Effect of Short-Term Water Deficit on Some Physiological Properties of Wheat (Triticum aestivum L.) with Different Spike Morphotypes
Abstract
1. Introduction
2. Materials and Methods
2.1. Plant Material and Experimental Conditions
2.2. Pigments Contents
2.3. Gas Exchange Parameters
2.4. Parameters of Fluorescence
2.5. Water Potential
2.6. Statistical Analysis
3. Results
3.1. Pigments Contents
3.2. Gas Exchange Parameters
3.3. Parameters of Fluorescence
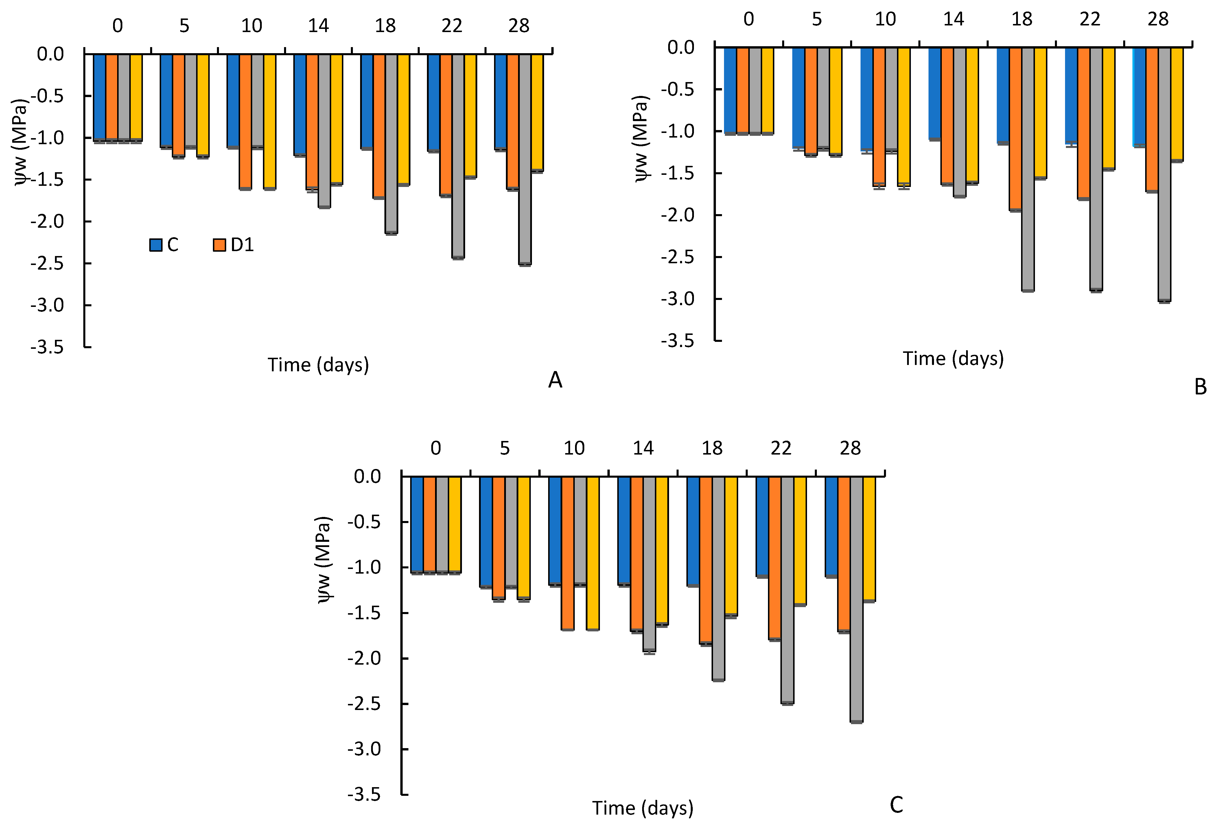
3.4. Water Potential (ψw)
3.5. Statistical Analysis
4. Discussion
5. Conclusions
Author Contributions
Funding
Data Availability Statement
Conflicts of Interest
References
- Lipiec, J.; Doussan, C.; Nosalewicz, A.; Kondracka, K. Effect of Drought and Heat Stresses on Plant Growth and Yield: A Review. Int. Agrophys. 2013, 27, 463–477. [Google Scholar] [CrossRef]
- Abid, M.; Ali, S.; Qi, L.K.; Zahoor, R.; Tian, Z.; Jiang, D.; Snider, J.L.; Dai, T. Physiological and Biochemical Changes during Drought and Recovery Periods at Tillering and Jointing Stages in Wheat (Triticum aestivum L.). Sci. Rep. 2018, 8, 4615. [Google Scholar] [CrossRef] [PubMed]
- Katam, R.; Shokri, S.; Murthy, N.; Singh, S.K.; Suravajhala, P.; Khan, M.N.; Bahmani, M.; Sakata, K.; Reddy, K.R. Proteomics, Physiological, and Biochemical Analysis of Cross Tolerance Mechanisms in Response to Heat and Water Stresses in Soybean. PLoS ONE 2020, 15, e0233905. [Google Scholar] [CrossRef]
- Todorova, D.; Aleksandrov, V.; Anev, S.; Sergiev, I. Photosynthesis Alterations in Wheat Plants Induced by Herbicide, Soil Drought or Flooding. Agronomy 2022, 12, 390. [Google Scholar] [CrossRef]
- Khan, M.; Iqbal, M.; Akram, M.; Ahmad, M.; Hassan, M.; Jamil, M. Recent Advances in Molecular Tool Development for Drought Tolerance Breeding in Cereal Crops: A Review. Zemdirbyste-Agric. Zemdirb. Agric. 2013, 100, 325–334. [Google Scholar] [CrossRef]
- Asfaw, A.; Blair, M.W. Quantification of Drought Tolerance in Ethiopian Common Bean Varieties. Agric. Sci. 2014, 5, 124–139. [Google Scholar] [CrossRef]
- Sekhon, H.S.; Singh, G.; Sharma, P.; Bains, T.S. Water Use Efficiency Under Stress Environments. In Climate Change and Management of Cool Season Grain Legume Crops; Yadav, S.S., Redden, R., Eds.; Springer: Dordrecht, the Netherlands, 2010; pp. 207–227. ISBN 978-90-481-3709-1. [Google Scholar]
- Jaleel, C.A.; Manivannan, P.; Wahid, A.; Farooq, M.; Al-Juburi, J.; Somasundaram, R.; Panneerselvam, R. Drought Stress in Plants: A Review on Morphological Characteristics and Pigments Composition. Int. J. Agric. Biol. 2009, 11, 7. [Google Scholar]
- Liu, H.; Song, S.; Zhang, H.; Li, Y.; Niu, L.; Zhang, J.; Wang, W. Signaling Transduction of ABA, ROS, and Ca2+ in Plant Stomatal Closure in Response to Drought. Int. J. Mol. Sci. 2022, 23, 14824. [Google Scholar] [CrossRef]
- Griffin, J.J.; Ranney, T.G.; Pharr, D.M. Heat and Drought Influence Photosynthesis, Water Relations, and Soluble Carbohydrates of Two Ecotypes of Redbud (Cercis Canadensis). J. Am. Soc. Hortic. Sci. 2004, 129, 497–502. [Google Scholar] [CrossRef]
- Yang, Y.; Li, X.M.; Sun, Z.H.; Yang, T.; Tan, Z.L.; Wang, B.F.; Han, X.F.; He, Z.X. The Growth Performance and Meat Quality of Goats Fed Diets Based on Maize or Wheat Grain. J. Anim. Feed Sci. 2012, 21, 587–598. [Google Scholar] [CrossRef]
- Xu, Z.; Zhou, G.; Shimizu, H. Plant Responses to Drought and Rewatering. Plant Signal. Behav. 2010, 5, 649–654. [Google Scholar] [CrossRef] [PubMed]
- Ashraf, M.; Harris, P.J.C. Photosynthesis under Stressful Environments: An Overview. Photosynthetica 2013, 51, 163–190. [Google Scholar] [CrossRef]
- Murtaza, G.; Rasool, F.; Habib, R.; Javed, T.; Sardar, K.; Ayub, M.; Ayub, M.; Rasool, A. A Review of Morphological, Physiological and Biochemical Responses of Plants under Drought Stress Conditions. Imp. J. Interdiscip. Res. 2016, 12, 1600–1606. [Google Scholar]
- Zlatev, Z.; Lidon, F. An Overview on Drought Induced Changes in Plant Growth, Water Relations and Photosynthesis. Emir. J. Food Agric. 2012, 24, 57–72. [Google Scholar]
- Nayyar, H.; Gupta, D. Differential Sensitivity of C3 and C4 Plants to Water Deficit Stress: Association with Oxidative Stress and Antioxidants. Environ. Exp. Bot. 2006, 58, 106–113. [Google Scholar] [CrossRef]
- Zhang, N.; Zhao, B.; Zhang, H.-J.; Weeda, S.; Yang, C.; Yang, Z.-C.; Ren, S.; Guo, Y.-D. Melatonin Promotes Water-Stress Tolerance, Lateral Root Formation, and Seed Germination in Cucumber (Cucumis Sativus L.). J. Pineal Res. 2013, 54, 15–23. [Google Scholar] [CrossRef]
