Next Article in Journal
Analysis of the Spatial Correlation Network Structure of Agricultural Water Use Efficiency in Northwest China
Next Article in Special Issue
Effect of Cultivar on Faba Bean–Wheat Intercrop Productivity under a Mediterranean Environment
Previous Article in Journal
Effects of Sodium Selenite on the Rhizosphere Environment, Growth, and Physiological Traits of Oilseed Rape (Brassica napus L.)
Previous Article in Special Issue
Intercropping of Echinochloa frumentacea with Leguminous Forages Improves Hay Yields, Arbuscular Mycorrhizal Fungi Diversity, and Soil Enzyme Activities in Saline–Alkali Soil
 
 
Font Type:
Arial Georgia Verdana
Font Size:
Aa Aa Aa
Line Spacing:
Column Width:
Background:
Article

Intercropping—Towards an Understanding of the Productivity and Profitability of Dryland Crop Mixtures in Southern Australia

1
Agriculture Victoria, Centre for AgriBioscience, Bundoora, VIC 3083, Australia
2
Agriculture Victoria, 110 Natimuk Road, Horsham, VIC 3400, Australia
3
Agriculture Victoria, 124 Chiltern Valley Road, Rutherglen, VIC 3685, Australia
4
Agriculture Victoria, 915 Mt Napier Road, Hamilton, VIC 3300, Australia
5
Centre for Agricultural Innovation, The University of Melbourne, Parkville, VIC 3010, Australia
*
Author to whom correspondence should be addressed.
Current address: Australian Government Productivity Commission, 697 Collins Street, Docklands, VIC 3008, Australia.
Agronomy 2023, 13(10), 2510; https://doi.org/10.3390/agronomy13102510
Submission received: 7 September 2023 / Revised: 26 September 2023 / Accepted: 26 September 2023 / Published: 28 September 2023
(This article belongs to the Special Issue Promoting Intercropping Systems in Sustainable Agriculture)

Abstract

:
Intercropping using mixtures of dryland crop species for grain or seed production was investigated in southern Australia across a range of rainfall zones over three years. The objective was to understand the productivity and profitability of intercropping in extensive, high-input grain cropping systems. Previous research has shown large productivity benefits of mixtures; however, few farmers practice intercropping in Australia, and an analysis of profitability is needed to support future potential adoption. Experimental results showed strong mixture responses (in terms of yield, value and land equivalence), but not all were profitable compared to an equivalent share of monoculture crops (as measured by gross margins). The most promising mixtures were those containing high-value crops (canola) and legumes (field pea or faba bean) at the wetter sites where the additional gross margin over equivalent monoculture crops ranged from $12/ha to $576/ha. Mixtures containing highly competitive crops (wheat or barley) were generally unprofitable. Mixtures involving cereals were doubly disadvantaged by the aggressiveness of these lower-value crops in the mixtures we examined and the high grain separation costs post-harvest. Cost reduction in mixture systems involving high-value crops that are synergistic (grain legumes) should provide enduring opportunities for intercropping in southern Australia.

1. Introduction

Growing different crop species or varieties in mixtures and various combinations over space (mixtures) or time (relay cropping), generally referred to as intercropping, has been shown to offer a myriad of productivity benefits to the farm business. These are postulated to include enhancing nutrient, radiation and water use efficiencies that increase crop yields and profits within the growing season [1,2,3,4,5,6]. Other within-season benefits include reductions in pest and disease infestation (and hence chemical usage) [7,8], improved quality (hence grain price for human consumption or nutritional value of stock-feed) [9], and increased nutrient availability in-season and as carryover (e.g., nitrogen fixed by legumes included in the mix) [10,11]. In the long-term, there are the expected environmental benefits from building and turnover of soil organic matter [12] and general social benefits [7]. In the longer term, there is also the potential for reduced season-to-season yield variability, as one crop component may persist better under adverse weather conditions, though this benefit has been noted with reference to small landholders in developing countries [13].
Potential constraints to intercropping include increased system complexity and logistical challenges such as sowing, weed control, harvesting, and post-harvest grain separation [14,15,16], all of which increase costs. These constraints have the potential to resolve over time due to the uptake of advances like precision agriculture, modification of farm machinery to suit intercropping, robotics, and herbicide-tolerant crops. Some of these practical considerations are avoided if the intercrop is grown for forage rather than grain.
This paper has a strong focus on the economic and productivity benefits of intercropping. This focus is because intercropping systems have not been widely adopted by growers within modern, mechanised grain cropping systems that rely on high inputs in countries such as Australia [17], yet relative economic advantage is known to be a key predictor of how growers respond to a new practice or technology [18].
We hypothesised that there are annual crop mixtures that growers can experimentally test and profit from in the short term. Consequently, the objectives of this paper were to (1) report on yield data from replicated field trials conducted in the medium and high rainfall cropping regions of southern Australia and (2) use these data in suitable evaluation metrics to identify these mixtures and provide guidance to what intercropping systems need further research and validation by farmers.
Assessing the physical intercropping response and the relative economic advantage of intercropping is more complex than assessing that of monocultures, as comparisons are not directly observable and require some indirect algebraic metrics. Several mixture metrics are available, the Land Equivalent Ratio (LER) being the most used [19]. Other metrics that we were specifically interested in were the aggressivity index (AI) [20], the yield ratio (YR), the value ratio (VR) and the net gross margin (NetGM) [21]. The underlying basis is always a comparison of the outputs of the intercrop relative to the monocultures of the constituent crops.
A comprehensive series of winter cropping field experiments were undertaken across three years of wet and dry seasons and three representative rainfall zones of Victoria in southern Australia to quantify the relative yield responses of intercrops compared to monocultures of the constituent crops. Dryland farming in southern Australia is characterised by winter rainfall without irrigation that restricts a mixture of species to those adapted to cool winters where phenological development is generally synchronised. Crops of interest included cereal, legume and oilseed species with compatible herbicide regimes and sowing and harvest dates. Previously, very large apparent in-season yield gains have been reported, particularly with legume and oilseed mixtures in southern Australia [22,23,24]. With cereals dominating cropping in the region (wheat alone occupies over 50% of total cropland), the research represents increased complexity without intensification and increased legume and oilseed frequency in rotations.
Our research focused on the productivity and profitability benefits of intercropping under dryland cropping systems in southern Australia in the year of production. It was not possible to test all the possible system options. Production risk, as measured by long-run yield variance [25], was not considered. Also, the yield benefit of break crops like canola to subsequent cereal crops and other rotational benefits (any surplus N carryover from legumes) were not factored into the analysis. Societal benefits such as climate regulation (carbon sequestration) and increased biodiversity (crop richness, habitat for above and below-ground microorganisms) were not considered in this study.

2. Materials and Methods

2.1. Metrics of Intercropping Productivity and Profitability

We tested the likely extent of intercropping benefits by advancing the LER analysis through AI, YR, and VR to NetGM (Table 1).
The LER is commonly cited in the literature and was included for consistency with previously published work. The LER is a relative measure of the yields for the mixtures compared to those of the sole crops. It describes the additional land needed to grow the same quantity of both crops if they were grown as monocultures rather than as intercrops. Implicitly, it assumes a 50:50 mix ratio. When LER < 1, the intercropping system has a disadvantage in land use compared to the monocultures; when the LER > 1, there is a land-use advantage in intercropping. For example, an LER of 1.15 requires 15% more hectares when grown as monocultures to produce the equivalent yield as the mixture.
While the LER is a simple metric to calculate and interpret, it has limitations that the AI, YR, VR and NetGM overcome. This is because, unlike the LER, the other four metrics consider absolute yields and the proportion of each crop in the mix.
The Aggressivity Index (AI) is a measure of how much relative yield increase in crop 1 is greater than crop 2 in a mixture adjusted for enterprise mix ratio. It is a variation of the LER that highlights which crop is dominating the intercropping response and is useful for investigators interested in the yield of a particular crop in the mixture or wanting to understand the reason for any intercropping response (competition and/or facilitation [26].
For large-scale, commercialised agriculture, the YR, VR and NetGM are particularly important metrics that account for total yield. Additionally, the VR and NetGM consider relative crop prices, and the NetGM considers the change in variable costs for growing an intercrop compared to an equivalent mix of monocultures. The latter is the most comprehensive measure of the change in economic efficiency. When NetGM < 0, the intercropping system has a profit disadvantage compared to the monocultures. In contrast, when NetGM > 0, intercropping has a profit advantage.

2.2. Field Experiments

Monoculture and intercrop yields were obtained from replicated field experiments established in 2019 at three core sites (Hamilton, Horsham, and Rutherglen), where mostly the same treatments were applied. These core sites reflect the medium (400 to 500 mm annual rainfall) and high (600 to 1000 mm annual rainfall) rainfall zones of southern Australia. In 2020 and 2021, nearby sites were established, providing three full winter cropping seasons. In 2020 and 2021, we also established a smaller set of replicated experiments at satellite sites at Netherby, Curyo, Streatham, Wallup, Watchupga, Willaura, Inverleigh, Burramine, Dookie and Caniambo aimed to widen the mixture choices of interest to local farmers. These satellite sites represented a wider set of rainfall environments extending well into the low rainfall zone (300 to 400 mm annual rainfall). Figure 1 shows the location of all the experimental sites with details in Table A1.
Five crop species, wheat, barley, canola, faba bean, field pea and lentil, were sown both as a monoculture (100%) and in a mixture with another crop at the core sites with other mixtures of local interest.
Crop combinations at the core sites included:
  • Barley (cv. Spartacus CL) + Canola (cv. Hyola 580 CT)
  • Faba bean (cv. PBA Bendoc) + Canola (cv. Hyola 580 CT)
  • Field pea (cv. BPA Butler) + Canola (cv. Hyola 580 CT)
  • Faba bean + Wheat (cv. Sheriff CL) in the high rainfall zone only
  • Lentil (cv. Hallmark XT) + Wheat (cv. Sheriff CL) in the medium rainfall zone only.
Combinations at the satellite sites included:
  • Barley (cv. Spartacus CL) + Canola (cv. Hyola 580 CT)
  • Faba bean (cv. PBA Bendoc) + Canola (cv. Hyola 580 CT)
  • Field pea (cv. PBA Butler) + Canola (cv. Hyola 580 CT)
  • Faba bean + Wheat (cv. Sheriff CL) in the HRZ only
  • Lentil (cv. Hallmark XT) + Wheat (cv. Sheriff CL) in the MRZ only.
Cultivars were obtained from commercial sources, and the seeds were treated to protect them from pests and disease. Commercial peat inoculant Group F, strain WSM 1455 (Rhizobium leguminosarum bv. Viciae) was applied to faba bean, field pea, and lentil seed as a slurry (peat water mix) at double the commercial rates: 5 g/kg peat inoculant for faba bean and field pea and 10 g/kg seed for lentils.
Barley, faba bean, canola lentil and wheat varieties grown were tolerant of the broadleaf weed herbicide imidazolinone, while the canola variety chosen was also tolerant to the triazine group of herbicides, and the field pea variety chosen was tolerant of the broadleaf weed herbicide; imazamox. Each treatment received herbicide combinations appropriate for the crop species (turbuthylazine, carfentrazone, imazamox, imazapyr, trifluralin, glyphosate, clethodim and haloxyfop). Fungicides applied during the growing season were tebuconazole, azoxystrobin, bixafen and prothiocorazole. Starting fertiliser (100 kg/ha monoammonium phosphate) was applied across all treatments with no additional in-crop fertilisation.
The field plot layout at each site was a completely randomised block design with monoculture and mixtures as main plots (range 10–20 (length) × 4–6 (width) m) comprising four replications with monoculture target densities listed in Table 2. The mixtures studied were full-season (synchronised) intercropping, where the two crop components were planted together as a mix and harvested at the same time. Planting density was based on a ‘proportional’ design to achieve 100% absolute monoculture density for each mixture in the proportions 25:75, 50:50 and 75:25 so that the relative density of each component was the same as when grown in a pure stand. Crops were sown as a ‘mixed stand’ for all mixture proportions, where seeds of both species were planted in the same drill row that were fed from separate seed boxes into each drill row with row spacings ranging from 0.15 to 0.3 m (Table A1) in the nominated proportions across sites. For the 50:50 mixture proportion, an additional ‘skip-row’ treatment was included, where individual species were assigned to their own drill row. In this case, paired rows of each species were established across the width of the plot without changing the row spacing or overall target plant density.

