Enhancing Fuel Properties of Napier Grass via Carbonization: A Comparison of Vapothermal and Hydrothermal Carbonization Treatments
Abstract
:1. Introduction
2. Materials and Methods
2.1. Feedstock
2.2. Experimental Design
2.3. Experimental Set-Up for the Hydrothermal Carbonization (HTC) and Vapothermal Carbonization (VTC) Batch Runs
2.4. Verification of Water Phase Conditions for VTC and HTC
- is the overall specific volume of the reactor, the reactor volume divided by the mass of water ;
- is the specific volume of saturated liquid water ;
- is the specific volume of saturated vapor water .
- is the volume of water in a liquid state in the reactor at temperature T (m3);
- is the total volume of the reactor (m3);
- is the volume fraction of liquid water in the reactor at temperature T (−).
2.5. Analytical Methods
- max = maximum value;
- min = minimum value;
- sp = spread of 2 values.
2.6. Alkali Index
2.7. Assessment of Biofuel Quality for Napier Grass, VTC and HTC Chars
2.8. Mass Balances, Yields and Element Distribution
- = mass share of element in the HTC or VTC char (%wt);
- = mean mass of element in the HTC or VTC char (mg);
- = mean mass of element in the process water (mg).
- = solid yield (%wt);
- = mass of char (g);
- = mass of feedstock (g);
- = carbon yield (%wt);
- = mass of carbon in the char (g);
- = mass of carbon in the feedstock (g);
- = energy yield (%);
- = gross calorific value of char (J/g);
- = gross calorific value of feedstock (J/g).
- = gross calorific value of the VTC char (J/g);
- = gross calorific value of the HTC char (J/g).
3. Results
3.1. Verification of VTC and HTC Reactor Conditions
3.2. Comparison of Napier Grass and VTC and HTC Chars to Biofuel Quality Standards
3.2.1. Net Calorific Value
3.2.2. Ash Content, Sodium and Potassium Content
3.2.3. Total Chlorine and Sulfur Content
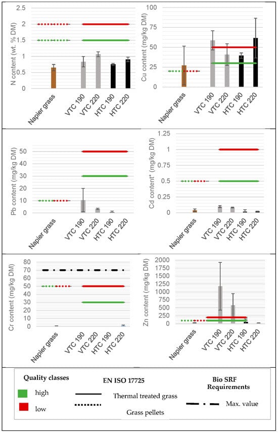
3.2.4. Total Nitrogen and Heavy Metals Content
3.3. Summary of the Quality Classification
4. Discussion
4.1. Influence of Process Type and Process Conditions on Char Production
4.2. Distribution of Elements That Affect Fuel Quality between the Char and the Process Water
5. Conclusions
Supplementary Materials
Author Contributions
Funding
Data Availability Statement
Acknowledgments
Conflicts of Interest
References
- Dien, B.S.; Anderson, W.F.; Cheng, M.-H.; Knoll, J.E.; Lamb, M.; O’Bryan, P.J.; Singh, V.; Sorensen, R.B.; Strickland, T.C.; Slininger, P.J. Field Productivities of Napier Grass for Production of Sugars and Ethanol. ACS Sustain. Chem. Eng. 2020, 8, 2052–2060. [Google Scholar] [CrossRef]
- Amaducci, S.; Facciotto, G.; Bergante, S.; Perego, A.; Serra, P.; Ferrarini, A.; Chimento, C. Biomass production and energy balance of herbaceous and woody crops on marginal soils in the Po Valley. GCB Bioenergy 2017, 9, 31–45. [Google Scholar] [CrossRef]
- Krylova, A.Y.; Zaitchenko, V.M. Hydrothermal Carbonization of Biomass: A Review. Solid Fuel Chem. 2018, 52, 91–103. [Google Scholar] [CrossRef]
- EUBIA. Operational Problems in Biomass Combustion—European Biomass Industry Association. 2022. Available online: https://www.eubia.org/cms/wiki-biomass/combustion/operational-problems-in-biomass-combustion/ (accessed on 30 January 2022).
