Biochar Regulates 2-Acetyl-1-Pyrroline, Grain Yield and Quality in Fragrant Rice Cropping Systems in Southern China
Abstract
:1. Introduction
2. Materials and Methods
2.1. Site Description
2.2. Experimental Materials and Design
2.3. Determination of 2-AP Content in Fragrant Rice
2.4. Determination of Grain Yield, Yield Components, and Grain Quality
2.5. Determination of Dry Matter Accumulation and Photosynthetic Characteristics
2.6. Determination of the Physiological Indices Related to 2-AP Accumulation in the Fragrant Rice Grains
2.7. Statistical Analysis
3. Results
3.1. Grain Yield and Yield Components
3.2. Biomass Accumulation and Photosynthetic Characteristics
3.3. 2-AP Content
3.4. 2-AP Biosynthesis Related Physiological Indexes
3.5. Grain Quality
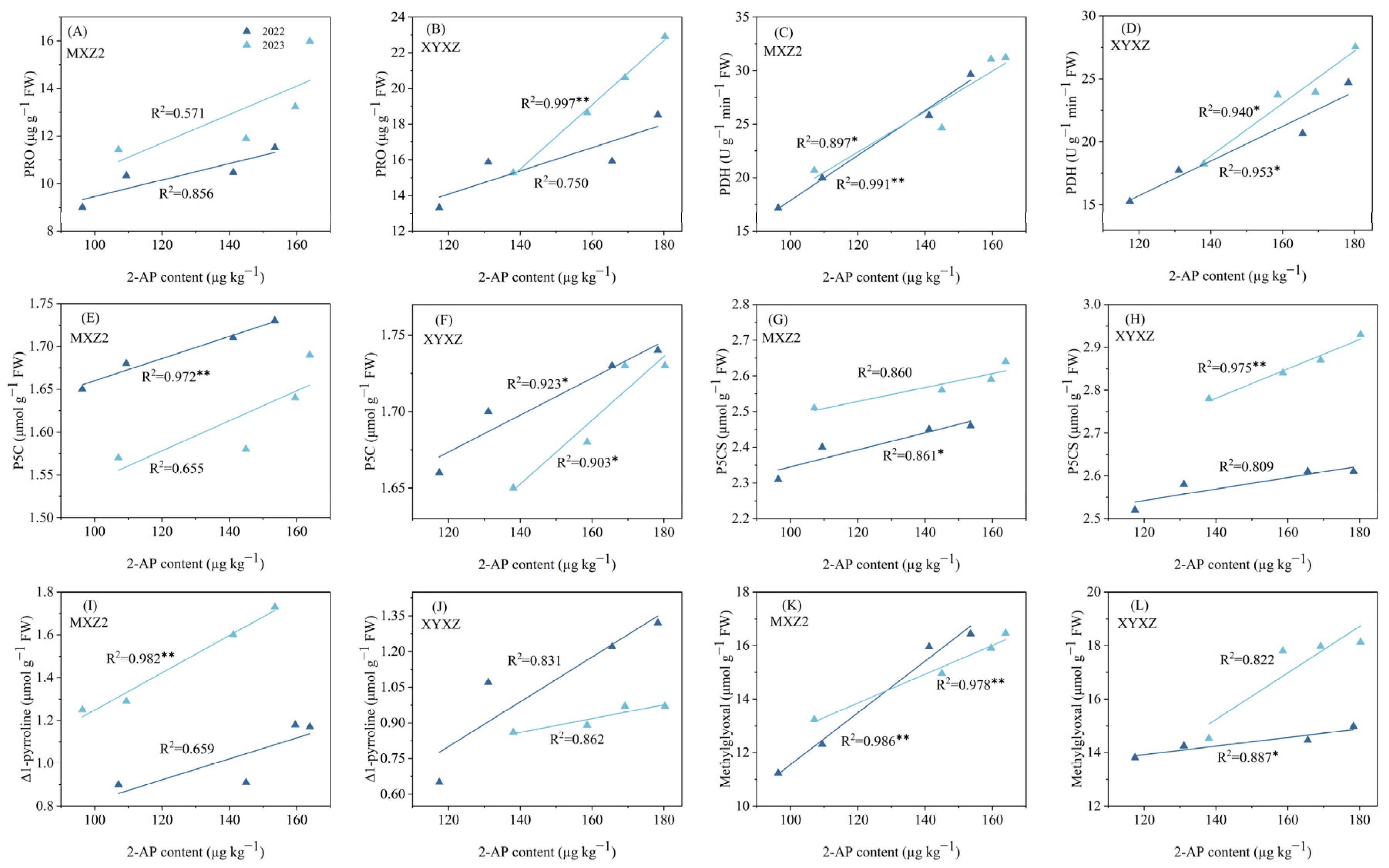
3.6. Regression Analysis and Heatmaps for Various Indexes
4. Discussion
5. Conclusions
Author Contributions
Funding
Data Availability Statement
Conflicts of Interest
References
- Jiang, M.; Li, X.; Xin, L.; Tan, M. Paddy rice multiple cropping index changes in Southern China. J. Geogr. Sci. 2019, 29, 1773–1787. [Google Scholar] [CrossRef]
- Cheng, S.; Fang, Z.; Wang, C.; Cheng, X.; Huang, F.; Yan, C.; Zhou, L.; Wu, X.; Li, Z.; Ren, Y. Modulation of 2-Acetyl-1-pyrroline (2-AP) Accumulation, Yield Formation and Antioxidant Attributes in Fragrant Rice by Exogenous Methylglyoxal (MG) Application. J. Plant Growth Regul. 2022, 42, 1444–1456. [Google Scholar] [CrossRef]
- Maraval, I.; Mestres, C.; Pernin, K.; Ribeyre, F.; Boulanger, R.; Guichard, E.; Gunata, Z. Odor-Active Compounds in Cooked Rice Cultivars from Camargue (France) Analyzed by GC-O and GC-MS. J. Agric. Food Chem. 2008, 56, 5291–5298. [Google Scholar] [CrossRef]
- Shao, G.; Tang, S.; Chen, M.; Wei, X.; He, J.; Luo, J.; Jiao, G.; Hu, Y.; Xie, L.; Hu, P. Haplotype variation at Badh2, the gene determining fragrance in rice. Genomics 2013, 101, 157–162. [Google Scholar] [CrossRef]
- Maraval, I.; Sen, K.; Agrebi, A.; Menut, C.; Morere, A.; Boulanger, R.; Gay, F.; Mestres, C.; Gunata, Z. Quantification of 2-acetyl-1-pyrroline in rice by stable isotope dilution assay through headspace solid-phase microextraction coupled to gas chromatography–tandem mass spectrometry. Anal. Chim. Acta 2010, 675, 148–155. [Google Scholar] [CrossRef]
- Wakte, K.V.; Kad, T.D.; Zanan, R.L.; Nadaf, A.B. Mechanism of 2-acetyl-1-pyrroline biosynthesis in Bassia latifolia Roxb. flowers. Physiol. Mol. Biol. Plants 2011, 17, 231–237. [Google Scholar] [CrossRef]
- Adams, A.; De Kimpe, N. Formation of pyrazines and 2-acetyl-1-pyrroline by Bacillus cereus. Food Chem. 2007, 101, 1230–1238. [Google Scholar] [CrossRef]
