Effect of Soil Aeration and Root Morphology on Yield under Aerated Irrigation
Abstract
1. Introduction
2. Materials and Methods
2.1. Experimental Site
2.2. Experimental Materials and Management
2.3. Experimental Design
2.4. Test Indexes and Methods
2.4.1. Root System Indicators
2.4.2. Soil Water Dissolved Oxygen Content
2.4.3. Soil Respiration Rate
2.4.4. Yield and Economic Benefits
2.5. Grey Correlation Analysis
2.6. Statistical Analysis
3. Results
3.1. Dissolved Oxygen (DO) in Soils Water
3.2. The Soil Respiration Rate
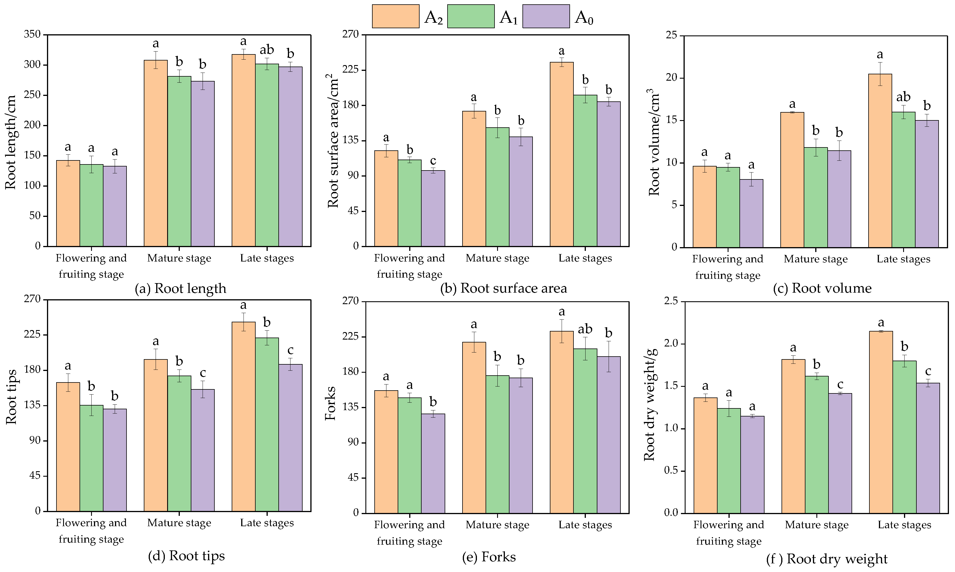
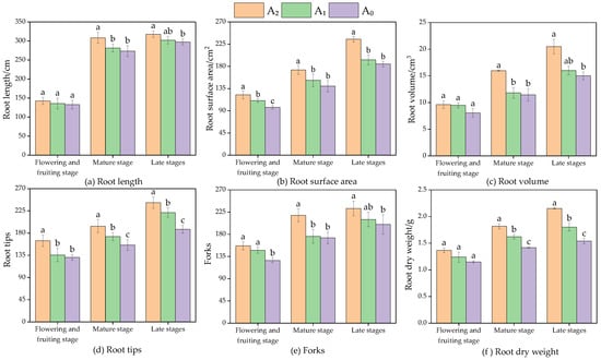
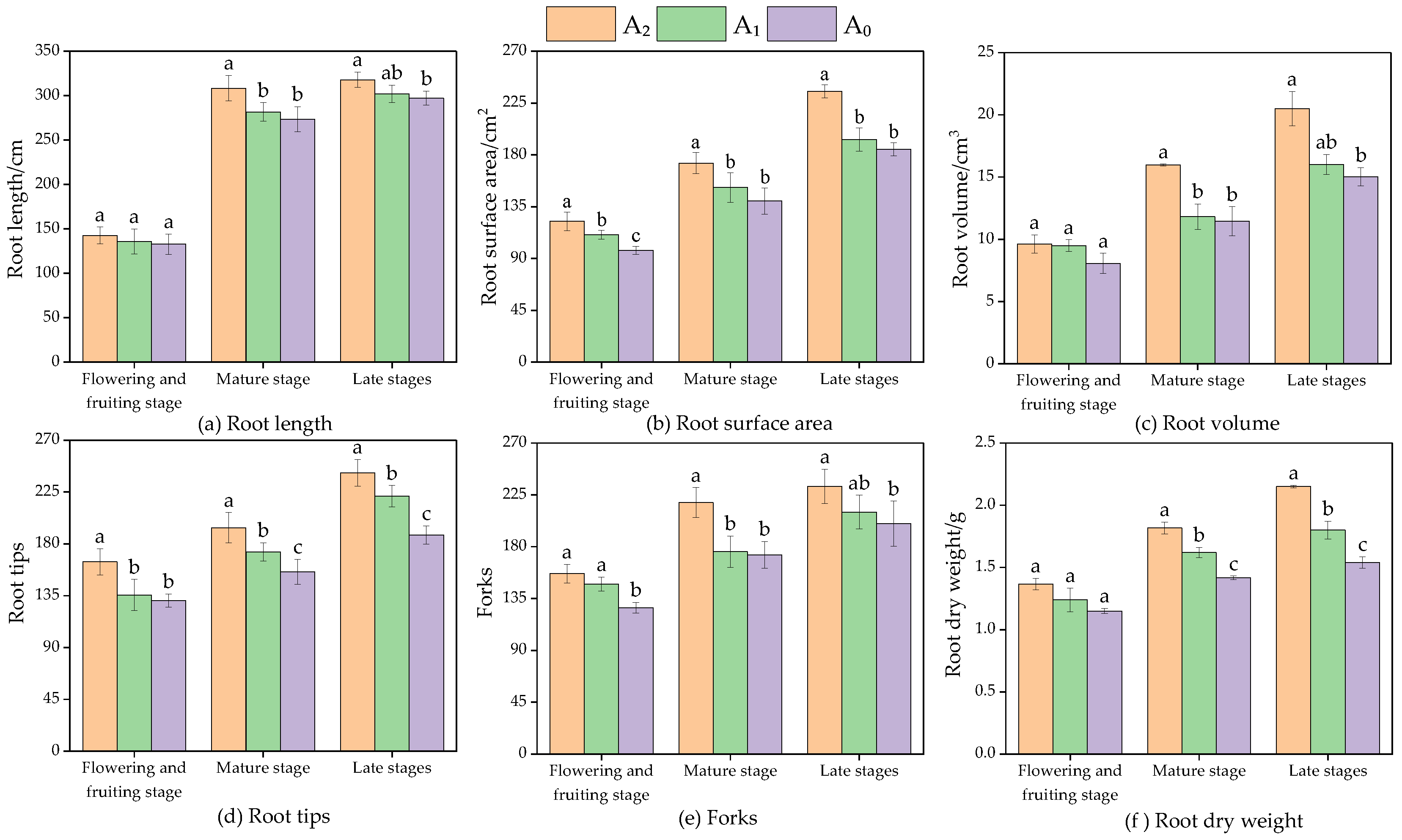
3.3. The Root Morphology
3.4. Simple Correlation Analysis
3.5. Canonical Correlation Analysis (CCA)
3.6. Grey Correlation Analysis
3.7. Economic Benefit Analysis of Cucumber under Various AI Treatments
4. Discussion
4.1. Effect of Aerated-Irrigation on Soil Aeration and Root Morphology
4.2. Effect of Soil Aeration Index and Root Morphology on Yield
4.3. Yield and Economic Benefits
5. Conclusions
Author Contributions
Funding
Institutional Review Board Statement
Informed Consent Statement
Data Availability Statement
Acknowledgments
Conflicts of Interest
References
- Silberbush, M.; Gornat, B.; Goldberg, D. Effect of irrigation from a point source(trickling) on oxygen flux and on root extension in the soil. Plant Soil 1979, 52, 507–514. [Google Scholar] [CrossRef]
- Bhattarai, S.P.; Midmore, D.J.; Pendergast, L. Yield, water-use efficiencies and root distribution of soybean, chickpea and pumpkin under different subsurface drip irrigation depths and oxygation treatments in vertisols. Irrigation. Sci. 2008, 26, 439–450. [Google Scholar] [CrossRef]
- Shahar, B.; Maya, W.; Evans, J.F.; Anna, B.; Yael, S.; Meni, B.H.; Nirit, B.; Hadas, M. Drip irrigation with nanobubble oxygenated treated wastewater improves soil aeration. Sci. Hortic.-Amst. 2022, 291, 110550. [Google Scholar]
- Bradford, K.J.; Hsiao, T.C. Stomatal behavior and water relations of waterlogged tomato plants. Plant. Physiol. 1982, 70, 1508–1513. [Google Scholar] [CrossRef]
- Horchani, F.; Aloui, A.; Brouquisse, R.; Aschi-Smiti, S. Physiological responses of tomato plants (Solanum lycopersicum) as affected by root hypoxia. J. Agron. Crop. Sci. 2008, 194, 297–303. [Google Scholar] [CrossRef]
- Bhattarai, S.P.; Dhungel, J.; Midmore, D.J. Oxygation improves yield and quality and minimizes internal fruit crack of cucurbits on a heavy clay soil in the semiarid tropics. J. Agric. Sci. 2010, 2, 17–25. [Google Scholar]