- EN ISO 17225-6:2021; Solid Biofuels. Fuel Specifications and Classes. Part 6: Graded Non-Woody Pellets. International Organization for Standardization: Geneva, Switzerland, 2021.
- Jin, X.; Zhu, Q.; Cohen, R.C. Direct estimates of biomass burning NOx emissions and lifetimes using daily observations from TROPOMI. Atmos. Chem. Phys. 2021, 21, 15569–15587. [Google Scholar] [CrossRef]
- Agblevor, F.A.; Besler, S. Inorganic Compounds in Biomass Feedstocks. 1. Effect on the Quality of Fast Pyrolysis Oils. Energy Fuels 1996, 10, 293–298. [Google Scholar] [CrossRef]
- Niu, Y.; Tan, H.; Hui, S. Ash-related issues during biomass combustion: Alkali-induced slagging, silicate melt-induced slagging (ash fusion), agglomeration, corrosion, ash utilization, and related countermeasures. Prog. Energy Combust. Sci. 2016, 52, 1–61. [Google Scholar] [CrossRef]
- Zevenhoven, M.; Yrjas, P.; Skrifvars, B.-J.; Hupa, M. Characterization of Ash-Forming Matter in Various Solid Fuels by Selective Leaching and Its Implications for Fluidized-Bed Combustion. Energy Fuels 2012, 26, 6366–6386. [Google Scholar] [CrossRef]
- Alakangas, E. European Standards for Fuel Specification and Classes of Solid Biofuels. In Solid Biofuels for Energy; Grammelis, P., Ed.; Green Energy and Technology; Springer: London, UK, 2011; pp. 21–41. [Google Scholar] [CrossRef]
- ISO/TR 21916:2021; Solid Recovered Fuels—Guidance for the Specification of Solid Recovered Fuels (SRF) for Selected Uses. International Organization for Standardization: Geneva, Switzerland, 2021.
- Adam, R.; Pollex, A.; Zeng, T.; Kirsten, C.; Röver, L.; Berger, F.; Lenz, V.; Werner, H. Systematic homogenization of heterogenous biomass batches—Industrial-scale production of solid biofuels in two case studies. Biomass Bioenergy 2023, 173, 106808. [Google Scholar] [CrossRef]
- Hoover, A.; Emerson, R.; Williams, C.L.; Ramirez-Corredores, M.M.; Ray, A.; Schaller, K.; Hernandez, S.; Li, C.; Walton, M. Grading Herbaceous Biomass for Biorefineries: A Case Study Based on Chemical Composition and Biochemical Conversion. BioEnergy Res. 2019, 12, 977–991. [Google Scholar] [CrossRef]
- Toscano, G.; Feliciangeli, G.; Rossini, G.; Fabrizi, S.; Foppa Pedretti, E.; Duca, D. Engineered solid biofuel from herbaceous biomass mixed with inorganic additives. Fuel 2019, 256, 115895. [Google Scholar] [CrossRef]
- Williams, C.L.; Emerson, R.M.; Tumuluru, J.S. Biomass Compositional Analysis for Conversion to Renewable Fuels and Chemicals. In Biomass Volume Estimation and Valorization for Energy; Tumuluru, J.S., Ed.; InTech: London, UK, 2017. [Google Scholar] [CrossRef]
- Toscano, G.; De Francesco, C.; Gasperini, T.; Fabrizi, S.; Duca, D.; Ilari, A. Quality Assessment and Classification of Feedstock for Bioenergy Applications Considering ISO 17225 Standard on Solid Biofuels. Resources 2023, 12, 69. [Google Scholar] [CrossRef]