- Chen, S.; Yang, Y.; Shi, W.; Ji, Q.; He, F.; Zhang, Z.; Cheng, Z.; Liu, X.; Xu, M. Badh2, Encoding Betaine Aldehyde Dehydrogenase, Inhibits the Biosynthesis of 2-Acetyl-1-Pyrroline, a Major Component in Rice Fragrance. Plant Cell 2008, 20, 1850–1861. [Google Scholar] [CrossRef]
- Mo, Z.; Lei, S.; Ashraf, U.; Khan, I.; Li, Y.; Pan, S.; Duan, M.; Tian, H.; Tang, X. Silicon fertilization modulates 2-acetyl-1-pyrroline content, yield formation and grain quality of aromatic rice. J. Cereal Sci. 2017, 75, 17–24. [Google Scholar] [CrossRef]
- Du, B.; Wang, W.; Jiang, S.; Xie, Y.; Cheng, Y.; Xu, J.; Xing, D. Silicon and selenium fertilizer management improved productivity and aroma of fragrant rice. Crop Sci. 2020, 61, 936–946. [Google Scholar] [CrossRef]
- Mo, Z.; Ashraf, U.; Tang, Y.; Li, W.; Pan, S.; Duan, M.; Tian, H.; Tang, X. Nitrogen application at the booting stage affects 2-acetyl-1-pyrroline, proline, and total nitrogen contents in aromatic rice. Chil. J. Agric. Res. 2018, 78, 165–172. [Google Scholar] [CrossRef]
- Lehmann, J. A handful of carbon. Nature 2007, 447, 143–144. [Google Scholar] [CrossRef] [PubMed]
- Torabian, S.; Farhangi-Abriz, S.; Rathjen, J. Biochar and lignite affect H+-ATPase and H+-PPase activities in root tonoplast and nutrient contents of mung bean under salt stress. Plant Physiol. Biochem. 2018, 129, 141–149. [Google Scholar] [CrossRef] [PubMed]
- Chen, C.; Zhu, H.; Lv, Q.; Tang, Q. Impact of biochar on red paddy soil physical and hydraulic properties and rice yield over 3 years. J. Soils Sediments. 2021, 22, 607–616. [Google Scholar] [CrossRef]
- Yuan, H.Z.; Zhu, Z.K.; Wei, X.M.; Liu, S.I.; Peng, P.Q.; Gunina, A.; Shen, J.I.; Kuzyakov, Y.; Ge, T.D.; Wu, J.S.; et al. Straw and biochar strongly affect functional diversity of microbial metabolism in paddy soils. J. Integr. Agric. 2019, 18, 1474–1485. [Google Scholar] [CrossRef]
- Prendergast-Miller, M.T.; Duvall, M.; Sohi, S.P. Biochar–root interactions are mediated by biochar nutrient content and impacts on soil nutrient availability. Eur. J. Soil Sci. 2013, 65, 173–185. [Google Scholar] [CrossRef]
- Yao, C.; Stephen, J.; Lianqing, L.; Genxing, P.A.N.; Yun, L.; Paul, M.; Ben, P.; Sa, A.; Taher, Y.; Lukas, V.; et al. Developing More Effective Enhanced Biochar Fertilisers for Improvement of Pepper Yield and Quality. J. Pedosphere 2015, 25, 703–712. [Google Scholar] [CrossRef]