- Moharramnejad, S.; Sofalian, O.; Valizadeh, M.; Asgari, A.; Shiri, M. Response of antioxidant defense system to osmotic stress in maize seedlings. Fresenius Environ. Bull. 2016, 25, 805–811. [Google Scholar]
- Khan, N.; Bano, A.; Rahman, M.A.; Guo, J.; Kang, Z.; Babar, M.A. Comparative Physiological and Metabolic Analysis Reveals a Complex Mechanism Involved in Drought Tolerance in Chickpea (Cicer Arietinum L.) Induced by PGPR and PGRs. Sci. Rep. 2019, 9, 2097. [Google Scholar] [CrossRef]
- Simova-Stoilova, L.; Kirova, E.; Pecheva, D. Drought Stress Response in Winter Wheat Varieties—Changes in Leaf Proteins and Proteolytic Activities. Acta Bot. Croat. 2020, 79, 121–130. [Google Scholar] [CrossRef]
- Qi, M.; Liu, X.; Li, Y.; Song, H.; Yin, Z.; Zhang, F.; He, Q.; Xu, Z.; Zhou, G. Photosynthetic Resistance and Resilience under Drought, Flooding and Rewatering in Maize Plants. Photosynth. Res. 2021, 148, 1–15. [Google Scholar] [CrossRef]
- Marcińska, I.; Czyczyło-Mysza, I.; Skrzypek, E.; Filek, M.; Grzesiak, S.; Grzesiak, M.T.; Janowiak, F.; Hura, T.; Dziurka, M.; Dziurka, K.; et al. Impact of Osmotic Stress on Physiological and Biochemical Characteristics in Drought-Susceptible and Drought-Resistant Wheat Genotypes. Acta Physiol. Plant. 2013, 35, 451–461. [Google Scholar] [CrossRef]
- Basu, S.; Ramegowda, V.; Kumar, A.; Pereira, A. Plant Adaptation to Drought Stress. F1000Research 2016, 5, 1554. [Google Scholar] [CrossRef] [PubMed]
- Kalaji, H.M.; Carpentier, R.; Allakhverdiev, S.I.; Bosa, K. Fluorescence Parameters as Early Indicators of Light Stress in Barley. J. Photochem. Photobiol. B 2012, 112, 1–6. [Google Scholar] [CrossRef] [PubMed]
- Kalaji, H.M.; Jajoo, A.; Oukarroum, A.; Brestic, M.; Zivcak, M.; Samborska, I.A.; Cetner, M.D.; Łukasik, I.; Goltsev, V.; Ladle, R.J. Chlorophyll a Fluorescence as a Tool to Monitor Physiological Status of Plants under Abiotic Stress Conditions. Acta Physiol. Plant. 2016, 38, 102. [Google Scholar] [CrossRef]
- Borawska-Jarmułowicz, B.; Mastalerczuk, G.; Pietkiewicz, S.; Kalaji, M.H. Low Temperature and Hardening Effects on Photosynthetic Apparatus Efficiency and Survival of Forage Grass Varieties. Plant Soil Environ. 2014, 60, 177–183. [Google Scholar] [CrossRef]
- Farooq, M.; Rizwan, M.; Nawaz, A.; Rehman, A.; Ahmad, R. Application of Natural Plant Extracts Improves the Tolerance against Combined Terminal Heat and Drought Stresses in Bread Wheat. J. Agron. Crop Sci. 2017, 203, 528–538. [Google Scholar] [CrossRef]
- Khaleghi, A.; Naderi, R.; Brunetti, C.; Maserti, B.E.; Salami, S.A.; Babalar, M. Morphological, Physiochemical and Antioxidant Responses of Maclura Pomifera to Drought Stress. Sci. Rep. 2019, 9, 19250. [Google Scholar] [CrossRef]
- Yang, X.; Lu, M.; Wang, Y.; Wang, Y.; Liu, Z.; Chen, S. Response Mechanism of Plants to Drought Stress. Horticulturae 2021, 7, 50. [Google Scholar] [CrossRef]
- Keerthi Sree, Y.; Lakra, N.; Manorama, K.; Ahlawat, Y.; Zaid, A.; Elansary, H.O.; Sayed, S.R.M.; Rashwan, M.A.; Mahmoud, E.A. Drought-Induced Morpho-Physiological, Biochemical, Metabolite Responses and Protein Profiling of Chickpea (Cicer Arietinum L.). Agronomy 2023, 13, 1814. [Google Scholar] [CrossRef]
- Majeed, S.; Nawaz, F.; Naeem, M.; Ashraf, M.Y.; Ejaz, S.; Ahmad, K.S.; Tauseef, S.; Farid, G.; Khalid, I.; Mehmood, K. Nitric Oxide Regulates Water Status and Associated Enzymatic Pathways to Inhibit Nutrients Imbalance in Maize (Zea Mays L.) under Drought Stress. Plant Physiol. Biochem. 2020, 155, 147–160. [Google Scholar] [CrossRef]
- Rahim, F.P.; María Alejandra, T.T.; Víctor Manuel, Z.V.; José Elías, T.R.; Maginot, N.H. Stomatal Traits and Barley (Hordeum Vulgare L.) Forage Yield in Drought Conditions of Northeastern Mexico. Plants 2021, 10, 1318. [Google Scholar] [CrossRef]
- Sabagh, A.E.; Hossain, A.; Islam, M.S.; Barutcular, C.; Hussain, S.; Hasanuzzaman, M.; Akram, T.; Mubeen, M.; Nasim, W.; Fahad, S.; et al. Drought and Salinity Stresses in Barley: Consequences and Mitigation Strategies. Aust. J. Crop Sci. 2019, 810–820. [Google Scholar] [CrossRef]
- Ding, Y.; Nie, Y.; Chen, H.; Wang, K.; Querejeta, J.I. Water Uptake Depth Is Coordinated with Leaf Water Potential, Water-Use Efficiency and Drought Vulnerability in Karst Vegetation. New Phytol. 2021, 229, 1339–1353. [Google Scholar] [CrossRef] [PubMed]