- Libra, J.A.; Ro, K.S.; Kammann, C.; Funke, A.; Berge, N.D.; Neubauer, Y.; Titirici, M.-M.; Fühner, C.; Bens, O.; Kern, J.; et al. Hydrothermal carbonization of biomass residuals: A comparative review of the chemistry, processes and applications of wet and dry pyrolysis. Biofuels 2011, 2, 71–106. [Google Scholar] [CrossRef]
- Chen, W.-Y.; Seiner, J.; Suzuki, T.; Lackner, M. Handbook of Climate Change Mitigation; Springer: New York, NY, USA, 2012; Volume 3. [Google Scholar]
- Funke, A.; Reebs, F.; Kruse, A. Experimental comparison of hydrothermal and vapothermal carbonization. Fuel Process. Technol. 2013, 115, 261–269. [Google Scholar] [CrossRef]
- Lucian, M.; Fiori, L. Hydrothermal Carbonization of Waste Biomass: Process Design, Modeling, Energy Efficiency and Cost Analysis. Energies 2017, 10, 211. [Google Scholar] [CrossRef]
- Kruse, A.; Funke, A.; Titirici, M.-M. Hydrothermal conversion of biomass to fuels and energetic materials. Curr. Opin. Chem. Biol. 2013, 17, 515–521. [Google Scholar] [CrossRef]
- Quicker, P. Pyrolysis and Gasification—State of the Art; Thomé-Kozmiensky, K.J., Thiel, S., Eds.; Waste Management: Neuruppin, Germany, 2015. [Google Scholar]
- Heidari, M.; Dutta, A.; Acharya, B.; Mahmud, S. A review of the current knowledge and challenges of hydrothermal carbonization for biomass conversion. J. Energy Inst. 2019, 92, 1779–1799. [Google Scholar] [CrossRef]
- Ro, K.S.; Libra, J.A.; Alvarez-Murillo, A. Comparative Studies on Water- and Vapor-Based Hydrothermal Carbonization: Process Analysis. Energies 2020, 13, 5733. [Google Scholar] [CrossRef]
- Cao, X.; Ro, K.S.; Libra, J.A.; Kammann, C.I.; Lima, I.; Berge, N.; Li, L.; Li, Y.; Chen, N.; Yang, J.; et al. Effects of Biomass Types and Carbonization Conditions on the Chemical Characteristics of Hydrochars. J. Agric. Food Chem. 2013, 61, 9401–9411. [Google Scholar] [CrossRef]
- Yeoh, K.-H.; Shafie, S.A.; Al-attab, K.A.; Zainal, Z.A. Upgrading agricultural wastes using three different carbonization methods: Thermal, hydrothermal and vapothermal. Bioresour. Technol. 2018, 265, 365–371. [Google Scholar] [CrossRef]
- EN ISO 17225-7:2021; Solid Biofuels. Fuel Specifications and Classes. Part 7: Graded Non-Woody Briquettes. International Organization for Standardization: Geneva, Switzerland, 2021.
- EN ISO/DIS 17225-8:2022; Solid Biofuels. Fuel Specifications and Classes. Part 8: Graded Thermally Treated and Densified Biomass Fuels for Commercial and Industrial Use. International Organization for Standardization: Geneva, Switzerland, 2022.
- Yang, C.; Kwon, H.; Bang, B.; Jeong, S.; Lee, U. Role of biomass as low-carbon energy source in the era of net zero emissions. Fuel 2022, 328, 125206. [Google Scholar] [CrossRef]
- Mohammed, I.; Abakr, Y.; Kazi, F.; Yusup, S.; Alshareef, I.; Chin, S. Comprehensive Characterization of Napier Grass as a Feedstock for Thermochemical Conversion. Energies 2015, 8, 3403–3417. [Google Scholar] [CrossRef]
- Md Said, M.S.; Wan Abdul Karim Ghani, W.A.; Hong Boon, T.; Hussain, S.A.; Ng, D.K.S. Thermochemical Conversion of Napier Grass for Production of Renewable Syngas. Processes 2019, 7, 705. [Google Scholar] [CrossRef]
