Effects of Sodium Selenite on the Rhizosphere Environment, Growth, and Physiological Traits of Oilseed Rape (Brassica napus L.)
Abstract
:1. Introduction
2. Materials and Methods
2.1. Experimental Materials and Design
2.2. Measurement Indicators and Methods
2.3. Data Analyses
3. Results
3.1. Effect of Exogenous Se Application on Soil Solution Properties
3.1.1. Soil Solution pH
3.1.2. Soil Solution DOC
3.2. Effect of Exogenous Se Application on Soil Se Content and Speciation
3.2.1. Soil Total Se
3.2.2. Se Speciation in Soil
3.3. Effect of Exogenous Se Application on Oilseed Rape
3.3.1. Oilseed Rape Biomass
3.3.2. Se Content of Oilseed Rape
3.3.3. Rape Leaf Bioindicators
- (1)
- GPx Activity
- (2)
- MDA Content
4. Discussion
4.1. Effect of Exogenous Se Application on Soil Solution pH and DOC
4.2. Effect of Exogenous Se Application on Soil and Oilseed Rape Se
4.2.1. Soil and Oilseed Rape Se Content
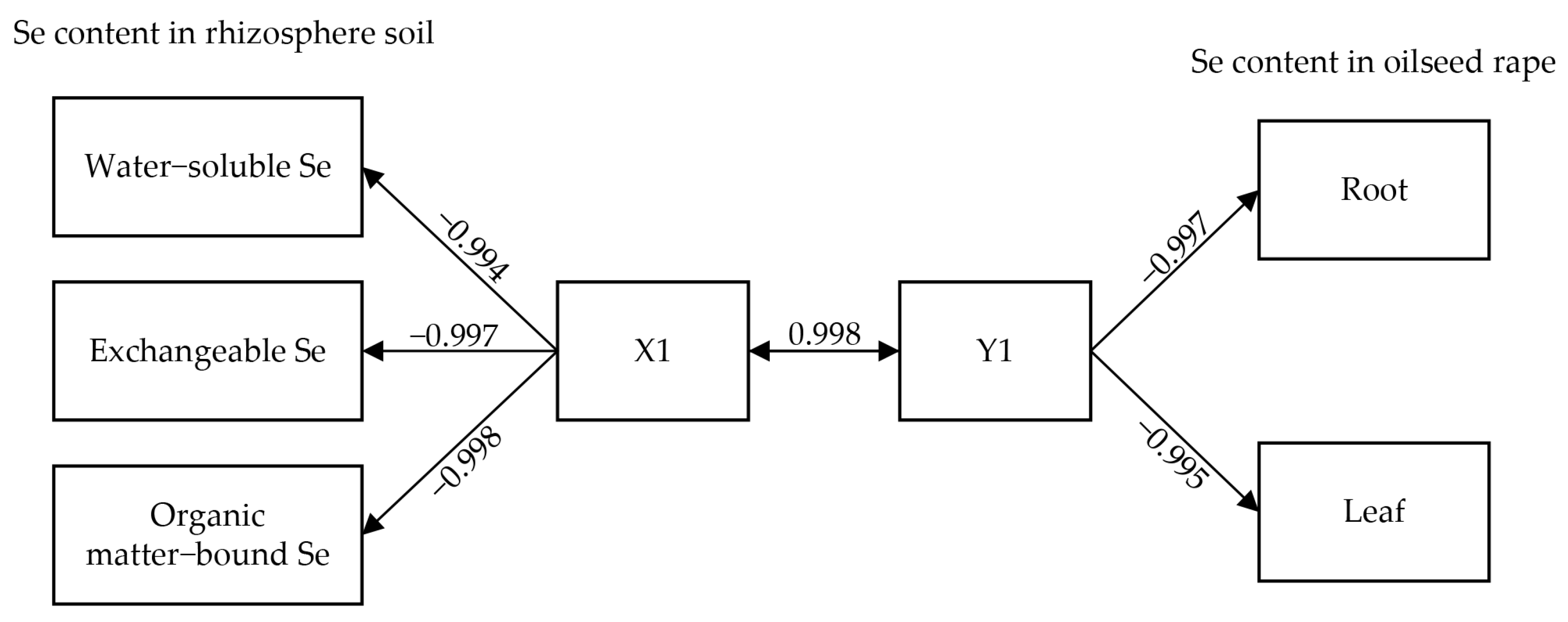
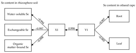
4.2.2. Relationship between Soil Se Speciation and Oilseed Rape Se Content
4.3. Effect of Exogenous Se Application on Oilseed Rape Growth and Physiological Traits
5. Conclusions
Author Contributions
Funding
Data Availability Statement
Acknowledgments
Conflicts of Interest
References
- Rayman, M.P.; Rayman, M.P. The argument for increasing selenium intake. Proc. Nutr. Soc. 2002, 61, 203–215. [Google Scholar] [CrossRef]
- Brown, K.M.; Arthur, J.R. Selenium, selenoproteins and human health: A review. Public Health Nutr. 2001, 4, 593–599. [Google Scholar] [CrossRef]
- Lenz, M.; Lens, P.N. The essential toxin: The changing perception of selenium in environmental sciences. Sci. Total Environ. 2009, 407, 3620–3633. [Google Scholar] [CrossRef]
- Rayman, M.P. Selenium and human health. Lancet 2012, 379, 1256–1268. [Google Scholar] [CrossRef]
- Dinh, Q.T.; Cui, Z.; Huang, J.; Tran, T.A.T.; Wang, D.; Yang, W.; Zhou, F.; Wang, M.; Yu, D.; Liang, D. Selenium distribution in the Chinese environment and its relationship with human health: A review. Environ. Int. 2018, 112, 294–309. [Google Scholar] [CrossRef]
- Malagoli, M.; Schiavon, M.; dall’Acqua, S.; Pilon-Smits, E.A.H. Effects of selenium biofortification on crop nutritional quality. Front. Recent Dev. Plant Sci. 2015, 6, 280. [Google Scholar] [CrossRef]
