Effects of Pre-Harvest Spraying with Salicylic Acid (SA) and Sodium Nitroprusside (SNP) on Storage Quality and Pathogenic Fungal Species in ‘Manaohong’ Cherries
Abstract
:1. Introduction
2. Materials and Methods
2.1. Preharvest Spraying Treatments and Fruit Harvest
2.2. Isolation, Purification, and Identification of Pathogenic Fungi
2.3. In Vitro Inhibitory Effects of Different Concentrations of SA and SNP on the Pathogenic Fungus
2.4. Fungicide Sensitivity of Isolates
2.5. Effects of Preharvest SA and SNP Application on Cherry Fruit Size and Appearance
2.6. Determination of Decay Rate, Soluble Solids, Respiration Rate and MDA Content
2.7. Determination of Texture
2.8. Determination of Titratable Acid, Soluble Protein, Vc, and Total Phenol Content
2.9. Determination of Antioxidant Enzyme Activity
2.10. Data Analysis
3. Results
3.1. Effects of Pre-Harvest Spraying of SA and SNP on the Size of Cherry Fruit at Maturity and the Appearance of Fruit during Storage
3.2. Effects of SA and SNP Spraying Pre-Harvest on Decay Rate, Firmness, Respiration Rate and Malondialdehyde Content of Manaohong Cherries during Storage
3.3. Effects of Pre-Harvest SA and SNP Spraying on the Texture of Manaohong Cherries during Storage
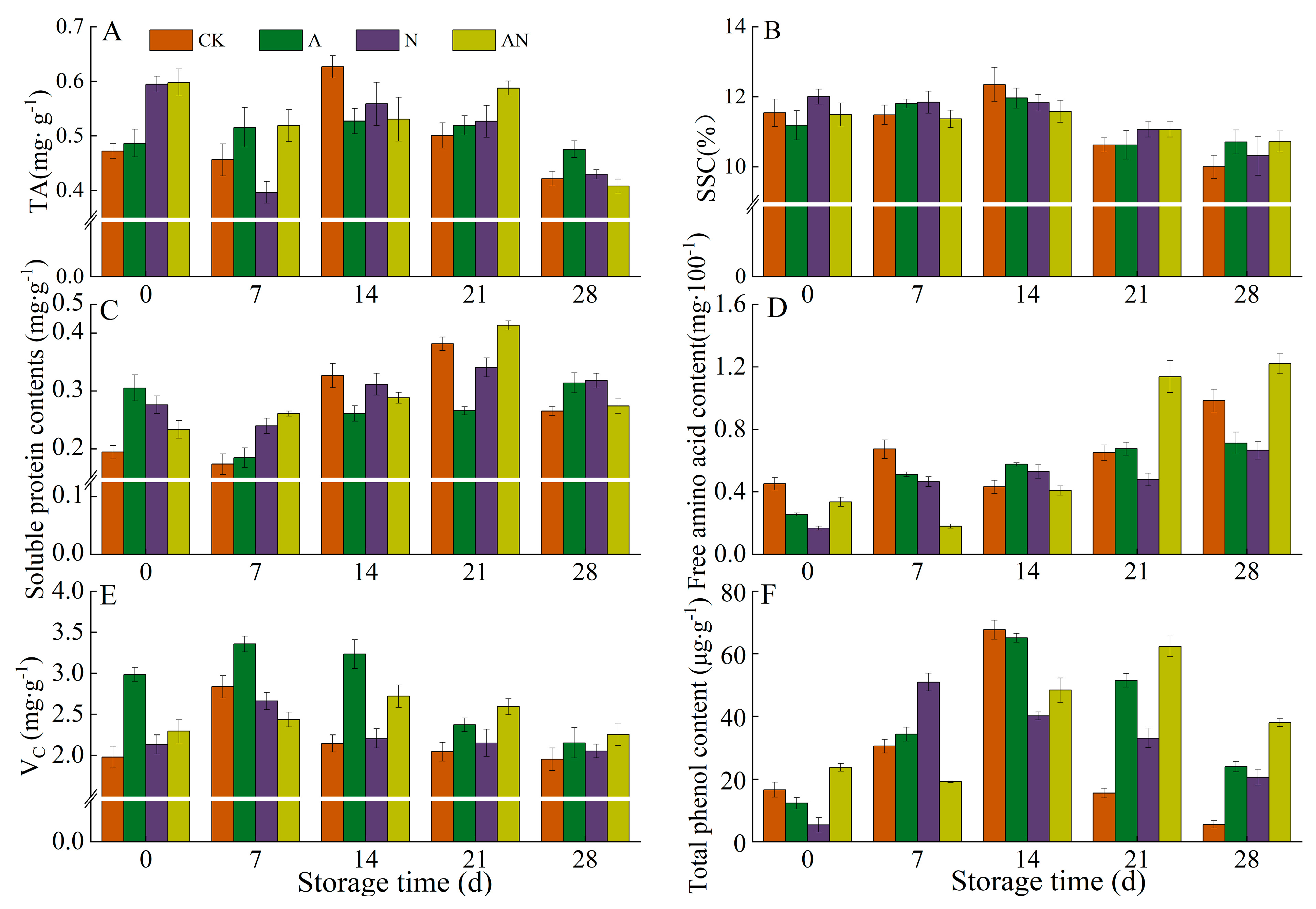
3.4. Effects of Pre-Harvest SA and SNP Spraying on the Contents of Titratable Acid, Soluble Solids, Soluble Protein, Free Amino Acids, Vc and Total Phenols of Manaohong Cherries during Storage
3.5. Effects of Pre-Harvest SA and SNP Spraying on Enzyme Activity of Manaohong Cherries during Storage
3.6. Based on Principal Component Analysis and Correlation Analysis, the Fruit Quality of Manaohong Cherry Was Comprehensively Evaluated
3.7. Isolation and Purification of Pathogenic Fungus
3.8. Pathogen Identification
3.9. Inhibitory Effects of Salicylic Acid and Sodium Nitroprusside at Different Concentrations on YT1 and YT2 In Vitro
3.10. Fungicide Sensitivity of Isolates
4. Discussion
4.1. Effects of Pre-Harvest SA and SNP Spray on Postharvest Storage Quality
4.2. Effects of Salicylic Acid and Sodium Nitroprusside Spray on Pathogen Species and Inhibition In Vitro
4.3. Fungicide Sensitivity of Isolates
5. Conclusions
Author Contributions
Funding
Data Availability Statement
Conflicts of Interest
References
- Berta, G.B.; Silva, A.P.; Moutinho-Pereira, J.; Bacelar, E.; Rosa, E.; Meyer, A.S. Effect of ripeness and postharvest storage on the evolution of colour and anthocyanins in cherries (Prunus avium L.). Food Chem. 2007, 103, 976–984. [Google Scholar]
- Habib, M.; Bhat, M.; Dar, B.; Wani, A. Sweet cherries from farm to table: A review. Crit. Rev. Food Sci. Nutr. 2017, 57, 1638–1649. [Google Scholar] [CrossRef] [PubMed]
