Evaluation of Sustainable Strategies for Mechanical Under-Row Weed Control in the Vineyard
Abstract
:1. Introduction
2. Materials and Methods
2.1. Site Characteristics
2.2. Experimental Layout and Implements Employed
The Implements
2.3. Data Collection
2.4. Statistical Analysis
3. Results
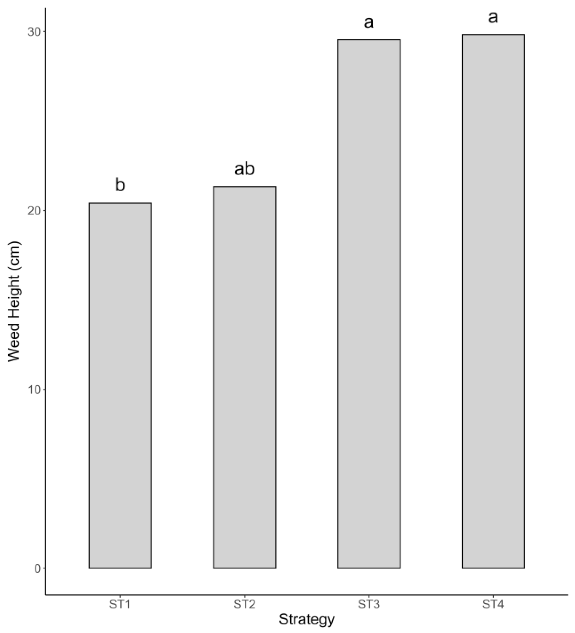
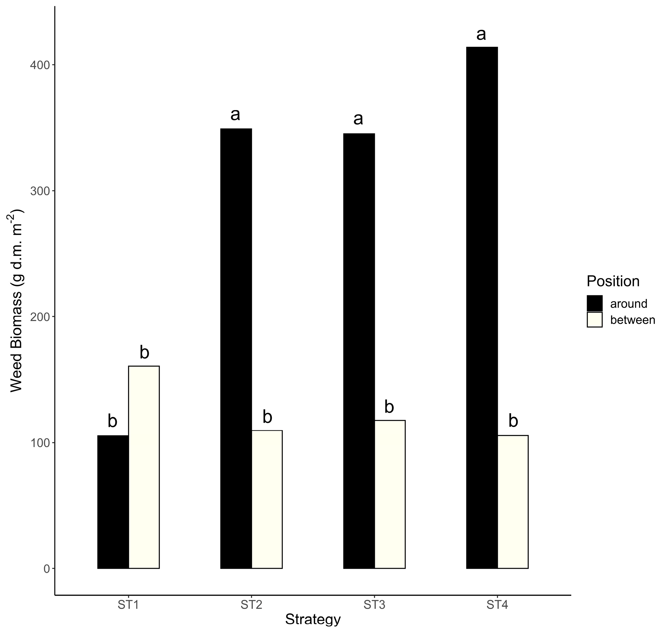
3.1. Comparison of the Weed Control Effects of the Strategies
3.2. Strategies’ Operative Performances
4. Discussion
5. Conclusions
Author Contributions
Funding
Data Availability Statement
Acknowledgments
Conflicts of Interest
References
- El Bilali, H.; Strassner, C.; Ben Hassen, T. Sustainable Agri-Food Systems: Environment, Economy, Society, and Policy. Sustainability 2021, 13, 6260. [Google Scholar] [CrossRef]
- Qasemi, M.; Allahyari, M.S.; Ben Hassen, T.; Askari, M.I.; El Bilali, H. Cultivating Change: Perceptions and Attitudes of Agricultural Experts towards the Sustainable Development Goals. Land 2023, 12, 1604. [Google Scholar] [CrossRef]
- OIV (Organizzazione Internazionale Della Vigna e Del Vino) Nota Di Congiuntura Del Settore Vitivinicolo Mondiale Nel 2022. Available online: https://www.oiv.int/sites/default/files/documents/OIV_Nota_di_congiuntura_del_settore_vitivinicolo_mondiale_nel_2022_0.pdf (accessed on 15 September 2023).