- Jin, C.C.; Pan, H.W.; Lei, H.J.; Xiao, Z.Z.; Sun, K.P. Effects of aerated irrigation and nitrogen application on tomato yield and nitrogen absorption in greenhouse environment. Fresenius. Envron. Bull. 2022, 31, 8150–8160. [Google Scholar]
- Liu, Y.X.; Zhou, Y.P.; Wang, T.Z.; Pan, J.C.; Zhou, B.; Muhammad, T.; Zhou, C.F.; Li, Y.K. Micro-nano bubble water oxygation: Synergistically improving irrigation water use efficiency, crop yield and quality. J. Clean. Prod. 2019, 222, 835–843. [Google Scholar] [CrossRef]
- Zhu, Y.; Miles, D.; Cai, H.j.; Song, L.b.; Chen, H. The effects of aerated irrigation on soil respiration, oxygen, and porosity. J. Integr. Ag. 2019, 18, 2854–2868. [Google Scholar] [CrossRef]
- Sang, H.; Jiao, X.; Wang, S.F.; Guo, W.H.; Salahou, M.K.; Liu, K.H. Effects of micro-nano bubble aerated irrigation and nitrogen fertilizer level on tillering, nitrogen uptake and utilization of early rice. Plant. Soil. Environ. 2018, 64, 297–302. [Google Scholar] [CrossRef]
- Zhu, L.; Yu, S.; Jin, Q. Effects of aerated irrigation on leaf senescence at late growth stage and grain yield of rice. Rice. Sci. 2012, 19, 44–48. [Google Scholar] [CrossRef]
- Bhattarai, S.P.; Huber, S.; Midmore, D.J. Aerated subsurface irrigation water gives growth and yield benefits to zucchini, vegetable soybean and cotton in heavy clay soils. Ann. Appl. Biol. 2004, 144, 285–298. [Google Scholar] [CrossRef]
- Li, Y.; Niu, W.Q.; Zhang, M.Z.; Wang, J.W.; Zhang, Z.X. Artificial soil aeration increases soil bacterial diversity and tomato root performance under greenhouse conditions. Land. Degrad. Dev. 2020, 31, 1443–1461. [Google Scholar] [CrossRef]
- Cui, B.J.; Niu, W.Q.; Du, Y.D.; Zhang, Q. Response of yield and nitrogen use efficiency to aerated irrigation and N application rate in greenhouse cucumber. Sci. Hortic.-Amst. 2020, 265, 109220. [Google Scholar] [CrossRef]
- Zang, O.Y.; Tian, J.C.; Yan, X.F.; Shen, H. Effects of different concentrations of dissolved oxygen or temperatures on the growth, photosynthesis, yield and quality of lettuce-Science Direct. Agric. Water Manag. 2019, 228, 105896. [Google Scholar]
- Du, Y.D.; Cao, H.X.; Liu, S.Q.; Gu, X.B.; Cao, Y.X. Response of yield, quality, water and nitrogen use efficiency of tomato to different levels of water and nitrogen under drip irrigation in Northwestern China. J. Integr. Agric. 2017, 16, 1153–1161. [Google Scholar] [CrossRef]
