Artificial Neural Networks versus Multiple Linear Regressions to Predict the Christiansen Uniformity Coefficient in Sprinkler Irrigation
Abstract
1. Introduction
2. Materials and Methods
2.1. Experimental Data
2.2. Artificial Neural Network (ANN)
2.3. Multiple Linear Regressions (MLR)
2.4. Criteria of Performance Evaluation
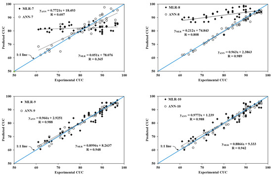
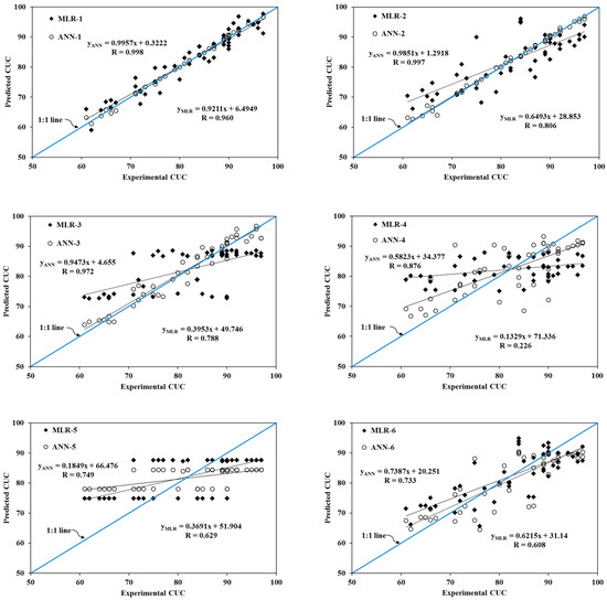
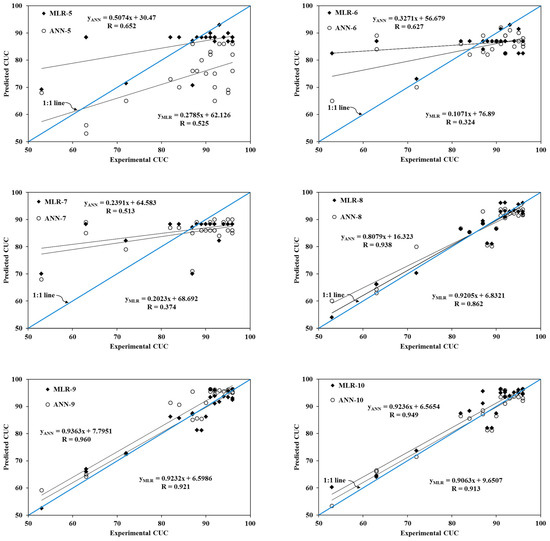
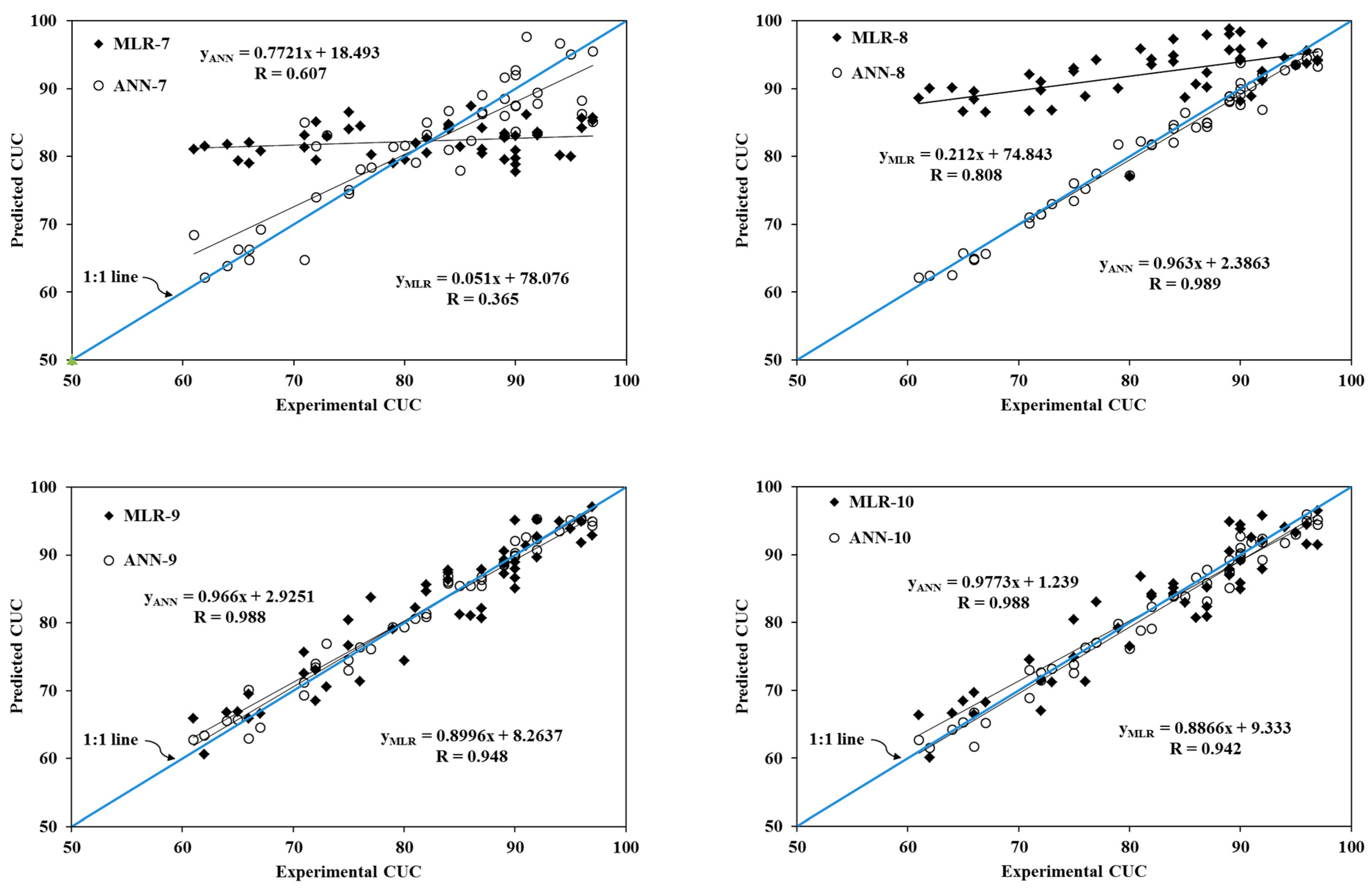
3. Results and Discussion
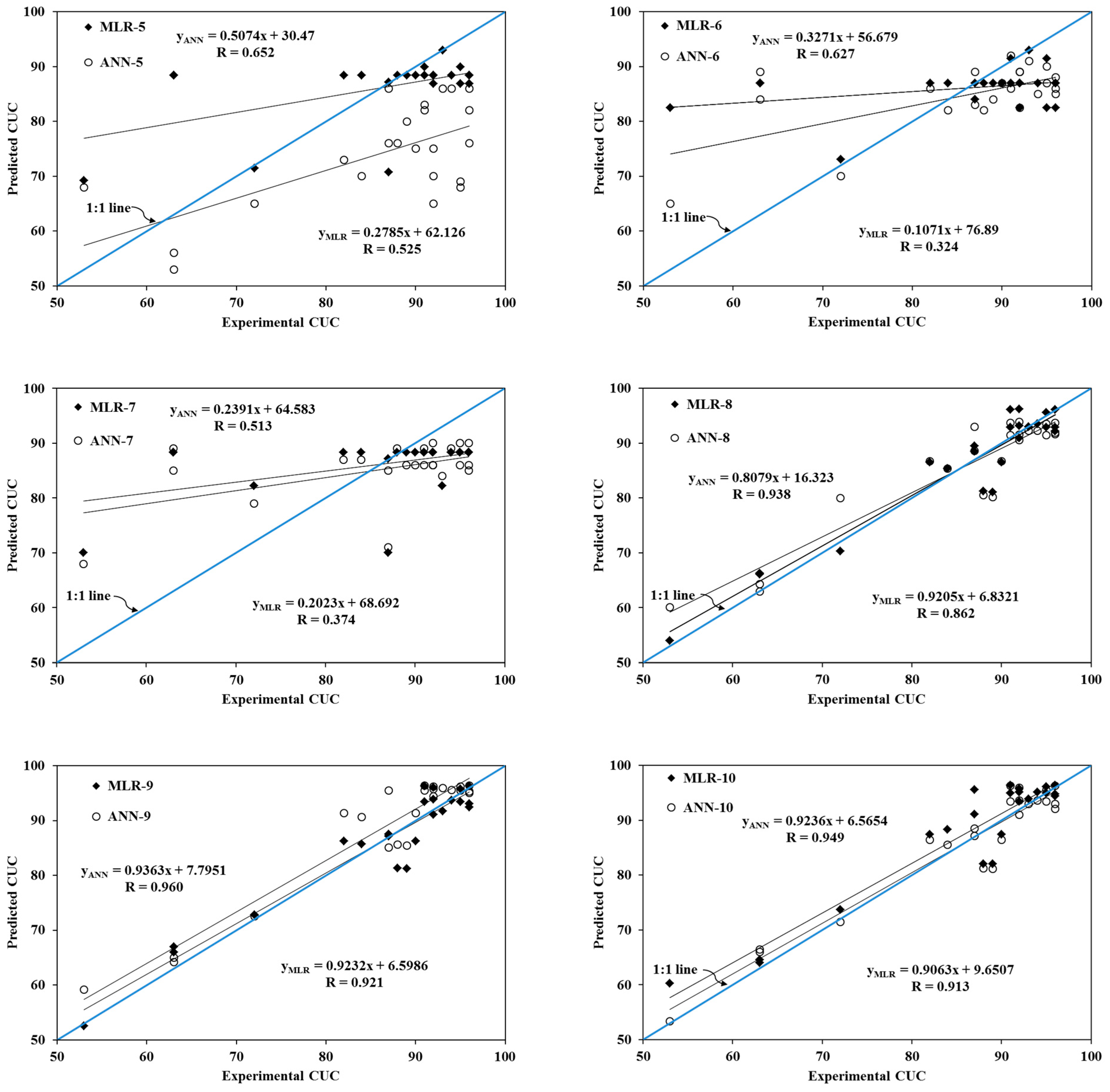