- Lee, M.-K.; Tsai, W.-T.; Tsai, Y.-L.; Lin, S.-H. Pyrolysis of napier grass in an induction-heating reactor. J. Anal. Appl. Pyrolysis 2010, 88, 110–116. [Google Scholar] [CrossRef]
- Akingbala, J.O.; Uzo-Peters, P.I.; Jaiyeoba, C.N.; Baccus-Taylor, G.S. Changes in the physical and biochemical properties of pearl millet (Pennisetum americanum) on conversion to ogi. J. Sci. Food Agric. 2002, 82, 1458–1464. [Google Scholar] [CrossRef]
- Suaisom, P.; Pholchan, P.; Man, H.C.; Aggarangsi, P. Optimization of Hydrothermal Conditioning Conditions for Pennisetum purpureum × Pennisetum americanum (Napier PakChong1 grass) to Produce the Press Fluid for Biogas Production. Pertanika J. Sci. Technol. 2019, 27, 109–122. [Google Scholar]
- Cai, C.; Wang, L.; Wang, G.; Hao, J.; Bai, X.; Wang, Z.; Wang, D. Effects of dry explosion pretreatment on physicochemical and fuel properties of hybrid pennisetum (Pennisetum americanum × P. purpureum). Bioresour. Technol. 2020, 297, 122508. [Google Scholar] [CrossRef]
- Durojaiye, A.-F.A.; Falade, K.O.; Akingbala, J.O. Chemical composition and storage properties of fura from pearl millet (Pennisetum americanum): Chemical composition and storage of fura. J. Food Process. Preserv. 2010, 34, 820–830. [Google Scholar] [CrossRef]
- Yu, Y.; Wang, G.; Bai, X.; Liu, J.; Wang, D.; Wang, Z. Combined different dehydration pretreatments and torrefaction to upgrade fuel properties of hybrid pennisetum (Pennisetum americanum × P. purpureum). Bioresour. Technol. 2018, 263, 541–547. [Google Scholar] [CrossRef]
- ISO 18125:2017; Solid Biofuels, Determination of Calorific Value. International Organization for Standardization: Geneva, Switzerland, 2017.
- DIN EN ISO 14918:2009; Solid Biofuels, Determination of Calorific Value. International Organization for Standardization: Geneva, Switzerland, 2009.
- EN 25663:1993; Water Quality; Determination of Kjeldahl Nitrogen; Method after Mineralization with Selenium. International Organization for Standardization: Geneva, Switzerland, 1993.
- Jenkins, B.M.; Baxter, L.L.; Miles, T.R., Jr.; Miles, T.R. Combustion properties of biomass. Fuel Process. Technol. 1998, 54, 17–46. [Google Scholar] [CrossRef]
- Werther, J.; Saenger, M. Combustion of agricultural residues. Prog. Energy Combust. Sci. 2000, 26, 1–27. [Google Scholar] [CrossRef]
- Mlonka-Mędrala, A.; Magdziarz, A.; Gajek, M.; Nowińska, K.; Nowak, W. Alkali metals association in biomass and their impact on ash melting behaviour. Fuel 2020, 261, 116421. [Google Scholar] [CrossRef]
- Hansen, L.J.; Fendt, S.; Spliethoff, H. Impact of hydrothermal carbonization on combustion properties of residual biomass. Biomass Convers. Biorefin. 2022, 12, 2541–2552. [Google Scholar] [CrossRef]
- Martignon, G.P.; Johansson, E.I.; Edo, M. Trends in the Use of Solid Recovered Fuels; (Task 36:2020:01); IEA Bioenergy: Paris, France, 2020; p. 79. ISBN 978-1-910154-72-4. [Google Scholar]