- Chaganti, V.N.; Crohn, D.M. Evaluating the relative contribution of physiochemical and biological factors in ameliorating a saline–sodic soil amended with composts and biochar and leached with reclaimed water. Geoderma 2015, 259–260, 45–55. [Google Scholar] [CrossRef]
- Xiang, Y.; Deng, Q.; Duan, H.; Guo, Y. Effects of biochar application on root traits: A meta-analysis. Glob. Chang. Biol. Bioenergy 2017, 9, 1563–1572. [Google Scholar] [CrossRef]
- Liu, J.; Jiang, B.; Shen, J.; Zhu, X.; Yi, W.; Li, Y.; Wu, J. Contrasting effects of straw and straw-derived biochar applications on soil carbon accumulation and nitrogen use efficiency in double-rice cropping systems. Agric. Ecosyst. Environ. 2021, 311, 107286. [Google Scholar] [CrossRef]
- Zhu, Q.; Kong, L.-J.; Shan, Y.-Z.; Yao, X.-D.; Zhang, H.-J.; Xie, F.-T.; Ao, X. Effect of biochar on grain yield and leaf photosynthetic physiology of soybean cultivars with different phosphorus efficiencies. Integr. Agric. 2019, 18, 2242–2254. [Google Scholar] [CrossRef]
- Li, X.; Shao, X.; Ding, F.; Yuan, Y.; Li, R.; Yang, X.; Gao, C.; Miao, Q. Effects of effective microorganisms biochar-based fertilizer on photosynthetic characteristics and chlorophyll content of flue-cured tobacco under water-saving irrigation strategies. Chil. J. Agric. Res. 2020, 80, 422–432. [Google Scholar] [CrossRef]
- Cui, Y.; Lu, T.; Sun, G.; Wang, G.; Wang, J.; Huang, W. Effects of Straw Utilization Methods on Dry Matter Production and Yield of Japonica Rice in Northern China. Asian J. Agric. Res. 2020, 12, 44–52. [Google Scholar]
- Gong, D.; Xu, X.; Wu, L.; Dai, G.; Zheng, W.; Xu, Z. Effect of biochar on rice starch properties and starch-related gene expression and enzyme activities. Sci. Rep. 2020, 10, 16917. [Google Scholar] [CrossRef]
- Yin, X.; Peñuelas, J.; Sardans, J.; Xu, X.; Chen, Y.; Fang, Y.; Wu, L.; Singh, B.P.; Tavakkoli, E.; Wang, W. Effects of nitrogen-enriched biochar on rice growth and yield, iron dynamics, and soil carbon storage and emissions: A tool to improve sustainable rice cultivation. Environ. Pollut. 2021, 287, 117565. [Google Scholar] [CrossRef] [PubMed]
- Ren, Y.; Zhu, Y.; Liang, F.; Li, Q.; Zhao, Q.; He, Y.; Lin, X.; Qin, X.; Cheng, S. Effect of foliar copper application on grain yield, 2-acetyl-1-pyrroline and copper content in fragrant rice. Plant Physiol. Biochem. 2022, 182, 154–166. [Google Scholar] [CrossRef]
- Cheng, S.; Fang, Z.; Cheng, X.; Wu, Y.; Mo, L.; Yan, C.; Zhou, L.; Ren, Y. Modulation of Antioxidant Attributes and Grain Yield in Fragrant Rice by Exogenous Cu Application. J. Plant Growth Regul. 2022, 42, 1937–1952. [Google Scholar] [CrossRef]
