Preharvest Abiotic Stress Affects the Nutritional Value of Lettuce
Abstract
1. Introduction
2. Materials and Methods
2.1. Plant Material and Cultivation
2.2. Free Sugars
2.3. Fatty Acids
2.4. Free Amino Acids
2.5. Free Phenolic Compounds
2.6. Vitamins
2.7. Statistical Analysis
3. Results and Discussion
3.1. Morphology
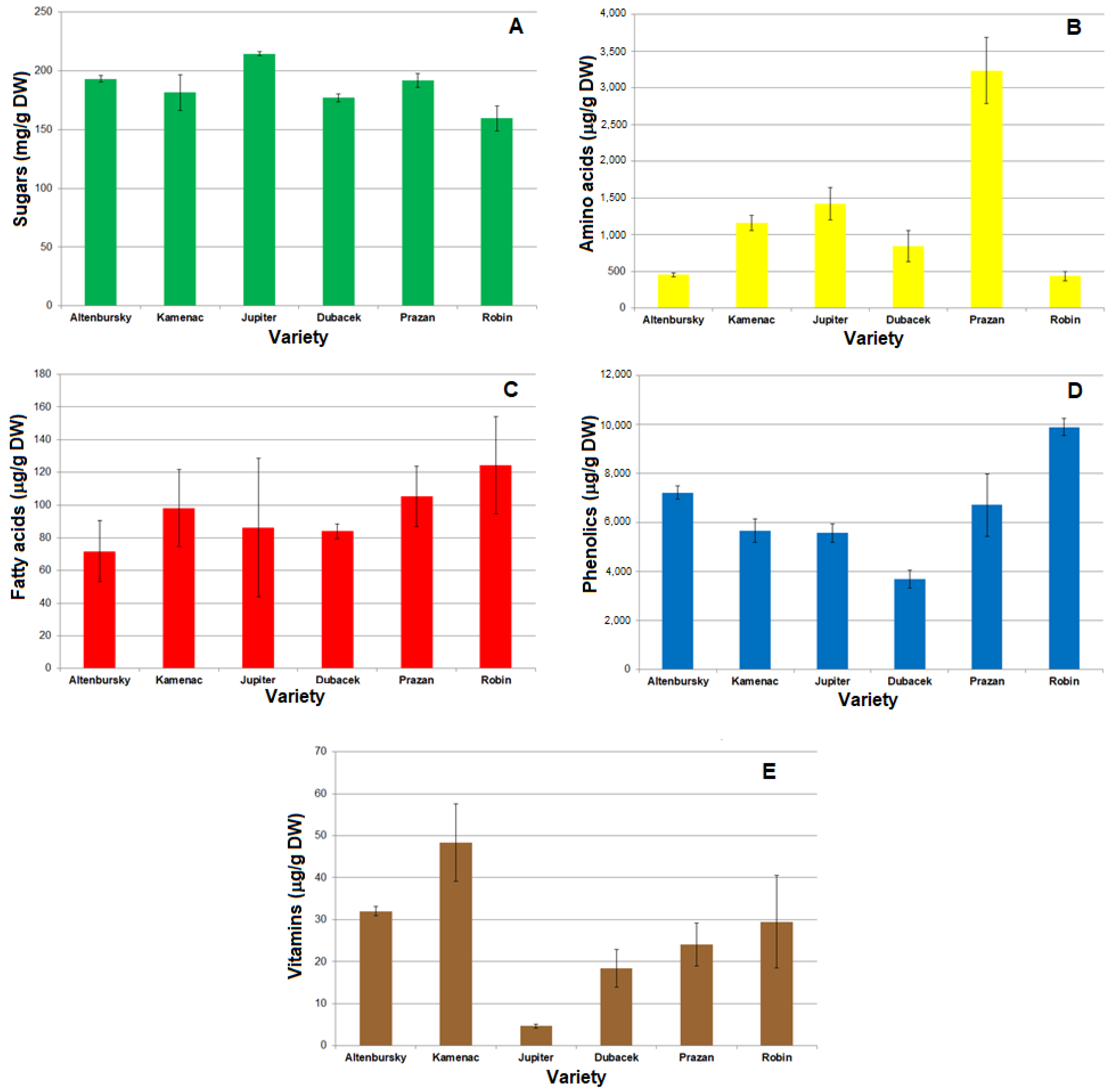
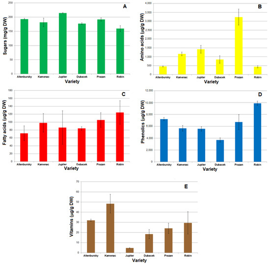
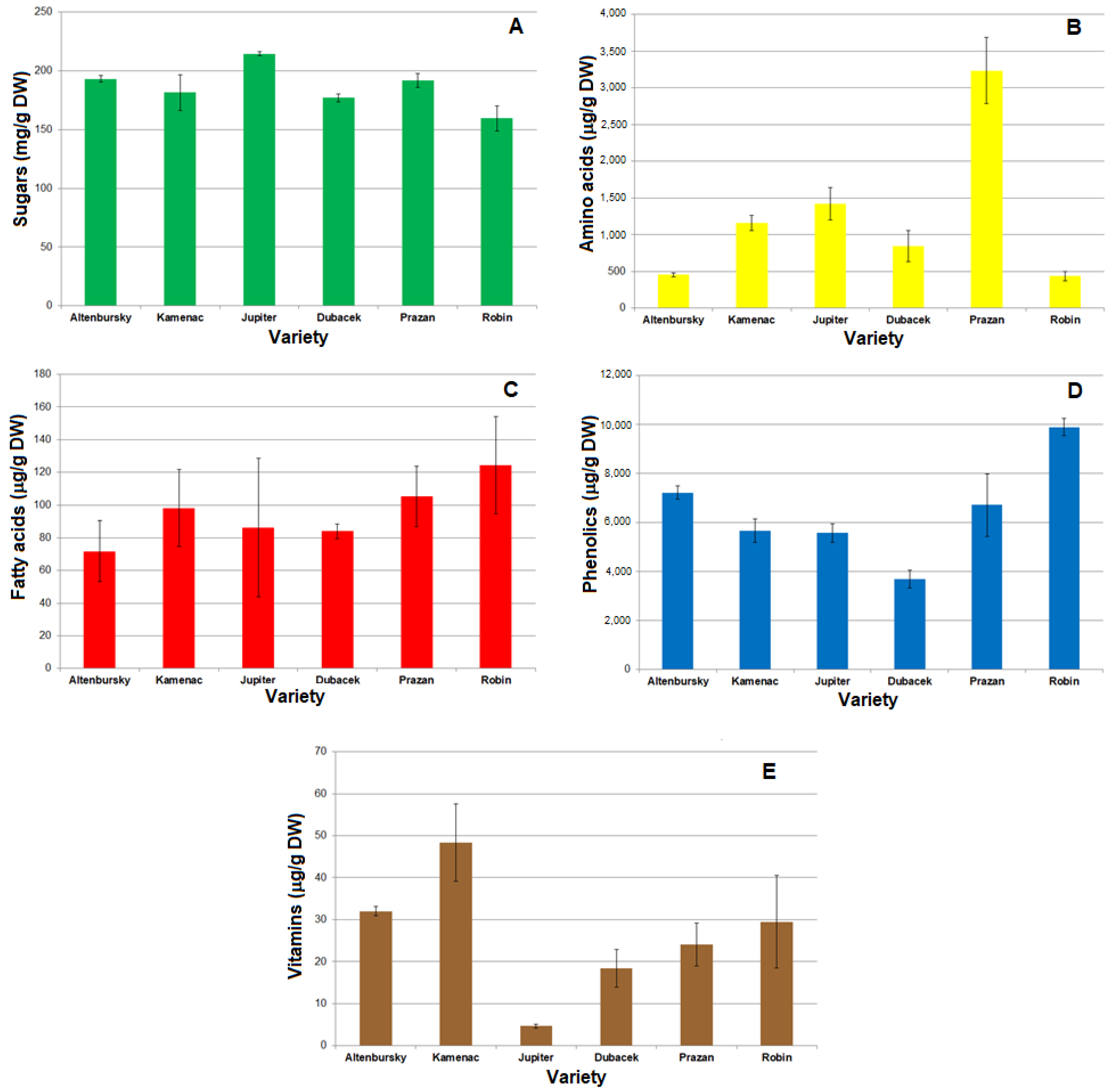
3.2. Nutritional Value of Lettuce
3.3. Preharvest Abiotic Stress Changes the Nutritional Value of Lettuce
4. Conclusions
Supplementary Materials
Author Contributions
Funding
Data Availability Statement
Conflicts of Interest
References
- Yadav, S.; Modi, P.; Dave, A.; Vijapura, A.; Patel, D.; Patel, M. Effect of Abiotic Stress on Crops. In Sustainable Crop Production; Hasanuzzaman, M., Filho, M.C.M.T., Fujita, M., Nogueira, T.A.R., Eds.; IntechOpen: London, UK, 2020. [Google Scholar] [CrossRef]
- Soares, J.C.; Santos, C.S.; Carvalho, S.M.P.; Pintado, M.M.; Vasconcelos, M.W. Preserving the nutritional quality of crop plants under a changing climate: Importance and strategies. Plant Soil 2019, 443, 1–26. [Google Scholar] [CrossRef]
- Roberts, D.P.; Mattoo, A.K. Sustainable Agriculture—Enhancing Environmental Benefits, Food Nutritional Quality and Building Crop Resilience to Abiotic and Biotic Stresses. Agriculture 2018, 8, 8. [Google Scholar] [CrossRef]
- Stagnari, F.; Galieni, A.; Pisante, M. Drought stress effects on crop quality. In Water Stress and Crop Plants: A Sustainable Approach; Ahmad, P., Ed.; John Wiley & Sons, Ltd.: London, UK, 2016; Volume 2, pp. 375–392. [Google Scholar] [CrossRef]