2.3. Data

When applying the intercropping metrics to establish advantages or disadvantages, it is implicit that the monoculture yields are representative of the surrounding area. In small plot experiments, artefacts can affect monoculture yields disproportionately to those crops in the mixture (e.g., mis-sown seed, site variability). An unusually low monoculture yield would produce an unusually high intercropping metric. To reduce the risk of lower monoculture yields, we used the site mean yield of all monocultures. Yields used for the intercrops were averages of four replicates.
Representative crop prices and base guides for variable input costs (fertilisers, herbicides, pesticides, seed and farm operations) were obtained from an authoritative farm gross margin guide for cropping systems in the southern cropping regions of Australia [27]. Post-harvest cleaning costs were obtained from seed suppliers in northern Victoria [28].
Grain prices vary over time and can be volatile from year to year, so grain prices were averages for the ten years to February 2022. Nominal crop prices were adjusted to 2022 equivalent dollars using ABARES’ producer price index [29] and were net of charges based on the farm-gate value of the grain (endpoint royalties, insurance, and grower research levies). Real commodity prices for the 10-year period ending 2022 are shown in Figure 2. Cereal prices (wheat and barley) are more stable and relatively low, with wheat averaging $330/t and feed barley at $278/t. Canola prices are also relatively stable but higher at $626/t. Legumes prices are the most volatile and relatively high, averaging $470/t, $535/t and $782/t for faba bean, field pea and lentil, respectively. The greatest differences between the prices of crop components were for lentil-wheat ($452/t) and barley-canola mixtures ($348/t). The dominance of the higher-value crop in a mixture could enhance the profitability of the whole mixture compared to single stands of the monocultures.
Over the three experimental years, we adapted the base-line grower variable costs with input from local farm management consultants and farmers. It should be noted that in constructing these gross margins, fixed (overhead) costs were ignored, as it is considered that they will be incurred regardless of the level of the enterprise undertaken. It is acknowledged that the gross margins applied in this analysis are indicative only, as there is considerable heterogeneity between different farm businesses in capital resources already on the property and inputs used. Costs were reported in either $/ha or $/t; those denominated on a weight basis were converted to $/ha using the relevant experimental yield. Variable costs for the monocrops are shown in Table 3, Table 4 and Table 5.
Changes in the variable costs for the mixtures compared to the monocultures and the rationale for the changes were as follows:
  • Seed costs were the average of the monocultures weighted by the proportion of each crop in the mixture.
  • Additional urea was not used in the field experiments or included in the costs. The cost for other fertilisers (monoammonium phosphate and sulfate of ammonia) is the average of fertiliser costs for the monocultures (including delivery and spreading) weighted by the proportion of each crop in the mixture.
  • Imidazolinone herbicides were used exclusively on intercrops, but costs were assumed to be similar to those for monocultures.
  • Fungicides were the maximum rate for the crop components in the mixture. However, one fewer spray application was assumed for the legume mixtures due to lower disease incidence.
  • Insecticides were the maximum rate for the crop components in the mixture.
  • Crop components were harvested together without any assumed logistic difficulty. However, contract harvest rates were higher for intercrops, reflecting slower work rates to avoid (for example) shattering of field peas.
  • Sorting for intercrops ranges from easy and thus inexpensive to extremely difficult and thus prohibitively expensive. For example, field pea and canola are easily separated based on size using a set of screens; at the other extreme, lentil and wheat have the same bulk density and size and require colour sorting. Sorting costs for field pea or faba bean + canola was set at $85/t; faba bean + wheat: $120/t; barley + canola: $200/t; and lentil + wheat: $250/t.
For mixtures marketed for human consumption, post-harvest seed separation costs are potentially a major additional cost impost compared to monocultures. These costs are imposed on a $/t basis, so the more the intercrop out-performs compared to the monocultures of the component crops, the greater the additional cost penalty.

3. Results

3.1. Monoculture Yields and Gross Margins

The grain yield of monoculture plots varied significantly across both season and environment. The yield of cereal crops (wheat and barley) ranged from 2.1 to 8.7 t/ha (Figure 3a) and was positively correlated with annual rainfall. However, this relationship was not entirely consistent (R2 0.35–0.42), suggesting inefficiency of resource conversion driven by alternative limiting factors (examples include low wheat yield despite high rainfall at Inverleigh in 2020 and Dookie in 2021; Appendix B, Appendix C, Appendix D, Appendix E and Appendix F).
The relationship between annual rainfall and grain yield was stronger for broadleaf crops. Across all sites, canola yield ranged from 0.8 to 4.6 t/ha, while lentil yield (grown exclusively in low/medium rainfall environments) ranged from 1.1 to 4.8 t/ha (Figure 3b). Faba bean and field pea were the highest-yielding broadleaf crops, ranging from 1.0 to 7.6 t/ha (Figure 3c). The weak relationship between grain yield and annual rainfall indicates inefficiencies within the cropping system that could be addressed by planting multiple compatible crops to better capture and utilise available resources. Based on the range of grain yields measured, this study provides a comprehensive dataset testing the potential benefits of intercropping under a range of productivity scenarios and seasons.
Indicative gross margins at the core sites for each monoculture, together with crop yields and activity variable costs used in the calculation, are shown in Table 6. Averages over the three years are shown for simplicity. Standard errors for yields and all the intercropping metrics for each year and all sites and treatments (including the monocultures) are shown in Appendix B, Appendix C, Appendix D, Appendix E and Appendix F.
Reflecting long-term average price levels, gross margins for the monocultures were generally lower for cereals (barley and wheat) compared to crops with higher (canola) and more volatile (legumes) average returns over the three years (2019 to 2021) of the experiment (Table 6). Barley, for example, had gross margin returns of $1355/ha, $637/ha, and $1220/ha at Hamilton, Horsham, and Rutherglen, respectively. By contrast, faba bean had gross margin returns of $2535/ha, $2143/ha, and $1755/ha at Hamilton, Horsham, and Rutherglen, respectively.
There were also substantial differences across the core sites in the gross margins due to differences in rainfall and inherent crop productivity. For example, canola performed relatively poorly at Rutherglen, where a 2.3 t/ha 3-year average yield translated to lower gross income of $1466/ha and a gross margin return of $882/ha. By contrast, the gross margin for the average 3.8 t/ha canola monoculture at Hamilton was $1813/ha.

3.2. Benefits of Intercropping from Biological and Economic Perspectives

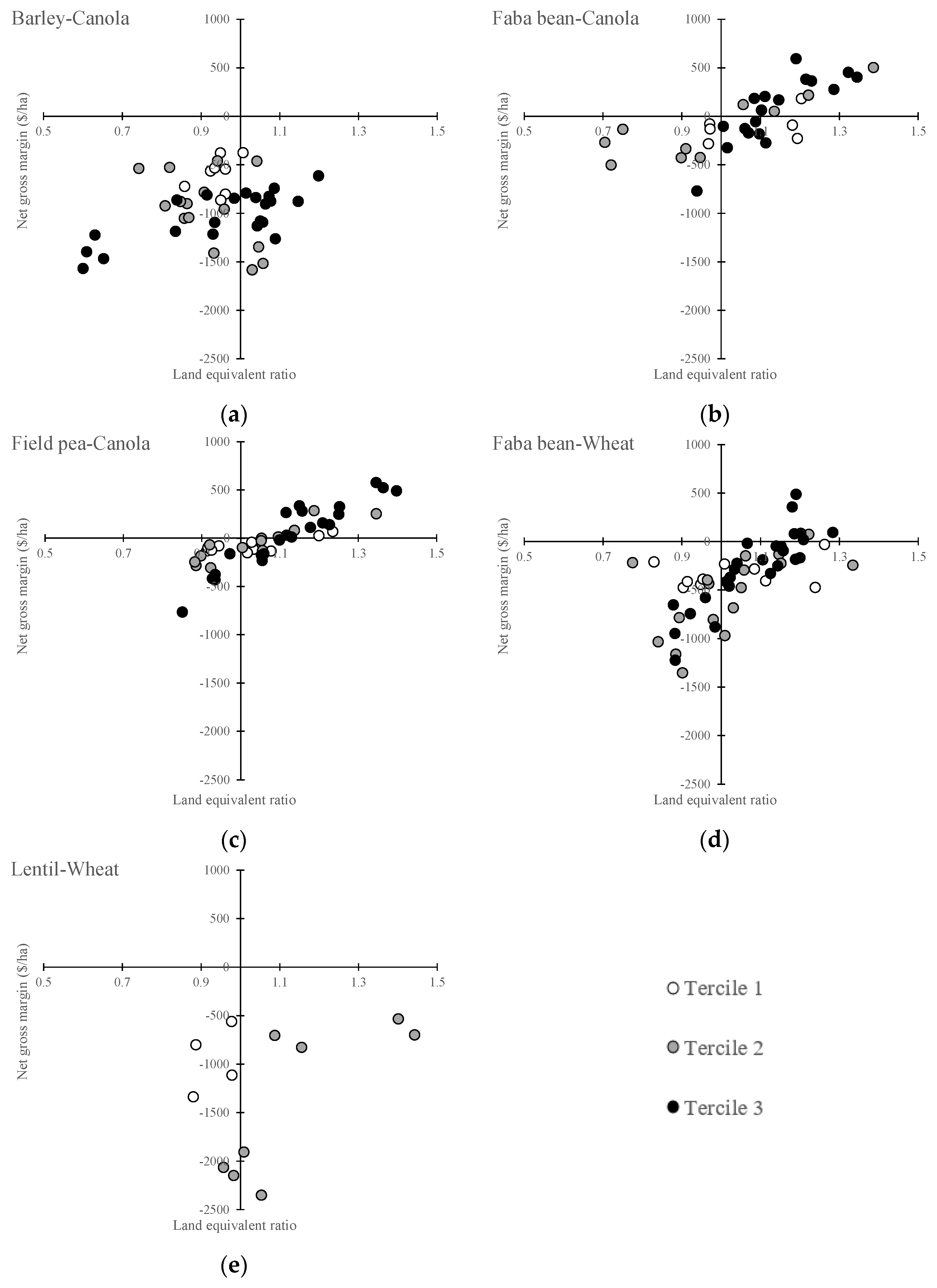
The benefits of intercropping in terms of land productivity, as measured by the LER, were highly dependent on the crops being grown together and seasonal conditions. An LER greater than 1 occurred in 71% of the observed dataset for combinations of faba bean and canola, 70% for field pea and canola, and 62% for faba bean and wheat (Figure 4). By contrast, beneficial LER values for combinations of lentil and wheat in a low/medium rainfall environment only occurred in 50% of cases, while combinations of barley and canola only resulted in LER > 1 for 38% of the time (across all environments). Nonetheless, highly negative responses to intercropping were rare, with most observations resulting in LER > 0.8, indicating limited downside production risk. Rainfall was a key determinant of the likelihood of an LER being above 1. Where rainfall was in the lowest tercile of observations, LER > 1 occurred in 39% of observations. Conversely, LER > 1 occurred in 50% and 75% of observations at sites where rainfall was in the middle and upper seasonal rainfall terciles.
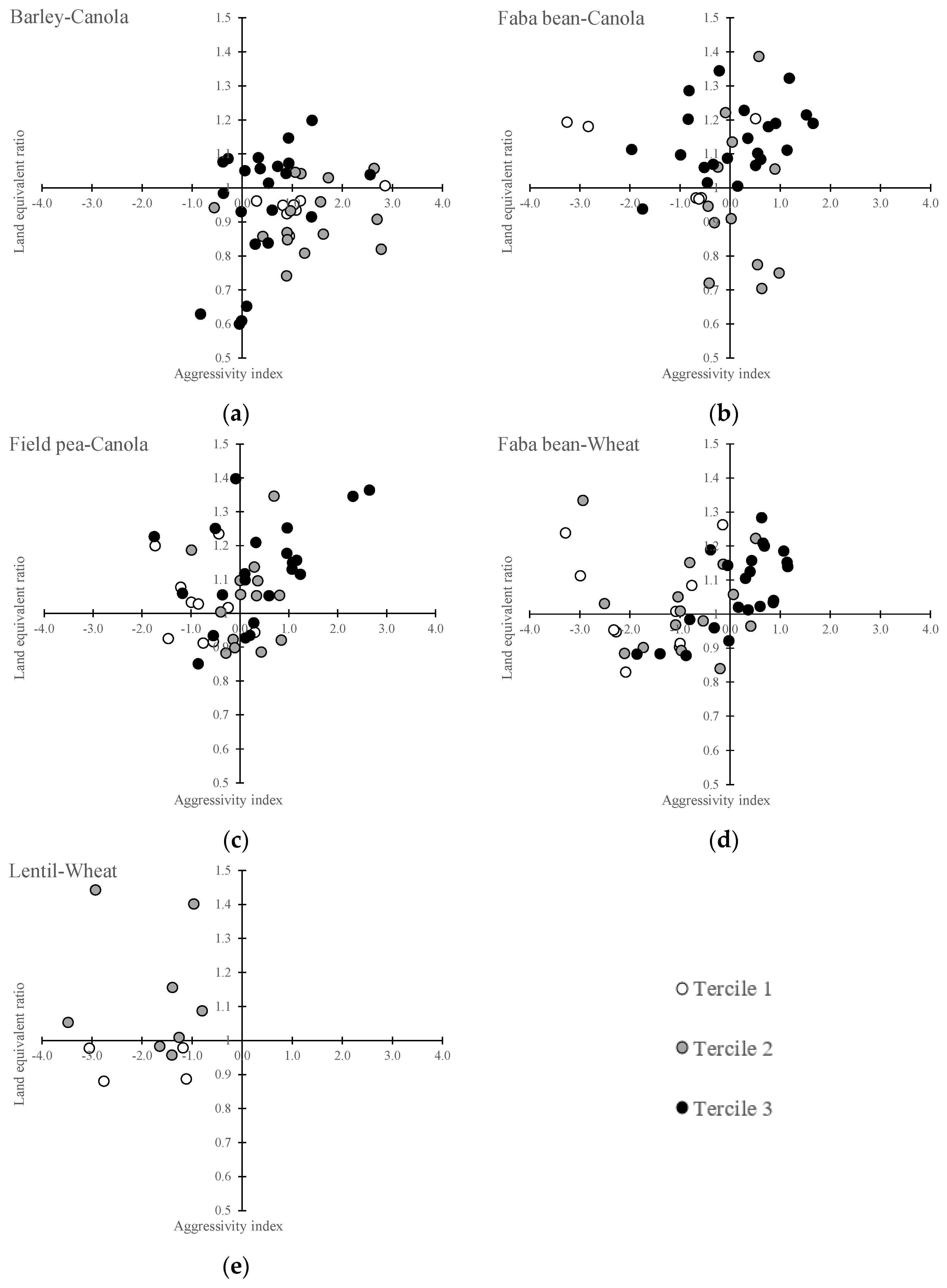
Assessment of mixture aggressiveness (AI) indicated that combinations of broadleaf crops were more likely to result in complementary responses between the two crops (defined here as AI values between −1 and 1) (Figure 4). For combinations of faba bean and canola, complimentary responses occurred in 78% of cases, while for combinations of field pea and canola, this occurred in 74% of cases. Conversely, these values were 64, 62 and 17% for combinations of barley and canola, faba bean and wheat, and lentil and wheat, respectively. Where broadleaf crops were grown in combination with cereals, the lower-value cereal crop tended to be more aggressive.
A linear relationship is not expected because the AI effectively decouples the LER into its components (Figure 4). Except for the legume-oilseed mixtures, the LER was also poorly associated with the NetGM (Figure 5), as highlighted by the coefficient of determination (Table 7). Absolute changes in yield (as measured by the YR) and absolute changes in gross value (as measured by the VR) were progressively better predictors of changes in profitability (as measured by the NetGM) than the LER (Table 7). This was particularly the case for the barley-canola and lentil-wheat mixtures in part due to the relative value of the more aggressive crop component accentuated by the very high post-harvest grain separation costs.
  • The number of barley-canola treatments exceeding the YR threshold was 32, but the number exceeding the VR threshold fell to 18, reflecting the price penalty for the more aggressive barley (at $278/t) compared to canola (at $348/t).
  • The number of wheat-lentil treatments exceeding the YR threshold was 12, but the number exceeding the VR threshold was only 3, reflecting the price penalty for the more aggressive wheat (at $330/t) compared to lentil (at $454/t).
Intercropping consistently resulted in increased variable costs that dragged down the NetGM, largely reflecting post-harvest seed separation costs (Figure 6). These costs were prohibitively high when there was cereal in the mix. Compared to variable activity costs averaged across all monocultures at the core sites, costs were, on average, 30% higher for faba bean and canola mixtures and 160% higher for lentil-wheat mixtures.
Summaries of the experimental means by site are tabulated with standard errors for all sites and mixtures in Appendix B, Appendix C, Appendix D, Appendix E and Appendix F. At Hamilton, the most profitable mixtures were field pea and canola and faba bean and canola. Profitable field pea and canola mixtures had profits ranging from $12/ha to $576/ha relative to their monocultures (Table A13). Profitable faba bean and canola mixtures had profits ranging from $85/ha to $453/ha (Table A7). At Horsham, the most profitable mixtures comprised field pea and canola. The most profitable mixtures had gross margins of $252/ha to $285/ha higher than the equivalent monocultures but required very strong relative yields and LERs exceeding 1.2 (Table A15). At Rutherglen, the intercropping response was higher in the more favourable seasons (2020 and 2021) when a majority of the 16 mixtures evaluated demonstrated LERs greater than unity. The most profitable mixtures were faba bean and canola and field pea and canola. Profitable faba bean and canola mixtures were $64/ha to $594/ha higher (Table A11), while profitable field pea and canola mixtures had profits ranging from $32/ha to $336/ha relative to their monocultures (Table A17).