- Zhang, L.; Shen, C.; Zhu, S.; Ren, N.; Chen, K.; Xu, J. Effects of Sowing Date and Nitrogen (N) Application Rate on Grain Yield, Nitrogen Use Efficiency and 2-Acetyl-1-Pyrroline Formation in Fragrant Rice. Agronomy 2022, 12, 3035. [Google Scholar] [CrossRef]
- Yadav, S.K.; Singla-Pareek, S.L.; Ray, M.; Reddy, M.K.; Sopory, S.K. Methylglyoxal levels in plants under salinity stress are dependent on glyoxalase I and glutathione. Biochem. Biophys. Res. Commun. 2005, 337, 61–67. [Google Scholar] [CrossRef]
- Nguyen, T.T.N.; Xu, C.-Y.; Tahmasbian, I.; Che, R.; Xu, Z.; Zhou, X.; Wallace, H.M.; Bai, S.H. Effects of biochar on soil available inorganic nitrogen: A review and meta-analysis. Geoderma 2017, 288, 79–96. [Google Scholar] [CrossRef]
- Liu, Y.; Lu, H.; Yang, S.; Wang, Y. Impacts of biochar addition on rice yield and soil properties in a cold waterlogged paddy for two crop seasons. Field Crops Res. 2016, 191, 161–167. [Google Scholar] [CrossRef]
- Lv, R.; Wang, Y.; Wang, Q.; Zeng, Y.; Shang, Q. Residual effect of straw biochar on grain yield and yield attributes in a double rice cropping system of subtropical China. Plant Soil Environ. 2022, 68, 328–337. [Google Scholar] [CrossRef]
- An, N.; Zhang, L.; Liu, Y.; Shen, S.; Li, N.; Wu, Z.; Yang, J.; Han, W.; Han, X. Biochar application with reduced chemical fertilizers improves soil pore structure and rice productivity. Chemosphere 2022, 298, 134304. [Google Scholar] [CrossRef]
- Selvarajh, G.; Ch’ng, H.Y.; Md Zain, N.; Sannasi, P.; Mohammad Azmin, S.N.H. Improving Soil Nitrogen Availability and Rice Growth Performance on a Tropical Acid Soil via Mixture of Rice Husk and Rice Straw Biochars. Appl. Sci. 2020, 11, 108. [Google Scholar] [CrossRef]
- Ullah, S.; Zhao, Q.; Wu, K.; Ali, I.; Liang, H.; Iqbal, A.; Wei, S.; Cheng, F.; Ahmad, S.; Jiang, L.; et al. Biochar application to rice with 15N-labelled fertilizers, enhanced leaf nitrogen concentration and assimilation by improving morpho-physiological traits and soil quality. Saudi J. Biol. Sci. 2021, 28, 3399–3413. [Google Scholar] [CrossRef]
- Sainju, U.M.; Singh, H.P.; Singh, B.P.; Chiluwal, A.; Paudel, R. Soil Carbon and Nitrogen under Bioenergy Forage Sorghum Influenced by Cover Crop and Nitrogen Fertilization. Agrosyst. Geosci. Environ. 2018, 1, 1–10. [Google Scholar] [CrossRef]
- Sui, Y.; Xu, Z.; Gao, J.; Wang, Y.; Liu, C.; Zhao, H. Effects of Straw Incorporation Modes on Rice Photosynthesis, Dry Matter Accumulation and Nitrogen Uptake in Cool Region of Northeast China. Crops 2018, 34, 137–143. [Google Scholar]
- Buttery, R.G.; Ling, L.C.; Juliano, B.O.; Turnbaugh, J.G. Cooked Rice Aroma and 2-Acetyl- 1-pyrroline. J. Agric. Food Chem. 1983, 31, 823–826. [Google Scholar] [CrossRef]