- Bañuelos, G.S.; Arroyo, I.S.; Dangi, S.R.; Zambrano, M.C. Continued selenium biofortification of carrots and broccoli grown in soils once amended with Se-enriched S. pinnata. Front. Recent Dev. Plant Sci. 2016, 7, 1251. [Google Scholar] [CrossRef]
- Dai, Z.; Imtiaz, M.; Rizwan, M.; Yuan, Y.; Huang, H.; Tu, S. Dynamics of Selenium uptake, speciation, and antioxidant response in rice at different panicle initiation stages. Sci. Total Environ. 2019, 691, 827–834. [Google Scholar] [CrossRef]
- Schiavon, M.; Pilonsmits, E.A. The fascinating facets of plant selenium accumulation-biochemistry, physiology, evolution and ecology. N. Phytol. 2017, 213, 1582–1596. [Google Scholar] [CrossRef]
- Wang, F.F.; Li, Y.H.; Yang, R.D.; Zhang, N.; Li, S.Y.; Zhu, Z.Z. Effects of sodium selenite on the growth, biochemical composition and selenium biotransformation of the filamentous microalga Tribonema minus. Bioresour. Technol. 2023, 384, 129313. [Google Scholar] [CrossRef]
- Pourebrahimi, M.; Eshghi, S.; Ramezanian, A.; Faghih, S. Effect of combined application of selenium and hydrogen sulfide under salinity stress on yield, physiological traits and biofortification of strawberries in hydroponic cultivation. Sci. Hortic. 2023, 315, 111982. [Google Scholar] [CrossRef]
- Cai, M.M.; Hu, C.X.; Wang, X.; Zhao, Y.Y.; Jia, W.; Sun, X.C.; Elyamine, A.M.; Zhao, X.H. Selenium induces changes of rhizosphere bacterial characteristics and enzyme activities affecting chromium/selenium uptake by pak choi (Brassica campestris L. ssp. Chinensis Makino) in chromium contaminated soil. Environ. Pollut. 2019, 249, 716–727. [Google Scholar] [CrossRef]
- Jiao, L.Y.; Cao, X.S.; Wang, C.X.; Chen, F.R.; Zou, H.; Yue, L.; Wang, Z.Y. Crosstalk between in situ root exudates and rhizobacteria to promote rice growth by selenium nanomaterials. Sci. Total Environ. 2023, 878, 163175. [Google Scholar] [CrossRef]
- Kirkegaard, J.A.; Lilley, J.M.; Morrison, M.J. Drivers of trends in Australian canola productivity and future prospects. Crop Pasture Sci. 2016, 67, i–ix. [Google Scholar] [CrossRef]
- FAOSTAT. FAO Statistics Division. 2020. Available online: https://www.fao.org/faostat/en/#data/QCL (accessed on 4 May 2022).