4. Discussion

This extensive experimental field program assessing dryland intercropping systems has confirmed that intercropping with mixtures can be productive and profitable in southern Australia. However, this observation was inconsistent across all crop mixtures when compared with their monoculture equivalent. We have identified those mixtures that were productive and profitable. The challenge for farmers is to identify low-risk options that are potentially profitable in their locations.
We focused on metrics that compare a mixture against its component monocultures at equivalent enterprise ratios to identify suitable crop mixtures. For this reason, we recommend the YR, VR and NetGM metrics over the more commonly reported LER to test the overall productivity and economic advantage of mixtures of interest.
Absolute changes in yield, as measured by the YR, and absolute changes in gross value, as measured by the VR, were progressively better predictors of changes in profitability, as measured by the NetGM (Table 7). We included the AI to understand whether a given productivity response was driven by the domination of one species over another, as the dominance of a higher yielding and/or higher unit value crop could enhance the profitability of the whole mixture compared to a similar ratio of monocultures. As well as absolute yields and unit crop prices, the NetGM metric introduces costs that farmers need to consider, importantly, grain sorting after harvest. For mixtures marketed for human consumption, these costs are potentially a major additional factor as they are imposed on a $/t basis, so the more the intercrop out-performs compared to a similar ratio of monocultures, the greater the additional cost penalty.
Biologically successful mixtures, assessed using the LER and YR, tended to be complementary and comprised faba bean and canola, field pea and canola, and faba bean-wheat (Figure 4, Appendix B, Appendix C, Appendix D, Appendix E and Appendix F) that were sown and harvested together. Highly negative responses were rare for these mixtures, indicating limited downside production risk. The largely positive responses are attributed to better resource use in the higher rainfall locations (Figure 4). Other studies support our findings, having reported very high LER for field pea and canola mixtures in Australia [22,23,24]. Fletcher et al. [24], for example, reported that ‘peaola’ (canola-field pea intercrops) performed the best out of the three main intercrop groups compared with the single varieties in large rain-fed grain cropping systems. Based on the LER metric, 70% of canola-field pea intercrops examined in their review paper had a 50% productivity increase over the monocultures, compared to 64% of cereal-grain legume intercrops. By contrast, mixtures of cereal varieties showed no evidence of a productivity increase.
Where we observed negative mixture responses, more aggressive and lower unit value cereals (wheat and barley) outcompeted the accompanying higher unit value oilseed or legume (Figure 4). Furthermore, the mixtures with cereals (wheat or barley) were more difficult to separate, and grain cleaning, according to Grain Trade Australia standards for human consumption, was prohibitively expensive. For these reasons, our results using the VR and NetGM show that many of these mixtures were often not more valuable or profitable even in higher rainfall environments (Figure 5, Appendix B, Appendix C, Appendix D, Appendix E and Appendix F).
A poor mixture productivity and profitability was generally seen in the drier growing environments (Figure 4 and Figure 5). This will help growers in the drier regions wanting to test intercropping principles to be more cautious and focus on cost reduction and possibly longer-term considerations like building soil organic matter and more stable nutrient supplies. Our results show that if seed separation costs could be reduced, then NetGMs above zero are possible, and agronomic methods or a change in enterprise mix could be pursued to reduce such costs. An example might be to avoid seed separation costs by harvesting the mixture as a livestock feed valued for its energy and protein components for intensive animal production or grazing by animals in a mixed crop-livestock system. Grain and feed quality are important factors that some growers need to consider as part of intercropping, particularly in mixed enterprises. Typically, farmers focus on their main enterprise, such as grain or grazing. Our initial study focused on grain production to examine the major effects of mixtures because there were few examples of intercropping in the grain regions of southern Australia.
Beyond productivity and profitability, intercropping offers many other advantages over monocultures. We focused on the benefits of mixtures in the year of production. We also avoided the confounding effect of growing mixtures at densities greater than parity (monoculture equivalent) so we could measure the true mixture response. Growing mixtures at over-parity densities requires a plot-by-plot comparison without reference to an enterprise mix ratio of the monocultures and represents a completely different farming system and is, therefore, not strictly a mixture comparison.
Given that our work was conducted over three years, it does not represent a long-term view of intercropping in the environments tested. Over the experimental period, a range of seasonal conditions was encountered, including one year where growth was poor due to limited rainfall (2019), followed by two average to above-average rainfall seasons (2020, 2021). Similarly, the experimental timeline was insufficient for a risk analysis using statistical dominance or efficiency techniques [21,30,31]. Such an analysis would require yields from sequenced or rotational field trials or a properly formulated and validated biophysical intercrop model.
We have identified that legume and oilseed mixtures generally had clear advantages over monoculture in wetter areas and seasons. New investigations should, therefore, explore the mechanisms of response, which were not able to be examined in this study. Probable mechanisms include improved N nutrition and resource sharing (notably water in rain-limited environments) or altered disease, pest or weed interactions [24]. Another probable mechanism, noted in a sister modelling review [32], is the morphological changes (plasticity effects) that are often seen, as we noted in field pea-oilseed mixtures where the field pea tended to trellis on the canola, thus gaining more height and using more water and nutrient resources, possibly more efficiently than would occur in a monoculture. Another mechanism we observed was a lower incidence of chocolate spot disease in a wet year (2020) within intercropped faba bean than in a monoculture in one of our experiments [33]. We also did not address disease and weed management across multiple years, as each experiment was sown into a new area. These issues need to be investigated to ensure the long-term productivity of companion cropping within an agricultural system.

5. Conclusions

This research confirmed our hypothesis that there are annual crop mixtures that can be grown profitably in modern, mechanised grain cropping systems such as those practised in southern Australia. Results show a strong bias towards legume and oilseed mixtures, with mixtures involving cereals being doubly disadvantaged by the aggressiveness of these lower-value crops in the mix and high grain separation costs post-harvest.
We also demonstrated the greater utility of the YR, VR and NetGM metrics postulated by Khanal et al. [22] compared to the more commonly used LER. The NetGM was the most important metric needed to evaluate the economic advantage of crop mixtures compared to the equivalent proportion of monocultures. This was empirically demonstrated by applying these metrics to yields obtained from a comprehensive series of winter cropping field experiments undertaken across three years of wet and dry seasons and three representative rainfall zones of Victoria in southern Australia.
We examined the shorter in-season, direct, private benefits of intercropping. Other system benefits need longer-term experiments to thoroughly assess the sustainability of these mixed crop systems in terms of pest and disease management, nutrient cycling, as well as public benefits such as improved soil and water quality, carbon sequestration, and biodiversity conservation. The assessment of the profit versus risk trade-off is also best assessed using a long-term time series of yields from sequenced or rotational field trials and crop models.

Author Contributions

Conceptualization, K.J.S., A.J.W., B.P.C., M.L.M., P.A.R. and G.J.O.; Data curation, K.J.S., A.J.W. and M.D.M.; Investigation, K.J.S., A.J.W., B.P.C., M.L.M., P.A.R. and F.J.H.; Methodology, K.J.S., A.J.W., U.K. and G.J.O.; Writing—original draft, K.J.S., A.J.W. and G.J.O.; Writing—review & editing, K.J.S. and A.J.W., U.K., B.P.C., M.L.M., P.A.R., M.R.M., F.J.H., M.D.M., J.G.N. and G.J.O. All authors have read and agreed to the published version of the manuscript.

Funding

This project was supported by Agriculture Victoria and the Grains Research and Development Corporation through the Victorian Grains Innovation Partnership—Bridging the profitability gap: Increasing grower profitability by reducing the impact of biotic and abiotic constraints on crop water use efficiency to bridge the yield gap, manage costs and enterprise risk (Project VGIP2B).

Data Availability Statement

Data reported in this study are listed in Appendix B, Appendix C, Appendix D, Appendix E and Appendix F and are available for use with citation and acknowledgement of this paper.

Acknowledgments

We also thank the growers and industry members of our reference panel who provided insight into the selection and management of the crops used across our region for experimentation. Technical assistance was provided by Terry McClean, Ashley Purdue, Peter Harris, Tim Whitehead, Jamie Smith, Tony Dickson, Darren Keane, Greg Mason, Irma Grimmer, Dilnee Suraweera, Janaka Puran Kumburage, Russel Argall and Mel Munn.

Conflicts of Interest

The authors declare no conflict of interest. The funders had no role in the design of the study, in the collection, analyses, or interpretation of data, in the writing of the manuscript, or in the decision to publish the results.

Appendix A. Experimental Site Location Details

Table A1. Nineteen experimental sites were sown over three years, showing location, elevation, row spacing and time of sowing (TOS).
Table A1. Nineteen experimental sites were sown over three years, showing location, elevation, row spacing and time of sowing (TOS).
TrialLatitude
(d m s)
Longitude
(d m s)
Elevation (m)Row Spacing (m)TOS
Hamilton core−37 49 27142 04 082050.1527 June 2019
Hamilton core−37 49 27142 04 082050.2019 May 2020
Hamilton core−37 49 27142 04 082050.2024–26 May 2021
Horsham core−36 33 27142 03 351300.305 June 2019
Horsham core−36 44 40142 06 501300.2013 May 2020
Horsham core−36 44 07142 06 571350.201–2 June 2021
Rutherglen core−36 06 00146 31 041500.154 June 2019
Rutherglen core−36 06 00146 31 041500.257 May 2020
Rutherglen core−36 06 00146 31 041500.2514 May 2021
Willaura satellite−37 31 55142 49 082450.201 May 2020
Inverleigh satellite−38 05 02143 56 171050.2027 May 2020
Caniambo satellite−36 26 40145 35 481300.2313 May 2020
Burramine satellite−36 03 11145 52 271200.2329 May 2020
Curyo satellite−35 50 57142 42 02900.3028 May 2020
Netherby satellite−36 01 13141 44 331000.3025 May 2020
Dookie satellite−36 23 36145 42 501450.2314 May 2021
Burramine satellite−36 03 11145 52 271200.2318 May 2021
Wallup satellite−36 21 00142 12 001250.301 June 2021
Watchupga satellite−35 45 35142 42 28850.301 June 2021

Appendix B. Tabulated Experimental Results by Site for Barley and Canola Mixtures