- Kim, M.J.; Moon, Y.; Tou, J.C.; Mou, B.; Waterland, N.L. Nutritional value, bioactive compounds and health benefits of lettuce (Lactuca sativa L.). J. Food Comp. Anal. 2016, 49, 19–34. [Google Scholar] [CrossRef]
- Lebeda, A.; Ryder, E.J.; Grube, R.; Doležalová, I.; Křístková, E. Lettuce (Asteraceae; Lactuca spp.). In Genetic Resources, Chromosome Engineering, and Crop Improvement Series, Vol 3—Vegetable Crops; Singh, R., Ed.; CRC Press: Boca Raton, FL, USA, 2007; pp. 377–472. [Google Scholar]
- Hartman, Y.; Hooftman, D.A.; Uwimana, B.; Schranz, M.E.; van de Wiel, C.C.; Smulders, M.J.; Visser, R.G.; Michelmore, R.W.; van Tienderen, P.H. Abiotic stress QTL in lettuce crop-wild hybrids: Comparing greenhouse and field experiments. Ecol. Evol. 2014, 4, 2395–2409. [Google Scholar] [CrossRef] [PubMed]
- Romani, A.; Pinelli, P.; Galardi, C.; Sani, G.; Cimato, A.; Heimler, D. Polyphenols in greenhouse and open-air-grown lettuce. Food Chem. 2002, 79, 337–342. [Google Scholar] [CrossRef]
- Galieni, A.; Di Mattia, C.; De Gregorio, M.; Speca, S.; Mastrocola, D.; Pisante, M.; Stagnari, F. Effects of nutrient deficiency and abiotic environmental stresses on yield, phenolic compounds and antiradical activity in lettuce (Lactuca sativa L.). Sci. Horticult. 2015, 187, 93–101. [Google Scholar] [CrossRef]