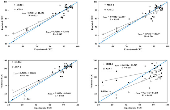
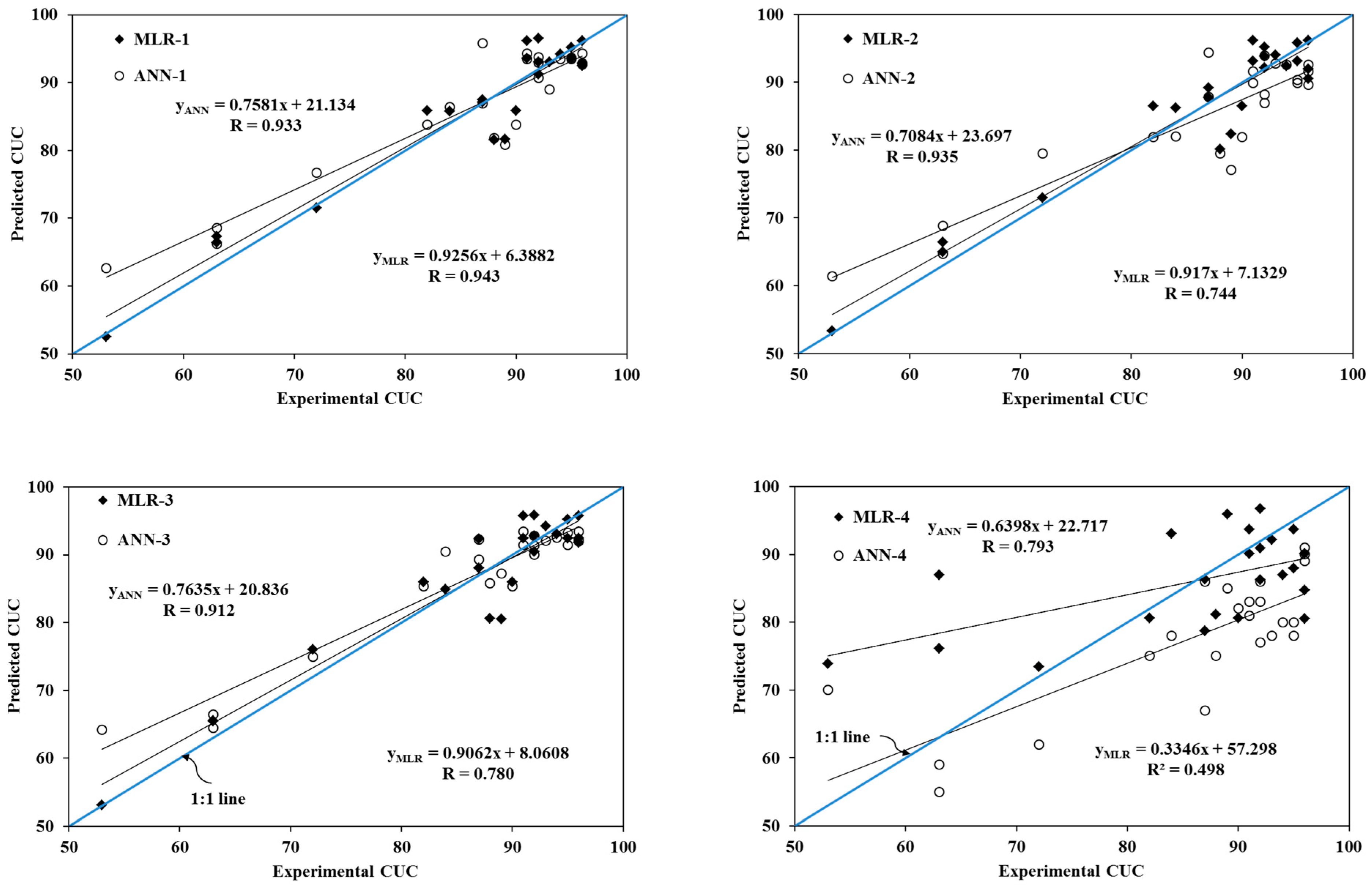
3.1. Effectiveness of ANN Models
3.2. Effectiveness of MLR Models
3.3. ANN vs. MLR Models
4. Conclusions
- ANN models yielded results that were more consistent with the experimental CUC values than the MLR models;
- The model, including all input factors, performed very well in the forecasting of the CUC; however, it was not possible to determine which parameters have a significant impact on CUC prediction;
- It was found that models that included only the WS and WD input variables performed very well in the prediction of the CUC;
- When only T and RH were used to predict the CUC, the prediction quality for the model was degraded;
- The predictive quality of models including only operational and design variables was medium. The integration of WS and WD into those models enhanced their predictive quality;
- The MLR evaluation showed that the WS and WD variables are significantly associated with the CUC (p < 0.05), which was in good agreement with the results of the ANN analysis.