Barley and canola crop productivity recorded under monoculture and various mixture ratios showing the grain or seed yield (t/ha), land equivalent ratio (LER), yield ratio (YR), value ratio (VR) and gross margin for monoculture (GM, $/ha) and mixture net gross margin (NetGM, $/ha) paired with their respective standard errors (in parentheses).
Table A2. Mixtures of barley and canola grown at Hamilton in southwest Victoria (2019, 2020 and 2021).
Table A2. Mixtures of barley and canola grown at Hamilton in southwest Victoria (2019, 2020 and 2021).
Monoculture 1Monoculture 2Mix 25:75Mix 50:50Mix SR 50:50Mix 75:25
YearBarleyCanolaMix 1Mix 2Mix 1Mix 2Mix 1Mix 2Mix 1Mix 2
2019
Yield (t/ha)7.7 (0.62)4.4 (0.23)2.0 (0.53)2.6 (0.36) 5.3 (0.26)1.0 (0.12)
GM ($/ha)1287 (135)2045 (133)
LER 0.83 (0.05) 0.93 (0.03)
YR 0.87 (0.06) 0.93 (0.03)
VR 0.82 (0.05) 0.93 (0.04)
Net GM ($/ha) −1186 (123) −1214 (45)
2020
Yield (t/ha)7.6 (0.55)3.1 (0.56)2.7 (1.04)2.1 (0.62)4.7 (0.94)1.0 (0.57)3.0 (1.14)1.8 (0.61)6.0 (0.65)0.8 (0.49)
GM ($/ha)1263 (119)1321 (316)
LER 1.01 (0.06)0.93 (0.13)0.98 (0.04)1.05 (0.10)
YR 1.12 (0.10)1.06 (0.13)0.91 (0.10)1.06 (0.06)
VR 1.02 (0.05)0.94 (0.13)0.98 (0.03)1.05 (0.10)
Net GM ($/ha) −791 (192)−1094 (197)−843 (186)−1079 (170)
2021
Yield (t/ha)8.7 (1.04)4.0 (0.37)1.3 (2.00)1.9 (0.45)3.0 (2.69)1.2 (0.51)0.9 (0.93)2.1 (0.73)3.8 (3.12)0.7 (0.04)
GM ($/ha)1515 (227)3274 (204)
LER 0.61 (0.17)0.65 (0.37)0.63 (0.21)0.60 (0.36)
YR 0.61 (0.33)0.67 (0.45)0.48 (0.18)0.59 (0.42)
VR 0.61 (0.16)0.65 (0.36)0.64 (0.21)0.60 (0.36)
Net GM ($/ha) −1395 (129)−1467 (279)−1222 (296)−1568 (175)
Table A3. Mixtures of barley and canola grown at Horsham in northwest Victoria (2019, 2020 and 2021).
Table A3. Mixtures of barley and canola grown at Horsham in northwest Victoria (2019, 2020 and 2021).
Monoculture 1Monoculture 2Mix 25:75Mix 50:50Mix SR 50:50Mix 75:25
YearFaba BeanWheatMix 1Mix 2Mix 1Mix 2Mix 1Mix 2Mix 1Mix 2
2019
Yield (t/ha)3.3 (0.41)0.9 (0.09)2.6 (0.45)0.2 (0.08) 3.1 (0.14)0.0 (0.02)
GM ($/ha)390 (88)106 (50)
LER 1.01 (0.11) 0.96 (0.04)
YR 1.83 (0.27) 1.15 (0.05)
VR 1.26 (0.16) 1.05 (0.05)
Net GM ($/ha) −374 (27) −543 (10)
2020
Yield (t/ha)6.9 (0.36)4.6 (0.87)5.2 (0.92)1.4 (0.46)6.5 (1.15)0.4 (0.32)4.9 (1.21)1.0 (0.29)6.8 (0.84)0.3 (0.18)
GM ($/ha)1172 (79)2179 (494)
LER 1.06 (0.06)1.03 (0.17)0.93 (0.20)1.05 (0.11)
YR 1.28 (0.11)1.20 (0.20)1.03 (0.23)1.12 (0.12)
VR 0.88 (0.05)0.86 (0.15)0.84 (0.18)0.96 (0.10)
Net GM ($/ha) −1517 (143)−1583 (134)−1409 (148)−1346 (67)
2021
Yield (t/ha)3.1 (0.24)1.2 (0.41)2.3 (0.62)0.1 (0.01)2.5 (0.40)0.3 (0.09)1.8 (0.79)0.3 (0.06)1.9 (0.23)0.5 (0.04)
GM ($/ha)349 (51)247 (234)
LER 0.82 (0.24)1.04 (0.06)0.74 (0.25)0.94 (0.13)
YR 1.42 (0.40)1.30 (0.15)0.94 (0.36)0.87 (0.09)
VR 0.90 (0.26)1.08 (0.07)0.77 (0.27)0.93 (0.12)
Net GM ($/ha) −526 (54)−462 (13)−536 (53)−458 (57)
Table A4. Mixtures of barley and canola grown at satellite sites in northwest Victoria (2020).
Table A4. Mixtures of barley and canola grown at satellite sites in northwest Victoria (2020).
Monoculture 1Monoculture 2Mix 25:75Mix 75:25
YearSiteBarleyCanolaMix 1Mix 2Mix 1Mix 2
2020Curyo
Yield (t/ha)5.2 (0.38)1.8 (0.07)2.1 (0.53)0.9 (0.07)4.7 (0.30)0.1 (0.02)
GM ($/ha)810 (83)563 (38)
LER 0.92 (0.09)0.95 (0.05)
YR 1.15 (0.19)1.10 (0.06)
VR 0.97 (0.11)1.00 (0.05)
Net GM ($/ha) −563 (26)−863 (11)
2020Netherby
Yield (t/ha)3.8 (0.58)1.8 (0.20)1.7 (0.56)0.9 (0.29)3.1 (0.59)0.1 (0.05)
GM ($)469 (126)558 (114)
LER 0.93 (0.03)0.86 (0.15)
YR 1.11 (0.13)0.97 (0.18)
VR 0.92 (0.04)0.85 (0.15)
Net GM ($/ha) −532 (86)−722 (34)
Table A5. Mixtures of barley and canola grown at Rutherglen in northeast Victoria (2019, 2020 and 2021).
Table A5. Mixtures of barley and canola grown at Rutherglen in northeast Victoria (2019, 2020 and 2021).
Monoculture 1Monoculture 2Mix 25:75Mix 50:50Mix SR 50:50Mix 75:25
YearBarleyCanolaMix 1Mix 2Mix 1Mix 2Mix 1Mix 2Mix 1Mix 2
2019
Yield (t/ha)5.8 (0.65)0.8 (0.18)2.3 (0.37)0.5 (0.12) 4.5 (0.29)0.2 (0.08)
GM ($/ha)898 (141)15 (104)
LER 0.95 (0.09) 0.96 (0.07)
YR 1.32 (0.13) 1.02 (0.05)
VR 1.16 (0.05) 1.01 (0.04)
Net GM ($/ha) −377 (31) −802 (23)
2020
Yield (t/ha)8.6 (0.05)3.8 (0.37)3.4 (0.89)2.5 (0.32)5.3 (0.80)1.7 (0.86)3.8 (0.14)2.4 (0.32)7.6 (0.78)0.8 (0.27)
GM ($/ha)1514 (11)1698 (208)
LER 1.06 (0.05)1.06 (0.20)1.08 (0.08)1.09 (0.05)
YR 1.19 (0.13)1.13 (0.14)1.00 (0.04)1.13 (0.08)
VR 1.07 (0.05)1.06 (0.20)1.08 (0.08)1.09 (0.05)
Net GM ($/ha) −904 (92)−1091 (329)−874 (123)−1262 (78)
2021
Yield (t/ha)7.4 (1.16)2.4 (0.54)4.2 (0.68)1.6 (0.46)6.0 (0.89)0.8 (0.37)3.5 (0.44)1.5 (0.37)7.0 (0.55)0.2 (0.17)
GM ($/ha)1249 (252)934 (307)
LER 1.20 (0.26)1.15 (0.10)1.09 (0.13)1.04 (0.11)
YR 1.55 (0.28)1.38 (0.14)1.02 (0.09)1.17 (0.10)
VR 1.28 (0.26)1.22 (0.10)1.07 (0.12)1.09 (0.11)
Net GM ($/ha) −614 (208)−876 (119)−740 (138)−1129 (79)
Table A6. Mixtures of barley and canola grown at satellite sites in northeast Victoria (2020 and 2021).
Table A6. Mixtures of barley and canola grown at satellite sites in northeast Victoria (2020 and 2021).
Monoculture 1Monoculture 2Mix 25:75Mix 50:50Mix 75:25
YearSiteBarleyCanolaMix 1Mix 2Mix 1Mix 2Mix 1Mix 2
2020Burramine
Yield (t/ha)6.5 (0.68)1.9 (0.28)4.7 (0.64)0.3 (0.20) 5.3 (0.20)0.1 (0.06)
GM ($/ha)1046 (148)612 (159)
LER 0.91 (0.12) 0.87 (0.05)
YR 1.68 (0.20) 1.01 (0.04)
VR 1.15 (0.14) 0.93 (0.05)
Net GM ($/ha) −781 (78) −1043 (31)
2020Caniambo
Yield (t/ha)4.7 (0.21)2.5 (0.31)3.5 (0.32)0.7 (0.08) 4.6 (0.42)0.2 (0.11)
GM ($/ha)672 (45)944 (174)
LER 1.04 (0.04) 1.07 (0.06)
YR 1.40 (0.08) 1.17 (0.08)
VR 0.97 (0.03) 1.05 (0.06)
Net GM ($/ha) −838 (19) −824 (33)
2021Burramine
Yield (t/ha)4.6 (0.38)2.6 (0.30)2.2 (0.85)1.1 (0.29) 3.3 (0.64)0.3 (0.13)
GM ($/ha)632 (82)1034 (170)
LER 0.92 (0.21) 0.84 (0.13)
YR 1.08 (0.28) 0.89 (0.15)
VR 0.85 (0.18) 0.81 (0.12)
Net GM ($/ha) −811 (120) −862 (49)
2021Dookie
Yield (t/ha)4.2 (1.59)2.7 (0.52)2.2 (0.43)0.9 (0.15)3.6 (0.58)0.2 (0.22)3.4 (0.33)0.1 (0.12)
GM ($/ha)549 (347)1073 (295)
LER 0.86 (0.12)0.96 (0.13)0.85 (0.12)
YR 1.01 (0.16)1.13 (0.16)0.91 (0.11)
VR 0.76 (0.10)0.82 (0.12)0.78 (0.12)
Net GM ($/ha) −899 (66)−956 (82)−878 (64)

Appendix C. Tabulated Experimental Results by Site for Faba Bean and Canola Mixtures