- Babaousmail, M.; Nili, M.S.; Brik, R.; Saadouni, M.; Yousif, S.K.M.; Omer, R.M.; Osman, N.A.; Alsahli, A.A.; Ashour, H.; El-Taher, A.M. Improving the tolerance to salinity stress in lettuce plants (Lactuca sativa L.) using exogenous application of salicylic acid, yeast, and zeolite. Life 2022, 12, 1538. [Google Scholar] [CrossRef]
- Paim, B.T.; Crizel, R.L.; Siebeneichler, J.T.; Rodrigues, V.R.; Rombaldi, C.V.; Galli, V. Mild drought stress has potential to improve lettuce yield and quality. Sci. Hortic. 2020, 272, 109578. [Google Scholar] [CrossRef]
- Šamec, D.; Linić, I.; Salopek-Sondi, B. Salinity Stress as an elicitor for phytochemicals and minerals accumulation in selected leafy vegetables of Brassicaceae. Agronomy 2021, 11, 361. [Google Scholar] [CrossRef]
- Sarker, U.; Oba, S. Drought stress enhances nutritional and bioactive compounds, phenolic acids and antioxidant capacity of Amaranthus leafy vegetable. BMC Plant Biol. 2018, 18, 258. [Google Scholar] [CrossRef] [PubMed]
- Sarker, U.; Oba, S. Salinity stress enhances color parameters, bioactive leaf pigments, vitamins, polyphenols, flavonoids and antioxidant activity in selected Amaranthus leafy vegetables. J. Sci. Food. Agric. 2019, 99, 2275–2284. [Google Scholar] [CrossRef]
- Hossain, M.N.; Sarker, U.; Raihan, M.S.; Al-Huqail, A.A.; Siddiqui, M.H.; Oba, S. Influence of salinity stress on color parameters, leaf pigmentation, polyphenol and flavonoid contents, and antioxidant activity of Amaranthus lividus leafy vegetables. Molecules 2022, 27, 1821. [Google Scholar] [CrossRef] [PubMed]