- Baram, S.; Evans, J.F.; Berezkin, A.; Ben-Hur, M. Irrigation with treated wastewater containing nanobubbles to aerate soils and reduce nitrous oxide emissions. J. Clean. Prod. 2020, 280, 124509. [Google Scholar] [CrossRef]
- Zang, M.; Lei, H.J.; Pan, H.W.; Liu, H.; Xu, J.X. Aerated subsurface drip irrigation improving soil aeration and tomato growth. Trans. Chin. Soc. Agric. Mach. Eng. 2018, 34, 109–118. (In Chinese) [Google Scholar]
- Du, Y.D.; Zhang, Q.; Cui, B.J.; Sun, J.; Wang, Z.; Ma, L.H.; Niu, W.Q. Aerated irrigation improves tomato yield and nitrogen use efficiency while reducing nitrogen application rate. Agric. Water Manag. 2020, 235, 106152. [Google Scholar] [CrossRef]
- Zhang, Z.; Li, M.N.; Yang, Z.; Cai, Z.L.; Hong, T.T. Comprehensive regulation of water and fertilizer coupling based on multi-index collaboration of strawberry. Trans. Chin. Soc. Agric. Mach. 2020, 51, 267–276. (In Chinese) [Google Scholar]
- Wang, C.H.; Zhang, Y.Z.; Wang, H.; Zheng, W.J.; Zhao, J.M. Canonical correction analysis on relationship between yield traits and main quality traits of japonica hybrid rice in north China. Southwest Chin. J. Agric. Sci. 2012, 25, 781–785. (In Chinese) [Google Scholar]
- Zou, J.; Zhang, J.Q.; Long, Y.; Chen, K.; Long, J. Grey relational analysis based on the production and main agronomic traits in 20 freshly edible cron varieties. Seed 2019, 38, 138–142. (In Chinese) [Google Scholar]
- Bhattarai, S.P.; Pendergast, L.; Midmore, D.J. Root aeration improves yield and water use efficiency of tomato in heavy clay and saline soils. Sci. Hortic.-Amst. 2006, 108, 278–288. [Google Scholar] [CrossRef]
- Zhou, Y.P.; Bastida, F.; Zhou, B.; Sun, Y.F.; Gu, T.; Li, S.Q.; Li, Y.K. Soil fertility and crop production are fostered by micro-nano bubble irrigation with associated changes in soil bacterial community. Soil. Biol. Biochen. 2020, 141, 107663. [Google Scholar] [CrossRef]
- Qiu, R.J.; Du, T.S.; Kang, S.Z.; Chen, R.Q.; Wu, L.S. Assessing the SIMDualKc model for estimating evapotranspiration of hot pepper grown in a solar greenhouse in Northwest China. Agric. Syst. 2015, 138, 1–9. [Google Scholar] [CrossRef]
- Adams, S.; Cockshull, K.; Cave, C. Effect of temperature on the growth and development of tomato fruits. Ann. Bot. 2001, 88, 869–877. [Google Scholar] [CrossRef]
- Zhu, J.J.; Niu, W.Q.; Zhang, Z.H.; Siddique, K.H.M.; Sun, D.; Yang, R.Y. Distinct roles for soil bacterial and fungal communities associated with the availability of carbon and phosphorus under aerated drip irrigation. Agric. Water Manag. 2022, 274, 107925. [Google Scholar] [CrossRef]