- Pala, F. The Effect of Different Weed Management on Weeds and Grape Yield in Vineyards. Fresenius Environ. Bull. 2020, 29, 766–772. [Google Scholar]
- Magni, S.; Sportelli, M.; Grossi, N.; Volterrani, M.; Minelli, A.; Pirchio, M.; Fontanelli, M.; Frasconi, C.; Gaetani, M.; Martelloni, L.; et al. Autonomous Mowing and Turf-Type Bermudagrass as Innovations for An Environment-Friendly Floor Management of a Vineyard in Coastal Tuscany. Agriculture 2020, 10, 189. [Google Scholar] [CrossRef]
- Balsari, P.; Demeneghi, M.; Manzone, M.; Marucco, P. Comparison between Different Techniques for Weed Control in Vineyards. Asp. Appl. Biol. 2018, 137, 109–115. [Google Scholar]
- Hanson, B.D.; Roncoroni, J.; Hembree, K.J.; Molinar, R.; Elmore, C.L. Weed Control in Orchards and Vineyards. In Encyclopedia of Applied Plant Sciences; Academic Press: New York, NY, USA, 2016; pp. 479–484. [Google Scholar]
- Alcorta, M.; Fidelibus, M.W.; Steenwerth, K.L.; Shrestha, A. Competitive Effects of Glyphosate-Resistant and Glyphosate-Susceptible Horseweed (Conyza canadensis) on Young Grapevines (Vitis vinifera). Weed Sci. 2011, 59, 489–494. [Google Scholar] [CrossRef]
- Grella, M.; Marucco, P.; Balafoutis, A.T.; Balsari, P. Spray Drift Generated in Vineyard during Under-Row Weed Control and Suckering: Evaluation of Direct and Indirect Drift-Reducing Techniques. Sustainability 2020, 12, 5068. [Google Scholar] [CrossRef]
- Guler, H.; Zhu, H.; Ozkan, H.E.; Derksen, R.C.; Yu, Y.; Krause, C.R. Krause Spray Characteristics and Drift Reduction Potential with Air Induction and Conventional Flat-Fan Nozzles. Trans. ASABE 2007, 50, 745–754. [Google Scholar] [CrossRef]
- Foster, H.C.; Sperry, B.P.; Reynolds, D.B.; Kruger, G.R.; Claussen, S. Reducing Herbicide Particle Drift: Effect of Hooded Sprayer and Spray Quality. Weed Technol. 2018, 32, 714–721. [Google Scholar] [CrossRef]
- Centner, T.J.; Russell, L.; Mays, M. Viewing Evidence of Harm Accompanying Uses of Glyphosate-Based Herbicides under US Legal Requirements. Sci. Total Environ. 2019, 648, 609–617. [Google Scholar] [CrossRef]
- Facchinetti, D.; Bacenetti, J.; Eleonora Galli, L.; Luis Ruiz, G.; Pessina, D. Operative and Environmental Performance of a Hot-Foam Machine for the Herbicide-Free Weeding of the Vineyard. Riv. Studi Sulla Sostenibilita’ 2020, 2, 363–374. [Google Scholar] [CrossRef]
- Shrestha, A.; Kurtural, S.K.; Fidelibus, M.W.; Dervishian, G.; Konduru, S. Efficacy and Cost of Cultivators, Steam, or an Organic Herbicide for Weed Control in Organic Vineyards in the San Joaquin Valley of California. HortTechnology 2013, 23, 99–108. [Google Scholar] [CrossRef]
- Yezekyan, T.; Olt, J. Vineyard Floor Management with Novel Free-Active Inter-Row Tiller. In Proceedings of the 15th Internal Scientific Conference Engineering for Rural Development, Jelgava, Latvia, 25–27 May 2016. [Google Scholar]
- Moretti, M. Mechanical Weed Control under the Vine. Available online: https://smallgrains.wsu.edu/weeders-of-the-west/2021/07/14/mechanical-weed-control-under-the-vine/ (accessed on 16 September 2023).