- Šamec, D.; Karalija, E.; Šola, I.; Vujcić Bok, V.; Salopek-Sondi, B. The role of polyphenols in abiotic stress response: The influence of molecular structure. Plants 2021, 10, 118. [Google Scholar] [CrossRef]
- Rahman, M.M.; Rahaman, M.S.; Islam, M.R.; Rahman, F.; Mithi, F.M.; Alqahtani, T.; Almikhlafi, M.A.; Alghamdi, S.Q.; Alruwaili, A.S.; Hossain, M.S.; et al. Role of phenolic compounds in human disease: Current knowledge and future prospects. Molecules 2021, 27, 233. [Google Scholar] [CrossRef]
- Missio, J.C.; Rivera, A.; Figàs, M.R.; Casanova, C.; Camí, B.; Soler, S.; Simó, J. A comparison of landraces vs. modern varieties of lettuce in organic farming during the winter in the Mediterranean area: An approach considering the viewpoints of breeders, consumers, and farmers. Front. Plant Sci. 2018, 9, 1491. [Google Scholar] [CrossRef]
- Campbell, L.G.; Snow, A.A. Competition alters life history and increases the relative fecundity of crop–wild radish hybrids (Raphanus spp.). New Phytol. 2007, 173, 648–660. [Google Scholar] [CrossRef]
- Dwivedi, S.L.; Ceccarelli, S.; Blair, M.W.; Upadhyaya, H.D.; Are, A.K.; Ortiz, R. Landrace germplasm for improving yield and abiotic stress adaptation. Trends Plant Sci. 2016, 21, 31–42. [Google Scholar] [CrossRef]
- GRIN Czech Release 1.10.3. Plant Genetic Resources Documentation System of the Czech Republic. Available online: https://grinczech.vurv.cz/gringlobal/search.aspx (accessed on 14 December 2022).
- Descriptor List for Lactuca sativa L. Plant Genetic Resources in the Czech Republic. Available online: https://www.gzr.cz/klasifikatory/ (accessed on 14 December 2022).