Author Contributions
Funding
Data Availability Statement
Acknowledgments
Conflicts of Interest
References
- Merriam, J.L.; Keller, J. Farm Irrigation System Evaluation: A Guide for Management; Utah State University: Logan, Utah, 1978; 271p. [Google Scholar]
- Clemmens, A.J.; Dedrick, A.R. Irrigation techniques and evaluations. In Advanced Series in Agricultural Sciences; Tanji, K.K., Yaron, B., Eds.; Springer: Berlin/Heidelberg, Germany, 1994; pp. 64–103. [Google Scholar]
- Burt, C.M.; Clemmens, A.J.; Strelkoff, T.S.; Solomon, K.H.; Bliesner, R.D.; Howell, T.A.; Eisenhuaer, D.E. Irrigation performance measures: Efficiency and Uniformity. J. Irrig. Drain. Eng. 1997, 123, 423–442. [Google Scholar] [CrossRef]
- Playán, E.; Zapata, N.; Faci, J.M.; Tolosa, D.; Lacueva, J.L.; Pelegrín, J.; Salvador, R.; Sánchez, I.; Lafita, A. Assessing sprinkler irrigation uniformity using a ballistic simulation model. Agric. Water Manag. 2006, 84, 89–100. [Google Scholar] [CrossRef]
- Keller, J.; Bliesner, R.D. Sprinkler and Trickle Irrigation; AVI Book; Van Nostrand Reinhold: New York, NY, USA, 1990. [Google Scholar]
- Tarjuelo, J.M.; Montero, J.; Carrión, P.A.; Honrubia, F.T.; Calvo, M.A. Irrigation uniformity with medium size sprinklers. Part II: Influence of wind and other factors on water distribution. Trans. Am. Soc. Agric. Eng. 1999, 42, 677–689. [Google Scholar] [CrossRef]
- Dechmi, F.; Playan, E.; Cavero, J.; Martinez-Cob, A.; Faci, J.M. Wind effects on solid set sprinkler irrigation depth and yield of maize (Zea mays). Irrig. Sci. 2003, 22, 67–77. [Google Scholar] [CrossRef]
- Solomon, K.H. Variability of sprinkler coefficient of uniformity test results. Trans. Am. Soc. Agric. Eng. 1979, 22, 1078–1086. [Google Scholar] [CrossRef]
- Nigatie, D.B.; Dinka, M.O.; Hordofa, T. Effects of operating pressure, nozzle diameter and wind speed on the performance of sprinkler in irrigation system during water application. ABC J. Adv. Res. 2018, 7, 45–56. [Google Scholar] [CrossRef][Green Version]
- Wilcox, J.C.; Swailes, G.E. Uniformity of Water Distribution by Some Undertree Orchard Sprinklers. Sci. Agric. 1947, 27, 565–583. [Google Scholar]
- Joshi, D.S.; Shete, D.T.; Modi, P.M. Sprinkler performance evaluation with respect to nozzle size, pressure, riser height and grid spacing. In Proceedings of the ICID Special Technical Session on the Role of Advanced Technologies in Making Effective Use of Scarce Water Resources, (RATMESWR’95), Rome, Italy, 1995; p. 2. [Google Scholar]
- Loule, M.J.; Selker, S. Sprinkler head maintenance effects on water application uniformity. J. Irrig. Drain. Eng. 2000, 126, 142–148. [Google Scholar]
- Howell, D.T. Sprinkler non uniformity characteristics and yield. J. Irrig. Drain. Div. 1964, 90, 55–67. [Google Scholar] [CrossRef]
- Seginer, I. A note on the economic significance of uniform water applications. Irrig. Sci. 1978, 1, 19–25. [Google Scholar] [CrossRef]
- Stern, J.; Bresler, E. Non uniform sprinkler irrigation and crop yield. Irrig. Sci. 1983, 4, 17–29. [Google Scholar] [CrossRef]
- Salmerón, M.; Fernanda, Y.; Pereira, U.; Isla, R.; Cavero, J. Effect of non-uniform sprinkler irrigation and plant density on simulated maize yield. Agric. Water Manag. 2012, 113, 1–9. [Google Scholar] [CrossRef]
- Li, J.; Rao, M. Field evaluation of crop yield as affected by non-uniformity sprinkler-applied water and fertilizers. Agric. Water Manag. 2003, 59, 1–13. [Google Scholar] [CrossRef]
- Cai, D.Y.; Yan, H.J.; Li, L.H. Effects of water application uniformity using a center pivot on winter wheat yield, water and nitrogen use efficiency in the North China Plain. J. Integr. Agric. 2020, 19, 2329–2339. [Google Scholar] [CrossRef]