Faba bean and canola crop productivity recorded under monoculture and various mixture ratios showing the grain or seed yield (t/ha), land equivalent ratio (LER), yield ratio (YR), value ratio (VR) and gross margin for monoculture (GM, $/ha) and mixture net gross margin (NetGM, $/ha) paired with their respective standard errors (in parentheses).
Table A7. Mixtures of faba bean and canola grown at Hamilton in southwest Victoria (2019, 2020 and 2021).
Table A7. Mixtures of faba bean and canola grown at Hamilton in southwest Victoria (2019, 2020 and 2021).
Monoculture 1Monoculture 2Mix 25:75Mix 50:50Mix SR 50:50Mix 75:25
YearFaba BeanCanolaMix 1Mix 2Mix 1Mix 2Mix 1Mix 2Mix 1Mix 2
2019
Yield (t/ha)7.3 (0.52)4.4 (0.23)0.7 (0.12)4.5 (0.18) 2.8 (0.50)2.5 (0.19)
GM ($/ha)2981 (245)2045 (133)
LER 1.10 (0.05) 0.94 (0.03)
YR 0.99 (0.06) 0.79 (0.05)
VR 1.03 (0.06) 0.84 (0.04)
Net GM ($/ha) −180 (138) −769 (126)
2020
Yield (t/ha)4.8 (1.17)3.1 (0.56)2.6 (0.25)2.4 (0.32)1.9 (1.22)2.5 (0.39)2.9 (1.03)2.3 (0.22)3.9 (1.27)1.5 (0.49)
GM ($/ha)1765 (553)1321 (316)
LER 1.32 (0.10)1.20 (0.25)1.34 (0.24)1.29 (0.13)
YR 1.43 (0.10)1.12 (0.30)1.32 (0.28)1.23 (0.19)
VR 1.38 (0.10)1.15 (0.28)1.33 (0.27)1.25 (0.17)
Net GM ($/ha) 453 (169)85 (503)405 (479)278 (311)
2021
Yield (t/ha)7.1 (0.89)4.0 (0.37)3.5 (2.25)2.5 (1.01)5.6 (2.08)1.6 (0.86)4.8 (1.17)2.2 (0.13)5.2 (2.58)1.3 (0.72)
GM ($/ha)2859 (419)3274 (204)
LER 1.11 (0.07)1.18 (0.10)1.23 (0.15)1.07 (0.26)
YR 1.25 (0.26)1.29 (0.23)1.27 (0.20)1.04 (0.33)
VR 1.21 (0.20)1.26 (0.19)1.26 (0.19)1.05 (0.31)
Net GM ($/ha) 204 (435)358 (464)366 (463)−171 (843)
Table A8. Mixtures of faba bean and canola at satellite sites in southwest Victoria (2020).
Table A8. Mixtures of faba bean and canola at satellite sites in southwest Victoria (2020).
Monoculture 1Monoculture 2Mix 25:75Mix 75:25
YearSiteFaba BeanCanolaMix 1Mix 2Mix 1Mix 2
2020Inverleigh
Yield (t/ha)5.5 (1.04)1.3 (0.18)2.6 (0.49)1.2 (0.36)3.6 (0.43)0.4 (0.13)
GM ($/ha)2137 (494)464 (138)
LER 1.39 (0.25)0.95 (0.13)
YR 1.61 (0.21)0.89 (0.10)
VR 1.59 (0.21)0.89 (0.10)
Net GM ($/ha) 503 (230)−424 (195)
2020Willaura
Yield (t/ha)5.9 (1.41)2.5 (0.72)0.9 (0.28)1.9 (0.34)1.1 (0.08)1.1 (0.46)
GM ($/ha)2288 (669)1141 (305)
LER 0.90 (0.16)0.45 (0.26)
YR 0.83 (0.15)0.32 (0.16)
VR 0.84 (0.15)0.34 (0.17)
Net GM ($/ha) −426 (241)−1560 (274)
Table A9. Mixtures of faba bean and canola grown at Horsham in northwest Victoria (2021).
Table A9. Mixtures of faba bean and canola grown at Horsham in northwest Victoria (2021).
Monoculture 1Monoculture 2Mix 25:75Mix 50:50Mix SR 50:50Mix 75:25
YearFaba BeanCanolaMix 1Mix 2Mix 1Mix 2Mix 1Mix 2Mix 1Mix 2
2021
Yield (t/ha)3.1 (0.37)1.2 (0.41)1.2 (0.54)0.8 (0.18)1.6 (0.57)0.4 (0.04)1.6 (0.33)0.3 (0.05)1.4 (0.29)0.5 (0.00)
GM ($/ha)1096 (177)247 (234)
LER 0.75 (0.28)0.77 (0.27)0.70 (0.15)0.72 (0.06)
YR 0.96 (0.32)0.90 (0.30)0.85 (0.18)0.66 (0.04)
VR 0.92 (0.30)0.88 (0.29)0.83 (0.17)0.67 (0.03)
Net GM ($/ha) −132 (237)−216 (281)−268 (167)−500 (28)
Table A10. Mixtures of faba bean and canola grown at satellite sites in northwest Victoria (2021).
Table A10. Mixtures of faba bean and canola grown at satellite sites in northwest Victoria (2021).
Monoculture 1Monoculture 2Mix 25:75Mix 75:25
YearSiteFaba BeanCanolaMix 1Mix 2Mix 1Mix 2
2021Wallup
Yield (t/ha)3.5 (0.34)1.2 (0.07)1.4 (0.84)0.9 (0.04)2.1 (1.27)0.4 (0.06)
GM ($/ha)1276 (163)221 (42)
LER 1.20 (0.22)0.97 (0.32)
YR 1.33 (0.47)0.87 (0.42)
VR 1.31 (0.43)0.88 (0.41)
Net GM ($/ha) 184 (343)−282 (516)
2021Watchupga
Yield (t/ha)2.6 (0.10)1.1 (0.16)0.3 (0.12)0.9 (0.34)0.7 (0.11)1.0 (0.04)
GM ($/ha)821 (48)196 (93)
LER 0.97 (0.27)1.19 (0.04)
YR 0.87 (0.17)0.79 (0.05)
VR 0.89 (0.19)0.85 (0.04)
Net GM ($/ha) −128 (139)−227 (42)
Table A11. Mixtures of faba bean and canola grown at Rutherglen in northeast Victoria (2019, 2020 and 2021).
Table A11. Mixtures of faba bean and canola grown at Rutherglen in northeast Victoria (2019, 2020 and 2021).
Monoculture 1Monoculture 2Mix 25:75Mix 50:50Mix SR 50:50Mix 75:25
YearFaba BeanCanolaMix 1Mix 2Mix 1Mix 2Mix 1Mix 2Mix 1Mix 2
2019
Yield (t/ha)1.6 (0.20)0.8 (0.18)0.2 (0.06)0.7 (0.26) 0.6 (0.10)0.7 (0.15)
GM ($/ha)356 (92)15 (104)
LER 0.97 (0.33) 1.18 (0.23)
YR 0.88 (0.27) 0.88 (0.16)
VR 0.90 (0.29) 0.94 (0.18)
Net GM ($/ha) −77 (142) −91 (112)
2020
Yield (t/ha)5.7 (0.42)3.8 (0.37)3.4 (0.75)2.4 (0.24)3.8 (0.64)1.5 (0.17)3.9 (0.60)1.6 (0.28)4.6 (0.69)1.1 (0.26)
GM ($/ha)2282 (197)1698 (208)
LER 1.21 (0.08)1.07 (0.13)1.10 (0.14)1.09 (0.08)
YR 1.34 (0.13)1.12 (0.15)1.16 (0.15)1.08 (0.10)
VR 1.29 (0.11)1.10 (0.14)1.14 (0.15)1.09 (0.09)
Net GM ($/ha) 384 (213)−18 (307)64 (326)−55 (209)
2021
Yield (t/ha)6.4 (0.68)2.4 (0.54)3.8 (0.48)1.4 (0.59)5.2 (0.64)0.9 (0.39)4.5 (1.07)0.9 (0.34)5.9 (0.39)0.6 (0.35)
GM ($/ha)2627 (322)934 (307)
LER 1.19 (0.18)1.19 (0.08)1.08 (0.12)1.15 (0.17)
YR 1.54 (0.07)1.38 (0.07)1.22 (0.19)1.19 (0.11)
VR 1.47 (0.08)1.36 (0.06)1.20 (0.18)1.18 (0.11)
Net GM ($/ha) 594 (143)487 (120)185 (346)170 (269)
Table A12. Mixtures of faba bean and canola grown at satellite sites in northeast Victoria (2020 and 2021).
Table A12. Mixtures of faba bean and canola grown at satellite sites in northeast Victoria (2020 and 2021).
Monoculture 1Monoculture 2Mix 25:75Mix 50:50Mix 75:25
YearSiteFaba BeanCanolaMix 1Mix 2Mix 1Mix 2Mix 1Mix 2
2020Burramine
Yield (t/ha)4.4 (0.74)1.9 (0.28)1.2 (0.37)1.6 (0.48) 3.0 (0.31)0.4 (0.20)
GM ($/ha)1691 (352)612 (159)
LER 1.13 (0.21) 0.91 (0.13)
YR 1.13 (0.14) 0.91 (0.10)
VR 1.13 (0.15) 0.91 (0.10)
Net GM ($/ha) 53 (182) −333 (171)
2020Caniambo
Yield (t/ha)6.1 (0.48)2.5 (0.31)1.7 (0.32)1.8 (0.22) 4.1 (0.25)0.8 (0.27)
GM ($)2456 (228)944 (174)
LER 1.01 (0.10) 1.02 (0.15)
YR 1.04 (0.11) 0.96 (0.10)
VR 1.03 (0.10) 0.96 (0.10)
Net GM ($/ha) −103 (161) −324 (235)
2021Burramine
Yield (t/ha)4.9 (0.99)2.6 (0.30)0.8 (0.36)2.4 (0.16) 2.3 (0.81)1.7 (0.57)
GM ($/ha)1922 (467)1034 (170)
LER 1.06 (0.08) 1.11 (0.12)
YR 0.98 (0.11) 0.91 (0.10)
VR 1.00 (0.10) 0.95 (0.10)
Net GM ($/ha) −126 (151) −273 (184)
2021Dookie
Yield (t/ha)6.5 (1.29)2.7 (0.52)2.0 (0.70)2.5 (0.68)3.2 (1.61)1.5 (0.52)6.3 (1.36)0.2 (0.16)
GM ($/ha)2662 (609)1073 (295)
LER 1.22 (0.15)1.06 (0.14)1.06 (0.16)
YR 1.22 (0.04)1.03 (0.26)1.18 (0.22)
VR 1.22 (0.04)1.03 (0.24)1.17 (0.21)
Net GM ($/ha) 219 (83)−147 (481)121 (512)

Appendix D. Tabulated Experimental Results by Site for Field Pea and Canola Mixtures

Field pea and canola crop productivity recorded under monoculture and various mixture ratios showing the grain or seed yield (t/ha), land equivalent ratio (LER), yield ratio (YR), value ratio (VR) and gross margin for monoculture (GM, $/ha) and mixture net gross margin (NetGM, $/ha) paired with their respective standard errors (in parentheses).
Table A13. Mixtures of field pea and canola grown at Hamilton in southwest Victoria (2019, 2020 and 2021).
Table A13. Mixtures of field pea and canola grown at Hamilton in southwest Victoria (2019, 2020 and 2021).
Monoculture 1Monoculture 2Mix 25:75Mix 50:50Mix SR 50:50Mix 75:25
YearField PeaCanolaMix 1Mix 2Mix 1Mix 2Mix 1Mix 2Mix 1Mix 2
2019
Yield (t/ha)7.2 (0.50)4.4 (0.23)1.0 (0.45)3.5 (0.56) 3.5 (0.79)1.6 (0.41)
GM ($/ha)2588 (204)2045 (133)
LER 0.93 (0.11) 0.85 (0.18)
YR 0.88 (0.10) 0.78 (0.16)
VR 0.91 (0.10) 0.82 (0.17)
Net GM ($/ha) −431 (247) −766 (430)
2020
Yield (t/ha)5.5 (0.91)3.1 (0.56)4.3 (1.13)1.8 (0.20)4.8 (1.15)1.2 (0.36)3.8 (0.12)2.3 (0.23)5.4 (0.77)0.8 (0.32)
GM ($/ha)1900 (373)1321 (316)
LER 1.35 (0.20)1.25 (0.15)1.40 (0.08)1.21 (0.21)
YR 1.62 (0.29)1.39 (0.21)1.39 (0.07)1.24 (0.20)
VR 1.47 (0.24)1.32 (0.18)1.39 (0.08)1.23 (0.20)
Net GM ($/ha) 576 (391)326 (308)491 (139)158 (389)
2021
Yield (t/ha)5.7 (0.56)4.0 (0.46)4.8 (0.97)2.1 (0.34)4.7 (1.00)1.2 (0.53)4.7 (0.48)1.4 (0.46)5.1 (0.39)0.6 (0.53)
GM ($/ha)1959 (229)2092 (532)
LER 1.36 (0.13)1.13 (0.14)1.18 (0.15)1.05 (0.11)
YR 1.55 (0.17)1.22 (0.16)1.26 (0.15)1.09 (0.09)
VR 1.39 (0.13)1.14 (0.14)1.19 (0.15)1.06 (0.11)
Net GM ($/ha) 522 (256)12 (291)112 (317)−176 (234)
Table A14. Mixtures of field pea–canola grown at satellite sites in southwest Victoria (2020).
Table A14. Mixtures of field pea–canola grown at satellite sites in southwest Victoria (2020).
Monoculture 1Monoculture 2Mix 25:75Mix 75:25
YearSiteField PeaCanolaMix 1Mix 2Mix 1Mix 2
2020Willaura
Yield (t/ha)4.5 (0.90)2.5 (0.72)1.5 (0.94)1.9 (0.37)3.6 (1.40)0.7 (0.32)
GM ($/ha)1475 (368)1041 (477)
LER 1.10 (0.29)1.06 (0.34)
YR 1.14 (0.37)1.06 (0.36)
VR 1.12 (0.32)1.06 (0.35)
Net GM ($/ha) 14 (435)−128 (533)
Table A15. Mixtures of field pea and canola grown at Horsham in northwest Victoria (2020 and 2021).
Table A15. Mixtures of field pea and canola grown at Horsham in northwest Victoria (2020 and 2021).
Monoculture 1Monoculture 2Mix 25:75Mix 50:50Mix SR 50:50Mix 75:25
YearField PeaCanolaMix 1Mix 2Mix 1Mix 2Mix 1Mix 2Mix 1Mix 2
2020
Yield (t/ha)3.7 (0.84)4.6 (0.87)1.0 (0.26)3.8 (0.55)1.5 (0.46)2.8 (0.72)3.1 (0.50)2.3 (0.93)2.6 (1.34)2.2 (1.40)
GM ($/ha)1168 (344)2179 (494)
LER 1.10 (0.16)1.00 (0.13)1.35 (0.10)1.19 (0.12)
YR 1.10 (0.15)1.03 (0.14)1.31 (0.13)1.23 (0.11)
VR 1.10 (0.15)1.05 (0.16)1.26 (0.17)1.29 (0.17)
Net GM ($/ha) −2 (325)−97 (300)252 (326)285 (303)
2021
Yield (t/ha)2.6 (0.73)1.2 (0.41)1.0 (0.01)0.6 (0.06)1.1 (0.23)0.6 (0.07)1.6 (0.28)0.5 (0.23)1.6 (0.19)0.3 (0.27)
GM ($/ha)732 (298)247 (234)
LER 0.92 (0.05)0.90 (0.15)1.05 (0.10)0.88 (0.28)
YR 1.07 (0.04)0.88 (0.16)1.12 (0.05)0.85 (0.18)
VR 1.01 (0.04)0.89 (0.16)1.09 (0.05)0.86 (0.21)
Net GM ($/ha) −68 (30)−183 (122)−26 (43)−245 (191)
Table A16. Mixtures of field pea and canola grown at satellite sites in northwest Victoria (2020 and 2021).
Table A16. Mixtures of field pea and canola grown at satellite sites in northwest Victoria (2020 and 2021).
Monoculture 1Monoculture 2Mix 25:75Mix 75:25
YearSiteField PeaCanolaMix 1Mix 2Mix 1Mix 2
2020Curyo
Yield (t/ha)3.3 (0.28)1.8 (0.18)0.2 (0.03)1.7 (0.13)1.9 (0.66)0.9 (0.41)
GM ($/ha)969 (115)563 (100)
LER 1.03 (0.08)1.08 (0.07)
YR 0.90 (0.07)0.96 (0.10)
VR 0.96 (0.08)1.01 (0.07)
Net GM ($/ha) −114 (78)−134 (70)
2020Netherby
Yield (t/ha)2.1 (0.43)1.8 (0.19)0.2 (0.03)1.5 (0.12)0.9 (0.07)0.9 (0.18)
GM ($)506 (176)578 (108)
LER 0.91 (0.08)0.93 (0.10)
YR 0.89 (0.08)0.88 (0.09)
VR 0.93 (0.08)0.96 (0.11)
Net GM ($/ha) −133 (71)−125 (93)
2021Wallup
Yield (t/ha)3.1 (0.06)1.2 (0.07)0.9 (0.25)0.7 (0.21)2.2 (0.25)0.3 (0.15)
GM ($/ha)933 (26)221 (42)
LER 0.94 (0.16)1.02 (0.08)
YR 1.01 (0.15)0.98 (0.06)
VR 0.99 (0.15)0.99 (0.05)
Net GM ($/ha) −80 (108)−150 (51)
2021Watchupga
Yield (t/ha)1.6 (0.46)1.1 (0.16)0.2 (0.06)0.9 (0.17)0.9 (0.26)0.7 (0.15)
GM ($/ha)312 (186)196 (93)
LER 0.92 (0.18)1.20 (0.17)
YR 0.87 (0.18)1.09 (0.17)
VR 0.91 (0.18)1.17 (0.17)
Net GM ($/ha) −98 (106)27 (97)
Table A17. Mixtures of field pea and canola grown at Rutherglen in northeast Victoria (2019, 2020 and 2021).
Table A17. Mixtures of field pea and canola grown at Rutherglen in northeast Victoria (2019, 2020 and 2021).
Monoculture 1Monoculture 2Mix 25:75Mix 50:50Mix SR 50:50Mix 75:25
YearField PeaCanolaMix 1Mix 2Mix 1Mix 2Mix 1Mix 2Mix 1Mix 2
2019
Yield (t/ha)1.0 (0.19)0.8 (0.18)0.2 (0.05)0.8 (0.05) 0.6 (0.11)0.3 (0.07)
GM ($/ha)46 (80)15 (104)
LER 1.23 (0.10) 1.03 (0.12)
YR 1.22 (0.11) 1.00 (0.11)
VR 1.24 (0.10) 1.04 (0.12)
Net GM ($/ha) 69 (40) −41 (44)
2020
Yield (t/ha)5.8 (1.02)3.8 (0.37)1.7 (0.54)3.1 (0.61)2.9 (0.49)2.8 (0.28)1.4 (0.49)3.1 (0.20)3.4 (0.63)2.4 (0.55)
GM ($/ha)2023 (418)1698 (208)
LER 1.12 (0.08)1.25 (0.02)1.06 (0.12)1.23 (0.23)
YR 1.13 (0.04)1.20 (0.05)0.94 (0.13)1.10 (0.20)
VR 1.12 (0.06)1.23 (0.03)1.02 (0.13)1.18 (0.22)
Net GM ($/ha) 32 (137)247 (43)−162 (255)140 (464)
2021
Yield (t/ha)6.5 (1.59)2.4 (0.54)3.3 (1.34)1.5 (0.53)5.5 (1.69)0.7 (0.40)3.7 (1.25)1.3 (0.16)4.7 (0.79)0.5 (0.34)
GM ($/ha)2311 (651)934 (307)
LER 1.12 (0.15)1.15 (0.16)1.10 (0.24)0.93 (0.26)
YR 1.39 (0.29)1.40 (0.31)1.12 (0.31)0.94 (0.20)
VR 1.30 (0.23)1.33 (0.27)1.12 (0.29)0.94 (0.21)
Net GM ($/ha) 267 (329)336 (458)−19 (512)−416 (451)
Table A18. Mixtures of field pea and canola grown at satellite sites in northeast Victoria (2020 and 2021).
Table A18. Mixtures of field pea and canola grown at satellite sites in northeast Victoria (2020 and 2021).
Monoculture 1Monoculture 2Mix 25:75Mix 50:50Mix 75:25
YearSiteField PeaCanolaMix 1Mix 2Mix 1Mix 2Mix 1Mix 2
2020Burramine
Yield (t/ha)3.9 (1.56)2.0 (0.27)1.5 (0.88)1.2 (0.31) 2.6 (0.83)0.3 (0.07)
GM ($/ha)1210 (640)666 (154)
LER 1.05 (0.24) 0.89 (0.24)
YR 1.16 (0.36) 0.93 (0.27)
VR 1.11 (0.30) 0.91 (0.26)
Net GM ($/ha) 0 (295) −283 (302)
2020Caniambo
Yield (t/ha)5.8 (0.42)2.7 (0.37)3.1 (1.14)1.6 (0.40) 4.4 (1.02)0.8 (0.26)
GM ($/ha)2004 (171)1030 (208)
LER 1.16 (0.15) 1.05 (0.10)
YR 1.39 (0.28) 1.01 (0.16)
VR 1.31 (0.22) 1.02 (0.14)
Net GM ($/ha) 283 (318) −231 (265)
2021Burramine
Yield (t/ha)6.1 (0.63)2.6 (0.30)1.8 (0.53)1.8 (0.30) 4.5 (0.53)0.5 (0.19)
GM ($/ha)2160 (259)1034 (170)
LER 0.97 (0.07) 0.93 (0.14)
YR 1.03 (0.10) 0.96 (0.13)
VR 1.01 (0.08) 0.95 (0.13)
Net GM ($/ha) −161 (120) −376 (259)
2021Dookie
Yield (t/ha)6.0 (2.00)2.7 (0.52)1.2 (0.95)1.9 (0.53)3.9 (1.32)1.3 (0.42)8.4 (0.97)0.3 (0.34)
GM ($/ha)2117 (821)1073 (295)
LER 0.92 (0.14)1.14 (0.21)1.51 (0.24)
YR 0.90 (0.19)1.19 (0.28)1.67 (0.22)
VR 0.91 (0.16)1.17 (0.25)1.63 (0.23)
Net GM ($/ha) −306 (238)81 (438)933 (451)

