Effect of Preharvest Treatments with Sodium Bicarbonate and Potassium Silicate in Navel and Valencia Oranges to Control Fungal Decay and Maintain Quality Traits during Cold Storage
Abstract
:1. Introduction
2. Materials and Methods
2.1. Plant Material, Experimental Design, and Sample Preparation
2.2. Decay Incidence of Oranges
2.3. Fruit Quality Evaluation
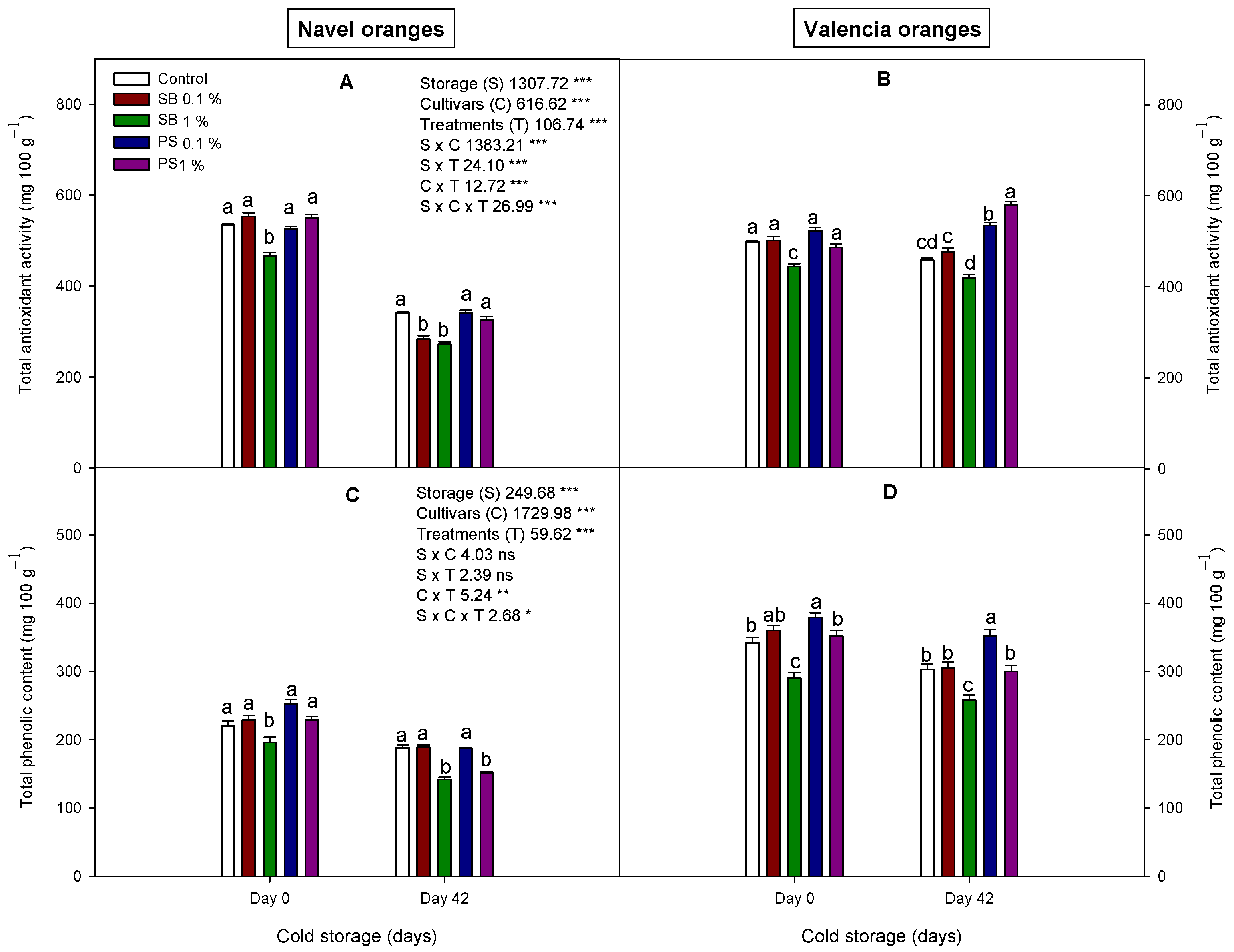
2.4. Total Carotenoids, Total Phenolics, and Total Antioxidant Activity
2.5. Statistical Analysis
3. Results
4. Discussion
5. Conclusions
Author Contributions
Funding
Data Availability Statement
Conflicts of Interest
References
- FAO. Production Statistics. 2020. Available online: https://www.fao.org/markets-andtrade/commodities/citrus/en/ (accessed on 14 August 2023).