- Ascough, G.W.; Kiker, G.A. The effect of irrigation uniformity on irrigation water requirements. Water SA 2002, 28, 235–242. [Google Scholar] [CrossRef]
- Sudheer, K.P.; Nayak, P.C.; Ramasastri, K.S. Improving peak flow estimates in artificial neural network river flow models. Hydrol. Process. 2003, 17, 677–686. [Google Scholar] [CrossRef]
- Jain, S.K.; Singh, V.P.; Van Genuchten, M.T. Analysis of soil water retention data using artificial neural networks. J. Hydrol. Eng. 2004, 9, 415–420. [Google Scholar] [CrossRef]
- Mattar, M.A.; Roy, D.K.; Al-Ghobari, H.M.; Dewidar, A.Z. Machine learning and regression-based techniques for predicting sprinkler irrigation’s wind drift and evaporation losses. Agric. Water Manag. 2022, 265, 107529. [Google Scholar] [CrossRef]
- Al-Ghobari, H.M.; El-Marazky, M.S.; Dewidar, A.Z.; Mattar, M.A. Prediction of wind drift and evaporation losses from sprinkler irrigation using neural network and multiple regression techniques. Agric. Water Manag. 2018, 195, 211–221. [Google Scholar] [CrossRef]
- Sayyadi, H.; Sadraddini, A.A.; Zadeh, D.F.; Montero, J. Artificial neural networks for simulating wind effects on sprinkler distribution patterns. Span. J. Agric. Res. 2012, 10, 1143–1154. [Google Scholar] [CrossRef]
- Hinnell, A.C.; Lazarovitch, N.; Furman, A.; Poulton, M.; Warrick, A.W. Neuro-Drip: Estimation of subsurface wetting patterns for drip irrigation using neural networks. Irrig. Sci. 2010, 28, 535–544. [Google Scholar] [CrossRef]
- Mattar, M.A.; Alamoud, A.I. Artificial neural networks for estimating the hydraulic performance of labyrinth-channel emitters. Comput. Electron. Agric. 2015, 114, 189–201. [Google Scholar] [CrossRef]
- Wang, Y.; Yin, H.; Guo, X.; Zhang, W.; Li, Q. Distributed ANN-bi level two-stage stochastic fuzzy possibilistic programming with Bayesian model for irrigation scheduling management. J. Hydrol. 2022, 606, 127435. [Google Scholar] [CrossRef]
- Nin, R.A. Tecnología Del Riego Por Aspersión Estacionario, Calibración Y Validación de Un Modelo de Simulación. Ph.D. Thesis, University of Castilla-La Mancha, Cuenca, Spain, 2008. [Google Scholar]
- Zapata, N.; Playán, E.; Skhiri, A.; Burguete, J. Simulation of a Collective Solid-Set Sprinkler Irrigation Controller for Optimum Water Productivity. J. Irrig. Drain. Eng. 2009, 135, 13–24. [Google Scholar] [CrossRef]
- Sanchez, I.; Faci, J.M.; Zapata, N. The effects of pressure, nozzle diameter and meteorological conditions on the performance of agricultural impact sprinklers. Agric. Water Manag. 2011, 102, 13–24. [Google Scholar] [CrossRef]
- Sanchez, I.; Zapata, N.; Faci, J.M. Combined effect of technical, meteorological and agronomical factors on solid-set sprinkler irrigation. II. Modifications of the wind velocity and of the water interception plane by the crop canopy. Agric. Water Manag. 2010, 97, 1591–1601. [Google Scholar] [CrossRef]
- Stambouli, T.; Zapata, N.; Faci, J.M. Performance of new agricultural impact sprinkler fitted with plastic nozzles. Biosyst. Eng. 2014, 118, 39–51. [Google Scholar] [CrossRef]
- Abrougui, A.; Gabsi, K.; Mercatoris, B.; Khemis, C.; Amami, R.; Chehaib, S. Prediction of organic potato yield using tillage systems and soil properties by artificial neural network (ANN) and multiple linear regressions (MLR). Soil Tillage Res. 2019, 190, 202–208. [Google Scholar] [CrossRef]
- De Menezes, P.L.; De Azevedo, C.; Eyng, E.; Neto, J.D.; De Lima, V. Artificial neural network model for simulation of water distribution in sprinkle irrigation. Braz. J. Agric. Environ. Eng. 2015, 19, 817–822. [Google Scholar] [CrossRef]
- Jain, S.K.; Nayak, P.C.; Sudhir, K.P. Models for estimating evapotranspiration using artificial neural networks, and their physical interpretation. Hydrol. Process. 2008, 22, 2225–2234. [Google Scholar] [CrossRef]