- Mainardis, M.; Boscutti, F.; Rubio Cebolla, M.D.M.; Pergher, G. Comparison between Flaming, Mowing and Tillage Weed Control in the Vineyard: Effects on Plant Community, Diversity and Abundance. PLoS ONE 2020, 15, e0238396. [Google Scholar] [CrossRef] [PubMed]
- Cabrera-Pérez, C.; Llorens, J.; Escolà, A.; Royo-Esnal, A.; Recasens, J. Organic Mulches as an Alternative for Under-Vine Weed Management in Mediterranean Irrigated Vineyards: Impact on Agronomic Performance. Eur. J. Agron. 2023, 145, 126798. [Google Scholar] [CrossRef]
- Pergher, G.; Gubiani, R.; Mainardis, M. Mainardis Field Testing of a Biomass-Fueled Flamer for In-Row Weed Control in the Vineyard. Agriculture 2019, 9, 210. [Google Scholar] [CrossRef]
- Manzone, M.; Demeneghi, M.; Marucco, P.; Grella, M.; Balsari, P. Technical Solutions for Under-Row Weed Control in Vineyards: Efficacy, Costs and Environmental Aspects Analysis. J. Agric. Eng. 2020, 51, 36–42. [Google Scholar] [CrossRef]
- Panagos, P.; Borrelli, P.; Poesen, J.; Ballabio, C.; Lugato, E.; Meusburger, K.; Montanarella, L.; Alewell, C. The New Assessment of Soil Loss by Water Erosion in Europe. Environ. Sci. Policy 2015, 54, 438–447. [Google Scholar] [CrossRef]
- Champart, L.P.d.C.; Guilpart, N.; Mérot, A.; Capillon, A.; Gary, C. Determinants of the Degradation of Soil Structure in Vineyards with a View to Conversion to Organic Farming. Soil Use Manag. 2013, 29, 557–566. [Google Scholar] [CrossRef]
- García-Díaz, A.; Marqués, M.J.; Sastre, B.; Bienes, R. Labile and Stable Soil Organic Carbon and Physical Improvements Using Groundcovers in Vineyards from Central Spain. Sci. Total Environ. 2018, 621, 387–397. [Google Scholar] [CrossRef]
- Fiera, C.; Ulrich, W.; Popescu, D.; Buchholz, J.; Querner, P.; Bunea, C.-I.; Strauss, P.; Bauer, T.; Kratschmer, S.; Winter, S.; et al. Tillage Intensity and Herbicide Application Influence Surface-Active Springtail (Collembola) Communities in Romanian Vineyards. Agric. Ecosyst. Environ. 2020, 300, 107006. [Google Scholar] [CrossRef]
- Rodrigo-Comino, J.; Keesstra, S.; Cerdà, A. Soil Erosion as an Environmental Concern in Vineyards. The Case Study of Celler Del Roure, Eastern Spain, by Means of Rainfall Simulation Experiments. Beverages 2018, 4, 31. [Google Scholar] [CrossRef]
- Castaldi, R. Lavorazione Del Terreno Nel Sottofila. In Vite. Meccanizzazione del Vigneto. Guida Alla Scelta e All’utilizzo di Macchine e Attrezzature; Edizioni L’Informatore Agrario: Verona, Italy, 2018; pp. 67–78. [Google Scholar]
- Lisek, J. Possibilities and Limitations of Weed Management in Fruit Crops of the Temperate Climate Zone. J. Plant Prot. Res. 2014, 54, 318–326. [Google Scholar] [CrossRef]
- Australian Wine Research Institute. Non-Chemical Weed Management. Available online: https://www.awri.com.au/industry_support/viticulture/weed-management/non-chemical-weed-management/ (accessed on 19 September 2023).
- Sozzi, M.; Pasquetti, E.; De Ros, A.; Ferro, F. Performance Evaluation of Automated Implement for Vineyard Mechanical Weed Control. In Proceedings of the International Scientific Conference, Riga, Latvia, 26–28 May 2021. [Google Scholar]
- Australian Wine Research Institute. Finger Weeder. Available online: https://www.awri.com.au/industry_support/viticulture/weed-management/non-chemical-weed-management/finger-weeder/ (accessed on 11 April 2023).