- Lado, J.; Gambetta, G.; Zacarias, L. Key determinants of citrus fruit quality: Metabolites and main changes during maturation. Sci. Hortic. 2018, 233, 238–248. [Google Scholar] [CrossRef]
- Seminara, S.; Bennici, S.; Di Guardo, M.; Caruso, M.; Gentile, A.; La Malfa, S.; Distefano, G. Sweet Orange: Evolution, Characterization, Varieties, and Breeding Perspectives. Agriculture 2023, 13, 264. [Google Scholar] [CrossRef]
- Youssef, K.; Ligorio, A.; Sanzani, S.M.; Nigro, F.; Ippolito, A. Control of storage diseases of citrus by pre- and postharvest application of salts. Postharvest Biol. Technol. 2012, 72, 57–63. [Google Scholar] [CrossRef]
- Wisniewski, M.; Droby, S.; Norelli, J.; Liu, J.; Schena, L. Alternative management technologies for postharvest disease control: The journey from simplicity to complexity. Postharvest Biol. Technol. 2016, 122, 3–10. [Google Scholar] [CrossRef]
- Smilanick, J.L.; Margosan, D.A.; Mlikota-Gabler, F.; Usall, J.; Michael, I.F. Control of citrus green mold by carbonate and bicarbonate salts and the influence of commercial postharvest practices on their efficacy. Plant Dis. 1999, 83, 139–145. [Google Scholar] [CrossRef] [PubMed]
- Plaza, P.; Usall, J.; Torres, R.; Abadias, M.; Smilanick, J.L.; Viñas, I. The use of sodium carbonate to improve curing treatments against green and blue moulds on citrus fruits. Pest Manag. Sci. 2004, 60, 815–821. [Google Scholar] [CrossRef]
- Youssef, K.; Ruffo-Roberto, S. Applications of salt solutions before and after harvest affect the quality and incidence of postharvest gray mold of ‘Italia’ table grapes. Postharvest Biol. Technol. 2014, 87, 95–102. [Google Scholar] [CrossRef]
- Nigro, F.; Schena, L.; Ligorio, A.; Pentimone, I.; Ippolito, A.; Salerno, M.G. Control of table grape storage rots by pre-harvest applications of salts. Postharvest Biol. Technol. 2006, 42, 142–149. [Google Scholar] [CrossRef]
- Karabulut, O.A.; Arslan, U.; Kuruoglu, G. Control of postharvest diseases of organically grown strawberry with preharvest applications of some food additives and postharvest hot water dips. J. Phytopathol. 2004, 152, 224–228. [Google Scholar] [CrossRef]
- Palou, L. Postharvest treatments with GRAS salts to control fresh fruit decay. Horticulturae 2018, 4, 46. [Google Scholar] [CrossRef]
- Soto-Muñoz, L.; Taberner, V.; de la Fuente, B.; Jerbi, N.; Palou, L. Curative activity of postharvest GRAS salt treatments to control citrus sour rot caused by Geotrichum citri-aurantii. Int. J. Food Microbiol. 2020, 335, 108860. [Google Scholar] [CrossRef] [PubMed]
- Alaoui, F.T.; Askarne, L.; Boubaker, H.; Boudyach, E.H.; Aoumar, A.A.B. Control of gray mold disease of tomato by postharvest application of organic acids and salts. Plant Pathol. J. 2017, 16, 62–72. [Google Scholar]