Appendix E. Tabulated Experimental Results by Site for Faba Bean and Wheat Mixtures

Faba bean and wheat crop productivity recorded under monoculture and various mixture ratios showing the grain or seed yield (t/ha), land equivalent ratio (LER), yield ratio (YR), value ratio (VR) and gross margin for monoculture (GM, $/ha) and mixture net gross margin (NetGM, $/ha) paired with their respective standard errors (in parentheses).
Table A19. Mixtures of faba bean and wheat grown at Hamilton in southwest Victoria (2019, 2020 and 2021).
Table A19. Mixtures of faba bean and wheat grown at Hamilton in southwest Victoria (2019, 2020 and 2021).
Monoculture 1Monoculture 2Mix 25:75Mix 50:50Mix SR 50:50Mix 75:25
YearFaba BeanWheatMix 1Mix 2Mix 1Mix 2Mix 1Mix 2Mix 1Mix 2
2019
Yield (t/ha)7.3 (0.52)8.3 (0.98)0.7 (0.26)7.4 (0.63) 2.9 (0.48)4.0 (1.05)
GM ($/ha)2981 (245)1837 (263)
LER 0.98 (0.11) 0.88 (0.10)
YR 1.00 (0.11) 0.92 (0.11)
VR 0.92 (0.11) 0.80 (0.08)
Net GM ($/ha) −880 (207) −1223 (168)
2020
Yield (t/ha)4.8 (1.17)7.6 (0.62)1.7 (0.57)5.8 (0.22)2.6 (0.36)4.4 (0.36)1.9 (0.72)4.2 (0.42)4.5 (0.76)1.6 (0.73)
GM ($/ha)1765 (553)1647 (168)
LER 1.13 (0.12)1.14 (0.06)0.96 (0.14)1.16 (0.13)
YR 1.10 (0.08)1.15 (0.05)1.00 (0.11)1.12 (0.12)
VR 1.13 (0.12)1.14 (0.06)0.96 (0.14)1.16 (0.13)
Net GM ($/ha) −329 (217)−251 (108)−578 (258)−94 (238)
2021
Yield (t/ha)7.1 (0.89)7.2 (0.49)3.5 (0.94)4.6 (0.66)4.2 (1.91)3.0 (1.66)3.9 (1.13)3.4 (1.00)6.6 (1.32)0.7 (0.41)
GM ($/ha)2859 (419)1543 (133)
LER 1.14 (0.06)1.01 (0.10)1.02 (0.07)1.04 (0.13)
YR 1.14 (0.06)1.01 (0.10)1.02 (0.07)1.04 (0.13)
VR 1.25 (0.11)1.05 (0.18)1.04 (0.11)1.10 (0.17)
Net GM ($/ha) −46 (256)−414 (469)−460 (284)−223 (436)
Table A20. Mixtures of faba bean and wheat grown at satellite sites in southwest Victoria (2020 and 2021).
Table A20. Mixtures of faba bean and wheat grown at satellite sites in southwest Victoria (2020 and 2021).
Monoculture 1Monoculture 2Mix 25:75Mix 75:25
YearSiteFaba BeanWheatMix 1Mix 2Mix 1Mix 2
2020Willaura
Yield (t/ha)5.9 (1.41)5.2 (2.33)0.3 (0.23)4.5 (2.00)1.6 (0.72)3.2 (2.59)
GM ($/ha)2288 (669)1010 (627)
LER 0.89 (0.38)0.88 (0.44)
YR 0.87 (0.37)0.84 (0.39)
VR 0.76 (0.32)0.69 (0.25)
Net GM ($/ha) −785 (392)−1160 (380)
Table A21. Mixtures of faba bean and wheat grown at Horsham in northwest Victoria (2020 and 2021).
Table A21. Mixtures of faba bean and wheat grown at Horsham in northwest Victoria (2020 and 2021).
Monoculture 1Monoculture 2Mix 25:75Mix 50:50Mix SR 50:50Mix 75:25
YearFaba BeanWheatMix 1Mix 2Mix 1Mix 2Mix 1Mix 2Mix 1Mix 2
2020
Yield (t/ha)7.6 (1.21)7.7 (0.55)1.1 (0.47)6.4 (0.48)1.9 (0.51)5.8 (0.75)2.8 (0.42)3.6 (0.39)2.7 (0.88)4.2 (0.69)
GM ($/ha)3190 (574)1716 (149)
LER 0.98 (0.01)1.01 (0.05)0.84 (0.09)0.90 (0.07)
YR 0.98 (0.01)1.01 (0.05)0.84 (0.09)0.91 (0.07)
VR 0.93 (0.03)0.89 (0.04)0.82 (0.10)0.77 (0.09)
Net GM ($/ha) −803 (97)−968 (97)−1033 (213)−1352 (252)
2021
Yield (t/ha)3.1 (0.37)3.0 (0.49)0.8 (0.29)2.4 (0.38)0.7 (0.36)2.7 (0.23)1.2 (0.08)2.0 (0.63)1.4 (0.12)2.6 (0.15)
GM ($/ha)1096 (177)448 (133)
LER 1.15 (0.11)0.97 (0.36)1.15 (0.26)1.33 (0.08)
YR 1.15 (0.10)0.95 (0.35)1.14 (0.26)1.30 (0.08)
VR 1.13 (0.08)0.82 (0.31)1.04 (0.21)1.08 (0.07)
Net GM ($/ha) −132 (58)−433 (256)−224 (160)−244 (72)
Table A22. Mixtures of faba bean and wheat grown at satellite sites in northwest Victoria (2020 and 2021).
Table A22. Mixtures of faba bean and wheat grown at satellite sites in northwest Victoria (2020 and 2021).
Monoculture 1Monoculture 2Mix 25:75Mix 75:25
YearSiteFaba beanWheatMix 1Mix 2Mix 1Mix 2
2020Curyo
Yield (t/ha)3.0 (0.57)4.7 (0.22)0.1 (0.03)4.1 (0.33)0.9 (0.21)3.1 (0.25)
GM ($/ha)1039 (270)913 (59)
LER 0.90 (0.08)0.95 (0.06)
YR 0.98 (0.08)1.15 (0.06)
VR 0.90 (0.08)0.93 (0.06)
Net GM ($/ha) −475 (67)−442 (64)
2020Netherby
Yield (t/ha)2.7 (0.59)4.2 (0.31)0.1 (0.04)3.7 (0.28)0.8 (0.25)2.8 (0.38)
GM ($/ha)887 (280)782 (84)
LER 0.91 (0.06)0.95 (0.10)
YR 0.99 (0.07)1.17 (0.12)
VR 0.91 (0.06)0.94 (0.10)
Net GM ($/ha) −412 (47)−386 (96)
2021Wallup
Yield (t/ha)3.5 (0.34)3.0 (0.30)0.4 (0.29)3.0 (0.13)1.1 (0.46)2.8 (0.28)
GM ($/ha)1276 (163)456 (81)
LER 1.08 (0.05)1.24 (0.10)
YR 1.06 (0.05)1.14 (0.10)
VR 0.98 (0.07)0.91 (0.12)
Net GM ($/ha) −282 (69)−474 (152)
2021Watchupga
Yield (t/ha)2.6 (0.10)2.2 (0.25)0.7 (1.18)2.1 (0.35)0.7 (0.34)1.8 (0.19)
GM ($/ha)821 (48)246 (67)
LER 1.26 (0.37)1.11 (0.21)
YR 1.26 (0.43)1.03 (0.20)
VR 1.24 (0.63)0.82 (0.19)
Net GM ($/ha) −30 (417)−404 (161)
Table A23. Mixtures of faba bean and wheat grown at Rutherglen in northeast Victoria (2019, 2020 and 2021).
Table A23. Mixtures of faba bean and wheat grown at Rutherglen in northeast Victoria (2019, 2020 and 2021).
Monoculture 1Monoculture 2Mix 25:75Mix 50:50Mix SR 50:50Mix 75:25
YearFaba BeanWheatMix 1Mix 2Mix 1Mix 2Mix 1Mix 2Mix 1Mix 2
2019
Yield (t/ha)1.6 (0.20)4.2 (1.16)0.1 (0.03)4.1 (0.60) 0.4 (0.09)2.6 (0.46)
GM ($/ha)356 (92)772 (313)
LER 1.01 (0.15) 0.83 (0.11)
YR 1.16 (0.17) 1.28 (0.20)
VR 1.09 (0.16) 1.04 (0.15)
Net GM ($/ha) −232 (113) −210 (85)
2020
Yield (t/ha)5.7 (0.42)7.9 (0.99)2.4 (0.47)6.1 (0.96)4.5 (0.65)3.9 (1.47)4.9 (0.44)2.3 (0.48)5.9 (0.56)1.4 (0.26)
GM ($/ha)2282 (197)1771 (266)
LER 1.20 (0.11)1.28 (0.15)1.15 (0.08)1.21 (0.11)
YR 1.16 (0.11)1.23 (0.18)1.06 (0.08)1.17 (0.11)
VR 1.22 (0.11)1.31 (0.14)1.19 (0.08)1.23 (0.11)
Net GM ($/ha) −166 (180)95 (239)−50 (162)21 (238)
2021
Yield (t/ha)6.4 (0.68)8.0 (0.67)1.5 (0.79)5.5 (0.64)5.6 (1.20)2.5 (0.36)4.7 (0.46)2.4 (0.51)5.7 (0.39)1.1 (0.30)
GM ($/ha)2627 (322)1773 (180)
LER 0.92 (0.08)1.19 (0.17)1.03 (0.13)1.02 (0.06)
YR 0.92 (0.06)1.13 (0.15)0.99 (0.13)1.00 (0.06)
VR 0.92 (0.10)1.26 (0.20)1.09 (0.13)1.05 (0.06)
Net GM ($/ha) −743 (225)81 (441)−285 (266)−368 (141)
Table A24. Mixtures of faba bean and wheat grown at satellite sites in northeast Victoria (2020 and 2021).
Table A24. Mixtures of faba bean and wheat grown at satellite sites in northeast Victoria (2020 and 2021).
Monoculture 1Monoculture 2Mix 25:75Mix 50:50Mix 75:25
YearSiteFaba BeanWheatMix 1Mix 2Mix 1Mix 2Mix 1Mix 2
2020Burramine
Yield (t/ha)4.4 (0.74)5.0 (0.38)0.3 (0.17)4.9 (0.48) 1.4 (0.55)3.6 (0.42)
GM ($/ha)1691 (352)971 (102)
LER 1.05 (0.06) 1.03 (0.11)
YR 1.07 (0.07) 1.08 (0.11)
VR 0.97 (0.05) 0.87 (0.12)
Net GM ($/ha) −475 (39) −682 (187)
2020Caniambo
Yield (t/ha)6.1 (0.48)4.9 (0.53)2.0 (0.90)3.8 (0.41) 5.0 (0.62)1.8 (0.22)
GM ($/ha)2456 (228)944 (143)
LER 1.11 (0.09) 1.19 (0.06)
YR 1.12 (0.12) 1.17 (0.07)
VR 1.15 (0.19) 1.15 (0.09)
Net GM ($/ha) −188 (289) −183 (205)
2021Burramine
Yield (t/ha)4.9 (0.99)4.2 (0.45)0.3 (0.12)3.5 (0.70) 1.6 (0.39)2.4 (0.60)
GM ($/ha)1922 (467)773 (121)
LER 0.88 (0.15) 0.88 (0.09)
YR 0.85 (0.14) 0.83 (0.07)
VR 0.76 (0.11) 0.70 (0.05)
Net GM ($/ha) −652 (96) −948 (87)
2021Dookie
Yield (t/ha)6.5 (1.29)3.2 (0.88)2.5 (0.57)2.7 (0.66)3.4 (1.18)1.7 (0.87)5.1 (1.35)0.6 (0.36)
GM ($/ha)2662 (609)480 (236)
LER 1.22 (0.14)1.06 (0.19)0.96 (0.10)
YR 1.28 (0.08)1.05 (0.16)1.00 (0.18)
VR 1.33 (0.09)1.05 (0.20)1.02 (0.21)
Net GM ($/ha) 74 (127)−293 (353)−396 (461)