- Hura, T.; Hura, K.; Ostrowska, A.; Urban, K. Non-Rolling Flag Leaves Use an Effective Mechanism to Reduce Water Loss and Light-Induced Damage under Drought Stress. Ann. Bot. 2022, 130, 393–408. [Google Scholar] [CrossRef] [PubMed]
- Sewore, B.M.; Abe, A.; Nigussie, M. Evaluation of Bread Wheat (Triticum aestivum L.) Genotypes for Drought Tolerance Using Morpho-Physiological Traits under Drought-Stressed and Well-Watered Conditions. PLoS ONE 2023, 18, e0283347. [Google Scholar] [CrossRef]
- Onyemaobi, O.; Sangma, H.; Garg, G.; Wallace, X.; Kleven, S.; Suwanchaikasem, P.; Roessner, U.; Dolferus, R. Reproductive Stage Drought Tolerance in Wheat: Importance of Stomatal Conductance and Plant Growth Regulators. Genes 2021, 12, 1742. [Google Scholar] [CrossRef]
- Grzesiak, M.T.; Rzepka, A.; Hura, T.; Hura, K.; Skoczowski, A. Changes in Response to Drought Stress of Triticale and Maize Genotypes Differing in Drought Tolerance. Photosynthetica 2007, 45, 280–287. [Google Scholar] [CrossRef]
- Popko, M.; Michalak, I.; Wilk, R.; Gramza, M.; Chojnacka, K.; Górecki, H. Effect of the New Plant Growth Biostimulants Based on Amino Acids on Yield and Grain Quality of Winter Wheat. Mol. J. Synth. Chem. Nat. Prod. Chem. 2018, 23, 470. [Google Scholar] [CrossRef]
- Moustakas, M.; Sperdouli, I.; Moustaka, J. Early Drought Stress Warning in Plants: Color Pictures of Photosystem II Photochemistry. Climate 2022, 10, 179. [Google Scholar] [CrossRef]
- Chaves, M.M.; Flexas, J.; Pinheiro, C. Photosynthesis under Drought and Salt Stress: Regulation Mechanisms from Whole Plant to Cell. Ann. Bot. 2009, 103, 551–560. [Google Scholar] [CrossRef]
- Seleiman, M.F.; Al-Suhaibani, N.; Ali, N.; Akmal, M.; Alotaibi, M.; Refay, Y.; Dindaroglu, T.; Abdul-Wajid, H.H.; Battaglia, M.L. Drought Stress Impacts on Plants and Different Approaches to Alleviate Its Adverse Effects. Plants 2021, 10, 259. [Google Scholar] [CrossRef] [PubMed]
- Mwadzingeni, L.; Shimelis, H.; Dube, E.; Laing, M.; Tsilo, T. Breeding Wheat for Drought Tolerance: Progress and Technologies. J. Integr. Agric. 2016, 15, 935–943. [Google Scholar] [CrossRef]
- Rizwan, M.; Mahboob, W.; Faheem, M.; Shimelis, H.; Hameed, A.; Sial, M.A.; Shokat, S. Can We Exploit Supernumerary Spikelet and Spike Branching Traits to Boost Bread Wheat (Triticum aestivum L.) Yield? Appl. Ecol. Environ. Res. 2020, 18, 6243–6258. [Google Scholar] [CrossRef]
- Wang, Y.; Du, F.; Wang, J.; Wang, K.; Tian, C.; Qi, X.; Lu, F.; Liu, X.; Ye, X.; Jiao, Y. Improving Bread Wheat Yield through Modulating an Unselected AP2/ERF Gene. Nat. Plants 2022, 8, 930–939. [Google Scholar] [CrossRef] [PubMed]
- Zhang, X.; Qiao, L.; Li, X.; Yang, Z.; Liu, C.; Guo, H.; Zheng, J.; Zhang, S.; Chang, L.; Chen, F.; et al. Genetic Incorporation of the Favorable Alleles for Three Genes Associated with Spikelet Development in Wheat. Front. Plant Sci. 2022, 13, 892642. [Google Scholar] [CrossRef] [PubMed]
- Li, Y.; Li, L.; Zhao, M.; Guo, L.; Guo, X.; Zhao, D.; Batool, A.; Dong, B.; Xu, H.; Cui, S.; et al. Wheat FRIZZY PANICLE Activates VERNALIZATION1-A and HOMEOBOX4-A to Regulate Spike Development in Wheat. Plant Biotechnol. J. 2021, 19, 1141–1154. [Google Scholar] [CrossRef]
- Du, D.; Zhang, D.; Yuan, J.; Feng, M.; Li, Z.; Wang, Z.; Zhang, Z.; Li, X.; Ke, W.; Li, R.; et al. Frizzy Panicle Defines a Regulatory Hub for Simultaneously Controlling Spikelet Formation and Awn Elongation in Bread Wheat. New Phytol. 2021, 231, 814–833. [Google Scholar] [CrossRef]
- Suchowilska, E.; Wiwart, M.; Bieńkowska, T. Triticum Polonicum L. as Promising Source Material for Breeding New Wheat Cultivars. J. Elem. 2019, 25, 237–248. [Google Scholar] [CrossRef]
- Romanov, B.V.; Pimonov, K.I.; Lipskij, D.D. Produkcionnye ocobennosti pšenicy Triticum petropavlovskyi. Izv. Niznevolz. Agrouniv. Kompleks. Nauka Vyss. Prof. Obraz. 2020, 4, 172–182. [Google Scholar]
- Ahmar, S.; Gill, R.A.; Jung, K.-H.; Faheem, A.; Qasim, M.U.; Mubeen, M.; Zhou, W. Conventional and Molecular Techniques from Simple Breeding to Speed Breeding in Crop Plants: Recent Advances and Future Outlook. Int. J. Mol. Sci. 2020, 21, 2590. [Google Scholar] [CrossRef]
- Maxwell, K.; Johnson, G.N. Chlorophyll Fluorescence—A Practical Guide. J. Exp. Bot. 2000, 51, 659–668. [Google Scholar] [CrossRef]