- Patrignani, A.; Ochsner, T.E. Canopeo: A Powerful New Tool for Measuring Fractional Green Canopy Cover. Agron. J. 2015, 107, 2312–2320. [Google Scholar] [CrossRef]
- European Commission Commission Delegated Regulation (EU). 2023/1185 of 10 February 2023. Supplementing Directive (EU) 2018/2001 of the European Parliament and of the Council by Establishing a Minimum Threshold for Greenhouse Gas Emissions Savings of Recycled Carbon Fuels and by Specifying a Methodology for Assessing Greenhouse Gas Emissions Savings from Renewable Liquid and Gaseous Transport Fuels of Non-Biological Origin and from Recycled Carbon Fuels. Available online: https://eur-lex.europa.eu/legal-content/EN/TXT/PDF/?uri=CELEX:32023R1185 (accessed on 21 September 2023).
- Ministero della Giustizia Italiano. Supplemento Ordinario n. 42/L alla Gazzetta Ufficiale del 30 Novembre 2021, Serie Generale—n. 285. Allegato V—Contenuto Energetico dei Combustibili. Available online: https://www.gazzettaufficiale.it/atto/serie_generale/caricaArticolo?art.versione=1&art.idGruppo=18&art.flagTipoArticolo=5&art.codiceRedazionale=21G00214&art.idArticolo=1&art.idSottoArticolo=1&art.idSottoArticolo1=10&art.dataPubblicazioneGazzetta=2021-11-30&art.progressivo=0 (accessed on 21 September 2023).
- R Core Team R. A Language and Environment for Statistical Computing; R Foundation for Statistical Computing: Vienna, Austria, 2023. [Google Scholar]
- De Mandiburu, F. Agricolae: Statistical Procedures for Agricultural Research; R Package Version 1.3-6; R Foundation for Statistical Computing: Vienna, Austria, 2023. [Google Scholar]
- Lanini, W.T.; McGourty, G.T.; Thrupp, L.A. Weed Management for Organic Vineyards. In Organic Winegrowing Manual; University of California, Agriculture and Natural Resources: Los Angeles, CA, USA, 2011; pp. 69–82. [Google Scholar]
- Sportelli, M.; Frasconi, C.; Fontanelli, M.; Pirchio, M.; Raffaelli, M.; Magni, S.; Caturegli, L.; Volterrani, M.; Mainardi, M.; Peruzzi, A. Autonomous Mowing and Complete Floor Cover for Weed Control in Vineyards. Agronomy 2021, 11, 538. [Google Scholar] [CrossRef]
- MacLaren, C.; Bennett, J.; Dehnen-Schmutz, K. Management Practices Influence the Competitive Potential of Weed Communities and Their Value to Biodiversity in South African Vineyards. Weed Res. 2019, 59, 93–106. [Google Scholar] [CrossRef]
- Garnier, E.; Navas, M.-L. A Trait-Based Approach to Comparative Functional Plant Ecology: Concepts, Methods and Applications for Agroecology: A Review. Agron. Sustain. Dev. 2012, 32, 365–399. [Google Scholar] [CrossRef]
- Gianessi, L.P.; Reigner, N.P. The Value of Herbicides in U.S. Crop Production. Weed Technol. 2007, 21, 559–566. [Google Scholar] [CrossRef]





| ST1 | ST2 | ST3 | ST4 | |
|---|---|---|---|---|
| Date | ||||
| 16 March 2023 | rollhacke + finger weeder * | rollhacke | rollhacke + finger weeder * | rollhacke |
| 8 June 2023 | rollhacke + finger weeder * | blade weeder | blade weeder | rollhacke + finger weeder * |
| Factors | Weed Height | Weed Biomass | Weed Cover | |||
|---|---|---|---|---|---|---|