- Villaplana, R.; Alba, P.; Valencia-Chamorro, S. Sodium bicarbonate salts for the control of postharvest black rot disease in yellow pitahaya (Selenicereus megalanthus). Crop Prot. 2018, 114, 90–96. [Google Scholar] [CrossRef]
- Palou, L.; Smilanick, J.L.; Usall, J.; Viñas, I. Control of postharvest blue and green molds of oranges by hot water, sodium carbonate, and sodium bicarbonate. Plant Dis. 2001, 85, 371–376. [Google Scholar] [CrossRef] [PubMed]
- Palou, L.; Usall, J.; Muñoz, J.A.; Smilanick, J.L.; Viñas, I. Hot water, sodium carbonate, and sodium bicarbonate for the control of postharvest green and blue molds of clementine mandarins. Postharvest Biol. Technol. 2002, 24, 93–96. [Google Scholar] [CrossRef]
- Mditshwa, A.; Bower, J.P.; Bertling, I.; Mathaba, N.; Tesfay, S.Z. The potential of postharvest silicon dips to regulate phenolics in citrus peel as a method to mitigate chilling injury in lemons. Afr. J. Biotechnol. 2013, 12, 1482–1489. [Google Scholar]
- Shen, G.H.; Xue, Q.H.; Tang, M.; Chen, Q.; Wang, L.N.; Duan, C.M.; Xue, L.; Zhao, J. Inhibitory effects of potassium silicate on five soil-borne phytopathogenic fungi in vitro. J. Plant Dis. Prot. 2010, 117, 180–184. [Google Scholar] [CrossRef]
- Nikagolla, N.G.D.N.; Udugala-Ganehenege, M.Y.; Daundasekera, W.A.M. Postharvest application of potassium silicate improves keeping quality of banana. J. Hortic. Sci. Biotecnol. 2019, 94, 735–743. [Google Scholar] [CrossRef]
- Tesfay, S.Z.; Bertling, I.; Bower, J.P. Effects of postharvest potassium silicate application on phenolics and other anti-oxidant systems aligned to avocado fruit quality. Postharvest Biol. Technol. 2011, 60, 92–99. [Google Scholar] [CrossRef]
- Youssef, K.; Sanzani, S.M.; Ligorio, A.; Ippolito, A.; Terry, L.A. Sodium carbonate and bicarbonate treatments induce resistance to postharvest green mould on citrus fruit. Postharvest Biol. Technol. 2014, 87, 61–69. [Google Scholar] [CrossRef]
- Martínez-Esplá, A.; Zapata, P.J.; Valero, D.; Martínez-Romero, D.; Díaz-Mula, H.M.; Serrano, M. Preharvest treatments with salicylates enhance nutrient and antioxidant compounds in plum at harvest and after storage. J. Sci. Food Agric. 2018, 98, 2742–2750. [Google Scholar] [CrossRef] [PubMed]
- De Carvalho, L.M.J.; Barros-Gomes, P.; de Oliveira-Godoy, R.L.; Pacheco, S.; Fernandez do Monte, P.H.; Viana de Carvalho, J.L.; Regini-Nutti, M.; Lima-Neves, A.C.; Rodrigues Alves Vieira, A.C.; Ramalho-Ramos, S.R. Total carotenoid content, α-carotene and β-carotene, of landrace pumpkins (Cucurbita moschata Duch): A preliminary study. Food Res. Int. 2012, 47, 337–340. [Google Scholar] [CrossRef]
- Serna-Escolano, V.; Valverde, J.M.; García-Pastor, M.E.; Valero, D.; Castillo, S.; Guillén, F.; Martínez-Romero, D.; Zapata, P.J.; Serrano, M. Pre-harvest methyl jasmonate treatments increase antioxidant systems in lemon fruit without affecting yield or other fruit quality parameters. J. Sci. Food Agric. 2019, 99, 5035–5043. [Google Scholar] [CrossRef] [PubMed]