- Cummer, K.R.; Brown, R.C. Ancillary equipment for biomass gasification. Biomass Bioenergy 2002, 23, 113–128. [Google Scholar] [CrossRef]
- Vassilev, S.V.; Baxter, D.; Vassileva, C.G. An overview of the behaviour of biomass during combustion: Part II. Ash fusion and ash formation mechanisms of biomass types. Fuel 2014, 117, 152–183. [Google Scholar] [CrossRef]
- Shafie, S.A.; Al-Attab, K.A.; Zainal, Z.A. Effect of hydrothermal and vapothermal carbonization of wet biomass waste on bound moisture removal and combustion characteristics. Appl. Therm. Eng. 2018, 139, 187–195. [Google Scholar] [CrossRef]
- Saha, S.; Islam, M.T.; Calhoun, J.; Reza, T. Effect of Hydrothermal Carbonization on Fuel and Combustion Properties of Shrimp Shell Waste. Energies 2023, 16, 5534. [Google Scholar] [CrossRef]
- Cagnetta, G.; Hassan, M.M.; Huang, J.; Yu, G.; Weber, R. Dioxins reformation and destruction in secondary copper smelting fly ash under ball milling. Sci. Rep. 2016, 6, 22925. [Google Scholar] [CrossRef]
- Tame, N.W.; Dlugogorski, B.Z.; Kennedy, E.M. Formation of dioxins and furans during combustion of treated wood. Prog. Energy Combust. Sci. 2007, 33, 384–408. [Google Scholar] [CrossRef]
- Marzban, N.; Libra, J.A.; Hosseini, S.H.; Fischer, M.G.; Rotter, V.S. Experimental evaluation and application of genetic programming to develop predictive correlations for hydrochar higher heating value and yield to optimize the energy content. J. Environ. Chem. Eng. 2022, 10, 108880. [Google Scholar] [CrossRef]
- Nizamuddin, S.; Baloch, H.A.; Griffin, G.; Mubarak, N.; Bhutto, A.W.; Abro, R.; Mazari, S.A.; Ali, B.S. An overview of effect of process parameters on hydrothermal carbonization of biomass. Renew. Sustain. Energy Rev. 2017, 73, 1289–1299. [Google Scholar] [CrossRef]
- Ro, K.S.; Jackson, M.A.; Szogi, A.A.; Compton, D.L.; Moser, B.R.; Berge, N.D. Sub- and Near-Critical Hydrothermal Carbonization of Animal Manures. Sustainability 2022, 14, 5052. [Google Scholar] [CrossRef]
- Liu, T.; Liu, Z.; Zheng, Q.; Lang, Q.; Xia, Y.; Peng, N.; Gai, C. Effect of hydrothermal carbonization on migration and environmental risk of heavy metals in sewage sludge during pyrolysis. Bioresour. Technol. 2018, 247, 282–290. [Google Scholar] [CrossRef] [PubMed]
- Reza, M.T.; Lynam, J.G.; Uddin, M.H.; Coronella, C.J. Hydrothermal carbonization: Fate of inorganics. Biomass Bioenergy 2013, 49, 86–94. [Google Scholar] [CrossRef]
- Wang, L.; Chang, Y.; Liu, Q. Fate and distribution of nutrients and heavy metals during hydrothermal carbonization of sewage sludge with implication to land application. J. Clean. Prod. 2019, 225, 972–983. [Google Scholar] [CrossRef]
- Alhnidi, M.-J.; Wüst, D.; Funke, A.; Hang, L.; Kruse, A. Fate of Nitrogen, Phosphate, and Potassium during Hydrothermal Carbonization and the Potential for Nutrient Recovery. ACS Sustain. Chem. Eng. 2020, 8, 15507–15516. [Google Scholar] [CrossRef]
- Idowu, I.; Li, L.; Flora, J.R.; Pellechia, P.J.; Darko, S.A.; Ro, K.S.; Berge, N.D. Hydrothermal carbonization of food waste for nutrient recovery and reuse. Waste Manag. 2017, 69, 480–491. [Google Scholar] [CrossRef]