- Zanetti, S.S.; Sousa, E.F.; Oliveira, V.P.S. Estimating evapotranspiration using artificial neural network and minimum climatological data. J. Irrig. Drain. Eng. ASCE 2007, 133, 83–89. [Google Scholar] [CrossRef]
- Neurosolutions Software, Version 5.0; NeuroDimension Inc.: Gainesville, FL, USA, 2006.
- Piovani, J.I. The historical construction of correlation as a conceptual and operative instrument for empirical research. Qual. Quant. 2008, 42, 757–777. [Google Scholar] [CrossRef]
- Willmott, C.; Robeson Sc Matsuura, K. A refined index of model performance. Int. J. Climatol. 2012, 32, 2088–2094. [Google Scholar] [CrossRef]
- Singh, J.; Vernon Knapp, H.; Arnold, J.G.; Demissie, M. Hydrologic modeling of the Iroquois River watershed using HSPF and SWAT. J. Am. Water Resour. Assoc. 2005, 41, 343–360. [Google Scholar] [CrossRef]
- Willmott, C.J.; Matsuura, K. Advantages of the mean absolute error (MAE) over the root mean square error (RMSE) in assessing average model performance. Clim. Res. 2005, 30, 79–82. [Google Scholar] [CrossRef]





| H (m) | P (kPa) | D (mm) | da (mm) | SL (m) | SS (m) | T (°C) | RH (%) | WS (m s−1) | WD (°) | CUC (%) | Country | N | Reference |
|---|---|---|---|---|---|---|---|---|---|---|---|---|---|
| 2.3 | 300 | 4.4 | 2.4 | 15 | 18 | 12, 31 | 31, 64 | 0.6, 6.5 | 23, 338 | 51, 94 | Spain | 21 | [7] |
| 2.3 | 205, 470 | 4.4, 5.2 | 2.4 | 15 | 15, 18 | 8, 27 | 11, 98 | 0.5, 8.8 | 3, 360 | 60, 99 | Spain | 11 | [28] |
| 2.0 | 350 | 4.8 | 2.4 | 18 | 18 | 8, 15 | 52, 81 | 0.9, 6.7 | 113, 315 | 72, 89 | Spain | 10 | [29] |
| 2.3 | 310, 460 | 4.0 | 2.4 | 15 | 15, 18 | 19, 35 | 23, 75 | 1.1, 7.8 | 0, 338 | 53, 96 | Spain | 12 | [30] |
| 2.3 | 240, 420 | 4.0, 4.8 | 2.4 | 15 | 15 | 5, 27 | 40, 86 | 0.4, 8.0 | 0, 338 | 75, 93 | Spain | 15 | [31] |
| 2.0 | 188, 392 | 4.0, 5.0 | 2.5 | 18 | 18 | 8, 31 | 29, 81 | 0.2, 7.6 | 88, 343 | 52, 93 | Spain | 25 | [32] |
| ANN Model Nomination | MLR Model Nomination | Input Variables |
|---|---|---|
| ANN-1 | MLR-1 | H, P, D, da, SL, SS, T, RH, WS, WD |
| ANN-2 | MLR-2 | T, RH, WS, WD |
| ANN-3 | MLR-3 | WS, WD |
| ANN-4 | MLR-4 | T, RH |
| ANN-5 | MLR-5 | H, P, D, da, SL, SS |
| ANN-6 | MLR-6 | P, D, da |
| ANN-7 | MLR-7 | H, SL, SS |
| ANN-8 | MLR-8 | P, D, da, WS, WD |
| ANN-9 | MLR-9 | H, SL, SS, WS, WD |
| ANN-10 | MLR-10 | H, P, D, SL, WS, WD |
| Input Parameters | |||||||||||
|---|---|---|---|---|---|---|---|---|---|---|---|
| Statistical Metrics | H (m) | P (kPa) | D (mm) | da (mm) | SL (m) | SS (m) | T (°C) | RH (%) | WS (m s−1) | WD (°) | CUC (%) |
| Training input parameters | |||||||||||
| Xmean | 2.2 | 284.1 | 4.4 | 2.2 | 16.3 | 16.5 | 18.4 | 58.7 | 3.3 | 233.1 | 82.3 |
| Xmin | 2.0 | 188.0 | 4.0 | 0.0 | 15.0 | 15.0 | 7.8 | 29.0 | 0.2 | 3.0 | 61.0 |
| Xmax | 2.3 | 452.0 | 5.0 | 2.5 | 18.0 | 18.0 | 31.0 | 91.0 | 7.8 | 343.0 | 97.0 |
| SX | 0.1 | 77.3 | 0.3 | 0.7 | 1.5 | 1.5 | 5.3 | 14.7 | 2.0 | 79.8 | 10.3 |
| CV | 0.07 | 0.27 | 0.07 | 0.34 | 0.09 | 0.09 | 0.29 | 0.25 | 0.60 | 0.34 | 0.12 |
| CSX | −0.35 | 0.47 | 0.44 | −2.65 | 0.35 | 0.00 | −0.05 | 0.23 | 0.33 | −0.71 | −0.51 |
| Testing input parameters | |||||||||||
| Xmean | 2.2 | 305.1 | 4.6 | 2.4 | 15.7 | 17.7 | 19.2 | 55.1 | 3.0 | 198.9 | 81.3 |
| Xmin | 2.0 | 189.0 | 4.0 | 2.1 | 15.0 | 15.0 | 8.0 | 12.0 | 0.5 | 0.0 | 52.0 |
| Xmax | 2.3 | 367.0 | 5.0 | 2.9 | 18.0 | 18.0 | 30.0 | 83.0 | 7.0 | 336.0 | 96.0 |
| SX | 0.1 | 49.9 | 0.3 | 0.2 | 1.2 | 0.9 | 5.1 | 16.2 | 1.7 | 85.2 | 10.6 |
| CV | 0.07 | 0.16 | 0.07 | 0.07 | 0.08 | 0.05 | 0.27 | 0.29 | 0.57 | 0.43 | 0.13 |
| CSX | −0.56 | −1.34 | −0.08 | 0.28 | 1.42 | −2.60 | −0.32 | −0.49 | 0.54 | −0.19 | −1.19 |
| Model | Input Variables | HL | PE | Architecture | R | d | MAE (%) | RMSE (%) | NRMSE (%) |