- Serna-Escolano, V.; Martínez-Romero, D.; Giménez, M.J.; Serrano, M.; García-Martínez, S.; Valero, D.; Valverde, J.M.; Zapata, P.J. Enhancing antioxidant systems by preharvest treatments with methyl jasmonate and salicylic acid leads to maintain lemon quality during cold storage. Food Chem. 2021, 338, 128044. [Google Scholar] [CrossRef] [PubMed]
- Mari, M.; Neri, F.; Bertolini, P. Management of important diseases in Mediterranean high value crops. Stewart Postharvest Rev. 2009, 5, 1–10. [Google Scholar]
- Moscoso-Ramírez, P.A.; Palou, L. Preventive and curative activity of postharvest potassium silicate treatments to control green and blue molds on orange fruit. Eur. J. Plant Pathol. 2014, 138, 721–732. [Google Scholar] [CrossRef]
- Palou, L.; Marcilla, A.; Rojas-Argudo, C.; Alonso, M.; Jacas, J.A.; del Río, M.A. Effects of X-ray irradiation and sodium carbonate treatments on postharvest Penicillium decay and quality attributes of clementine mandarins. Postharvest Biol. Technol. 2007, 46, 252–261. [Google Scholar] [CrossRef]
- Albersheim, P.; Darvill, A.; Roberts, K.; Sederoff, R.; Staehelin, A. Cell walls and plant–microbe interactions. In Plant Cell Walls: From Chemistry to Biology; Garland Science, Taylor & Francis Group LLC.: New York, NY, USA, 2011; pp. 319–363. [Google Scholar]
- Flowers, T.J.; Munns, R.; Colmer, T.D. Sodium chloride toxicity and the cellular basis of salt tolerance in halophytes. Ann. Bot. 2015, 115, 419–431. [Google Scholar] [CrossRef]
- Fallanaj, F.; Ippolito, A.; Ligorio, A.; Garganese, F.; Zavanella, C.; Sanzani, S.M. Electrolyzed sodium bicarbonate inhibits Penicillium digitatum and induces defence responses against green mould in citrus fruit. Postharvest Biol. Technol. 2016, 115, 18–29. [Google Scholar] [CrossRef]
- Decros, G.; Baldet, P.; Beauvoit, B.; Stevens, R.; Flandin, A.; Colombié, S.; Gibon, Y.; Pétriacq, P. Get the Balance Right: ROS Homeostasis and Redox Signalling in Fruit. Front. Plant. Sci. 2019, 10, 01091. [Google Scholar] [CrossRef]
- Shabala, S.; Mackay, A. Ion transport in halophytes. In Plant Responses to Drought and Salinity Stress: Developments in a Post Genomic Era; Turkan, I., Ed.; Academic Press; Elsevier: London, UK, 2011; pp. 151–199. [Google Scholar]
- Venditti, T.; D’hallewin, G.; Ladu, G.; Petretto, G.L.; Pintore, G.; Labavitch, J.M. Effect of NaHCO3 treatments on the activity of cell-wall-degrading enzymes produced by Penicillium digitatum during the pathogenesis process on grapefruit. J. Sci. Food Agric. 2018, 98, 4928–4936. [Google Scholar] [CrossRef] [PubMed]
- Brizzola, S.; Manganaris, G.A.; Fotopoulos, V.; Watkins, C.B.; Tonutti, P. Primary metabolism in fresh fruits during storage. Front. Plant. Sci. 2020, 11, 00080. [Google Scholar]