- Song, C.M.; Wen, X.P. Exploring the original causes of cherry cultivar Manaohong originated from Nayong County, Guizhou Province using ISSR markers. Beijing Linye Daxue Xuebao/J. Beijing For. Univ. 2011, 33, 94–97. [Google Scholar]
- Zhang, Q.; Shi, W.; Zhou, B.; Du, H.; Xi, L.; Zou, M.; Zou, H.; Xin, L.; Gao, Z.; Chen, Y. Variable characteristics of microbial communities on the surface of sweet cherries under different storage conditions. Postharvest Biol. Technol. 2021, 173, 111408. [Google Scholar]
- El Hamss, H.; Kajad, N.; Belabess, Z.; Lahlali, R. Enhancing bioefficacy of Bacillus amyloliquefaciens SF14 with salicylic acid for the control of the postharvest citrus green mould. Plant Stress 2023, 7, 100144. [Google Scholar] [CrossRef]
- Asghari, M.; Aghdam, M.S. Impact of salicylic acid on post-harvest physiology of horticultural crops. Trends Food Sci. Technol. 2010, 21, 502–509. [Google Scholar] [CrossRef]
- Zhang, Y.; Li, S.; Deng, M.; Gui, R.; Liu, Y.; Chen, X.; Lin, Y.; Li, M.; Wang, Y.; He, W. Blue light combined with salicylic acid treatment maintained the postharvest quality of strawberry fruit during refrigerated storage. Food Chem. X 2022, 15, 100384. [Google Scholar] [CrossRef]
- Nia, A.E.; Taghipour, S.; Siahmansour, S. Effects of salicylic acid preharvest and Aloe vera gel postharvest treatments on quality maintenance of table grapes during storage. S. Afr. J. Bot. 2022, 147, 1136–1145. [Google Scholar]
- Luo, M.; Ge, W.; Sun, H.; Yang, Q.; Sun, Y.; Zhou, X.; Zhou, Q.; Ji, S. Salicylic acid treatment alleviates diminished ester production in cold-stored ‘Nanguo’ pear by promoting the transcription of PuAAT. Postharvest Biol. Technol. 2022, 187, 111849. [Google Scholar] [CrossRef]
- Giménez, M.J.; Valverde, J.M.; Valero, D.; Guillén, F.; Martínez-Romero, D.; Serrano, M.; Castillo, S. Quality and antioxidant properties on sweet cherries as affected by preharvest salicylic and acetylsalicylic acids treatments. Food Chem. 2014, 160, 226–232. [Google Scholar] [CrossRef]
- Cao, J.; Yan, J.; Zhao, Y.; Jiang, W. Effects of postharvest salicylic acid dipping on Alternaria rot and disease resistance of jujube fruit during storage. J. Sci. Food Agric. 2013, 93, 3252–3258. [Google Scholar] [CrossRef]
- Romanazzi, G.; Sanzani, S.M.; Bi, Y.; Tian, S.; Gutiérrez Martínez, P.; Alkan, N. Induced resistance to control postharvest decay of fruit and vegetables. Postharvest Biol. Technol. 2016, 122, 82–94. [Google Scholar] [CrossRef]