- Ebrahimi, N.H.H.; Simojoki, A.; Hajiboland, R.; Seppanen, M. Dynamics of dry matter and selenium accumulation in oilseed rape (Brassica napus L.) in response to organic and inorganic selenium treatments. Agric. Food Sci. 2015, 24, 104–117. [Google Scholar] [CrossRef]
- Wang, Y.J.W.; Hu, C.X. Characteristics of selenium accumulation in rape and the relationships between concentration of selenium in plant and in soil. Acta Sci. Circumstantiae 2018, 38, 336–342. [Google Scholar]
- Ulhassan, Z.; Ali, S.; Gill, R.A.; Mwamba, T.M.; Abid, M.; Li, L.; Zhang, N.; Zhou, W.J. Comparative orchestrating response of four oilseed rape (Brassica napus) cultivars against the selenium stress as revealed by physio-chemical, ultrastructural and molecular profiling. Ecotoxicol. Environ. Saf. 2018, 161, 634–647. [Google Scholar] [CrossRef]
- Li, J.D.; Deng, J.S.; Gu, Q.; Wang, K.; Ye, F.J.; Xu, Z.H.; Jin, S.Q. The accelerated urbanization process: A threat to soil resources in eastern China. Sustainability 2015, 7, 7137–7155. [Google Scholar] [CrossRef]
- Xu, Y.F.; Li, Y.H.; Li, H.R.; Wang, L.; Liao, X.Y.; Wang, J.; Kong, C. Effects of topography and soil properties on soil selenium distribution and bioavailability (phosphate extraction): A case study in Yongjia County, China. Sci. Total Environ. 2018, 633, 240–248. [Google Scholar] [CrossRef]
- Yan, Z.Y.; Ding, W.C.; Xie, G.X.; Yan, M.; Li, J.B.; Han, Y.; Xiong, X.; Wang, C. Identification of cadmium phytoavailability in response to cadmium transformation and changes in soil pH and electrical conductivity. Chemosphere 2023, 342, 140042. [Google Scholar] [CrossRef]
- Nie, S.Q.; Mo, S.M.; Gao, T.W.; Yan, B.; Shen, P.H.; Kashif, M.; Zhang, Z.F.; Li, J.H.; Jiang, C.J. Coupling effects of nitrate reduction and sulfur oxidation in a subtropical marine mangrove ecosystem with Spartina alterniflora invasion. Sci. Total Environ. 2023, 862, 160930. [Google Scholar] [CrossRef] [PubMed]
- Zhang, D.; Zhang, N.; Hou, Z.N.; Lou, D.X.; Ye, J. Effects of different application methods of selenite and selenate on selenium distribution within wheat. J. Plant Nutr. 2019, 41, 2729–2740. [Google Scholar] [CrossRef]
- Ximenez-Embun, P.; Alonso, I.; Madrid-Albarran, Y.; Camara, C. Establishment of selenium uptake and species distribution in lupine, India mustard and sunflower plants. J. Agric. Food Chem. 2004, 52, 832–838. [Google Scholar] [CrossRef] [PubMed]
- Di, X.R.; Qin, X.; Zhao, L.J.; Liang, X.F.; Xu, Y.M.; Sun, Y.B.; Huang, Q.Q. Selenium distribution, translocation and speciation in wheat (Triticum aestivum L.) after foliar spraying selenite and selenate. Food Chem. 2023, 400, 134077. [Google Scholar] [CrossRef] [PubMed]
- Li, J.; Peng, Q.; Liang, D.; Liang, S.; Chen, J.; Sun, H.; Li, S.; Lei, P. Effects of aging on the fraction distribution and bioavailability of selenium in three different soils. Chemosphere 2016, 144, 2351–2359. [Google Scholar] [CrossRef]