- Yang, S.; Zhu, Y.; Zhang, R.; Liu, G.; Wei, H.; Zhang, H.; Zhang, H. Mid-stage nitrogen application timing regulates yield formation, quality traits and 2-acetyl-1-pyrroline biosynthesis of fragrant rice. Field Crops Res. 2022, 287, 108667. [Google Scholar] [CrossRef]
- Gui, R.; Chen, Y.; Jiang, Y.; Li, L.; Wang, Z.; Pan, S.; Zhang, M.; Tang, X.; Mo, Z. Deep placement of liquid fertilizer at tillering stage influences grain quality, 2-acetyl-1-pyrroline synthesis, and antioxidant response of fragrant rice. Field Crops Res. 2022, 289, 108716. [Google Scholar] [CrossRef]
- Xuan, Y.; Yi, Y.; Liang, H.; Wei, S.; Chen, N.; Jiang, L.; Ali, I.; Ullah, S.; Wu, X.; Cao, T.; et al. Amylose content and RVA profile characteristics of noodle rice under different conditions. J. Agron. 2020, 112, 117–129. [Google Scholar] [CrossRef]
- Iqbal, A.; He, L.; Khan, A.; Wei, S.; Akhtar, K.; Ali, I.; Ullah, S.; Munsif, F.; Zhao, Q.; Jiang, L. Organic Manure Coupled with Inorganic Fertilizer: An Approach for the Sustainable Production of Rice by Improving Soil Properties and Nitrogen Use Efficiency. Agronomy 2019, 9, 651. [Google Scholar] [CrossRef]
- Guo, Q.; Wang, X.; Duan, J.; Pi, Y.; Lin, S. The Effects of Application of Biochar on Rice Quality and Nitrogen Using Efficiency in Yellow Soil. Crop Res. 2021, 35, 287–292. (In Chinese) [Google Scholar]







| Month | Average Temperature (°C) | Maximum Temperature (°C) | Minimum Temperature (°C) | Precipitation (mm) | ||||
|---|---|---|---|---|---|---|---|---|
| 2022 | 2023 | 2022 | 2023 | 2022 | 2023 | 2022 | 2023 | |
| March | 22.03 | 21.07 | 27.87 | 25.6 | 15.44 | 14.75 | 182.63 | 161.29 |
| April | 23.61 | 23.63 | 29.16 | 28.19 | 17.16 | 18.76 | 165.35 | 77.72 |
| May | 25.03 | 27.39 | 29.67 | 31.82 | 20.52 | 22.27 | 367.03 | 221.49 |
| June | 28.67 | 29.32 | 33.15 | 34.46 | 24.74 | 25.16 | 385.83 | 354.33 |
| July | 31.24 | 31.12 | 36.22 | 36.17 | 25.66 | 25.73 | 206.76 | 193.04 |
| Year | Cultivar | Treatment | Number of Effective Panicles (×104 ha−1) | Grains Number per Panicle | Seed Setting Rate (%) | 1000-Grain Weight (g) | Yield (t ha−1) |
|---|---|---|---|---|---|---|---|
| 2022 | MXZ2 | T1 | 212.67 ± 14.67 b | 159.05 ± 1.46 a | 77.45 ± 1.06 b | 17.95 ± 0.03 b | 4.62 ± 0.19 b |
| T2 | 264.00 ± 12.70 a | 155.03 ± 6.82 a | 84.73 ± 1.74 a | 17.96 ± 0.14 b | 5.87 ± 0.06 a | ||
| T3 | 300.67 ± 19.40 a | 152.05 ± 3.94 a | 85.83 ± 1.44 a | 18.54 ± 0.13 a | 5.97 ± 0.16 a | ||
| T4 | 308.00 ± 12.70 a | 158.02 ± 12.03 a | 84.99 ± 1.10 a | 18.50 ± 0.09 a | 6.18 ± 0.22 a | ||