- Pendergast, L.; Bhattarai, S.P.; Midmore, D.J. Evaluation of aerated subsurface drip irrigation on yield, dry weight partitioning and water use efficiency of a broad-acre chickpea (Cicer arietinum, L.) in a vertosol. Agric. Water Manag. 2019, 217, 38–46. [Google Scholar] [CrossRef]
- Armstrong, W.; Beckett, P.M.; Colmer, T.D.; Setter, T.L.; Greenway, H. Tolerance of roots to low oxygen: ‘anoxic’ cores, the phytoglobin-nitric oxide cycle, and energy or oxygen sensing. J. Plant. Physiol. 2019, 239, 92–108. [Google Scholar] [CrossRef]
- Chen, X.M.; Dhungel, J.; Bhattarai, S.P.; Torabi, M.; Pendergast, L.; Midmore, D.J. Impact of oxygation on soil respiration, yield and water use efficiency of three crop species. J. Plant. Ecol. 2011, 4, 236–248. [Google Scholar] [CrossRef]
- Botta, G.F.; Tolón, B.A.; Bienveni, D.F.; David, R.; Daniel, A.L.; Alejandar, E.C.; Enrique, E.C. Sunflower (Helianthus annuus L.) harvest: Tractor and grain chaser traffic effects on soil compaction and crop yields. Land. Degerad. Dev. 2018, 29, 4252–4261. [Google Scholar] [CrossRef]
- Wei, C.L.; Zhu, Y.; Zhang, J.Z.; Wang, Z.H. Evaluation of Suitable Mixture of Water and Air for Processing Tomato in Drip Irrigation in Xinjiang Oasis. Sustainability 2021, 13, 7845. [Google Scholar] [CrossRef]
- Li, Y.; Niu, W.Q.; Dyck, M.; Wang, J.W.; Zou, X.Y. Yields and nutritional of greenhouse tomato in response to different soil aeration volume at two depths of subsurface drip irrigation. Sci. Rep. 2016, 6, 39307. [Google Scholar] [CrossRef] [PubMed]
- Boyer, J.S. Plant Productivity and Environment. Science 1982, 218, 443–448. [Google Scholar] [CrossRef]
- Yu, Z.Z.; Wang, C.; Zou, H.F.; Wang, H.X.; Li, H.L.; Sun, H.T.; Yu, D.S. The Effects of Aerated Irrigation on Soil Respiration and the Yield of the Maize Root Zone. Sustainability 2022, 14, 4378. [Google Scholar] [CrossRef]
- Li, Y.; Niu, W.Q.; Wang, J.W.; Liu, L.; Zhang, M.Z.; Xu, J. Effects of artificial soil aeration volume and frequency on soil enzyme activity and microbial abundance when cultivating greenhouse tomato. Soil. Sci. Soc. Am. J. 2016, 80, 1208–1221. [Google Scholar] [CrossRef]
- Zhou, Y.P.; Zhou, B.; Xu, F.P.; Muhammad, T.; Li, Y.K. Appropriate dissolved oxygen concentration and application stage of micro-nano bubble water oxygation in greenhouse crop plantation. Agric. Water Manag. 2019, 223, 105713. [Google Scholar] [CrossRef]