- Rabiei, V.; Kakavand, F.; Zaare-Nahandi, F.; Razavi, F.; Aghdam, M.S. Nitric oxide and γ-aminobutyric acid treatments delay senescence of cornelian cherry fruits during postharvest cold storage by enhancing antioxidant system activity. Sci. Hortic. 2019, 243, 268–273. [Google Scholar] [CrossRef]
- Liu, J.; Zhang, W.; Hu, M.; Pan, Y.; Jiang, Y.; Zhang, Z.; Jiang, G. Nitric oxide is involved in melatonin-induced cold tolerance in postharvest litchi fruit. Postharvest Biol. Technol. 2023, 196, 112157. [Google Scholar] [CrossRef]
- Wang, B.; Jiang, H.; Bi, Y.; He, X.; Wang, Y.; Li, Y.; Zheng, X.; Prusky, D. Preharvest multiple sprays with sodium nitroprusside promote wound healing of harvested muskmelons by activation of phenylpropanoid metabolism. Postharvest Biol. Technol. 2019, 158, 110988. [Google Scholar] [CrossRef]
- Lahlali, R.; Aksissou, W.; Lyousfi, N.; Ezrari, S.; Blenzar, A.; Tahiri, A.; Amiri, S. Biocontrol activity and putative mechanism of Bacillus amyloliquefaciens (SF14 and SP10), Alcaligenes faecalis ACBC1, and Pantoea agglomerans ACBP1 against brown rot disease of fruit. Microb. Pathog. 2020, 139, 103914. [Google Scholar] [CrossRef] [PubMed]
- Liu, B.; Munster, M.; Johnson, C.; Louws, F.J. First Report of Anthracnose Caused by Colletotrichum fragariae on Cyclamen in North Carolina. Plant Dis. 2011, 95, 1480. [Google Scholar] [CrossRef] [PubMed]
- Massi, F.; Torriani, S.F.F.; Borghi, L.; Toffolatti, S.L. Fungicide Resistance Evolution and Detection in Plant Pathogens: Plasmopara viticola as a Case Study. Microorganisms 2021, 9, 119. [Google Scholar] [CrossRef]
- Amin, M.; Malik, A.U.; Sattar, A.; And, K.; Javed, N. Potential of fungicides and plant activator for postharvest disease management in mangoes. Int. J. Agric. Biol. 2011, 13, 671–676. [Google Scholar]
- Majumdar, N.; Mandal, N.C.; Nath, R. Management of quiescent pathogens rots of mango with preharvest spraying of true fungicides and salicylic acid. Int. J. Chem. Stud. 2020, 8, 2809–2813. [Google Scholar] [CrossRef]
- Edwards, S.G.; Seddon, B. Mode of antagonism of Brevibacillus brevis against Botrytis cinerea in vitro. J. Appl. Microbiol. 2001, 4, 91. [Google Scholar] [CrossRef]
- Han, C.; Zuo, J.; Wang, Q.; Xu, L.; Wang, Z.; Dong, H.; Gao, L. Effects of 1-MCP on postharvest physiology and quality of bitter melon (Momordica charantia L.). Sci. Hortic. 2015, 182, 86–91. [Google Scholar] [CrossRef]
- Bhan, C.; Asrey, R.; Meena, N.K.; Rudra, S.G.; Chawla, G.; Kumar, R.; Kumar, R. Guar gum and chitosan-based composite edible coating extends the shelf life and preserves the bioactive compounds in stored Kinnow fruits. Int. J. Biol. Macromol. 2022, 222 Pt B, 2922–2935. [Google Scholar] [CrossRef]