|---|---|---|---|---|---|---|---|---|---|
| Training process | |||||||||
| ANN-1 | H, P, D, da, SL, SS, T, RH, WS, WD | 2 | 5 | 10-2-5 | 0.998 | 0.999 | 0.333 | 0.645 | 0.008 |
| ANN-2 | T, RH, WS, WD | 2 | 9 | 4-2-9 | 0.997 | 0.998 | 0.458 | 0.618 | 0.008 |
| ANN-3 | WS, WD | 3 | 4 | 2-3-4 | 0.972 | 0.986 | 1.938 | 2.420 | 0.029 |
| ANN-4 | T, RH | 2 | 9 | 2-2-9 | 0.876 | 0.928 | 3.646 | 5.010 | 0.061 |
| ANN-5 | H, P, D, da, SL, SS | 2 | 9 | 6-2-9 | 0.749 | 0.849 | 5.729 | 7.181 | 0.087 |
| ANN-6 | P, D, da | 2 | 5 | 3-2-5 | 0.733 | 0.835 | 5.375 | 6.949 | 0.084 |
| ANN-7 | H, SL, SS | 1 | 10 | 3-1-10 | 0.607 | 0.487 | 7.896 | 8.812 | 0.107 |
| ANN-8 | P, D, da, WS, WD | 3 | 6 | 5-3-6 | 0.989 | 0.993 | 1.260 | 1.660 | 0.020 |
| ANN-9 | H, SL, SS, WS, WD | 2 | 7 | 5-2-7 | 0.988 | 0.994 | 1.227 | 1.613 | 0.020 |
| ANN-10 | H, P, D, SL, WS, WD | 2 | 7 | 6-2-7 | 0.988 | 0.992 | 1.313 | 1.764 | 0.021 |
| Testing process | |||||||||
| ANN-1 | H, P, D, da, SL, SS, T, RH, WS, WD | 2 | 5 | 10-2-5 | 0.933 | 0.954 | 3.565 | 4.462 | 0.052 |
| ANN-2 | T, RH, WS, WD | 2 | 9 | 4-2-9 | 0.935 | 0.964 | 3.391 | 3.833 | 0.045 |
| ANN-3 | WS, WD | 3 | 4 | 2-3-4 | 0.912 | 0.928 | 2.957 | 3.730 | 0.043 |
| ANN-4 | T, RH | 2 | 9 | 2-2-9 | 0.793 | 0.834 | 4.193 | 6.012 | 0.070 |
| ANN-5 | H, P, D, da, SL, SS | 2 | 9 | 6-2-9 | 0.652 | 0.734 | 6.732 | 8.509 | 0.099 |
| ANN-6 | P, D, da | 2 | 5 | 3-2-5 | 0.627 | 0.710 | 6.477 | 8.408 | 0.098 |
| ANN-7 | H, SL, SS | 1 | 10 | 3-1-10 | 0.513 | 0.390 | 9.752 | 10.971 | 0.128 |
| ANN-8 | P, D, da, WS, WD | 3 | 6 | 5-3-6 | 0.938 | 0.963 | 3.174 | 4.123 | 0.048 |
| ANN-9 | H, SL, SS, WS, WD | 2 | 7 | 5-2-7 | 0.960 | 0.971 | 3.043 | 3.923 | 0.046 |
| ANN-10 | H, P, D, SL, WS, WD | 2 | 7 | 6-2-7 | 0.949 | 0.969 | 3.174 | 3.984 | 0.046 |
| Model | Model Equation |
|---|---|
| MLR-1 | |
| MLR-2 | |
| MLR-3 | |
| MLR-4 | |
| MLR-5 | |
| MLR-6 | |
| MLR-7 | |
| MLR-8 | |
| MLR-9 | |
| MLR-10 |
| Model | Intercept | H (m) | P (kPa) | D (mm) | da (mm) | SL (m) | SS (m) | T (°C) | RH (%) | WS (m s−1) | WD (°) | |
|---|---|---|---|---|---|---|---|---|---|---|---|---|
| MLR-1 | SE | 15.2 | 0.0 | 0.01 | 2.04 | 0.79 | 0.74 | 0.72 | 0.15 | 0.05 | 0.28 | 0.01 |
| t-stat | 11.7 | 65.5 × 103 | −1.73 | −1.18 | 1.81 | −3.10 | −3.03 | 1.20 | 1.07 | −10.85 | −4.75 | |
| p-value | 3.2 × 10−14 | - | - | 0.25 | 0.08 | 3.6 × 10−3 | 4.4 × 10−3 | 0.24 | 0.29 | 3.3 × 10−13 | 2.9 × 10−5 | |
| MLR-2 | SE | 9.4 | - | - | - | - | - | - | 0.25 | 0.09 | 0.53 | 0.01 |
| t-stat | 10.9 | - | - | - | - | - | - | −0.84 | 0.54 | −5.56 | −2.86 | |
| p-value | 5.8 × 10−14 | - | - | - | - | - | - | 0.41 | 0.59 | 1.1 × 10−6 | 0.01 | |
| MLR-3 | SE | 2.92 | - | - | - | - | - | - | - | - | 0.52 | 0.01 |
| t-stat | 34.74 | - | - | - | - | - | - | - | - | −5.89 | −2.97 | |
| p-value | 3.8 × 10−34 | - | - | - | - | - | - | - | - | 4.5 × 10−7 | 4.8 × 10−3 | |
| MLR-4 | SE | 14.3 | - | - | - | - | - | - | 0.39 | 0.14 | - | - |
| t-stat | 5.54 | - | - | - | - | - | - | −0.46 | 0.75 | - | - | |
| p-value | 1.5 × 10−6 | - | - | - | - | - | - | 0.65 | 0.46 | - | - | |
| MLR-5 | SE | 33.4 | 0.0 | 0.02 | 4.72 | 1.99 | 1.64 | 1.56 | - | - | - | - |
| t-stat | 3.9 | 65.5 × 103 | −0.44 | 1.00 | 0.79 | −2.52 | −0.10 | - | - | - | - | |
| p-value | 3.3 × 10−4 | - | - | 0.32 | 0.43 | 0.02 | 9.62 | - | - | - | - | |
| MLR-6 | SE | 27.1 | - | 0.02 | 5.25 | 2.17 | - | - | - | - | - | - |
| t-stat | 1.1 | - | 1.23 | 2.10 | −0.54 | - | - | - | - | - | - | |
| p-value | 0.3 | - | 0.18 | 0.04 | 0.59 | - | - | - | - | - | - | |
| MLR-7 | SE | 13.9 | 0.0 | - | - | 1.54 | 1.51 | - | - | - | - | |
| t-stat | 10.8 | 65.5 × 103 | - | - | - | −2.68 | −0.07 | - | - | - | - | |
| p-value | 4.1 × 10−14 | - | - | - | - | - | 0.94 | - | - | - | - | |