- Li, Y.; Jia, Z.X.; Niu, W.Q.; Wang, J.W. Impact of post-infiltration soil aeration at different growth stages of sub-surface trickle-irrigated tomato plants. Int. Agrophys. 2016, 30, 331–337. [Google Scholar] [CrossRef]
- Zhu, Y.; Cai, H.J.; Song, L.B.; Chen, H. Impacts of oxygation on plant growth, yield and fruit quality of tomato. Trans. Chin. Soc. Agric. Mach. 2017, 48, 199–211. (In Chinese) [Google Scholar]
- Guo, S.R.; Wang, T.; Ma, Y.H. The relationships between respiratory activity and low dissolved O2 tolerance of cucumber and tomato root systems. Proc. Fifth Youth Sym. Chin. Hor. Soc. 2002, 5, 593–598. (In Chinese) [Google Scholar]
- Niu, W.Q.; Fan, W.T.; Persaud, N.; Zhou, X.B. Effect of post-irrigation aeration on growth and quality of greenhouse cucumber. Pedosphere 2013, 23, 790–798. [Google Scholar] [CrossRef]
- Liu, H.B.; Chen, H.; Fu, L.B.; Yin, M.; Chen, J.F.; Hong, L.F. Effect of nitrogen and phosphorus Fertilizer Application rate on yield and Economic benefit of cucumber under drip irrigation and irrigation. Jiangsu Agric. Sci. 2014, 42, 123–124. (In Chinese) [Google Scholar]
- Du, Y.D. Effects of Aerated Irrigation and Nitrogen Application on Greenhouse Tomato Soil Environment and Nitrogen Use Efficiency; Northwest A&F University: Yangling, China, 2020. [Google Scholar]
- Hu, D.Y.; Yao, B.G.; Su, N.H. Effect of aerated irrigation on physiological and biochemical characteristics of autumn cucumber root. J. Irri. Drai. 2015, 34, 65–68. (In Chinese) [Google Scholar]









| Soil Layer /cm | pH | Bulk Density /(g cm−3) | Field Water Holding Capacity/% | Saturated Water Content/% | Soil Particle Density/(g cm−3) | NO3−-N /(mg kg−1) | NH4+-N /(mg kg−1) |
|---|---|---|---|---|---|---|---|
| 0–20 | 7.94 | 1.23 | 38.51 | 42.99 | 2.72 | 82.14 | 10.81 |
| 20–40 | 8.16 | 1.51 | 37.16 | 43.16 | 44.85 | 11.08 | |
| 40–60 | 8.25 | 1.64 | 36.57 | 41.68 | 19.22 | 19.28 |
| Index Classification | Number | Factor | Index Encoding |
|---|---|---|---|
| soil aeration | 1 | Soil respiration rate | x1 |
| 2 | DO | x2 | |
| apparent index | 3 | Yield | y1 |
| 4 | Root length | y2 | |
| 5 | Root surface area | y3 | |
| 6 | Root volume | y4 | |
| 7 | Root tips | y5 | |
| 8 | Root forks | y6 | |
| 9 | Root dry weight | y7 |
| Collection | Eigenvalue | Wilks Statistic | F | Num D. F | Den D. F | Sig. | |
|---|---|---|---|---|---|---|---|
| 1 | 0.994 | 89.440 | 0.003 | 7.889 | 14.000 | 6.000 | 0.009 |