- Van Dorst, S.H.; Peterson, P.J. Selenium speciation in the soil solution and its relevance to plant uptake. J. Sci. Food Agric. 1984, 35, 601–605. [Google Scholar] [CrossRef]
- Weng, L.; Vega, F.A.; Supriatin, S.; Bussink, W.; Van Riemsdijk, W.H. Speciation of Se and DOC in soil solution and their relation to Se bioavailability. Environ. Sci. Technol. 2011, 45, 262–267. [Google Scholar] [CrossRef]
- Wang, J.; Li, H.; Li, Y.; Yu, J.; Yang, L.; Feng, F.; Chen, Z. Speciation, distribution, and bioavailability of soil selenium in the Tibetan Plateau Kashin-beck disease area–A case study in Songpan County, Sichuan Province, China. Biol. Trace Elem. Res. 2013, 156, 367–375. [Google Scholar] [CrossRef]
- Liu, N.N.; Wang, M.; Zhou, F.; Zhai, H.; Qi, M.X.; Liu, Y.; Li, Y.N.; Zhang, N.C.; Ma, Y.Z.; Huang, J.; et al. Selenium bioavailability in soil-wheat system and its dominant influential factors: A field study in Shaanxi province, China. Sci. Total Environ. 2021, 770, 144664. [Google Scholar] [CrossRef]
- Li, Z.; Liang, D.L.; Peng, Q.; Cui, Z.W.; Huang, J.; Lin, Z.Q. Interaction between selenium and soil organic matter and its impact on soil selenium bioavailability: A review. Geoderma 2017, 295, 69–79. [Google Scholar] [CrossRef]
- Luo, Y.M.; Christie, P.; Baker, A.J. Soil solution Zn and pH dynamics in non-rhizosphere soil and in the rhizosphere of Thlaspi caerulescens grown in a Zn/Cd-contaminated soil. Chemosphere 2000, 41, 161–164. [Google Scholar] [CrossRef] [PubMed]
- Li, T.; Di, Z.; Islam, E.; Jiang, H.; Yang, X. Rhizosphere characteristics of zinc hyperaccumulator Sedum alfredii involved in zinc accumulation. J. Hazard. Mater. 2011, 185, 818–823. [Google Scholar] [CrossRef]
- Li, Y.; Wang, L.; Yang, L.; Li, H. Dynamics of rhizosphere properties and antioxidative responses in wheat (Triticum aestivum L.) under cadmium stress. Ecotoxicol. Environ. Saf. 2014, 102, 55–61. [Google Scholar] [CrossRef]
- Houmani, H.; Rabhi, M.; Abdelly, C.; Debez, A. Implication of rhizosphere acidification in nutrient uptake by plants: Cases of potassium (K), phosphorus (P), and iron (Fe). In Crop Production and Global Environmental Issues; Springer: Dordrecht, The Netherlands, 2015; pp. 103–122. [Google Scholar]
- Shahsavari, F.; Khoshgoftarmanesh, A.H.; Mirmohammady Maibody, S.A.M.; Shariatmadari, H.; Massah, A. The role of root plasma membrane ATPase and rhizosphere acidification in zinc uptake by two different Zn-deficiency-tolerant wheat cultivars in response to zinc and histidine availability. Arch. Agron. Soil Sci. 2019, 65, 1646–1658. [Google Scholar] [CrossRef]
- Nye, P.H. Changes of pH across the rhizosphere induced by roots. Plant Soil 1981, 61, 7–26. [Google Scholar] [CrossRef]
- Bravin, M.N.; Martí, A.L.; Clairotte, M.; Hinsinger, P. Rhizosphere alkalisation—A major driver of copper bioavailability over a broad pH range in an acidic, copper-contaminated soil. Plant Soil 2008, 318, 257–268. [Google Scholar] [CrossRef]