- Funke, A. Fate of Plant Available Nutrients during Hydrothermal Carbonization of Digestate. Chem. Ing. Tech. 2015, 87, 1713–1719. [Google Scholar] [CrossRef]










| Property | Napier Grass (P. americanum) | Napier Grass (P. purpureum) [30] | Napier Grass (Not Specified) [31] | Hybrid Napier Grass (Not Specified) [32] | Hybrid Napier Grass (P. americanum + P. purpurum) | Hybrid Napier Grass (P. americanum + P. purpurum) (This Study) | ||
|---|---|---|---|---|---|---|---|---|
| Whole | Leaves | Stems | ||||||
| Water content (%wt.) | 12 * [33] | 74.2 | 30.1 | 9.4 * | 76.6–89.4 [34] | 22.1 ± 0.1 | 7.9 | 6.2 |
| C (%wt.) | 45.1 | 45.1 | 42.4 * | 44.4 [34] 44.8 [35] | 45.3 ± 1.7 | 49.1 | 47.5 | |
| H (%wt.) | 5.9 | 5.9 | 6.0 * | 4.7 [35] 5.5 [34] | 6.4 ± 0.3 | 8.1 | 8.2 | |
| N (%wt.) | 1.5 | 0.5 | 1.7 * | 0.4 [35] 1.2 [34] | 0.7 ± 0.1 | 0.6 | 1.5 | |
| S (%wt.) | 0.4 | 0.0 | 0.1 * | 0.1 [34] 0.43 [35] | 0.20 ± 0.0 | 0.3 | 0.3 | |
| O (%wt.) | 47.2 | 48.5 | 45.3 * | 44.3 [34] 49.8 [35] | 41.9 ± 1.3 | 30.7 | 38.4 | |
| Ash (%wt.) | 3.7 [33] 11.2 [36] | 6.3 | 6.3 | 9.7 | 2.8 [35] 4.8–13.3 [34] 12.0–13.1 [37] | 5.6 ± 1.1 | 11.3 | 4.0 |
| K (%wt.) | 3.8 | 1.4 | 0.4–1.3 [37] | 1.0 ± 0.4 | 0.8 | 1.0 | ||
| Cl (%wt.) | 1.2 | 0.6 | 0.2 ** | 1.1 ± 0.0 | - | - | ||
| Volatile Matter (%wt.) | 85.2 | 85.5 | 72.6 | 73.5 [35] 70.7–77.2 [34] | - | - | - | |
| Fixed Carbon (%wt.) | 8.5 | 8.7 | 8.4 * | 23.7 [35] | - | - | - | |
| GCV (MJ/kg) | 14.8 [31,34] | 16.6 | 16.7 | 17.7 [35] 15.7–17.8 [34] | 17.7 ± 0.3 | 16.2 | 17.7 | |
| Process Operation Parameters | Input Mass | |||||
|---|---|---|---|---|---|---|
| Process | T (°C) | t (h) | %So (%) | Solid In (g DM) | Water (g) | Total (g) |
| HTC | 190 | 3 | 7.1 | 779.4 | 10,221.2 | 11,000.6 |
| HTC | 190 | 3 | 7.1 | 779.3 | 10,222.4 | 11,001.7 |
| HTC | 220 | 3 | 7.1 | 779.3 | 10,221.2 | 11,000.6 |
| HTC | 220 | 3 | 7.1 | 779.3 | 10,220.6 | 10,999.9 |
| VTC | 190 | 3 | 33.1 | 566.7 | 1143.9 | 1710.5 |
| VTC | 190 | 3 | 32.8 | 700.8 | 1435.1 | 2135.9 |
| VTC | 220 | 3 | 33.2 | 776.1 | 1559.7 | 2335.8 |
| VTC | 220 | 3 | 34.9 | 670.5 | 1250.9 | 1921.4 |
| Parameter | Unit | EN ISO17225-6 Non Woody Pellets (2021) | EN ISO17225-7 Non Woody Briquettes (2021) | ISO17225-8 Thermally Treated and Densified Biomass Fuels (2022) **** | South Korean Biomass Solid Recovered Fuels (Bio-SRF) | |||||
|---|---|---|---|---|---|---|---|---|---|---|
| Pellets | Briquettes | Pellets & Briquettes Herbaceous Biomass | Pellet | Non Pellet | ||||||
| Class A | Class B | Class A1 | Class A2 | Class B | Class TA1 | Class TA2 | ||||
| Quality classifications in this study * | High class | Low class | High class | Medium class | Low class | High class | Medium class | When fulfilled “complied” class, otherwise “not complied” class | ||
| Net calorific value | MJ/kg | ≥14.5 ** | ≥1 | ≥17 | ≥12.5 | ≥12.5 | ||||