| 2 | 0.872 | 3.164 | 0.240 | 2.110 | 6.000 | 4.000 | 0.245 |
| Variable | Typical Correlation Variables | |
|---|---|---|
| Standardized Typical Coefficients | Correlation Coefficient | |
| x1 | −0.156 | 0.629 |
| x2 | 1.105 | 0.994 |
| Variable | Typical Correlation Variables | |
|---|---|---|
| Standardized Typical Coefficients | Correlation Coefficient | |
| y1 | 1.066 | 0.768 |
| y2 | −0.159 | 0.571 |
| y3 | −2.852 | 0.686 |
| y4 | 1.598 | 0.685 |
| y5 | −0.304 | 0.769 |
| y6 | 1.067 | 0.694 |
| y7 | 0.709 | 0.883 |
| Treatment | Yield/ (t ha−1) | Yield Value/ 104 USD ha−1 | Agricultural Inputs/ 104 USD ha−1 | Other Inputs/ 104 USD ha−1 | Total Inputs/ 104 USD ha−1 | Net Income/ 104 USD ha−1 | Benefit Relative to Control/104 USD ha−1 |
|---|---|---|---|---|---|---|---|
| A2 | 53.04 a | 4.72 | 0.31 | 0.46 | 0.77 | 3.95 | 0.27 |
| A1 | 50.87 b | 4.52 | 0.31 | 0.46 | 0.77 | 3.75 | 0.07 |
| A0 | 49.18 b | 4.37 | 0.31 | 0.39 | 0.70 | 3.68 | 0 |
Disclaimer/Publisher’s Note: The statements, opinions and data contained in all publications are solely those of the individual author(s) and contributor(s) and not of MDPI and/or the editor(s). MDPI and/or the editor(s) disclaim responsibility for any injury to people or property resulting from any ideas, methods, instructions or products referred to in the content. |
© 2023 by the authors. Licensee MDPI, Basel, Switzerland. This article is an open access article distributed under the terms and conditions of the Creative Commons Attribution (CC BY) license (https://creativecommons.org/licenses/by/4.0/).
Share and Cite
Jin, C.; Lei, H.; Chen, J.; Xiao, Z.; Leghari, S.J.; Yuan, T.; Pan, H. Effect of Soil Aeration and Root Morphology on Yield under Aerated Irrigation. Agronomy 2023, 13, 369. https://doi.org/10.3390/agronomy13020369
Jin C, Lei H, Chen J, Xiao Z, Leghari SJ, Yuan T, Pan H. Effect of Soil Aeration and Root Morphology on Yield under Aerated Irrigation. Agronomy. 2023; 13(2):369. https://doi.org/10.3390/agronomy13020369
Chicago/Turabian StyleJin, Cuicui, Hongjun Lei, Jian Chen, Zheyuan Xiao, Shah Jahan Leghari, Tianyou Yuan, and Hongwei Pan. 2023. "Effect of Soil Aeration and Root Morphology on Yield under Aerated Irrigation" Agronomy 13, no. 2: 369. https://doi.org/10.3390/agronomy13020369
APA StyleJin, C., Lei, H., Chen, J., Xiao, Z., Leghari, S. J., Yuan, T., & Pan, H. (2023). Effect of Soil Aeration and Root Morphology on Yield under Aerated Irrigation. Agronomy, 13(2), 369. https://doi.org/10.3390/agronomy13020369