| MLR-8 | SE | 19.61 | - | 0.01 | 3.59 | 1.41 | - | - | - | - | 0.53 | 0.01 |
| t-stat | 4.31 | - | 1.44 | 0.86 | −1.08 | - | - | - | - | −5.81 | −2.45 | |
| p-value | 9.6 ×10−3 | - | 0.16 | 0.39 | 0.28 | - | - | - | - | 7.4 × 10−7 | 0.02 | |
| MLR-9 | SE | 5.78 | 0.0 | - | - | - | 0.73 | 0.70 | - | - | 0.28 | 0.01 |
| t-stat | 28.08 | 65.5 × 103 | - | - | - | −2.39 | −2.94 | - | - | −10.96 | −4.09 | |
| p-value | 2.7 × 10−29 | - | - | - | - | - | 0.01 | - | - | 4.9 × 10−14 | 1.8 × 10−4 | |
| MLR-10 | SE | 14.85 | 0.0 | 0.01 | 2.06 | - | 0.41 | - | - | - | 0.30 | 0.01 |
| t-stat | 12.05 | 65.5 × 103 | −1.23 | −1.51 | - | −9.49 | - | - | - | −10.66 | −3.13 | |
| p-value | 3.2 × 10−15 | - | - | 0.14 | - | 5.2 × 10−12 | - | - | - | 1.6 × 10−13 | 3.1 × 10−3 |
| Model | Input Variables | Training Process | Testing Process | ||||||||
|---|---|---|---|---|---|---|---|---|---|---|---|
| R | d | MAE (%) | RMSE (%) | NRMSE (%) | R | d | MAE (%) | RMSE (%) | NRMSE (%) | ||
| MLR-1 | H, P, D, da, SL, SS, T, RH, WS, WD | 0.960 | 0.979 | 2.458 | 2.923 | 0.036 | 0.943 | 0.971 | 3.333 | 4.252 | 0.049 |
| MLR-2 | T, RH, WS, WD | 0.806 | 0.884 | 4.854 | 6.005 | 0.073 | 0.744 | 0.838 | 7.667 | 9.950 | 0.116 |
| MLR-3 | WS, WD | 0.788 | 0.870 | 5.271 | 6.280 | 0.076 | 0.780 | 0.860 | 8.833 | 10.851 | 0.126 |
| MLR-4 | T, RH | 0.226 | 0.174 | 8.479 | 10.003 | 0.122 | 0.498 | 0.571 | 8.583 | 11.303 | 0.131 |
| MLR-5 | H, P, D, da, SL, SS | 0.629 | 0.732 | 6.729 | 7.993 | 0.097 | 0.525 | 0.624 | 5.167 | 6.481 | 0.075 |
| MLR-6 | P, D, da | 0.608 | 0.704 | 6.854 | 8.151 | 0.099 | 0.324 | 0.450 | 6.250 | 7.724 | 0.090 |
| MLR-7 | H, SL, SS | 0.365 | 0.367 | 8.438 | 9.627 | 0.117 | 0.374 | 0.399 | 10.125 | 12.061 | 0.140 |
| MLR-8 | P, D, da, WS, WD | 0.808 | 0.327 | 10.792 | 13.393 | 0.163 | 0.862 | 0.919 | 5.208 | 6.668 | 0.078 |
| MLR-9 | H, SL, SS, WS, WD | 0.948 | 0.972 | 2.667 | 3.279 | 0.040 | 0.921 | 0.772 | 8.125 | 9.585 | 0.111 |
| MLR-10 | H, P, D, SL, WS, WD | 0.942 | 0.968 | 2.917 | 3.512 | 0.043 | 0.913 | 0.946 | 4.875 | 5.601 | 0.065 |
Disclaimer/Publisher’s Note: The statements, opinions and data contained in all publications are solely those of the individual author(s) and contributor(s) and not of MDPI and/or the editor(s). MDPI and/or the editor(s) disclaim responsibility for any injury to people or property resulting from any ideas, methods, instructions or products referred to in the content. |
© 2023 by the authors. Licensee MDPI, Basel, Switzerland. This article is an open access article distributed under the terms and conditions of the Creative Commons Attribution (CC BY) license (https://creativecommons.org/licenses/by/4.0/).
Share and Cite
Skhiri, A.; Gabsi, K.; Dewidar, A.Z.; Mattar, M.A. Artificial Neural Networks versus Multiple Linear Regressions to Predict the Christiansen Uniformity Coefficient in Sprinkler Irrigation. Agronomy 2023, 13, 2979. https://doi.org/10.3390/agronomy13122979
Skhiri A, Gabsi K, Dewidar AZ, Mattar MA. Artificial Neural Networks versus Multiple Linear Regressions to Predict the Christiansen Uniformity Coefficient in Sprinkler Irrigation. Agronomy. 2023; 13(12):2979. https://doi.org/10.3390/agronomy13122979
Chicago/Turabian StyleSkhiri, Ahmed, Karim Gabsi, Ahmed Z. Dewidar, and Mohamed A. Mattar. 2023. "Artificial Neural Networks versus Multiple Linear Regressions to Predict the Christiansen Uniformity Coefficient in Sprinkler Irrigation" Agronomy 13, no. 12: 2979. https://doi.org/10.3390/agronomy13122979
APA StyleSkhiri, A., Gabsi, K., Dewidar, A. Z., & Mattar, M. A. (2023). Artificial Neural Networks versus Multiple Linear Regressions to Predict the Christiansen Uniformity Coefficient in Sprinkler Irrigation. Agronomy, 13(12), 2979. https://doi.org/10.3390/agronomy13122979