Appendix F. Tabulated Experimental Results by Site for Lentil and Wheat Mixtures

Lentil and wheat crop productivity recorded under monoculture and various mixture ratios showing the grain or seed yield (t/ha), land equivalent ratio (LER), yield ratio (YR), value ratio (VR) and gross margin for monoculture (GM, $/ha) and mixture net gross margin (NetGM, $/ha) paired with their respective standard errors (in parentheses).
Table A25. Mixtures of lentil and wheat grown at Horsham in northwest Victoria (2020 and 2021).
Table A25. Mixtures of lentil and wheat grown at Horsham in northwest Victoria (2020 and 2021).
Monoculture 1Monoculture 2Mix 25:75Mix 50:50Mix SR 50:50Mix 75:25
YearLentilWheatMix 1Mix 2Mix 1Mix 2Mix 1Mix 2Mix 1Mix 2
2020
Yield (t/ha)4.8 (0.53)7.7 (0.55)0.1 (0.02)7.6 (0.93)0.4 (0.12)6.9 (0.61)0.6 (0.16)6.3 (0.35)0.7 (0.31)7.0 (1.01)
GM ($/ha)3105 (383)1716 (149)
LER 1.01 (0.13)0.98 (0.07)0.96 (0.04)1.05 (0.11)
YR 1.11 (0.14)1.17 (0.09)1.12 (0.05)1.40 (0.16)
VR 0.91 (0.12)0.82 (0.06)0.82 (0.04)0.82 (0.08)
Net GM ($/ha) −1906 (60)−2148 (50)−2063 (76)−2350 (132)
2021
Yield (t/ha)2.5 (0.61)3.0 (0.49)0.3 (0.11)2.8 (0.26)0.6 (0.15)2.5 (0.23)1.2 (0.17)2.8 (0.28)1.3 (0.31)3.0 (0.47)
GM ($/ha)1470 (442)448 (133)
LER 1.09 (0.10)1.16 (0.16)1.40 (0.06)1.44 (0.18)
YR 1.11 (0.10)1.21 (0.17)1.44 (0.07)1.54 (0.20)
VR 0.97 (0.10)0.92 (0.11)1.24 (0.06)1.13 (0.12)
Net GM ($/ha) −703 (57)−827 (72)−532 (75)−699 (139)
Table A26. Mixtures of lentil and wheat grown at satellite sites in northwest Victoria (2020).
Table A26. Mixtures of lentil and wheat grown at satellite sites in northwest Victoria (2020).
Monoculture 1Monoculture 2Mix 25:75Mix 75:25
YearSiteLentilWheatMix 1Mix 2Mix 1Mix 2
2020Curyo
Yield (t/ha)2.7 (0.14)4.7 (0.22)0.1 (0.01)4.5 (0.33)0.4 (0.23)3.5 (0.32)
GM ($/ha)1574 (98)913 (59)
LER 0.98 (0.07)0.88 (0.13)
YR 1.09 (0.08)1.21 (0.14)
VR 0.91 (0.06)0.74 (0.12)
Net GM ($/ha) −1113 (18)−1337 (124)
2020Netherby
Yield (t/ha)1.1 (0.52)4.2 (0.31)0.0 (0.01)3.7 (0.28)0.2 (0.04)3.4 (0.20)
GM ($/ha)442 (379)782 (84)
LER 0.89 (0.07)0.98 (0.07)
YR 1.08 (0.08)1.94 (0.12)
VR 0.98 (0.07)1.29 (0.09)
Net GM ($/ha) −799 (16)−560 (28)