- Oram, L.L.; Strawn, D.G.; Möller, G. Chemical speciation and bioavailability of selenium in the rhizosphere of symphyotrichum eatonii from reclaimed mine soils. Environ. Sci. Technol. 2011, 45, 870–875. [Google Scholar] [CrossRef]
- Timmusk, S.; Abd El-Daim, I.A.; Copolovici, L.; Tanilas, T.; Kannaste, A.; Behers, L.; Nevo, E.; Seisenbaeva, G.; Stenstrom, E.; Niinemets, U. Drought-tolerance of wheat improved by rhizosphere bacteria from harsh environments: Enhanced biomass production and reduced emissions of stress volatiles. PLoS ONE 2014, 9, e96086. [Google Scholar] [CrossRef]
- Ma, Y.; Ding, R.; Zhang, J.; Zhu, W. Interaction of Se and S forms in rhizospheric soil and their absorption by tobacco. Chin. J. Appl. Ecol. 2000, 11, 253–257. [Google Scholar]
- Munier-Lamy, C.; Deneux-Mustin, S.; Mustin, C.; Merlet, D.; Berthelin, J.; Leyval, C. Selenium bioavailability and uptake as affected by four different plants in a loamy clay soil with particular attention to mycorrhizae inoculated ryegrass. J. Environ. Radioact. 2007, 97, 148–158. [Google Scholar] [CrossRef]
- Li, H.F.; McGrath, S.P.; Zhao, F.J. Selenium uptake, translocation and speciation in wheat supplied with selenate or selenite. N. Phytol. 2008, 178, 92–102. [Google Scholar] [CrossRef] [PubMed]
- Yi, Q.; Sun, X.; Tang, S.H.; Xu, P.Z.; Pang, Y.W.; Huang, X.; Huang, Q.Y.; Huang, J.F.; Zhang, M. Comparation of Se accumulation and distribution of two rice (Oryza sativa L.) cultivars with high- and low- Se efficiency as affected by exogenous application of selenite. J. Cereal Sci. 2022, 105, 103475. [Google Scholar] [CrossRef]
- Longchamp, M.; Castrec-Rouelle, M.; Biron, P.; Bariac, T. Variations in the accumulation, localization and rate of metabolization of selenium in mature Zea mays plants supplied with selenite or selenate. Food Chem. 2015, 182, 128–135. [Google Scholar] [CrossRef] [PubMed]
- Hao, Z.; Zhang, C.C.; Lin, B.; Chen, Z.; Li, Y.H.; Zou, X.Q.; Li, H.R.; Zheng, F.Q.; Cao, J. Environmental effects on trace elements in the fingernails of centenarians and their offspring. Sci. Total Environ. 2022, 842, 156786. [Google Scholar] [CrossRef]
- Zhu, L.; Wang, P.; Zhang, W.; Hui, F.; Chen, X. Effects of selenium application on nutrient uptake and nutritional quality of Codonopsis lanceolata. Sci. Hortic. 2017, 225, 574–580. [Google Scholar] [CrossRef]
- Quinn, C.F.; Prins, C.N.; Freeman, J.L.; Gross, A.M.; Hantzis, L.J.; Reynolds, R.J.; Yang, S.; Covey, P.A.; Banuelos, G.S.; Pickering, I.J.; et al. Selenium accumulation in flowers and its effects on pollination. N. Phytol. 2011, 192, 727–737. [Google Scholar] [CrossRef]
- Chilimba, A.D.; Young, S.D.; Black, C.R.; Rogerson, K.B.; Ander, E.L.; Watts, M.J.; Lammel, J.; Broadley, M.R. Maize grain and soil surveys reveal suboptimal dietary selenium intake is widespread in Malawi. Sci. Rep. 2011, 1, 72. [Google Scholar] [CrossRef]
- Schiavon, M.; Pilon-Smits, E.A. Selenium biofortification and phytoremediation phytotechnologies: A review. J. Environ. Qual. 2017, 46, 10–19. [Google Scholar] [CrossRef]