- Zhang, X.; Zhou, Y.; Li, J.; Gu, X.; Zhao, L.; Li, B.; Wang, K.; Yang, Q.; Zhang, H. Pichia caribbica improves disease resistance of cherry tomatoes by regulating ROS metabolism. Biol. Control 2022, 169, 104870. [Google Scholar] [CrossRef]
- Giacosa, S.; Torchio, F.; Segade, S.R.; Giust, M.; Tomasi, D.; Gerbi, V.; Rolle, L. Selection of a mechanical property for the flesh firmness of table grapes in accordance with an OIV ampelographic descriptor. Am. J. Enol. Vitic. 2014, 65, 206–214. [Google Scholar] [CrossRef]
- Zhao, H.; Liu, B.; Zhang, W.; Cao, J.; Jiang, W. Enhancement of quality and antioxidant metabolism of sweet cherry fruit by near-freezing temperature storage. Postharvest Biol. Technol. 2019, 147, 113–122. [Google Scholar] [CrossRef]
- Hussain, T.; Kalhoro, D.H.; Yin, Y.L. Identification of nutritional composition and antioxidant activities of fruit peels as a potential source of nutraceuticals. Front. Nutr. 2023, 9, 1065698. [Google Scholar] [CrossRef]
- Kaulmann, A.; Jonville, M.C.; Schneider, Y.J.; Hoffmann, L.; Bohn, T. Carotenoids, polyphenols and micronutrient profiles of Brassica oleraceae and plum varieties and their contribution to measures of total antioxidant capacity. Food Chem. 2014, 155, 240–250. [Google Scholar] [CrossRef]
- Khan, M.M.R.; Rahman, M.M.; Islam, M.S.; Begum, S.A. A Simple UV-spectrophotometric Method for the Determination of Vitamin C Content in Various Fruits and Vegetables at Sylhet Area in Bangladesh. J. Biol. Sci. 2006, 6, 2238. [Google Scholar] [CrossRef]
- Saba, M.K.; Arzani, K.; Barzegar, M. Postharvest Polyamine Application Alleviates Chilling Injury and Affects Apricot Storage Ability. Food Chem. 2012, 60, 8947–8953. [Google Scholar] [CrossRef] [PubMed]
- Lin, Y.F.; Hu, Y.H.; Lin, H.T.; Liu, X.; Chen, Y.H.; Zhang, S.; Chen, Q.X. Inhibitory Effects of Propyl Gallate on Tyrosinase and Its Application in Controlling Pericarp Browning of Harvested Longan Fruits. J. Agric. Food Chem. 2013, 61, 2889–2895. [Google Scholar] [CrossRef]
- Pan, L.; Chen, X.; Xu, W.; Fan, S.; Wan, T.; Zhang, J.; Cai, Y. Methyl jasmonate induces postharvest disease resistance to decay caused by Alternaria alternata in sweet cherry fruit. Sci. Hortic. 2022, 292, 110624. [Google Scholar] [CrossRef]
- Zhao, J.J.; Wang, B.; Cui, K.; Cao, J.; Jiang, W. Improving postharvest quality and antioxidant capacity of sweet cherry fruit by storage at near-freezing temperature. Sci. Hortic. 2019, 246, 68–78. [Google Scholar] [CrossRef]
- Bai, J.; Plotto, A.; Spotts, R.; Rattanapanone, N. Ethanol vapor and saprophytic yeast treatments reduce decay and maintain quality of intact and fresh-cut sweet cherries. Postharvest Biol. Technol. 2011, 62, 204–212. [Google Scholar] [CrossRef]