- Porra, R.J.; Thompson, W.A.; Kriedemann, P.E. Determination of Accurate Extinction Coefficients and Simultaneous Equations for Assaying Chlorophylls a and b Extracted with Four Different Solvents: Verification of the Concentration of Chlorophyll Standards by Atomic Absorption Spectroscopy. Biochim. Biophys. Acta BBA Bioenerg. 1989, 975, 384–394. [Google Scholar] [CrossRef]
- Kuklová, M.; Hniličková, H.; Kukla, J.; Hnilička, F. Environmental Impact of the Al Smelter on Physiology and Macronutrient Contents in Plants and Cambisols. Plant Soil Environ. 2016, 61, 72–78. [Google Scholar] [CrossRef]
- Radzikowska, D.; Sulewska, H.; Bandurska, H.; Ratajczak, K.; Szymańska, G.; Kowalczewski, P.Ł.; Głowicka-Wołoszyn, R. Analysis of Physiological Status in Response to Water Deficit of Spelt (Triticum aestivum ssp. Spelta) Cultivars in Reference to Common Wheat (Triticum aestivum ssp. Vulgare). Agronomy 2022, 12, 1822. [Google Scholar] [CrossRef]
- Sayed, O.H. Chlorophyll Fluorescence as a Tool in Cereal Crop Research. Photosynthetica 2003, 41, 321–330. [Google Scholar] [CrossRef]
- Zhang, R.-R.; Wang, Y.-H.; Li, T.; Tan, G.-F.; Tao, J.-P.; Su, X.-J.; Xu, Z.-S.; Tian, Y.-S.; Xiong, A.-S. Effects of Simulated Drought Stress on Carotenoid Contents and Expression of Related Genes in Carrot Taproots. Protoplasma 2021, 258, 379–390. [Google Scholar] [CrossRef] [PubMed]
- Hussain, I.; Rasheed, R.; Ashraf, M.A.; Mohsin, M.; Shah, S.M.A.; Rashid, D.A.; Akram, M.; Nisar, J.; Riaz, M. Foliar Applied Acetylsalicylic Acid Induced Growth and Key-Biochemical Changes in Chickpea (Cicer Arietinum L.) Under Drought Stress. Dose-Response 2020, 18, 1559325820956801. [Google Scholar] [CrossRef]
- Shafiq, S.; Akram, N.A.; Ashraf, M.; García-Caparrós, P.; Ali, O.M.; Latef, A.A.H.A. Influence of Glycine Betaine (Natural and Synthetic) on Growth, Metabolism and Yield Production of Drought-Stressed Maize (Zea mays L.) Plants. Plants 2021, 10, 2540. [Google Scholar] [CrossRef]
- Talebi, R.; Ensafi, M.; Baghebani, N.; Karami, E.; Mohammadi, K. Physiological Responses of Chickpea (Cicer arietinum) Genotypes to Drought Stress. Environ. Exp. Biol. 2013, 11, 9–15. [Google Scholar]
- Mashaki, K.M.; Garg, V.; Ghomi, A.A.N.; Kudapa, H.; Chitikineni, A.; Nezhad, K.Z.; Yamchi, A.; Soltanloo, H.; Varshney, R.K.; Thudi, M. RNA-Seq Analysis Revealed Genes Associated with Drought Stress Response in Kabuli Chickpea (Cicer arietinum L.). PLoS ONE 2018, 13, e0199774. [Google Scholar] [CrossRef]
- Egert, M.; Tevini, M. Influence of Drought on Some Physiological Parameters Symptomatic for Oxidative Stress in Leaves of Chives (Allium schoenoprasum). Environ. Exp. Bot. 2002, 48, 43–49. [Google Scholar] [CrossRef]
- Barboričová, M.; Filaček, A.; Mlynáriková Vysoká, D.; Gašparovič, K.; Živčák, M.; Brestič, M. Sensitivity of Fast Chlorophyll Fluorescence Parameters to Combined Heat and Drought Stress in Wheat Genotypes. Plant Soil Environ. 2022, 68, 309–316. [Google Scholar] [CrossRef]
- Wasaya, A.; Manzoor, S.; Yasir, T.A.; Sarwar, N.; Mubeen, K.; Ismail, I.A.; Raza, A.; Rehman, A.; Hossain, A.; EL Sabagh, A. Evaluation of Fourteen Bread Wheat (Triticum aestivum L.) Genotypes by Observing Gas Exchange Parameters, Relative Water and Chlorophyll Content, and Yield Attributes under Drought Stress. Sustainability 2021, 13, 4799. [Google Scholar] [CrossRef]
- Ababaf, M.; Omidi, H.; Bakhshandeh, A. Changes in Antioxidant Enzymes Activities and Alkaloid Amount of Catharanthus Roseus in Response to Plant Growth Regulators under Drought Condition. Ind. Crops Prod. 2021, 167, 113505. [Google Scholar] [CrossRef]
- Ramel, F.; Mialoundama, A.S.; Havaux, M. Nonenzymic Carotenoid Oxidation and Photooxidative Stress Signalling in Plants. J. Exp. Bot. 2013, 64, 799–805. [Google Scholar] [CrossRef] [PubMed]
- Darawsha, A.; Trachtenberg, A.; Levy, J.; Sharoni, Y. The Protective Effect of Carotenoids, Polyphenols, and Estradiol on Dermal Fibroblasts under Oxidative Stress. Antioxidants 2021, 10, 2023. [Google Scholar] [CrossRef] [PubMed]
- Mohammadkhani, N.; Heidari, R. Effects of Water Stress on Respiration, Photosynthetic Pigments and Water Content in Two Maize Cultivars. Pak. J. Biol. Sci. PJBS 2007, 10, 4022–4028. [Google Scholar] [CrossRef]
- Khalilzadeh, R.; Seyed Sharifi, R.; Jalilian, J. Antioxidant Status and Physiological Responses of Wheat (Triticum aestivum L.) to Cycocel Application and Bio Fertilizers under Water Limitation Condition. J. Plant Interact. 2016, 11, 130–137. [Google Scholar] [CrossRef]