- O’Donoghue, E.M.; Somerfield, S.D.; Shaw, M.; Bendall, M.; Hedderly, D.; Eason, J.; Sims, I. Evaluation of carbohydrates in Pukekohe Longkeeper and Grano cultivars of Allium cepa. J. Agric. Food Chem. 2004, 52, 5383–5390. [Google Scholar] [CrossRef]
- Carvalho, A.P.; Malcata, F.X. Optimization of omega-3 fatty acid production by microalgae: Crossover effects of CO2 and light intensity under batch and continuous cultivation modes. Mar. Biotechnol. 2005, 7, 381–388. [Google Scholar] [CrossRef]
- Abdelhakim, L.O.A.; Mendanha, T.; Palma, C.F.F.; Vrobel, O.; Štefelová, N.; Ćavar Zeljković, S.; Tarkowski, P.; De Diego, N.; Wollenweber, B.; Rosenqvist, E.; et al. Elevated CO2 improves the physiology but not the final yield in spring wheat genotypes subjected to heat and drought stress during anthesis. Front. Plant Sci. 2022, 13, 824476. [Google Scholar] [CrossRef]
- Ćavar Zeljković, S.; Šišková, J.; Komzáková, K.; De Diego, N.; Kaffková, K.; Tarkowski, P. Phenolic compounds and biological activity of selected Mentha species. Plants 2021, 10, 550. [Google Scholar] [CrossRef]
- Santos, J.; Mendiola, J.A.; Oliveira, M.B.; Ibáñez, E.; Herrero, M. Sequential determination of fat- and water-soluble vitamins in green leafy vegetables during storage. J. Chromatogr. A 2012, 1261, 179–188. [Google Scholar] [CrossRef] [PubMed]
- Facevicová, K.; Hron, K.; Todorov, V.; Templ, M. Compositional tables analysis in coordinates: Compositional tables analysis in coordinates. Scand. J. Stat. 2016, 43, 962–977. [Google Scholar] [CrossRef]
- Facevicová, K.; Hron, K.; Todorov, V.; Templ, M. General approach to coordinate representation of compositional tables. Scand. J. Stat. 2018, 45, 879–899. [Google Scholar] [CrossRef]
- Kynclová, P.; Filzmoser, P.; Hron, K. Compositional biplots including external non-compositional variables. Statistics 2016, 50, 1132–1148. [Google Scholar] [CrossRef]
- ECPGR. Minimum Descriptors for Leafy Vegetables: Cultivated Lettuce, Wild Lactuca spp., Spinach, Leaf Chicory, Witloof, Endive, Root Chicory; ECPGR: Brussels, Belgium, 2009; Available online: https://www.ecpgr.cgiar.org/fileadmin/templates/ecpgr.org/upload/NW_and_WG_UPLOADS/LeafyVeg_misc/LeafyVeg_MinDescr.pdf (accessed on 16 December 2022).