- Zhang, Y.-L.; Cui, Q.-L.; Wang, Y.; Shi, F.; Fan, H.; Zhang, Y.-Q.; Lai, S.-T.; Li, Z.-H.; Li, L.; Sun, Y.-K. Effect of Edible Carboxymethyl Chitosan-Gelatin Based Coating on the Quality and Nutritional Properties of Different Sweet Cherry Cultivars during Postharvest Storage. Coatings 2021, 11, 396. [Google Scholar] [CrossRef]
- Brizzolara, S.; Manganaris, G.A.; Fotopoulos, V.; Watkins, C.B.; Tonutti, P. Primary metabolism in fresh fruits during storage. Front. Plant Sci. 2020, 11, 80. [Google Scholar] [CrossRef]
- Li, Y.; Song, W.; Gao, H.; Li, L. Properties of antimicrobial polylactic acid-based film and its effect on cherry quality preservation. Shipin Kexue/Food Sci. 2020, 41, 216–222. [Google Scholar]
- Bianchi, T.; Guerrero, L.; Gratacos-Cubarsi, M.; Claret, A.; Argyris, J.; Garcia-Mas, J.; Hortos, M. Textural properties of different melon (Cucumis melo L.) fruit types: Sensory and physical-chemical evaluation. Sci. Hortic. 2016, 201, 201. [Google Scholar] [CrossRef]
- Zhang, J.; Nie, J.Y.; Jing, L.I.; Zhang, H.; Wang, J. Evaluation of sugar and organic acid composition and their levels in highbush blueberries from two regions of China. J. Integr. Agric. 2020, 19, 2352–2361. [Google Scholar] [CrossRef]
- Mandrioli, R.; Mercolini, L.; Raggi, M.A. Recent trends in the analysis of amino acids in fruits and derived foodstuffs. Anal. Bioanal. Chem. 2013, 405, 7941–7956. [Google Scholar] [CrossRef]
- Mendes-Oliveira, G.; Gu, G.; Luo, Y.; Zografos, A.; Minas, I.; Nou, X. Edible and water-soluble corn zein coating impregnated with nisin for Listeria monocytogenes reduction on nectarines and apples. Postharvest Biol. Technol. 2022, 185, 111811. [Google Scholar] [CrossRef]
- Kerch, G.; Sabovics, M.; Kruma, Z.; Kampuse, S.; Straumite, E. Effect of chitosan and chitooligosaccharide on vitamin C and polyphenols contents in cherries and strawberries during refrigerated storage. Eur. Food Res. Technol. 2011, 233, 351–358. [Google Scholar] [CrossRef]
- Li, H.H.; Tang, W.; Liu, K.; Zhang, L.; Tang, X.F.; Miao, M.; Liu, Y.S. First Report of Fusarium fujikuroi Causing Brown Leaf Spot on Kiwifruit. Plant Dis. 2020, 104, 1560–1561. [Google Scholar] [CrossRef]
- Yao, H.; Tian, S. Effects of pre- and post-harvest application of salicylic acid or methyl jasmonate on inducing disease resistance of sweet cherry fruit in storage. Postharvest Biol. Technol. 2005, 35, 253–262. [Google Scholar] [CrossRef]
- Li, X.; Peng, S.; Yu, R.; Li, P.; Zhou, C.; Qu, Y.; Li, H.; Luo, H.; Yu, L. Co-Application of 1-MCP and Laser Microporous Plastic Bag Packaging Maintains Postharvest Quality and Extends the Shelf-Life of Honey Peach Fruit. Foods 2022, 11, 1733. [Google Scholar] [CrossRef]