- Espley, R.V.; Jaakola, L. The role of environmental stress in fruit pigmentation. Plant Cell Environ. 2023, 46, 3663–3679. [Google Scholar] [CrossRef] [PubMed]
- Zacarías-García, J.; Conjé, P.J.; Diretto, G.; Zacarías, L.; Rodrigo, M.J. A comprehensive analysis of carotenoids metabolism in two red-fleshed mutants of Navel and Valencia sweet oranges (Citrus sinensis). Front. Plant Sci. 2022, 13, 1034204. [Google Scholar] [CrossRef]
- Abidi, W.; Akrimi, R.; Hajlaoui, H.; Rejeb, H.; Gogorcena, Y. Foliar fertilization of potassium silicon improved postharvest fruit quality of peach and nectarine [Prunus persica (L.) Batsch] cultivars. Agriculture 2023, 13, 195. [Google Scholar] [CrossRef]
- Ozgur, R.; Uzilday, B.; Sekmen, A.H.; Turkan, I. Reactive oxygen species regulation and antioxidant defense in halophytes. Funct. Plant Biol. 2013, 40, 832–847. [Google Scholar] [CrossRef]
- Moulehi, I.; Bourgou, S.; Ourghemmi, I.; Saidani-Tounsi, M. Variety and ripening impact on phenolic composition and antioxidant activity of mandarin (Citrus reticulate Blanco) and bitter orange (Citrus aurantium L.) seeds extracts. Ind. Crops Prod. 2012, 39, 74–80. [Google Scholar] [CrossRef]




| Cultivar (C) | Storage Day (S) | Treatment (T) | Weight Loss (%) | Firmness (N mm−1) | Respiration Rate (mg CO2 Kg−1 h−1) | Maturity Index (°Brix/% TA Ratio) | Citrus Color Index (CCI) |
|---|---|---|---|---|---|---|---|
| Navel oranges | Control | 7.00 ± 0.26 | 21.39 ± 0.52 | 5.78 ± 0.13 | 6.09 ± 0.22 | ||
| SB 0.1% | 7.54 ± 0.14 | 21.98 ± 0.61 | 5.43 ± 0.13 | 5.92 ± 0.14 | |||
| 0 | SB 1% | 7.39 ± 0.23 | 25.23 ± 0.42 | 6.33 ± 0.10 | 6.21 ± 0.11 | ||
| PS 0.1% | 6.95 ± 0.26 | 20.93 ± 0.58 | 5.34 ± 0.12 | 5.23 ± 0.15 | |||
| PS 1% | 7.02 ± 0.20 | 21.66 ± 0.53 | 5.42 ± 0.14 | 5.41 ± 0.15 | |||
| Control | 4.28 ± 0.18 | 4.55 ± 0.14 | 13.43 ± 0.32 | 6.97 ± 0.12 | 7.19 ± 0.13 | ||
| SB 0.1% | 3.93 ± 0.14 | 4.40 ± 0.20 | 13.16 ± 0.38 | 6.85 ± 0.11 | 6.98 ± 0.19 | ||
| 42 | SB 1% | 7.02 ± 0.15 | 3.80 ± 0.25 | 18.14 ± 0.40 | 7.06 ± 0.14 | 7.96 ± 0.24 | |
| PS 0.1% | 3.98 ± 0.14 | 4.41 ± 0.20 | 13.13 ± 0.32 | 6.92 ± 0.14 | 7.11 ± 0.13 | ||
| PS 1% | 4.13 ± 0.14 | 4.24 ± 0.16 | 13.25 ± 0.34 | 6.97 ± 0.10 | 7.81 ± 0.20 | ||
| Valencia oranges | Control | 7.04 ± 0.15 | 25.91 ± 0.52 | 4.47 ± 0.09 | 4.23 ± 0.11 | ||
| SB 0.1% | 7.17 ± 0.10 | 25.56 ± 0.49 | 4.80 ± 0.12 | 4.88 ± 0.11 | |||
| 0 | SB 1% | 6.36 ± 0.16 | 30.06 ± 0.53 | 5.31 ± 0.12 | 5.64 ± 0.17 | ||
| PS 0.1% | 7.02 ± 0.15 | 25.24 ± 0.51 | 4.55 ± 0.10 | 4.89 ± 0.14 | |||
| PS 1% | 6.80 ± 0.13 | 25.49 ± 0.38 | 4.67 ± 0.11 | 4.79 ± 0.12 | |||
| Control | 3.36 ± 0.14 | 5.81 ± 0.11 | 15.56 ± 0.49 | 5.50 ± 0.11 | 5.24 ± 0.18 | ||
| SB 0.1% | 3.23 ± 0.15 | 5.60 ± 0.16 | 15.16 ± 0.20 | 5.67 ± 0.13 | 5.36 ± 0.17 | ||
| 42 | SB 1% | 4.53 ± 0.12 | 3.61 ± 0.14 | 21.22 ± 0.29 | 6.25 ± 0.15 | 6.20 ± 0.20 | |