- Hýbl, M.; Doležalová, I.; Stavělíková, H.; Kopecký, P.; Neugebauerová, J. Sekce Zelenin H. A. In Přehled a Popis Odrůd Zemědělských Plodin od Počátku Československého a Českého Šlechtění do Roku 2000. I. Polní a Zahradní Plodiny Mimo Ovocných Dřevin; Holubec, V., Ed.; VÚRV, v.v.i.: Praha, Czech Republic, 2017; pp. 205–318. [Google Scholar]
- Mou, B. Lettuce. In Handbook of Plant Breeding, Volume I: Vegetables I: Asteraceae, Brassicaceae, Chenopodicaceae, and Cucurbitaceae; Prohens, J., Nuez, F., Eds.; Springer: New York, NY, USA, 2008; pp. 75–116. [Google Scholar]
- Chadwick, M.; Gawthrop, F.; Michelmore, R.W.; Wagstaff, C.; Methven, L. Perception of bitterness, sweetness and liking of different genotypes of lettuce. Food Chem. 2016, 197, 66–74. [Google Scholar] [CrossRef]
- Le Guedard, M.; Schraauwers, B.; Larrieu, I.; Bessoule, J.J. Development of a biomarker for metal bioavailability: The lettuce fatty acid composition. Environ. Toxicol. Chem. 2008, 27, 1147–1151. [Google Scholar] [CrossRef]
- Ćavar Zeljković, S.; Aucique-Perez, C.E.; Stefelova, N.; De Diego, N. Optimizing growing conditions for hydroponic farming of selected medicinal and aromatic plants. Food Chem. 2022, 375, 131845. [Google Scholar] [CrossRef]
- Sami, F.; Yusuf, M.; Faizan, M.; Faraz, A.; Hayat, S. Role of sugars under abiotic stress. Plant Physiol. Biochem. 2016, 109, 54–61. [Google Scholar] [CrossRef]
- Rosa, M.; Prado, C.; Podazza, G.; Interdonato, R.; González, J.A.; Hilal, M.; Prado, F.E. Soluble sugars-metabolism, sensing and abiotic stress: A complex network in the life of plants. Plant Signal Behav. 2009, 4, 388–393. [Google Scholar] [CrossRef]
- Toscano, S.; Trivellini, A.; Cocetta, G.; Bulgari, R.; Francini, A.; Romano, D.; Ferrante, A. Effect of preharvest abiotic stresses on the accumulation of bioactive compounds in horticultural produce. Front. Plant Sci. 2019, 10, 1212. [Google Scholar] [CrossRef]
- He, M.; Ding, N.Z. Plant unsaturated fatty acids: Multiple roles in stress response. Front Plant Sci. 2020, 11, 562785. [Google Scholar] [CrossRef]
- Sgherri, C.; Pérez-López, U.; Micaelli, F.; Miranda-Apodaca, J.; Mena-Petite, A.; Muñoz-Rueda, A.; Quartacci, M.F. Elevated CO2 and salinity are responsible for phenolics-enrichment in two differently pigmented lettuces. Plant Physiol. Biochem. 2017, 115, 269–278. [Google Scholar] [CrossRef]
- Oh, M.M.; Carey, E.E.; Rajashekar, C.B. Regulated water deficits improve phytochemical concentration in lettuce. J. Am. Soc. Hortic. Sci. 2010, 135, 223–229. [Google Scholar] [CrossRef]
- Akram, N.A.; Shafiq, F.; Ashraf, M. Ascorbic acid—A potential oxidant scavenger and its role in plant development and abiotic stress tolerance. Front. Plant Sci. 2017, 8, 613. [Google Scholar] [CrossRef]
- García-García, A.L.; García-Machado, F.J.; Borges, A.A.; Morales-Sierra, S.; Boto, A.; Jiménez-Arias, D. Pure organic active compounds against abiotic stress: A biostimulant overview. Front. Plant Sci. 2020, 11, 575829. [Google Scholar] [CrossRef]
- Hanson, A.D.; Beaudoin, G.A.; McCarty, D.R.; Gregory, J.F., 3rd. Does abiotic stress cause functional B vitamin deficiency in plants? Plant Physiol. 2016, 172, 2082–2097. [Google Scholar] [CrossRef]
- Fitzpatrick, T.B.; Chapman, L.M. The importance of thiamine (vitamin B1) in plant health: From crop yield to biofortification. J. Biol. Chem. 2020, 295, 12002–12013. [Google Scholar] [CrossRef]
- Huang, S.; Zhang, J.; Wang, L.; Huang, L. Effect of abiotic stress on the abundance of different vitamin B6 vitamers in tobacco plants. Plant Physiol. Biochem. 2013, 66, 63–67. [Google Scholar] [CrossRef]





| ECN | Variety | Morphotype | Status |
|---|---|---|---|
| 09H5700021 | Altenbursky | butterhead for overwintering | traditional cultivar |