- Yang, W.; Kang, J.; Liu, Y.; Guo, M.; Chen, G. Effect of salicylic acid treatment on antioxidant capacity and endogenous hormones in winter jujube during shelf life. Food Chem. 2022, 397, 133788. [Google Scholar] [CrossRef]
- Brozdowski, J.; Waliszewska, B.; Loffler, J.; Hudina, M.; Veberic, R.; Mikulic-Petkovsek, M. Composition of Phenolic Compounds, Cyanogenic Glycosides, Organic Acids and Sugars in Fruits of Black Cherry (Prunus serotina Ehrh.). Forests 2021, 12, 762. [Google Scholar] [CrossRef]
- Rolle, L.; Giacosa, S.; Gerbi, V.; Novello, V. Comparative Study of Texture Properties, Color Characteristics, and Chemical Composition of Ten White Table-Grape Varieties. Am. J. Enol. Vitic. 2011, 62, 49–56. [Google Scholar] [CrossRef]
- Mondal, K.; Sharma, N.S.; Malhotra, S.P.; Dhawan, K.; Singh, R. Antioxidant Systems in Ripening Tomato Fruits. Biol. Plant. 2004, 48, 49–53. [Google Scholar] [CrossRef]
- Chen, H.; Ling, J.; Wu, F.; Zhang, L.; Sun, Z.; Yang, H. Effect of hypobaric storage on flesh lignification, active oxygen metabolism and related enzyme activities in bamboo shoots. LWT-Food Sci. Technol. 2013, 51, 190–195. [Google Scholar] [CrossRef]
- Dean, R.; Kan, J.A.L.V.; Pretorius, Z.A.; Hammond-Kosack, K.E.; Pietro, A.D.; Spanu, P.D.; Rudd, J.J.; Dickman, M.; Kahmann, R.; Ellis, J. The Top 10 fungal pathogens in molecular plant pathology. Mol. Plant Pathol. 2012, 13, 414–430. [Google Scholar] [CrossRef]
- Thomidis, T.; Tsipouridis, C. First Report of Alternaria Leaf Spot on Cherry Trees in Greece. Plant Dis. 2006, 90, 680. [Google Scholar] [CrossRef] [PubMed]
- Junyu, H.E.; Ren, Y.; Chen, C.; Liu, J.; Liu, H. Defense Responses of Salicylic Acid in Mango Fruit Against Postharvest Anthracnose, Caused by Colletotrichum gloeosporioides and its Possible Mechanism. J. Food Saf. 2016, 37, e12294. [Google Scholar]
- Peng, K.Q.; Pan, Y.T.; Tan, T.J.; Zeng, X.Y.; Lin, M.L.; Jiang, S.; Zhao, Z.B.; Tian, F.H.; Zhao, X.S. Characterization and fungicide sensitivity of Colletotrichum godetiae causing sweet cherry fruit anthracnose in Guizhou, China. Front. Microbiol. 2022, 13, 923181. [Google Scholar] [CrossRef] [PubMed]










| Treatment | Single Weight/g | Diameter /mm | Vertical Diameter/mm | Shape Index of Fruit |
|---|---|---|---|---|
| CK | 4.36 ± 0.034 a | 18.79 ± 0.20 b | 19.50 ± 0.38 a | 1.04 ± 0.0089 a |
| A | 4.64 ± 0.083 a | 19.86 ± 0.30 a | 20.54 ± 0.26 a | 1.03 ± 0.0054 a |
| N | 4.39 ± 0.35 a | 18.73 ± 0.36 b | 20.27 ± 0.65 a | 1.08 ± 0.022 a |
| AN | 4.26 ± 0.17 a | 18.54 ± 0.48 b | 19.52 ± 0.58 a | 1.05 ± 0.026 a |