- Feng, R.; Wei, C.; Tu, S. The roles of selenium in protecting plants against abiotic stresses. Environ. Exp. Bot. 2013, 87, 58–68. [Google Scholar] [CrossRef]
- Zhou, W.X.; Duan, Y.Y.; Zhang, Y.J.; Wang, H.; Huang, D.H.; Zhang, M.D. Effects of foliar selenium application on growth and rhizospheric soil micro-ecological environment of Atractylodes macrocephala Koidz. S. Afr. J. Bot. 2021, 137, 98–109. [Google Scholar] [CrossRef]
- Liu, Q.; Wang, D.J.; Jiang, X.J.; Cao, Z.H. Effects of the interactions between selenium and phosphorus on the growth and selenium accumulation in rice (Oryza sativa). Environ. Geochem. Health 2004, 26, 325–330. [Google Scholar] [CrossRef] [PubMed]
- Fu, D.D.; Duan, M.L.; Liang, D.L.; Wang, S.S.; Wu, X.P. Effects of selenite and selenate on growth and nutrient absorption of pakchoi. Plant Nutr. Fertiliz. Sci. 2011, 17, 358–365. [Google Scholar]
- Liu, X.W.; Wang, Q.L.; Duan, B.H.; Liu, Y.M.; Zhao, X.H.; Hu, C.X.; Zhao, Z.Q. Effects of selenite addition on selenium absorption, root morphology and physiological characteristics of rape seedlings. Plant Nutr. Fertiliz. Sci. 2015, 26, 2050–2056. [Google Scholar]
- Ulhassan, Z.; Gill, R.A.; Ali, S.; Mwamba, T.M.; Ali, B.; Wang, J.; Huang, Q.; Aziz, R.; Zhou, W. Dual behavior of selenium: Insights into physio-biochemical, anatomical and molecular analyses of four Brassica napus cultivars. Chemosphere 2019, 225, 329–341. [Google Scholar] [CrossRef]
- Cartes, P.; Jara, A.A.; Pinilla, L.; Rosas, A.; Mora, M.L. Selenium improves the antioxidant ability against aluminium-induced oxidative stress in ryegrass roots. Ann. Appl. Biol. 2010, 156, 297–307. [Google Scholar] [CrossRef]
- Hasanuzzaman, M.; Fujita, M. Selenium pretreatment upregulates the antioxidant defense and methylglyoxal detoxification system and confers enhanced tolerance to drought stress in rapeseed seedlings. Biol. Trace Elem. Res. 2011, 143, 1758–1776. [Google Scholar] [CrossRef]
- Kumar, M.; Bijo, A.J.; Baghel, R.S.; Reddy, C.R.; Jha, B. Selenium and spermine alleviate cadmium induced toxicity in the red seaweed Gracilaria dura by regulating antioxidants and DNA methylation. Plant Physiol. Biochem. 2012, 51, 129–138. [Google Scholar] [CrossRef]
- El-Badri, A.M.; Batool, M.; Mohamed, I.A.A.; Wang, Z.; Wang, C.; Tabl, K.M.; Khatab, A.; Kuai, J.; Wang, J.; Wang, B.; et al. Mitigation of the salinity stress in rapeseed (Brassica napus L.) productivity by exogenous applications of bio-selenium nanoparticles during the early seedling stage. Environ. Pollut. 2022, 310, 119815. [Google Scholar] [CrossRef]
- Djanaguiraman, M.; Prasad, P.V.; Seppanen, M. Selenium protects sorghum leaves from oxidative damage under high temperature stress by enhancing antioxidant defense system. Plant Physiol. Biochem. 2010, 48, 999–1007. [Google Scholar] [CrossRef]
- Gupta, M.; Gupta, S. An overview of selenium uptake, metabolism, and toxicity in plants. Front. Plant Sci. 2016, 7, 2074. [Google Scholar] [CrossRef]