- Taheri, Z.; Vatankhah, E.; Jafarian, V. Methyl Jasmonate Improves Physiological and Biochemical Responses of Anchusa italica under Salinity Stress. S. Afr. J. Bot. 2020, 130, 375–382. [Google Scholar] [CrossRef]
- Ali, Q.; Ali, S.; Iqbal, N.; Javed, M.T.; Rizwan, M.; Khaliq, R.; Shahid, S.; Perveen, R.; Alamri, S.A.; Alyemeni, M.N.; et al. Alpha-Tocopherol Fertigation Confers Growth Physio-Biochemical and Qualitative Yield Enhancement in Field Grown Water Deficit Wheat (Triticum aestivum L.). Sci. Rep. 2019, 9, 12924. [Google Scholar] [CrossRef]
- Anjum, S.A.; Wang, L.C.; Farooq, M.; Hussain, M.; Xue, L.L.; Zou, C.M. Brassinolide Application Improves the Drought Tolerance in Maize Through Modulation of Enzymatic Antioxidants and Leaf Gas Exchange. J. Agron. Crop Sci. 2011, 197, 177–185. [Google Scholar] [CrossRef]
- Kollist, H.; Zandalinas, S.I.; Sengupta, S.; Nuhkat, M.; Kangasjärvi, J.; Mittler, R. Rapid Responses to Abiotic Stress: Priming the Landscape for the Signal Transduction Network. Trends Plant Sci. 2019, 24, 25–37. [Google Scholar] [CrossRef] [PubMed]
- Khalil, R.; Tajti, J.; Hamow, K.Á.; Gondor, K.O.; Darko, E.; Elsayed, N.; Nagy, Z.; Szalai, G.; Janda, T.; Majláth, I. How Does Moderate Drought Affect Quantum Yield and the Regulation of Sugar Metabolism at Low Temperature in Durum Wheat (Triticum durum L.)? Photosynthetica 2021, 59, 313–326. [Google Scholar] [CrossRef]
- Kandel, S. Wheat Responses, Defence Mechanisms and Tolerance to Drought Stress: A Review Article. Int. J. Res. Appl. Sci. Biotechnol. 2021, 8, 99–109. [Google Scholar] [CrossRef]
- Wang, J.; Zhang, X.; Han, Z.; Feng, H.; Wang, Y.; Kang, J.; Han, X.; Wang, L.; Wang, C.; Li, H.; et al. Analysis of Physiological Indicators Associated with Drought Tolerance in Wheat under Drought and Re-Watering Conditions. Antioxidants 2022, 11, 2266. [Google Scholar] [CrossRef]
- Badr, A.; Brüggemann, W. Special Issue in Honour of Prof. Reto J. Strasser—Comparative Analysis of Drought Stress Response of Maize Genotypes Using Chlorophyll Fluorescence Measurements and Leaf Relative Water Content. Photosynthetica 2020, 58, 638–645. [Google Scholar] [CrossRef]
- Pinheiro, C.; Passarinho, J.A.; Ricardo, C.P. Effect of Drought and Rewatering on the Metabolism of Lupinus albus Organs. J. Plant Physiol. 2004, 161, 1203–1210. [Google Scholar] [CrossRef]
- Nisa, W.; Nisa, V.; Nagoo, S.A.; Dar, Z.A. Drought Tolerance Mechanism in Wheat: A Review. Pharma Innov. J. 2019, 8, 714–724. [Google Scholar]
- Qayyum, A.; Al Ayoubi, S.; Sher, A.; Bibi, Y.; Ahmad, S.; Shen, Z.; Jenks, M.A. Improvement in Drought Tolerance in Bread Wheat Is Related to an Improvement in Osmolyte Production, Antioxidant Enzyme Activities, and Gaseous Exchange. Saudi J. Biol. Sci. 2021, 28, 5238–5249. [Google Scholar] [CrossRef]
- Zhu, L.; Cernusak, L.A.; Song, X. Dynamic Responses of Gas Exchange and Photochemistry to Heat Interference during Drought in Wheat and Sorghum. Funct. Plant Biol. FPB 2020, 47, 611–627. [Google Scholar] [CrossRef]
- Bakhshandeh, S.; Corneo, P.E.; Yin, L.; Dijkstra, F.A. Drought and Heat Stress Reduce Yield and Alter Carbon Rhizodeposition of Different Wheat Genotypes. J. Agron. Crop Sci. 2019, 205, 157–167. [Google Scholar] [CrossRef]
- Poudel, M.; Poudel, H.; Pandey, M.; Thapa, D.; Dhakal, K. Evaluation of Wheat Genotypes under Irrigated, Heat Stress and Drought Conditions. J. Biol. Today World 2020, 9, 212. [Google Scholar]
- Papageorgiou, G.; Stamatakis, K. Water and Solute Transport in Cyanobacteria as Probed by Chlorophyll Fluorescence. In Chlorophyll a Fluorescence: A Signature of Photosynthesis; Springer: Dordrecht, The Netherlands, 2004; ISBN 978-1-4020-3217-2. [Google Scholar]
- Kramer, D.M.; Johnson, G.; Kiirats, O.; Edwards, G.E. New Fluorescence Parameters for the Determination of QA Redox State and Excitation Energy Fluxes. Photosynth. Res. 2004, 79, 209–218. [Google Scholar] [CrossRef] [PubMed]
- Peterson, R.; Havir, E. Photosynthetic Properties of an Arabidopsis thaliana Mutant Possessing a Defective PsbS Gene. Planta 2001, 214, 142–152. [Google Scholar] [CrossRef] [PubMed]
- Afshar Mohamadian, M.; Omidipour, M.; Jamal Omidi, F. Effect of Different Drought Stress Levels on Chlorophyll Fluorescence Indices of Two Bean Cultivars. J. Plant Res. Iran. J. Biol. 2018, 31, 511–525. [Google Scholar]