| Treatment | Principal Component Score | Composite Score | ||||
|---|---|---|---|---|---|---|
| Y1 | Y2 | Y3 | Y4 | Y5 | Z | |
| CK0 | 0.3168 | −0.719 | −0.2598 | 0.1308 | −0.056 | −0.0329 |
| CK7 | 0.0991 | −0.0316 | 1.0341 | −0.1462 | 0.4868 | 0.1945 |
| CK14 | 0.1189 | 0.7423 | −0.3725 | −0.2362 | 1.6559 | 0.1969 |
| CK21 | −0.3109 | 0.0868 | −0.4813 | −1.1279 | 0.9518 | −0.1955 |
| CK28 | −0.571 | −0.6265 | 0.0888 | 0.1554 | 0.7354 | −0.2716 |
| A0 | 0.4142 | −0.5429 | −0.3616 | 1.0363 | 0.2098 | 0.0938 |
| A7 | 0.2941 | 0.3462 | 1.0164 | 0.5984 | 0.8005 | 0.3986 |
| A14 | 0.1998 | 0.8418 | −0.598 | 1.2254 | −0.0193 | 0.2191 |
| A21 | −0.1851 | 0.382 | −0.2781 | −0.5731 | 0.5096 | −0.0541 |
| A28 | −0.428 | −0.4016 | −0.1322 | 1.2155 | 0.3566 | −0.1594 |
| N0 | 0.4725 | −0.7808 | −0.7906 | −0.398 | 0.3237 | −0.0709 |
| N7 | 0.1454 | −0.0217 | 1.2256 | −0.4814 | 0.2621 | 0.2077 |
| N14 | 0.0423 | 0.375 | −0.4103 | −0.2571 | 0.6043 | 0.0403 |
| N21 | −0.2911 | 0.2541 | −0.1803 | −2.0163 | −0.503 | −0.2503 |
| N28 | −0.511 | −0.5528 | −0.1683 | −0.021 | −1.3197 | −0.3914 |
| AN0 | 0.478 | −0.3685 | −0.1455 | −0.3163 | −0.4614 | 0.0574 |
| AN7 | 0.2255 | −0.1411 | 0.6692 | −0.8959 | −1.1454 | 0.0391 |
| AN14 | 0.1409 | 0.6225 | −0.2187 | 0.1664 | −2.5207 | 0.0104 |
| AN21 | −0.1696 | 0.6059 | −0.0671 | 0.8124 | −0.6858 | 0.046 |
| AN28 | −0.4807 | −0.0702 | 0.4302 | 1.129 | −0.1852 | −0.0776 |
| Strain Name | Treatment | Strain Name | |||||
|---|---|---|---|---|---|---|---|
| March 17th Separation | April 6th Separation | April 13th Separation | April 20th Separation | April 27th Separation | |||
| Before spraying | Colletotrichum godetiae | After spraying | CK | Colletotrichum godetiae | Colletotrichum godetiae | Colletotrichum godetiae | Colletotrichum godetiae |
| Diaporthe | Diaporthe | Diaporthe | Diaporthe | ||||
| Sordariales | Xylaria | Schizophyllum commune | Schizophyllum commune | ||||
| Schizophyllum commune | Aspergillus flavus | Aspergillus flavus | Alternaria alternata | Alternaria alternata | |||
| Nigrospora | Irpex lacteus | Irpex lacteus | |||||
| Cladosporium | A | Colletotrichum godetiae | Colletotrichum godetiae | Schizophyllum commune | Colletotrichum godetiae | ||
| Bjerkandera adusta | Sordariales | Xylaria | Colletotrichum godetiae | Diaporthe | |||
| Aspergillus flavus | Alternaria alternata | ||||||
| Schizophyllum commune | |||||||
| Nigrospora oryzae | N | Colletotrichum godetiae | Colletotrichum godetiae | Colletotrichum godetiae | Colletotrichum godetiae | ||
| Fusarium fujikuroi | Nigrospora sp. | Alternaria alternata | Alternaria alternata | ||||