| PS 0.1% | 3.30 ± 0.14 | 5.24 ± 0.17 | 14.79 ± 0.12. | 5.46 ± 0.12 | 5.27 ± 0.18 | ||
| PS 1% | 3.26 ± 0.14 | 5.02 ± 0.17 | 15.26 ± 0.26 | 5.65 ± 0.12 | 5.19 ± 0.16 | ||
| ANOVA | |||||||
| S | - | 880.60 *** | 2218.92 *** | 441.85 *** | 226.56 *** | ||
| C | 150.01 *** | 8.78 ** | 277.99 *** | 407.26 *** | 379.28 *** | ||
| T | 82.19 *** | 15.70 *** | 100.91 *** | 20.00 *** | 19.03 *** | ||
| S × C | - | 46.15 *** | 28.37 *** | 10.41 ** | 53.47 *** | ||
| S × T | - | 7.91 ** | 2.13 ns | 2.14 ns | 1.91 ns | ||
| C × T | 13.70 *** | 7.78 ** | 1.17 ns | 2.71 ns | 4.24 * | ||
| S × C × T | - | 0.85 ns | 0.27 ns | 2.34 ns | 5.40 ** | ||
| Tukey’s test | |||||||
| Control | A | A | BC | A | A | ||
| SB 0.1% | A | A | C | A | A | ||
| SB 1% | B | B | A | B | B | ||
| PS 0.1% | A | A | BC | A | A | ||
| PS 1% | A | A | B | A | A |
Disclaimer/Publisher’s Note: The statements, opinions and data contained in all publications are solely those of the individual author(s) and contributor(s) and not of MDPI and/or the editor(s). MDPI and/or the editor(s) disclaim responsibility for any injury to people or property resulting from any ideas, methods, instructions or products referred to in the content. |
© 2023 by the authors. Licensee MDPI, Basel, Switzerland. This article is an open access article distributed under the terms and conditions of the Creative Commons Attribution (CC BY) license (https://creativecommons.org/licenses/by/4.0/).
Share and Cite
Serna-Escolano, V.; Gutiérrez-Pozo, M.; Dobón-Suárez, A.; Zapata, P.J.; Giménez, M.J. Effect of Preharvest Treatments with Sodium Bicarbonate and Potassium Silicate in Navel and Valencia Oranges to Control Fungal Decay and Maintain Quality Traits during Cold Storage. Agronomy 2023, 13, 2925. https://doi.org/10.3390/agronomy13122925
Serna-Escolano V, Gutiérrez-Pozo M, Dobón-Suárez A, Zapata PJ, Giménez MJ. Effect of Preharvest Treatments with Sodium Bicarbonate and Potassium Silicate in Navel and Valencia Oranges to Control Fungal Decay and Maintain Quality Traits during Cold Storage. Agronomy. 2023; 13(12):2925. https://doi.org/10.3390/agronomy13122925
Chicago/Turabian StyleSerna-Escolano, Vicente, María Gutiérrez-Pozo, Alicia Dobón-Suárez, Pedro J. Zapata, and María José Giménez. 2023. "Effect of Preharvest Treatments with Sodium Bicarbonate and Potassium Silicate in Navel and Valencia Oranges to Control Fungal Decay and Maintain Quality Traits during Cold Storage" Agronomy 13, no. 12: 2925. https://doi.org/10.3390/agronomy13122925
APA StyleSerna-Escolano, V., Gutiérrez-Pozo, M., Dobón-Suárez, A., Zapata, P. J., & Giménez, M. J. (2023). Effect of Preharvest Treatments with Sodium Bicarbonate and Potassium Silicate in Navel and Valencia Oranges to Control Fungal Decay and Maintain Quality Traits during Cold Storage. Agronomy, 13(12), 2925. https://doi.org/10.3390/agronomy13122925