| XYXZ | T1 | 234.67 ± 7.33 c | 128.73 ± 8.29 a | 75.21 ± 0.71 a | 19.10 ± 0.15 a | 4.03 ± 0.23 b | |
| T2 | 278.67 ± 7.33 b | 140.35 ± 5.01 a | 77.19 ± 0.94 a | 19.03 ± 0.13 a | 4.45 ± 0.14 ab | ||
| T3 | 330.00 ± 12.70 a | 138.71 ± 6.67 a | 77.89 ± 2.04 a | 19.38 ± 0.25 a | 4.51 ± 0.09 ab | ||
| T4 | 337.34 ± 7.33 a | 122.10 ± 1.01 a | 78.55 ± 1.46 a | 19.52 ± 0.35 a | 4.90 ± 0.21 a | ||
| 2023 | MXZ2 | T1 | 212.67 ± 19.40 b | 149.20 ± 11.06 a | 83.25 ± 0.98 a | 18.72 ± 0.51 a | 5.02 ± 0.12 b |
| T2 | 293.33 ± 19.40 a | 161.90 ± 4.77 a | 84.16 ± 0.63 a | 18.86 ± 0.32 a | 5.45 ± 0.12 b | ||
| T3 | 300.67 ± 14.67 a | 167.10 ± 7.62 a | 82.74 ± 1.05 a | 18.56 ± 0.61 a | 6.16 ± 0.32 a | ||
| T4 | 300.67 ± 7.33 a | 153.41 ± 5.84 a | 84.96 ± 0.18 a | 18.75 ± 0.13 a | 6.33 ± 0.07 a | ||
| XYXZ | T1 | 198.00 ± 12.70 d | 136.07 ± 11.43 b | 83.49 ± 0.46 a | 17.75 ± 0.07 c | 5.50 ± 0.24 a | |
| T2 | 249.33 ± 7.33 c | 163.98 ± 3.46 a | 82.40 ± 1.55 a | 18.65 ± 0.09 b | 5.83 ± 0.44 a | ||
| T3 | 293.33 ± 7.33 b | 141.49 ± 1.89 ab | 85.06 ± 0.15 a | 18.60 ± 0.19 b | 5.94 ± 0.04 a | ||
| T4 | 322.67 ± 7.33 a | 139.65 ± 10.33 ab | 84.44 ± 1.03 a | 19.17 ± 0.14 a | 6.14 ± 0.28 a | ||
| ANOVA | Y | ns | ns | ** | ns | ** | |
| C | ns | ** | ** | * | * | ||
| B | ** | ns | ns | ns | ** | ||
| Y × C | ** | ns | ** | ** | ** | ||
| Y × B | ns | ns | ns | ns | ns | ||
| C × B | ns | ns | ns | ns | ns | ||
| Y × C × B | ns | ns | ns | ns | ns |
| Year | Cultivar | Treatment | Brown Rice Rate (%) | Milled Rice Rate (%) | Head Rice Rate (%) | Chalkiness Degree (%) | Chalk Rice Rate (%) |
|---|---|---|---|---|---|---|---|
| 2022 | MXZ2 | T1 | 80.35 ± 0.11 b | 70.2 ± 0.20 b | 60.03 ± 0.53 b | 15.25 ± 0.25 a | 5.53 ± 0.22 a |
| T2 | 80.82 ± 0.14 ab | 70.75 ± 0.42 b | 59.02 ± 0.26 bc | 10.81 ± 0.14 b | 5.30 ± 0.10 a | ||
| T3 | 80.69 ± 0.14 b | 70.72 ± 0.34 b | 58.08 ± 0.16 c | 11.68 ± 0.55 b | 3.56 ± 0.17 b | ||
| T4 | 81.24 ± 0.17 a | 72.03 ± 0.34 a | 63.36 ± 0.28 a | 10.4 ± 1.18 b | 2.84 ± 0.15 c | ||
| XYXZ | T1 | 79.48 ± 0.20 a | 65.43 ± 0.30 a | 56.02 ± 0.48 c | 10.04 ± 0.41 a | 4.41 ± 0.24 d | |
| T2 | 79.32 ± 0.13 a | 64.92 ± 0.28 a | 58.29 ± 0.29 a | 7.16 ± 0.71 b | 2.41 ± 0.19 b | ||
| T3 | 79.66 ± 0.20 a | 64.35 ± 0.32 a | 57.17 ± 0.17 b | 5.48 ± 0.69 c | 1.54 ± 0.13 c | ||
| T4 | 79.78 ± 0.21 a | 65.58 ± 0.57 a | 56.37 ± 0.26 bc | 4.41 ± 0.24 d | 2.29 ± 0.13 b | ||
| 2023 | MXZ2 | T1 | 79.21 ± 0.34 b | 67.60 ± 0.75 b | 58.57 ± 0.56 b | 11.51 ± 0.87 a | 4.35 ± 0.08 a |
| T2 | 79.76 ± 0.04 ab | 68.90 ± 0.2 ab | 60.22 ± 0.17 a | 10.04 ± 0.41 a | 4.19 ± 0.06 ab | ||