- Wu, X.; Tang, Y.; Li, C.; Wu, C.; Huang, G. Chlorophyll Fluorescence and Yield Responses of Winter Wheat to Waterlogging at Different Growth Stages. Plant Prod. Sci. 2015, 18, 284–294. [Google Scholar] [CrossRef]
- Sun, Z.W.; Ren, L.K.; Fan, J.W.; Li, Q.; Wang, K.J.; Guo, M.M.; Wang, L.; Li, J.; Zhang, G.X.; Yang, Z.Y.; et al. Salt Response of Photosynthetic Electron Transport System in Wheat Cultivars with Contrasting Tolerance. Plant Soil Environ. 2016, 62, 515–521. [Google Scholar] [CrossRef]
- Lu, C.; Zhang, J. Effects of Water Stress on Photosynthesis, Chlorophyll Fluorescence and Photoinhibition in Wheat Plants. Funct. Plant Biol. 1998, 25, 883–892. [Google Scholar] [CrossRef]
- Gilmore, A.M.; Björkman, O. Temperature-Sensitive Coupling and Uncoupling of ATPase-Mediated, Nonradiative Energy Dissipation: Similarities between Chloroplasts and Leaves. Planta 1995, 197, 646–654. [Google Scholar] [CrossRef]
- Zlatev, Z. Drought-Induced Changes in Chlorophyll Fluorescence of Young Wheat Plants. Biotechnol. Biotechnol. Equip. 2009, 23, 438–441. [Google Scholar] [CrossRef]
- Rys, M.; Szaleniec, M.; Skoczowski, A.; Stawoska, I.; Janeczko, A. FT-Raman Spectroscopy as a Tool in Evaluation the Response of Plants to Drought Stress. Open Chem. 2015, 13, 000010151520150121. [Google Scholar] [CrossRef]
- Larouk, C.; Gabon, F.; Kehel, Z.; Djekoun, A.; Nachit, M.; Amri, A. Chlorophyll Fluorescence and Drought Tolerance in a Mapping Population of Durum Wheat. Contemp. Agric. 2021, 70, 123–134. [Google Scholar] [CrossRef]
- Zlatev, Z.S. Drought-Induced Changes and Recovery of Photosynthesis in Two Bean Cultivars (Phaseolus vulgaris L.). Emir. J. Food Agric. 2013, 25, 1014–1023. [Google Scholar] [CrossRef]
- Chagas Torres, L.; Keller, T.; Paiva de Lima, R.; Antônio Tormena, C.; Veras de Lima, H.; Fabíola Balazero Giarola, N. Impacts of Soil Type and Crop Species on Permanent Wilting of Plants. Geoderma 2021, 384, 114798. [Google Scholar] [CrossRef]
- Yao, N.; Li, Y.; Xu, F.; Liu, J.; Chen, S.; Ma, H.; Wai Chau, H.; Liu, D.L.; Li, M.; Feng, H.; et al. Permanent Wilting Point Plays an Important Role in Simulating Winter Wheat Growth under Water Deficit Conditions. Agric. Water Manag. 2020, 229, 105954. [Google Scholar] [CrossRef]
- Henry, C.; John, G.P.; Pan, R.; Bartlett, M.K.; Fletcher, L.R.; Scoffoni, C.; Sack, L. A Stomatal Safety-Efficiency Trade-off Constrains Responses to Leaf Dehydration. Nat. Commun. 2019, 10, 3398. [Google Scholar] [CrossRef]
- Aziz, A.; Mahmood, T.; Mahmood, Z.; Shazadi, K.; Mujeeb-Kazi, A.; Rasheed, A. Genotypic Variation and Genotype × Environment Interaction for Yield-Related Traits in Synthetic Hexaploid Wheats under a Range of Optimal and Heat-Stressed Environments. Crop Sci. 2018, 58, 295–303. [Google Scholar] [CrossRef]
- Grzesiak, S.; Hordyńska, N.; Szczyrek, P.; Grzesiak, M.T.; Noga, A.; Szechyńska-Hebda, M. Variation among Wheat (Triticum easativum L.) Genotypes in Response to the Drought Stress: I—Selection Approaches. J. Plant Interact. 2019, 14, 30–44. [Google Scholar] [CrossRef]
- Mahmood, T.; Abdullah, M.; Ahmar, S.; Yasir, M.; Iqbal, M.S.; Yasir, M.; Ur Rehman, S.; Ahmed, S.; Rana, R.M.; Ghafoor, A.; et al. Incredible Role of Osmotic Adjustment in Grain Yield Sustainability under Water Scarcity Conditions in Wheat (Triticum aestivum L.). Plants 2020, 9, 1208. [Google Scholar] [CrossRef]
- Condorelli, G.E.; Newcomb, M.; Groli, E.L.; Maccaferri, M.; Forestan, C.; Babaeian, E.; Tuller, M.; White, J.W.; Ward, R.; Mockler, T.; et al. Genome Wide Association Study Uncovers the QTLome for Osmotic Adjustment and Related Drought Adaptive Traits in Durum Wheat. Genes 2022, 13, 293. [Google Scholar] [CrossRef]
- Bhutto, L.; Osborne, C.; Quick, W. Osmotic Adjustment and Metabolic Changes under Drought Stress Conditions in Wheat (Triticum aestivum L.) Genotypes. Pak. J. Bot. 2022, 55, 915–923. [Google Scholar] [CrossRef]





| Variant | Day of Experiment | |||||
|---|---|---|---|---|---|---|
| 0–5th | 6th–10th | 10th–14th | 14th–19th | 19th–24th | 24th–28th | |
| Control (C) | irrigation | irrigation | irrigation | irrigation | irrigation | irrigation |
| Water deficit 1 (D1) | water deficit | water deficit | irrigation | water deficit | water deficit | irrigation |
| Water deficit 2 (D2) | irrigation | irrigation | water deficit | water deficit | water deficit | water deficit |
| Water deficit 3 (D3) | water deficit | water deficit | irrigation | irrigation | irrigation | irrigation |