| 09H5700047 | Kamenac | butterhead | landrace |
| 09H5700712 | Jupiter | butterhead | advanced/improved cultivar |
| 09H5700835 | Dubacek | cutting | advanced/improved cultivar |
| 09H5700841 | Prazan | crisphead | advanced/improved cultivar |
| 09H5701144 | Robin | leaf red | advanced/improved cultivar |
| Crop Trait | Phenotypical Expression of Crop Trait | |||||
|---|---|---|---|---|---|---|
| Altenbursky | Kamenac | Jupiter | Dubacek | Prazan | Robin | |
| Young leaf | ||||||
| Anthocyanin distribution | entire blade surface | absent | absent | absent | absent | entire blade surface |
| Anthocyanin pattern | diffused | nd | nd | nd | nd | diffused |
| Shape of blade | broad elliptic | orbicular | elliptic | orbicular | orbicular | spathulate |
| Division of blade | none | none | none | pinnatipart (<2/3) | none | pinnatipart (<2/3) |
| Venation | pinnate | pinnate | pinnate | pinnate | pinnate | pinnate |
| Outer adult leaf | ||||||
| Colour | green | green | green | green | green | red and green |
| Anthocyanin distribution | entire blade surface | absent | absent | absent | absent | entire blade surface |
| Anthocyanin pattern | in spots | nd | nd | nd | nd | in spots |
| Blistering | moderate | moderate | slight | none | extensive | slight |
| Size of head and/or rosette | medium (25–40 cm) | small (<25 cm) | medium (25–40 cm) | medium (25–40 cm) | medium (25–40 cm) | large (>40 cm) |
| Leaf head | ||||||
| Shape in vertical section | elliptic | orbicular | orbicular | nd | broad elliptic | nd |
| Overlapping of leaves | partial | partial | partial | none | partial | none |
| Firmness | medium | high | medium | nd | medium | nd |
| Stem length including inflorescence | medium (50–80 cm) | medium (50–80 cm) | medium (50–80 cm) | medium (50–80 cm) | high (>80 cm) | high (>80 cm) |
| Fruit seed coat color | grey white | brown | grey white | grey white | grey white | brown |
| Bolting (days after sowing) | late (>70) | late (>70) | late (>70) | late (>70) | late (>70) | late (>70) |
| Flowering (days after sowing) | late (>80) | late (>80) | late (>80) | late (>80) | late (>80) | late (>80) |
| nd—not determined. | ||||||
Disclaimer/Publisher’s Note: The statements, opinions and data contained in all publications are solely those of the individual author(s) and contributor(s) and not of MDPI and/or the editor(s). MDPI and/or the editor(s) disclaim responsibility for any injury to people or property resulting from any ideas, methods, instructions or products referred to in the content. |
© 2023 by the authors. Licensee MDPI, Basel, Switzerland. This article is an open access article distributed under the terms and conditions of the Creative Commons Attribution (CC BY) license (https://creativecommons.org/licenses/by/4.0/).
Share and Cite
Ćavar Zeljković, S.; Štefelová, N.; Hron, K.; Doležalová, I.; Tarkowski, P. Preharvest Abiotic Stress Affects the Nutritional Value of Lettuce. Agronomy 2023, 13, 398. https://doi.org/10.3390/agronomy13020398
Ćavar Zeljković S, Štefelová N, Hron K, Doležalová I, Tarkowski P. Preharvest Abiotic Stress Affects the Nutritional Value of Lettuce. Agronomy. 2023; 13(2):398. https://doi.org/10.3390/agronomy13020398
Chicago/Turabian StyleĆavar Zeljković, Sanja, Nikola Štefelová, Karel Hron, Ivana Doležalová, and Petr Tarkowski. 2023. "Preharvest Abiotic Stress Affects the Nutritional Value of Lettuce" Agronomy 13, no. 2: 398. https://doi.org/10.3390/agronomy13020398
APA StyleĆavar Zeljković, S., Štefelová, N., Hron, K., Doležalová, I., & Tarkowski, P. (2023). Preharvest Abiotic Stress Affects the Nutritional Value of Lettuce. Agronomy, 13(2), 398. https://doi.org/10.3390/agronomy13020398