| T3 | 80.19 ± 0.05 a | 68.67 ± 0.2 ab | 60.81 ± 0.21 a | 8.25 ± 0.32 c | 3.04 ± 0.11 c | ||
| T4 | 80.15 ± 0.12 a | 69.13 ± 0.09 a | 60.87 ± 0.31 a | 10.17 ± 0.37 b | 3.94 ± 0.11 b | ||
| XYXZ | T1 | 79.33 ± 0.08 a | 67.85 ± 0.31 a | 54.86 ± 0.65 b | 5.58 ± 0.23 a | 2.10 ± 0.06 a | |
| T2 | 79.41 ± 0.28 a | 66.89 ± 0.05 a | 58.64 ± 0.48 a | 4.46 ± 0.09 c | 1.20 ± 0.06 c | ||
| T3 | 79.44 ± 0.04 a | 67.66 ± 0.74 a | 56.16 ± 0.84 b | 4.81 ± 0.14 b | 1.66 ± 0.08 b | ||
| T4 | 79.69 ± 0.30 a | 67.98 ± 0.55 a | 56.83 ± 0.24 ab | 3.92 ± 0.12 d | 1.69 ± 0.04 b | ||
| ANOVA | Y | ** | ns | ns | * | ns | |
| C | ** | ** | ** | ** | ** | ||
| B | ns | ns | ns | * | ns | ||
| Y × C | ** | ** | ns | ns | ** | ||
| Y × B | ns | ns | ** | ** | ** | ||
| C × B | ns | * | ** | ** | ** | ||
| Y × C × B | ns | ns | ** | * | ** |
Disclaimer/Publisher’s Note: The statements, opinions and data contained in all publications are solely those of the individual author(s) and contributor(s) and not of MDPI and/or the editor(s). MDPI and/or the editor(s) disclaim responsibility for any injury to people or property resulting from any ideas, methods, instructions or products referred to in the content. |
© 2023 by the authors. Licensee MDPI, Basel, Switzerland. This article is an open access article distributed under the terms and conditions of the Creative Commons Attribution (CC BY) license (https://creativecommons.org/licenses/by/4.0/).
Share and Cite
Zhang, X.; Qiu, X.; Yao, X.; Wei, J.; Tong, S.; Mo, Z.; Qi, J.; Duan, M.; Tang, X. Biochar Regulates 2-Acetyl-1-Pyrroline, Grain Yield and Quality in Fragrant Rice Cropping Systems in Southern China. Agronomy 2023, 13, 2860. https://doi.org/10.3390/agronomy13122860
Zhang X, Qiu X, Yao X, Wei J, Tong S, Mo Z, Qi J, Duan M, Tang X. Biochar Regulates 2-Acetyl-1-Pyrroline, Grain Yield and Quality in Fragrant Rice Cropping Systems in Southern China. Agronomy. 2023; 13(12):2860. https://doi.org/10.3390/agronomy13122860
Chicago/Turabian StyleZhang, Xuechan, Xinfeng Qiu, Xiangbin Yao, Jianjiao Wei, Shaojie Tong, Zhaowen Mo, Jianying Qi, Meiyang Duan, and Xiangru Tang. 2023. "Biochar Regulates 2-Acetyl-1-Pyrroline, Grain Yield and Quality in Fragrant Rice Cropping Systems in Southern China" Agronomy 13, no. 12: 2860. https://doi.org/10.3390/agronomy13122860
APA StyleZhang, X., Qiu, X., Yao, X., Wei, J., Tong, S., Mo, Z., Qi, J., Duan, M., & Tang, X. (2023). Biochar Regulates 2-Acetyl-1-Pyrroline, Grain Yield and Quality in Fragrant Rice Cropping Systems in Southern China. Agronomy, 13(12), 2860. https://doi.org/10.3390/agronomy13122860