| Variant | Day of Experiment | |||||
|---|---|---|---|---|---|---|
| 0–5th | 6th–10th | 10th–14th | 14th–19th | 19th–24th | 24th–28th | |
| Control (C) | 16. BBCH | 16. BBCH | 17. BBCH | 18. BBCH | 19. BBCH | 20. BBCH |
| Water deficit 1 (D1) | 16. BBCH | 16. BBCH | 17. BBCH | 17. BBCH | 18. BBCH | 19. BBCH |
| Water deficit 2 (D2) | 16. BBCH | 16. BBCH | 17. BBCH | 17. BBCH | 18. BBCH | 19. BBCH |
| Water deficit 3 (D3) | 16. BBCH | 16. BBCH | 17. BBCH | 18. BBCH | 19. BBCH | 20. BBCH |
| Variant | Days | ‘Bohemia’ | ‘287-17’ | ‘29-17’ | |||
|---|---|---|---|---|---|---|---|
| Chltot | Car | Chltot | Car | Chltot | Car | ||
| C | 0 | 0.010 ± 0 e | 0.010 ± 0 e | 0.010 ± 0 g | 0.010 ± 0 e | 0.010 ± 0 d | 1.330 ± 0.005 g |
| 5 | 0.138 ± 0.004 b | 0.142 ± 0.003 ab | 0.220 ± 0.005 c | 0.138 ± 0.004 a | 0.142 ± 0.003 ab | 1.558 ± 0.153 f | |
| 10 | 0.140 ± 0.003 b | 0.146 ± 0.006 ab | 0.282 ± 0.005 ab | 0.140 ± 0.003 a | 0.146 ± 0.006 ab | 1.934 ± 0.041 cd | |
| 14 | 0.020 ± 0 e | 0.028 ± 0.001 d | 0.258 ± 0.015 ab | 0.097 ± 0.008 b | 0.152 ± 0.010 ab | 1.912 ± 0.268 e | |
| 18 | 0.251 ± 0.005 a | 0.202 ± 0.035 a | 0.131 ± 0.007 d | 0.097 ± 0.005 b | 0.126 ± 0.009 b | 1.923 ± 0.072 de | |
| 22 | 0.036 ± 0.002 d | 0.031 ± 0.003 d | 0.041 ± 0.002 f | 0.050 ± 0.004 d | 0.031 ± 0.002 cd | 2.085 ± 0.079 b | |
| 28 | 0.047 ± 0.003 c | 0.047 ± 0.003 c | 0.070 ± 0.004 e | 0.087 ± 0.003 c | 0.019 ± 0.002 d | 2.230 ± 0.021 a | |
| average | 0.091 ± 0.006 | 0.087 ± 0.009 | 0.145 ± 0.008 | 0.088 ± 0.005 | 0.089 ± 0.005 | 1.853 ± 0.053 | |
| D1 | 0 | 0.010 ± 0 e | 0.010 ± 0 e | 0.010 ± 0 f | 0.010 ± 0 f | 0.010 ± 0 e | 1.330 ± 0.005 f |
| 5 | 0.138 ± 0.004 a | 0.142 ± 0.003 b | 0.231 ± 0.005 b | 0.123 ± 0.006 b | 0.142 ± 0.003 b | 1.556 ± 0.153 e | |
| 10 | 0.140 ± 0.003 a | 0.146 ± 0.006 b | 0.270 ± 0.006 a | 0.147 ± 0.009 a | 0.146 ± 0.006 b | 1.934 ± 0.041 a | |
| 14 | 0.097 ± 0.008 bc | 0.152 ± 0.010 a | 0.020 ± 0 e | 0.026 ± 0.001 e | 0.028 ± 0.001 d | 1.792 ± 0.078 b | |
| 18 | 0.097 ± 0.005 bc | 0.126 ± 0.009 c | 0.020 ± 0 e | 0.023 ± 0.002 e | 0.202 ± 0.035 a | 1.646 ± 0.160 c | |
| 22 | 0.050 ± 0.004 d | 0.031 ± 0.002 d | 0.040 ± 0.004 d | 0.042 ± 0.003 d | 0.031 ± 0.003 d | 1.591 ± 0.114 d | |
| 28 | 0.087 ± 0.003 c | 0.019 ± 0.002 e | 0.050 ± 0.003 c | 0.075 ± 0.003 c | 0.047 ± 0.003 c | 1.597 ± 0.118 de | |
| average | 0.088 ± 0.007 | 0.089 ± 0.005 | 0.092 ± 0.006 | 0.064 ± 0.013 | 0.084 ± 0.015 | 1.635 ± 0.087 | |
| D2 | 0 | 0.010 ± 0 d | 0.010 ± 0 e | 0.010 ± 0 d | 0.010 ± 0 e | 0.010 ± 0 e | 1.330 ± 0.005 d |
| 5 | 0.138 ± 0.004 b | 0.142 ± 0.003 b | 0.220 ± 0.005 b | 0.138 ± 0.004 b | 0.164 ± 0.030 ab | 1.791 ± 0.034 b | |
| 10 | 0.140 ± 0.003 b | 0.146 ± 0.006 b | 0.282 ± 0.005 a | 0.140 ± 0.003 b | 0.158 ± 0.005 ab | 1.797 ± 0.239 b | |
| 14 | 0.020 ± 0 d | 0.028 ± 0.001 de | 0.024 ± 0.001 cd | 0.020 ± 0 de | 0.026 ± 0.001 cd | 1.796 ± 0.446 b | |
| 18 | 0.251 ± 0.005 a | 0.202 ± 0.035 a | 0.026 ± 0.001 cd | 0.251 ± 0.005 a | 0.018 ± 0.001 e | 1.714 ± 0.101 c | |
| 22 | 0.036 ± 0.002 c | 0.031 ± 0.003 d | 0.026 ± 0.003 cd | 0.036 ± 0.002 d | 0.031 ± 0.002 cd | 2.021 ± 0.310 a | |
| 28 | 0.047 ± 0.003 c | 0.047 ± 0.003 c | 0.033 ± 0.003 cd | 0.047 ± 0.003 c | 0.020 ± 0.002 d | 2.046 ± 0.320 a | |
| average | 0.064 ± 0.005 | 0.061 ± 0.009 | 0.089 ± 0.003 | 0.075 ± 0.004 | 0.061 ± 0.009 | 1.785 ± 0.211 | |
| D3 | 0 | 0.010 ± 0 f | 0.010 ± 0 d | 0.010 ± 0 e | 0.010 ± 0 f | 0.010 ± 0 f | 1.330 ± 0.005 d |
| 5 | 0.123 ± 0.006 c | 0.164 ± 0.030 a | 0.231 ± 0.005 b | 0.123 ± 0.006 c | 0.164 ± 0.030 a | 1.791 ± 0.034 c | |
| 10 | 0.147 ± 0.009 b | 0.158 ± 0.005 a | 0.270 ± 0.006 a | 0.147 ± 0.009 b | 0.158 ± 0.005 a | 1.797 ± 0.239 c | |
| 14 | 0.015 ± 0.001 f | 0.015 ± 0.001 d | 0.015 ± 0.001 e | 0.015 ± 0.001 f | 0.015 ± 0.001 f | 3.214 ± 0.044 a | |
| 18 | 0.160 ± 0.009 a | 0.119 ± 0.006 b | 0.217 ± 0.009 c | 0.160 ± 0.009 a | 0.119 ± 0.006 c | 3.213 ± 0.042 a | |
| 22 | 0.025 ± 0.002 e | 0.071 ± 0.004 d | 0.028 ± 0.002 d | 0.025 ± 0.002 e | 0.071 ± 0.004 d | 2.902 ± 0.017 b | |
| 28 | 0.042 ± 0.002 d | 0.050 ± 0.003 c | 0.035 ± 0.003 d | 0.042 ± 0.002 d | 0.050 ± 0.003 e | 2.745 ± 0.052 b | |
| average | 0.075 ± 0.006 | 0.084 ± 0.008 | 0.115 ± 0.005 | 0.075 ± 0.006 | 0.084 ± 0.009 | 2.427 ± 0.064 | |
| average tot | 0.080 ± 0.007 | 0.080 ± 0.008 | 0.110 ± 0.005 | 0.076 ± 0.008 | 0.080 ± 0.011 | 1.925 ± 0.114 | |
| Variant | Days | ‘Bohemia’ | ‘284-17’ | ‘29-17’ |