| F-Value | p-Value | F Value | p-Value | F Value | p-Value | |
| Strategy | 0.241 | 0.867 | 0.244 | 0.865 | 0.401 | 0.754 |
| Position | 0.096 | 0.759 | 42.475 | *** | - | - |
| Strategy × Position | 0.218 | 0.883 | 0.896 | 0.468 | - | - |
| Factors | Weed Height | Weed Biomass | Weed Cover | |||
|---|---|---|---|---|---|---|
| F-Value | p-Value | F Value | p-Value | F Value | p-Value | |
| Strategy | 33.748 | * | 22.701 | 0.125 | 25.550 | 0.094 |
| Position | 68.477 | * | 240.092 | *** | - | - |
| Strategy × Position | 0.742 | 0.534 | 47.949 | * | - | - |
| Strategy | Date | Implements | Speed (km h−1) | Turning Time (h ha−1) | Field Time (h ha−1) | Fuel Consumption (kg ha−1) | CO2 Emissions of the Strategy (kg ha−1) |
|---|---|---|---|---|---|---|---|
| ST1 | 3/16/23 | R + f | 6.50 | 0.07 | 1.61 | 6.38 | - |
| 6/08/23 | R + f | 4.00 | 0.07 | 2.24 | 8.91 | - | |
| Strategy Total Values | 3.85 | 15.29 | 48.72 | ||||
| ST2 | 3/16/23 | R | 6.50 | 0.07 | 1.61 | 4.79 | - |
| 6/08/23 | Bw | 3.20 | 0.11 | 2.83 | 13.31 | - | |
| Strategy Total Values | 4.44 | 18.10 | 57.66 | ||||
| ST3 | 3/16/23 | R + f | 6.50 | 0.07 | 1.61 | 6.38 | - |
| 6/08/23 | Bw | 3.20 | 0.11 | 2.83 | 13.31 | - | |
| Strategy Total Values | 4.44 | 19.69 | 62.74 | ||||
| ST4 | 3/16/23 | R | 6.50 | 0.07 | 1.61 | 4.79 | - |
| 6/08/23 | R + f | 4.00 | 0.07 | 2.24 | 8.91 | - | |
| Strategy Total Values | 3.85 | 13.69 | 43.63 | ||||
Disclaimer/Publisher’s Note: The statements, opinions and data contained in all publications are solely those of the individual author(s) and contributor(s) and not of MDPI and/or the editor(s). MDPI and/or the editor(s) disclaim responsibility for any injury to people or property resulting from any ideas, methods, instructions or products referred to in the content. |
© 2023 by the authors. Licensee MDPI, Basel, Switzerland. This article is an open access article distributed under the terms and conditions of the Creative Commons Attribution (CC BY) license (https://creativecommons.org/licenses/by/4.0/).
Share and Cite
Gagliardi, L.; Fontanelli, M.; Luglio, S.M.; Frasconi, C.; Peruzzi, A.; Raffaelli, M. Evaluation of Sustainable Strategies for Mechanical Under-Row Weed Control in the Vineyard. Agronomy 2023, 13, 3005. https://doi.org/10.3390/agronomy13123005
Gagliardi L, Fontanelli M, Luglio SM, Frasconi C, Peruzzi A, Raffaelli M. Evaluation of Sustainable Strategies for Mechanical Under-Row Weed Control in the Vineyard. Agronomy. 2023; 13(12):3005. https://doi.org/10.3390/agronomy13123005
Chicago/Turabian StyleGagliardi, Lorenzo, Marco Fontanelli, Sofia Matilde Luglio, Christian Frasconi, Andrea Peruzzi, and Michele Raffaelli. 2023. "Evaluation of Sustainable Strategies for Mechanical Under-Row Weed Control in the Vineyard" Agronomy 13, no. 12: 3005. https://doi.org/10.3390/agronomy13123005
APA StyleGagliardi, L., Fontanelli, M., Luglio, S. M., Frasconi, C., Peruzzi, A., & Raffaelli, M. (2023). Evaluation of Sustainable Strategies for Mechanical Under-Row Weed Control in the Vineyard. Agronomy, 13(12), 3005. https://doi.org/10.3390/agronomy13123005

