] [PubMed]
- Liu, L.; Wu, W.; Zhang, J.; Lv, P.; Xu, L.; Yan, Y. Progress of Research on the Toxicology of Antibiotic Pollution in Aquatic Organisms. Acta Ecol. Sin. 2018, 38, 36–41. [Google Scholar] [CrossRef]
- Jones-Lepp, T.L.; Sanchez, C.A.; Moy, T.; Kazemi, R. Method Development and Application to Determine Potential Plant Uptake of Antibiotics and Other Drugs in Irrigated Crop Production Systems. J. Agric. Food Chem. 2010, 58, 11568–11573. [Google Scholar] [CrossRef]
- Zhang, Q.; Yang, C.; Dang, Z.; Huang, W. Sorption of Tylosin on Agricultural Soils. Soil Sci. 2011, 176, 407–412. [Google Scholar] [CrossRef]
- Ding, C.; He, J. Effect of Antibiotics in the Environment on Microbial Populations. Appl. Microbiol. Biotechnol. 2010, 87, 925–941. [Google Scholar] [CrossRef]
- Chung, H.S.; Lee, Y.-J.; Rahman, M.M.; Abd El-Aty, A.M.; Lee, H.S.; Kabir, M.H.; Kim, S.W.; Park, B.-J.; Kim, J.-E.; Hacımüftüoğlu, F.; et al. Uptake of the Veterinary Antibiotics Chlortetracycline, Enrofloxacin, and Sulphathiazole from Soil by Radish. Sci. Total Environ. 2017, 605–606, 322–331. [Google Scholar] [CrossRef]
- Lin, J.; Wang, Y.; Sun, S.; Mu, C.; Yan, X. Effects of Arbuscular Mycorrhizal Fungi on the Growth, Photosynthesis and Photosynthetic Pigments of Leymus chinensis Seedlings under Salt-Alkali Stress and Nitrogen Deposition. Sci. Total Environ. 2017, 576, 234–241. [Google Scholar] [CrossRef] [PubMed]
- Lu, H.; Wang, Z.; Xu, C.; Li, L.; Yang, C. Multiomics Analysis Provides Insights into Alkali Stress Tolerance of Sunflower (Helianthus annuus L.). Plant Physiol. Biochem. 2021, 166, 66–77. [Google Scholar] [CrossRef] [PubMed]
- Chen, H.-R.; Rairat, T.; Loh, S.-H.; Wu, Y.-C.; Vickroy, T.W.; Chou, C.-C. Assessment of Veterinary Drugs in Plants Using Pharmacokinetic Approaches: The Absorption, Distribution and Elimination of Tetracycline and Sulfamethoxazole in Ephemeral Vegetables. PLoS ONE 2017, 12, e0183087. [Google Scholar] [CrossRef] [PubMed]







| Treatment | Dose of Tetracycline (mg/kg) | Dose of Sulfamethazine (mg/kg) |
|---|---|---|
| T0S0 | 0 | 0 |
| T25S0 | 25 | 0 |
| T0S25 | 0 | 25 |
| T25S25 | 25 | 25 |
| T50S0 | 50 | 0 |
| T0S50 | 0 | 50 |
| T50S50 | 50 | 50 |
| Treatment | Vegetative Stage | Harvest Stage | ||||||||||
|---|---|---|---|---|---|---|---|---|---|---|---|---|
| C | N | C/N | P | K | Ca | C | N | C/N | P | K | Ca | |
| T0S0 | 40.44 a | 3.04 d | 13.30 a | 0.34 c | 1.48 c | 5.32 c | 41.12 ab | 3.31 c | 12.42 a | 0.36 c | 1.21 c | 6.14 bc |
| T25S0 | 39.76 a | 3.32 c | 11.98 b | 0.38 bc | 1.53 bc | 5.44 bc | 41.14 ab | 3.29 c | 12.50 a | 0.37 c | 1.20 c | 6.08 c |
| T0S25 | 40.01 a | 3.43 c | 11.66 b | 0.39 bc | 1.57 bc | 5.29 c | 41.87 a | 3.39 c | 12.35 a | 0.39 bc | 1.26 bc | 5.92 c |
| T25S25 | 38.67 b | 3.72 b | 10.40 c | 0.42 b | 1.62 b | 5.64 b | 40.23 b | 3.52 b | 11.43 b | 0.42 b | 1.36 b | 6.54 b |
| T50S0 | 39.11 b | 3.59 bc | 10.89 c | 0.41 b | 1.59 bc | 5.58 b | 40.21 b | 3.47 bc | 11.59 b | 0.41 b | 1.32 b | 6.42 b |
| T0S50 | 38.76 b | 3.63 bc | 10.68 c | 0.45 b | 1.65 b | 5.63 b | 40.18 b | 3.51 b | 11.45 b | 0.43 b | 1.35 b | 6.42 b |
| T50S50 | 38.32 b | 4.17 a | 9.19 d | 0.51 a | 1.78 a | 6.78 a | 40.03 b | 3.91 a | 10.24 c | 0.54 a | 1.78 a | 8.08 a |
Disclaimer/Publisher’s Note: The statements, opinions and data contained in all publications are solely those of the individual author(s) and contributor(s) and not of MDPI and/or the editor(s). MDPI and/or the editor(s) disclaim responsibility for any injury to people or property resulting from any ideas, methods, instructions or products referred to in the content. |
© 2023 by the authors. Licensee MDPI, Basel, Switzerland. This article is an open access article distributed under the terms and conditions of the Creative Commons Attribution (CC BY) license (https://creativecommons.org/licenses/by/4.0/).
Share and Cite
Xu, Q.; Zhang, M. Effects of Combined Pollution of Tetracycline and Sulfamethazine on Tomato Growth and Antibiotic Absorption. Agronomy 2023, 13, 762. https://doi.org/10.3390/agronomy13030762
Xu Q, Zhang M. Effects of Combined Pollution of Tetracycline and Sulfamethazine on Tomato Growth and Antibiotic Absorption. Agronomy. 2023; 13(3):762. https://doi.org/10.3390/agronomy13030762
Chicago/Turabian StyleXu, Qiutong, and Mingkui Zhang. 2023. "Effects of Combined Pollution of Tetracycline and Sulfamethazine on Tomato Growth and Antibiotic Absorption" Agronomy 13, no. 3: 762. https://doi.org/10.3390/agronomy13030762
APA StyleXu, Q., & Zhang, M. (2023). Effects of Combined Pollution of Tetracycline and Sulfamethazine on Tomato Growth and Antibiotic Absorption. Agronomy, 13(3), 762. https://doi.org/10.3390/agronomy13030762