| Ash content | %wt. | ≤6 | ≤10 | ≤3 | ≤6 | ≤10 | ≤6 | ≤12 | ≤15 | |
| Water content | %wt.** | ≤12 | ≤15 | ≤12 | ≤12 | ≤15 | ≤8 | ≤10 | ≤25 | |
| Cl | %wt. | ≤0.10 | ≤0.30 | <0.10 | <0.20 | <0.30 | ≤0.1 | ≤0.2 | ≤0.5 | |
| S | %wt. | ≤0.2 | ≤0.3 | ≤0.2 | ≤0.3 | ≤0.1 | ≤0.3 | ≤0.6 | ||
| N | %wt. | ≤1.5 | ≤2.0 | ≤1.5 | ≤2.0 | ≤1.5 | ≤2.5 | |||
| As *** | mg/kg | ≤1 | ≤1.5 | ≤1 | ≤1.5 | ≤2 | ≤4 | ≤0.6 | ||
| Hg *** | mg/kg | ≤0.1 | ||||||||
| Cd | mg/kg | ≤0.5 | ≤0.5 | ≤1 | <5 | |||||
| Cr | mg/kg | ≤50 | ≤30 | ≤50 | ≤70 | |||||
| Ni | mg/kg | ≤10 | ||||||||
| Cu | mg/kg | ≤20 | ≤30 | ≤50 | ||||||
| Pb | mg/kg | ≤10 | ≤30 | ≤100 | ||||||
| Zn | mg/kg | ≤100 | ≤200 | |||||||
| Run | %S0 (%) | %ST (%) | %ST/%S0 | ||||
|---|---|---|---|---|---|---|---|
| VTC 190 | 0.088 + 0.01 | 33.0 + 0.22 | 36.9 + 1.00 | 1.1 + 0.0 | 0.07 + 0.0 | 0.07 + 0.01 | 1.07 + 0.10 |
| VTC 220 | 0.145 + 0.02 | 34.1 + 1.18 | 37.7 + 1.91 | 1.1 + 0.0 | 0.07 + 0.0 | 0.08 + 0.01 | 1.23 + 0.08 |
| HTC 190 | 0.005 + 0.00 | 7.1 + 0.00 | 7.1 + 0.00 | 1.0 + 0.0 | 0.54 + 0.0 | 0.62 + 0.0 | 1.15 + 0.0 |
| HTC 220 | 0.008 + 0.00 | 7.1 + 0.00 | 7.1 + 0.00 | 1.0 + 0.0 | 0.54 + 0.0 | 0.64 + 0.0 | 1.19 + 0.0 |
Disclaimer/Publisher’s Note: The statements, opinions and data contained in all publications are solely those of the individual author(s) and contributor(s) and not of MDPI and/or the editor(s). MDPI and/or the editor(s) disclaim responsibility for any injury to people or property resulting from any ideas, methods, instructions or products referred to in the content. |
© 2023 by the authors. Licensee MDPI, Basel, Switzerland. This article is an open access article distributed under the terms and conditions of the Creative Commons Attribution (CC BY) license (https://creativecommons.org/licenses/by/4.0/).
Share and Cite
Moloeznik Paniagua, D.; Libra, J.A.; Rotter, V.S.; Ro, K.S.; Fischer, M.; Linden, J. Enhancing Fuel Properties of Napier Grass via Carbonization: A Comparison of Vapothermal and Hydrothermal Carbonization Treatments. Agronomy 2023, 13, 2881. https://doi.org/10.3390/agronomy13122881
Moloeznik Paniagua D, Libra JA, Rotter VS, Ro KS, Fischer M, Linden J. Enhancing Fuel Properties of Napier Grass via Carbonization: A Comparison of Vapothermal and Hydrothermal Carbonization Treatments. Agronomy. 2023; 13(12):2881. https://doi.org/10.3390/agronomy13122881
Chicago/Turabian StyleMoloeznik Paniagua, Daniela, Judy A. Libra, Vera Susanne Rotter, Kyoung S. Ro, Marcus Fischer, and Julia Linden. 2023. "Enhancing Fuel Properties of Napier Grass via Carbonization: A Comparison of Vapothermal and Hydrothermal Carbonization Treatments" Agronomy 13, no. 12: 2881. https://doi.org/10.3390/agronomy13122881
APA StyleMoloeznik Paniagua, D., Libra, J. A., Rotter, V. S., Ro, K. S., Fischer, M., & Linden, J. (2023). Enhancing Fuel Properties of Napier Grass via Carbonization: A Comparison of Vapothermal and Hydrothermal Carbonization Treatments. Agronomy, 13(12), 2881. https://doi.org/10.3390/agronomy13122881