| Aspergillus flavus | AN | Colletotrichum godetiae | Colletotrichum godetiae | Colletotrichum godetiae | Colletotrichum godetiae | ||
| Polyporales | Alternaria alternata | ||||||
| Fungicide | Alternaria alternata EC50 Value μg∙mL−1 | Colletotrichum godetiae EC50 Value μg∙mL−1 |
|---|---|---|
| 80% Mancozeb | 17.76 | 0.011 |
| 70% Methylthiophanate | 8.05 | 1.38 |
| 24% Benzazole | 78.89 | 3.90 |
| 20% Pythiazem | 1.92 | 0.020 |
| 5% Hexaconazole | 0.00010 | 0.12 |
| 50% Prochloraz manganese salt | 11.65 | 0.12 |
| 40% Difenoconazole | 0.0054 | 6.75 |
| 50% Cyprodinil | 0.81 | 33.88 |
| 50% Fludioxonil | 0.57 | 322.53 |
| 43% Tebuconazole | 2.84 | 0.38 |
| 6% Oligosaccharide chain protein | 124.74 | 0.56 |
| 50% benomyl | 159.55 | 0.0018 |
Disclaimer/Publisher’s Note: The statements, opinions and data contained in all publications are solely those of the individual author(s) and contributor(s) and not of MDPI and/or the editor(s). MDPI and/or the editor(s) disclaim responsibility for any injury to people or property resulting from any ideas, methods, instructions or products referred to in the content. |
© 2023 by the authors. Licensee MDPI, Basel, Switzerland. This article is an open access article distributed under the terms and conditions of the Creative Commons Attribution (CC BY) license (https://creativecommons.org/licenses/by/4.0/).
Share and Cite
Zhang, N.; Ji, N.; Liu, R.; Wang, R.; Chen, C.; Ma, C.; Nie, H.; Lei, J.; Tao, Q. Effects of Pre-Harvest Spraying with Salicylic Acid (SA) and Sodium Nitroprusside (SNP) on Storage Quality and Pathogenic Fungal Species in ‘Manaohong’ Cherries. Agronomy 2023, 13, 2853. https://doi.org/10.3390/agronomy13122853
Zhang N, Ji N, Liu R, Wang R, Chen C, Ma C, Nie H, Lei J, Tao Q. Effects of Pre-Harvest Spraying with Salicylic Acid (SA) and Sodium Nitroprusside (SNP) on Storage Quality and Pathogenic Fungal Species in ‘Manaohong’ Cherries. Agronomy. 2023; 13(12):2853. https://doi.org/10.3390/agronomy13122853
Chicago/Turabian StyleZhang, Ni, Ning Ji, Renchan Liu, Rui Wang, Cunkun Chen, Chao Ma, Huali Nie, Jiqing Lei, and Qiuyun Tao. 2023. "Effects of Pre-Harvest Spraying with Salicylic Acid (SA) and Sodium Nitroprusside (SNP) on Storage Quality and Pathogenic Fungal Species in ‘Manaohong’ Cherries" Agronomy 13, no. 12: 2853. https://doi.org/10.3390/agronomy13122853
APA StyleZhang, N., Ji, N., Liu, R., Wang, R., Chen, C., Ma, C., Nie, H., Lei, J., & Tao, Q. (2023). Effects of Pre-Harvest Spraying with Salicylic Acid (SA) and Sodium Nitroprusside (SNP) on Storage Quality and Pathogenic Fungal Species in ‘Manaohong’ Cherries. Agronomy, 13(12), 2853. https://doi.org/10.3390/agronomy13122853