|---|---|---|---|---|
| C | 0 | 0.010 ± 0 e | 0.010 ± 0 e | 0.010 ± 0 g |
| 5 | 0.138 ± 0.004 a | 0.142 ± 0.003 b | 0.220 ± 0.005 c | |
| 10 | 0.140 ± 0.003 a | 0.146 ± 0.006 b | 0.282 ± 0.005 a | |
| 14 | 0.097 ± 0.008 b | 0.152 ± 0.010 a | 0.258 ± 0.015 b | |
| 18 | 0.097 ± 0.005 b | 0.126 ± 0.009 c | 0.131 ± 0.007 d | |
| 22 | 0.050 ± 0.004 d | 0.031 ± 0.002 d | 0.041 ± 0.002 f | |
| 28 | 0.087 ± 0.003 c | 0.019 ± 0.002 e | 0.070 ± 0.004 e | |
| average | 0.088 ± 0.005 | 0.089 ± 0.006 | 0.145 ± 0.007 | |
| D1 | 0 | 0.010 ± 0 g | 0.010 ± 0 e | 0.010 ± 0 e |
| 5 | 0.123 ± 0.006 c | 0.164 ± 0.030 a | 0.231 ± 0.005 b | |
| 10 | 0.147 ± 0.009 b | 0.158 ± 0.005 a | 0.270 ± 0.006 a | |
| 14 | 0.015 ± 0.001 fg | 0.015 ± 0.001 e | 0.015 ± 0.001 e | |
| 18 | 0.160 ± 0.009 a | 0.119 ± 0.006 b | 0.217 ± 0.009 c | |
| 22 | 0.025 ± 0.002 ef | 0.071 ± 0.004 cd | 0.028 ± 0.002 d | |
| 28 | 0.042 ± 0.002 d | 0.050 ± 0.003 d | 0.035 ± 0.003 d | |
| average | 0.075 ± 0.006 | 0.084 ± 0.009 | 0.115 ± 0.009 | |
| D2 | 0 | 0.010 ± 0 f | 0.010 ± 0 e | 0.010 ± 0 e |
| 5 | 0.123 ± 0.006 b | 0.164 ± 0.030 a | 0.220 ± 0.005 b | |
| 10 | 0.147 ± 0.009 a | 0.158 ± 0.005 a | 0.282 ± 0.005 a | |
| 14 | 0.026 ± 0.001 e | 0.026 ± 0.001 cd | 0.024 ± 0.001 d | |
| 18 | 0.023 ± 0.002 ef | 0.018 ± 0.001 d | 0.026 ± 0.001 d | |
| 22 | 0.042 ± 0.003 d | 0.031 ± 0.002 bc | 0.026 ± 0.003 d | |
| 28 | 0.075 ± 0.003 c | 0.020 ± 0.002 d | 0.033 ± 0.003 cd | |
| average | 0.064 ± 0.006 | 0.061 ± 0.008 | 0.089 ± 0.004 | |
| D3 | 0 | 0.010 ± 0 f | 0.010 ± 0 e | 0.010 ± 0 d |
| 5 | 0.138 ± 0.004 b | 0.142 ± 0.003 b | 0.231 ± 0.005 a | |
| 10 | 0.140 ± 0.003 b | 0.146 ± 0.006 b | 0.270 ± 0.006 a | |
| 14 | 0.020 ± 0 e | 0.028 ± 0.001 d | 0.020 ± 0 cd | |
| 18 | 0.251 ± 0.005 a | 0.202 ± 0.035 a | 0.020 ± 0 cd | |
| 22 | 0.036 ± 0.002 d | 0.031 ± 0.003 d | 0.040 ± 0.004 b | |
| 28 | 0.047 ± 0.003 c | 0.047 ± 0.003 c | 0.050 ± 0.003 b | |
| average | 0.091 ± 0.004 | 0.087 ± 0.009 | 0.091 ± 0.005 | |
| average tot | 0.080 ± 0.005 | 0.080 ± 0.009 | 0.110 ± 0.007 |
| Coefficient | Transpiration | Photosynthesis | Fv/Fm | Fv/F0 | Total Chlorophylls | Carotenoids | Water Potential |
|---|---|---|---|---|---|---|---|
| constant | 1.705 | 11.005 | 0.796 | 3.98 | 7.811 | 1.256 | 1.089 |
| D1 (d1) | −0.244 | −1.678 | 0.0002 | 0.0017 | −1.553 | 0.143 | −0.416 |
| D2 (d2) | −0.086 | −0.785 | −0.0017 | −0.0540 | −1.608 | −0.072 | −0.725 |
| D3 (d3) | −0.017 | −1.655 | 0.0007 | 0.0050 | −0.462 | −0.109 | −0.282 |
| genotype ‘284-17’ | 0.021 | −2.095 | 0.0025 | 0.0720 | 8.030 | 1.242 | −0.099 |
| genotype ‘29-17’ | 0.183 | 1.499 | 0.0039 | 0.0201 | 4.137 | 0.638 | −0.063 |
Disclaimer/Publisher’s Note: The statements, opinions and data contained in all publications are solely those of the individual author(s) and contributor(s) and not of MDPI and/or the editor(s). MDPI and/or the editor(s) disclaim responsibility for any injury to people or property resulting from any ideas, methods, instructions or products referred to in the content. |
© 2023 by the authors. Licensee MDPI, Basel, Switzerland. This article is an open access article distributed under the terms and conditions of the Creative Commons Attribution (CC BY) license (https://creativecommons.org/licenses/by/4.0/).
Share and Cite
Hnilicka, F.; Lysytskyi, S.; Rygl, T.; Hnilickova, H.; Pecka, J. Effect of Short-Term Water Deficit on Some Physiological Properties of Wheat (Triticum aestivum L.) with Different Spike Morphotypes. Agronomy 2023, 13, 2892. https://doi.org/10.3390/agronomy13122892
Hnilicka F, Lysytskyi S, Rygl T, Hnilickova H, Pecka J. Effect of Short-Term Water Deficit on Some Physiological Properties of Wheat (Triticum aestivum L.) with Different Spike Morphotypes. Agronomy. 2023; 13(12):2892. https://doi.org/10.3390/agronomy13122892
Chicago/Turabian StyleHnilicka, Frantisek, Semen Lysytskyi, Tomas Rygl, Helena Hnilickova, and Jan Pecka. 2023. "Effect of Short-Term Water Deficit on Some Physiological Properties of Wheat (Triticum aestivum L.) with Different Spike Morphotypes" Agronomy 13, no. 12: 2892. https://doi.org/10.3390/agronomy13122892
APA StyleHnilicka, F., Lysytskyi, S., Rygl, T., Hnilickova, H., & Pecka, J. (2023). Effect of Short-Term Water Deficit on Some Physiological Properties of Wheat (Triticum aestivum L.) with Different Spike Morphotypes. Agronomy, 13(12), 2892. https://doi.org/10.3390/agronomy13122892