- Hugouvieux, V.; Dutilleul, C.; Jourdain, A.; Reynaud, F.; Lopez, V.; Bourguignon, J. Arabidopsis putative selenium-binding protein1 expression is tightly linked to cellular sulfur demand and can reduce sensitivity to stresses requiring glutathione for tolerance. Plant Physiol. 2009, 151, 768–781. [Google Scholar] [CrossRef] [PubMed]





| Clay (%) | Silt (%) | Sand (%) | pH | Electrical Conductivity (μS cm−1) | Organic Carbon (g kg−1) | Organic Nitrogen (g kg−1) | Available Se (mg kg−1) |
|---|---|---|---|---|---|---|---|
| 10 | 45 | 45 | 4.95 | 83.0 | 13.63 | 1.48 | 0.02 |
| Se Applied | 6 Weeks | 8 Weeks | ||
|---|---|---|---|---|
| (mg kg−1) | Rhizosphere Soil | Non-Rhizosphere Soil | Rhizosphere Soil | Non-Rhizosphere Soil |
| 0 | 0.21 ± 0.01 e | 0.23 ± 0.01 e | 0.21 ± 0.01 e | 0.22 ± 0.01 e |
| 1 | 1.07 ± 0.03 d | 1.11 ± 0.03 d | 1.03 ± 0.01 d | 1.04 ± 0.02 d |
| 2.5 | 2.09 ± 0.01 c | 2.15 ± 0.03 c | 2.01 ± 0.05 c | 2.12 ± 0.02 c |
| 5 | 4.19 ± 0.01 b | 4.32 ± 0.05 b | 4.13 ± 0.03 b | 4.31 ± 0.03 b |
| 10 | 8.71 ± 0.01 a | 8.79 ± 0.04 a | 8.69 ± 0.05 a | 8.78 ± 0.03 a |
| Sampling Time | Se Applied | Water-Soluble Se | Exchangeable Se | Organic Matter-Bound Se | |||
|---|---|---|---|---|---|---|---|
| (mg kg−1) | Content (µg kg−1) | Ratio (%) | Content (mg kg−1) | Ratio (%) | Content (mg kg−1) | Ratio (%) | |
| 6 weeks | 0 | 1.65 ± 0.16 e | 0.81 | 0.02 ± 0.00 e | 8.09 | 0.03 ± 0.00 e | 15.48 |
| 1 | 10.65 ± 0.41 d | 1.00 | 0.10 ± 0.01 d | 9.50 | 0.17 ± 0.01 d | 16.12 | |
| 2.5 | 22.73 ± 3.78 c | 1.09 | 0.25 ± 0.01 c | 11.92 | 0.75 ± 0.01 c | 35.67 | |
| 5 | 47.37 ± 2.69 b | 1.13 | 0.52 ± 0.01 b | 12.33 | 1.59 ± 0.06 b | 37.90 | |
| 10 | 103.57 ± 4.19 a | 1.19 | 1.15 ± 0.03 a | 13.24 | 3.51 ± 0.12 a | 40.29 | |
| 8 weeks | 0 | 1.99 ± 0.08 e | 0.93 | 0.01 ± 0.00 e | 6.76 | 0.03 ± 0.00 e | 13.15 |
| 1 | 9.65 ± 0.45 d | 0.94 | 0.10 ± 0.00 d | 9.43 | 0.16 ± 0.00 d | 15.80 | |
| 2.5 | 20.16 ± 0.89 c | 1.00 | 0.24 ± 0.01 c | 11.74 | 0.71 ± 0.03 c | 35.31 | |
| 5 | 45.27 ± 4.67 b | 1.10 | 0.49 ± 0.03 b | 11.99 | 1.54 ± 0.05 b | 37.34 | |
| 10 | 99.62 ± 3.66 a | 1.15 | 1.11 ± 0.04 a | 12.76 | 3.41 ± 0.04 a | 39.20 | |
| Sampling Time | Se Applied | Water-Soluble Se | Exchangeable Se | Organic Matter-Bound Se | |||
|---|---|---|---|---|---|---|---|
| (mg kg−1) | Content (µg kg−1) | Ratio (%) | Content (mg kg−1) | Ratio (%) | Content (mg kg−1) | Ratio (%) | |
| 6 weeks | 0 | 1.63 ± 0.05 e | 0.70 | 0.02 ± 0.00 e | 6.73 | 0.03 ± 0.00 e | 14.06 |
| 1 | 9.42 ± 0.41 d | 0.85 | 0.11 ± 0.00 d | 9.85 | 0.18 ± 0.01 d | 15.88 | |
| 2.5 | 23.23 ± 0.45 c | 1.08 | 0.26 ± 0.02 c | 12.06 | 0.78 ± 0.00 c | 36.08 | |
| 5 | 51.37 ± 3.43 b | 1.19 | 0.54 ± 0.04 b | 12.58 | 1.60 ± 0.04 b | 37.05 | |
| 10 | 112.67 ± 5.23 a | 1.28 | 1.16 ± 0.01 a | 13.24 | 3.62 ± 0.03 a | 41.11 | |
| 8 weeks | 0 | 1.48 ± 0.25 e | 0.68 | 0.01 ± 0.00 e | 6.39 | 0.03 ± 0.00 e | 13.12 |
| 1 | 8.63 ± 0.27 d | 0.83 | 0.10 ± 0.02 d | 9.36 | 0.16 ± 0.01 d | 15.65 | |
| 2.5 | 21.36 ± 0.38 c | 1.01 | 0.25 ± 0.02 c | 11.90 | 0.76 ± 0.04 c | 36.07 | |
| 5 | 48.54 ± 1.86 b | 1.13 | 0.54 ± 0.04 b | 12.45 | 1.58 ± 0.06 b | 36.77 | |
| 10 | 107.89 ± 2.85 a | 1.23 | 1.14 ± 0.01 a | 12.94 | 3.61 ± 0.04 a | 41.10 | |
| Se Applied | 6 Weeks | 8 Weeks | ||
|---|---|---|---|---|
| (mg kg−1) | Root Dry Weight | Leaf Dry Weight | Root Dry Weight | Leaf Dry Weight |
| 0 | 0.06 ± 0.01 b | 0.24 ± 0.04 c | 0.09 ± 0.03 b | 0.31 ± 0.04 b |
| 1 | 0.09 ± 0.02 a | 0.34 ± 0.02 a b | 0.11 ± 0.01 a b | 0.36 ± 0.04 b |
| 2.5 | 0.11 ± 0.01 a | 0.38 ± 0.05 a | 0.13 ± 0.02 a | 0.41 ± 0.02 a |
| 5 | 0.10 ± 0.02 a | 0.32 ± 0.05 b | 0.05 ± 0.02 c | 0.21 ± 0.03 c |
| 10 | 0.05 ± 0.01 b | 0.21 ± 0.01 c | 0.03 ± 0.01 c | 0.12 ± 0.03 d |
| Parameters in Rhizosphere Soil | Non-Standardized Coefficient | Standardized Coefficient | t | p | R2 | Adjustment of R2 | F | |
|---|---|---|---|---|---|---|---|---|
| B | Standard Error | Beta | ||||||
| constant | 3.347 | 3.540 | - | 0.945 | 0.351 | 0.988 | 0.986 | F = 570.495 p = 0.000 |
| Soil solution pH | −0.879 | 0.856 | −0.020 | −1.027 | 0.312 | |||
| Soil solution DOC | 0.078 | 0.054 | 0.028 | 1.453 | 0.155 | |||
| Soil water-soluble Se | 0.032 | 0.001 | 0.307 | 35.758 | 0.000 *** | |||
| Soil exchangeable Se | 2.939 | 0.073 | 0.319 | 40.449 | 0.000 *** | |||
| Soil organic matter-bound Se | 0.964 | 0.026 | 0.327 | 37.602 | 0.000 *** | |||
Disclaimer/Publisher’s Note: The statements, opinions and data contained in all publications are solely those of the individual author(s) and contributor(s) and not of MDPI and/or the editor(s). MDPI and/or the editor(s) disclaim responsibility for any injury to people or property resulting from any ideas, methods, instructions or products referred to in the content. |
© 2023 by the authors. Licensee MDPI, Basel, Switzerland. This article is an open access article distributed under the terms and conditions of the Creative Commons Attribution (CC BY) license (https://creativecommons.org/licenses/by/4.0/).
Share and Cite
Xu, Y.; Li, Y. Effects of Sodium Selenite on the Rhizosphere Environment, Growth, and Physiological Traits of Oilseed Rape (Brassica napus L.). Agronomy 2023, 13, 2508. https://doi.org/10.3390/agronomy13102508
Xu Y, Li Y. Effects of Sodium Selenite on the Rhizosphere Environment, Growth, and Physiological Traits of Oilseed Rape (Brassica napus L.). Agronomy. 2023; 13(10):2508. https://doi.org/10.3390/agronomy13102508
Chicago/Turabian StyleXu, Yuefeng, and Yonghua Li. 2023. "Effects of Sodium Selenite on the Rhizosphere Environment, Growth, and Physiological Traits of Oilseed Rape (Brassica napus L.)" Agronomy 13, no. 10: 2508. https://doi.org/10.3390/agronomy13102508
APA StyleXu, Y., & Li, Y. (2023). Effects of Sodium Selenite on the Rhizosphere Environment, Growth, and Physiological Traits of Oilseed Rape (Brassica napus L.). Agronomy, 13(10), 2508. https://doi.org/10.3390/agronomy13102508