References

  1. Cowger, C.; Weisz, R. Winter wheat blends (mixtures) produce a yield advantage in North Carolina. Agron. J. 2008, 100, 169–177. [Google Scholar] [CrossRef]
  2. Kiær, L.P.; Skovgaard, I.M.; Østergård, H. Grain yield increase in cereal variety mixtures: A meta-analysis of field trials. Field Crop. Res. 2009, 114, 361–373. [Google Scholar] [CrossRef]
  3. Lin, B.B. Resilience in agriculture through crop diversification: Adaptive management for environmental change. BioScience 2011, 61, 183–193. [Google Scholar] [CrossRef]
  4. Makate, C.; Wang, R.; Makate, M.; Mango, N. Crop diversification and livelihoods of smallholder farmers in Zimbabwe: Adaptive management for environmental change. SpringerPlus 2016, 5, 1135. [Google Scholar] [CrossRef]
  5. Sharma, N.K.; Singh, R.J.; Mandal, D.; Kumar, A.; Alam, N.M.; Keesstra, S. Increasing farmer’s income and reducing soil erosion using intercropping in rainfed maize-wheat rotation of Himalaya, India. Agric. Ecosyst. Environ. 2017, 247, 43–53. [Google Scholar] [CrossRef]
  6. Manevski, K.; Børgesen, C.D.; Andersen, M.N.; Kristensen, I.S. Reduced nitrogen leaching by intercropping maize with red fescue on sandy soils in North Europe: A combined field and modeling study. Plant Soil 2015, 388, 67–85. [Google Scholar] [CrossRef]
  7. Johnston, G.; Vaupel, S.; Kegel, F.; Cadet, M. Crop and farm diversification provide social benefits. Calif. Agric. 1995, 49, 10–16. [Google Scholar] [CrossRef]
  8. Zhang, C.; Dong, Y.; Tang, L.; Zheng, Y.; Makowski, D.; Yu, Y.; Zhang, F.; van der Werf, W. Intercropping cereals with faba bean reduces plant disease incidence regardless of fertilizer input; a meta-analysis. Eur. J. Plant Pathol. 2019, 154, 931–942. [Google Scholar] [CrossRef]
  9. Lithourgidis, A.S.; Dordas, C.A.; Damalas, C.A.; Vlachostergiod, D.N. Annual intercrops: An alternative pathway for sustainable agriculture. Aust. J. Crop Sci. 2011, 5, 396–410. [Google Scholar]
  10. Nyawade, S.O.; Karanja, N.N.; Gachene, C.K.; Gitari, H.I.; Schulte-Geldermann, E.; Parker, M. Optimizing soil nitrogen balance in a potato cropping system through legume intercropping. Nutr. Cycl. Agroecosyst. 2020, 12, 1–7. [Google Scholar] [CrossRef]
  11. Latati, M.; Aouiche, A.; Tellah, S.; Laribi, A.; Benlahrech, S.; Kaci, G.; Ouarem, F.; Ounane, S.M. Intercropping maize and common bean enhance microbial carbon and nitrogen availability in low phosphorus soil under Mediterranean conditions. Eur. J. Soil Biol. 2017, 80, 9–18. [Google Scholar] [CrossRef]
  12. Cong, W.-F.; Hoffland, E.; Li, L.; Janssen, B.H.; van der Wert, W. Intercropping affects the rate of decomposition of soil organic matter and root litter. Plant Soil 2015, 391, 399–411. [Google Scholar] [CrossRef]
  13. Njeru, E.M. Crop diversification: A potential strategy to mitigate food insecurity by smallholders in sub-Saharan Africa. J. Agric. Food Syst. Community Dev. 2013, 3, 63–69. [Google Scholar] [CrossRef]
  14. Bedoussac, L.; Journet, E.P.; Hauggaard-Nielsen, H.; Naudin, C.; Corre-Hellou, G.; Jensen, E.S.; Prieur, L.; Justes, E. Ecological principles underlying the increase of productivity achieved by cereal-grain legume intercrops in organic farming. A review. Agron. Sustain. Dev. 2015, 35, 11–935. [Google Scholar] [CrossRef]
  15. Iqbal, N.; Hussain, S.; Ahmed, Z.; Yang, F.; Wang, X.; Liu, W.; Yong, T.; Du, J.; Shu, K.; Yang, W.; et al. Comparative analysis of maize–soybean strip intercropping systems: A review. Plant Prod. Sci. 2019, 22, 131–142. [Google Scholar] [CrossRef]
  16. Mamine, F. Barriers and levers to developing wheat–pea intercropping in Europe: A review. Sustainability 2020, 12, 6962. [Google Scholar] [CrossRef]
  17. Bybee-Finley, K.A.; Ryan, M.R. Advancing Intercropping Research and Practices in Industrialized Agricultural Landscapes. Agriculture 2018, 8, 80. [Google Scholar] [CrossRef]
  18. Kuehne, G.; Llewellyn, R.; Pannell, D.J.; Wilkinson, R.; Dolling, P.; Ouzman, J.; Ewing, M. Predicting farmer uptake of new agricultural practices: A tool for research, extension and policy. Agric. Syst. 2017, 156, 115–125. [Google Scholar] [CrossRef]
  19. Mead, R.; Willey, R.W. The concept of ”Land Equivalent Ratio” and advantages in yields from intercropping. Exp. Agric. 1980, 16, 217–228. [Google Scholar] [CrossRef]
  20. McGilchrist, C.A. Analysis of competition experiments. Biometrics 1965, 21, 975–995. [Google Scholar] [CrossRef]
  21. Khanal, U.; Stott, K.J.; Armstrong, R.; Nuttall, J.G.; Henry, F.; Christy, B.P.; Mitchell, M.; Riffkin, P.A.; Wallace, A.J.; McCaskill, M.; et al. Intercropping—Evaluating the advantages to broadacre systems. Agriculture 2021, 11, 453. [Google Scholar] [CrossRef]
  22. Dowling, A.; Sadras, V.O.; Roberts, P.; Doolette, A.; Zhou, Y.; Denton, M.D. Legume-oilseed intercropping in mechanised broadacre agriculture—A review. Field Crops Res. 2021, 260, 107980. [Google Scholar] [CrossRef]
  23. Dowling, A.; Roberts, P.; Doolette, A.; Zhou, Y.; Denton, M.D. Oilseed-legume intercropping is productive and profitable in low input scenarios. Agric. Syst. 2023, 204, 103551. [Google Scholar] [CrossRef]
  24. Fletcher, A.L.; Kirkegaard, J.A.; Peoples, M.B.; Robertson, M.J.; Whish, J.; Swan, A.D. Prospects to utilise intercrops and crop variety mixtures in mechanised, rainfed, temperate cropping systems. Crop Pasture Sci. 2016, 67, 1252–1267. [Google Scholar] [CrossRef]
  25. Pannell, D. Economic perspectives on nitrogen in farming systems: Managing trade-offs between production, risk and the environment. Soil Res. 2017, 55, 473–478. [Google Scholar] [CrossRef]
  26. Vandermeer, J.H. The Ecology of Intercropping; Cambridge University Press: Cambridge, UK, 1992. [Google Scholar]
  27. PIRSA. Farm Gross Margin and Enterprise Planning Guide: A Gross Margin Template for Crop and Livestock Enterprises. 2022. Available online: https://pir.sa.gov.au/primary_industry/industry_support/farm_gross_margins_and_enterprise_planning_guide (accessed on 17 August 2023).
  28. Giason, A.; (Baker Seed Company, 628 Rutherglen-Springhurst Road, Rutherglen Victoria, Australia). Personal Comunication, 2021.
  29. ABARES. Agricultural Commodity Statistics. 2022. Available online: https://www.agriculture.gov.au/ (accessed on 17 August 2023).
  30. Hardaker, J.B.; Richardson, J.W.; Lien, G.; Schumann, K.D. Stochastic efficiency analysis with risk aversion bounds: A simplified approach. Aust. J. Agric. Resour. Econ. 2004, 48, 253–270. [Google Scholar] [CrossRef]
  31. Hardaker, J.B.; Lien, G.; Anderson, J.R.; Huirne, R.B.M. Coping with Risk in Agriculture: Applied Decision Analysis, 3rd ed.; CABI Publishing: Boston, MA, USA, 2015. [Google Scholar] [CrossRef]
  32. Githui, F.; Jha, V.; Thayalakumaran, T.; Christy, B.P.; O’Leary, G.J. Resource sharing in intercropping models and a case study with APSIM in southern Australia. Eur. J. Agron. 2023, 142, 126680. [Google Scholar] [CrossRef]
  33. Henry, F.; Riffkin, P.; McCaskill, M.; Nuttall, J.; O’Leary, G.J. Old solutions to new problems: Intercropping reduces chocolate spot severity in faba bean. In Proceedings of the 2021 Agronomy Australia Conference, Toowoomba, Australia, 17–21 October 2021. [Google Scholar]
Figure 1. Location of the core and satellite sites showing average annual rainfall isohyets. Trial plots from Inverleigh and Streatham in 2021 suffered pest damage during post-harvest storage and are not reported here. Map generated from QGIS open-source software (https://www.qgis.org/en/site/forusers/download.html, accessed on 7 September 2023), with map outlines sourced from the Victorian Corporate Spatial Data Library and average rainfall from the Australian Bureau of Meteorology.
Figure 1. Location of the core and satellite sites showing average annual rainfall isohyets. Trial plots from Inverleigh and Streatham in 2021 suffered pest damage during post-harvest storage and are not reported here. Map generated from QGIS open-source software (https://www.qgis.org/en/site/forusers/download.html, accessed on 7 September 2023), with map outlines sourced from the Victorian Corporate Spatial Data Library and average rainfall from the Australian Bureau of Meteorology.
Agronomy 13 02510 g001
Figure 2. Historical crop prices ($/t, 2022 equivalent values) delivered end-user basis.
Figure 2. Historical crop prices ($/t, 2022 equivalent values) delivered end-user basis.
Agronomy 13 02510 g002
Figure 3. Relationship between monoculture yield and annual rainfall for barley and wheat (a), canola and lentil (b) and field pea and faba bean (c) grown across all experimental sites from 2019 to 2021. The solid line is fitted against barley, canola and faba bean, and the dotted line is fitted for wheat, lentil and field pea.
Figure 3. Relationship between monoculture yield and annual rainfall for barley and wheat (a), canola and lentil (b) and field pea and faba bean (c) grown across all experimental sites from 2019 to 2021. The solid line is fitted against barley, canola and faba bean, and the dotted line is fitted for wheat, lentil and field pea.
Agronomy 13 02510 g003
Figure 4. The relationship between the land equivalent ratio and aggressivity index for (a) barley-canola, (b) faba bean-canola, (c) field pea-canola, (d) faba bean-wheat, and (e) lentil-wheat across all experimental sites and seasons. Data for each mixture are grouped by annual rainfall terciles, the lowest being tercile 1, middle tercile 2 and highest tercile 3. The aggressivity index indicates whether the first-named crop in each mixture is dominant or not. For example, barley is dominant (AI > 0) in the barley-canola mixture, and wheat is dominant (AI < 0) in the lentil-wheat mixture.
Figure 4. The relationship between the land equivalent ratio and aggressivity index for (a) barley-canola, (b) faba bean-canola, (c) field pea-canola, (d) faba bean-wheat, and (e) lentil-wheat across all experimental sites and seasons. Data for each mixture are grouped by annual rainfall terciles, the lowest being tercile 1, middle tercile 2 and highest tercile 3. The aggressivity index indicates whether the first-named crop in each mixture is dominant or not. For example, barley is dominant (AI > 0) in the barley-canola mixture, and wheat is dominant (AI < 0) in the lentil-wheat mixture.
Agronomy 13 02510 g004
Figure 5. Net gross margin plotted against land equivalent ratio for (a) barley-canola, (b) faba bean-canola, (c) field pea-canola, (d) faba bean-wheat, and (e) lentil-wheat across all experimental sites and seasons. Data for each mixture are grouped by annual rainfall terciles, the lowest being tercile 1, middle tercile 2, and highest tercile 3.
Figure 5. Net gross margin plotted against land equivalent ratio for (a) barley-canola, (b) faba bean-canola, (c) field pea-canola, (d) faba bean-wheat, and (e) lentil-wheat across all experimental sites and seasons. Data for each mixture are grouped by annual rainfall terciles, the lowest being tercile 1, middle tercile 2, and highest tercile 3.
Agronomy 13 02510 g005
Figure 6. Total variable and seed sorting costs for monocultures and intercrops, average for the core sites and all trial years (2019 to 2022).
Figure 6. Total variable and seed sorting costs for monocultures and intercrops, average for the core sites and all trial years (2019 to 2022).
Agronomy 13 02510 g006
Table 1. Physical and economic evaluation metrics used in the evaluation of productivity and profitability. Metrics are for mixtures of two-component crops.
Table 1. Physical and economic evaluation metrics used in the evaluation of productivity and profitability. Metrics are for mixtures of two-component crops.
Metric 1Data RequiredDecision Criteria
Land Equivalent Ratio (LER)
L E R = Y 1 c Y 1 m + Y 2 c Y 2 m
Yields for crop components and monocultures.LER > 1 indicates a positive intercropping response.
Aggressivity Index (AI)
A I = Y 1 c Z 1 c Y 1 m Y 2 c Z 2 c Y 2 m
Yields for crop components and monocultures and the proportional sown area for each crop component.AI > 0 indicates crop 1 is dominant.
AI < 0 indicates crop 2 is dominant.
−1 < AI < 1 indicates compatible species.
AI > 1 indicates crop 1 is aggressive.
AI < −1 indicates crop 2 is aggressive in the mix.
Yield Ratio (YR)
Y R = ( Y 1 c + Y 2 c ) ( Z 1 c Y 1 m + Z 2 c Y 2 m )
Yields for crop components and monocultures and the proportional sown area for each crop component.YR > 1 indicates an intercropping advantage.
Value Ratio (VR)
V R = ( Y 1 c P 1 + Y 2 c P 2 ) ( Z 1 c Y 1 m P 1 + Z 2 c Y 2 m P 2 )
Yields for crop components and monocultures, unit prices and the proportional sown area for each crop component. VR > 1 indicates an intercropping advantage.
Net Gross Margin (NetGM, $/ha)
N e t G M = G M c G M m
where,
G M c = Y 1 c P 1 + Y 2 c P 2 C 3 G M m = { Z 1 C ( Y 1 m P 1 C 1 ) } + { Z 2 C ( Y 2 m P 2 C 2 ) }
Yields for crop components and monocultures, the unit prices and the proportional sown area for each crop component, and activity variable costs.NetGM > 0 indicates an intercropping advantage.
1 Where Y1c or Y2c = Yield of component crops 1 or 2 in a mixture, Y1m or Y2m = Yield of crop 1 or 2 as a monoculture, GMc = Gross Margin from intercropping, GMm = Gross Margin from monoculture with same enterprise mix as in the mixture, P1 and P2 are the expected market prices of crop 1 and 2, C1, C2 and C3 are the variable costs of production for crop 1 and crop 2 and mixtures respectively, Z1c and Z2c = proportional sown area of crop 1 and 2 in the mixture.
Table 2. Target mixture densities for monocultures at core sites (plants/m2).
Table 2. Target mixture densities for monocultures at core sites (plants/m2).
CropWheatBarleyCanolaFaba BeanField PeaLentil
CultivarSheriff CLSparticus CLHyola580 CTPBA BendocPBA ButlerHallmark XT
Hamilton a 180604070
Horsham b160160503055120
Rutherglen c 170603560
a. Same planting densities at Hamilton satellite sites: Willaura, Inverleigh and Streatham. b. Same planting densities at Horsham satellite sites: Wallup, Netherby, Curyo, and Watchupga. c. Same planting densities at Rutherglen satellite sites: Burramine, Dookie, Caniambio.
Table 3. Variable costs for monocrops: Hamilton.
Table 3. Variable costs for monocrops: Hamilton.
MonocultureArea-Based Items ($/ha)Yield-Based Items ($/t)
SeedSowingSprayingHarvestFungicidesInsecticidesHerbicidesMAP 1SOA 1Grain cartageCleaning 2
Barley625065802704948 2535
Canola6350509045155348432535
Faba bean9550609039634248 2535
Field pea68506090244448 2535
Wheat555065803505748 2535
1 MAP is monoammonium phosphate and SOA is sulfate of ammonia. Costs include delivery and application. 2 Cleaning is to “grower-dressed” standard.
Table 4. Variable costs for monocrops: Horsham.
Table 4. Variable costs for monocrops: Horsham.
MonocultureArea-Based Items ($/ha)Yield-Based Items ($/t)
SeedSowingSprayingHarvestFungicidesInsecticidesHerbicidesMAP 1SOA 1Grain cartageCleaning 2
Barley585050652104936 2535
Canola8050508045155336212535
Faba bean805060803924236 2535
Field pea69506080235036 2535
Lentil415060803034136 2535
Wheat445060653505736 2535
1 MAP is monoammonium phosphate and SOA is sulfate of ammonia. Costs include delivery and application. 2 Cleaning is to “grower-dressed” standard.
Table 5. Variable costs for monocrops: Rutherglen.
Table 5. Variable costs for monocrops: Rutherglen.
MonocultureArea-Based Items ($/ha)Yield-Based Items ($/t)
SeedSowingSprayingHarvestFungicidesInsecticidesHerbicidesMAP 1SOA 1Grain cartageCleaning 2
Barley625060652704948 2535
Canola6350508045155348402535
Faba bean955060803924248 2535
Field pea68506080244448 2535
Wheat555060653505748 2535
1 MAP is monoammonium phosphate and SOA is sulfate of ammonia. Costs include delivery and application. 2 Cleaning is to “grower-dressed” standard.
Table 6. Total revenue, activity variable costs and gross margins for monocultures at the core sites based on treatment yields for 2019 to 2021 (indicative 1).
Table 6. Total revenue, activity variable costs and gross margins for monocultures at the core sites based on treatment yields for 2019 to 2021 (indicative 1).
SiteMonocultureYield (t/ha)Crop Price ($/t)Gross Income ($/ha)Activity Variable Costs ($/ha)Gross Margin ($/ha)
HamiltonBarley8.027822158601355
Canola3.862624076871813
Faba bean6.453434058692535
Field pea6.147028837342149
Wheat7.733025268501676
HorshamBarley4.42781233596637
Canola2.862617796011178
Faba bean5.353428537102143
Field pea3.24701490540950
Lentil3.678228465582288
Wheat6.133020067121293
RutherglenBarley7.327820187981220
Canola2.36261466584882
Faba bean4.653424456901755
Field pea4.447020826221460
Wheat6.733022117731439
1 Gross income may not equal yield multiplied by price due to rounding. Similarly, the gross margin may not equal gross income minus the variable costs due to rounding.
Table 7. Strength of the association (linear R2) between NetGM and LER, YR, and VR, and break-even LER and the number of treatments exceeding the threshold for each of these metrics; selected mixtures for all sites and all years.
Table 7. Strength of the association (linear R2) between NetGM and LER, YR, and VR, and break-even LER and the number of treatments exceeding the threshold for each of these metrics; selected mixtures for all sites and all years.
IntercropTotal Number of TreatmentsLERYRVRNetGMBreak-Even LER
R2nR2nR2nn
Barley and Canola450.06170.22320.261801.03
Faba bean and Canola410.68290.88230.8925181.08
Field pea and Canola470.80330.85310.9033201.09
Faba bean and Wheat470.52290.60320.762541.16
Lentil and Wheat120.1860.13120.54301.21
R2 is the coefficient of determination. n is the number of treatments exceeding the threshold for the land equivalent ratio (LER), yield ratio (YR), value ratio (VR), and net gross margin (NetGM). The break-even LER is the intercept estimated for a linear equation relating LER (dependent variable) to NetGM (independent variable).
Disclaimer/Publisher’s Note: The statements, opinions and data contained in all publications are solely those of the individual author(s) and contributor(s) and not of MDPI and/or the editor(s). MDPI and/or the editor(s) disclaim responsibility for any injury to people or property resulting from any ideas, methods, instructions or products referred to in the content.

Share and Cite

MDPI and ACS Style

Stott, K.J.; Wallace, A.J.; Khanal, U.; Christy, B.P.; Mitchell, M.L.; Riffkin, P.A.; McCaskill, M.R.; Henry, F.J.; May, M.D.; Nuttall, J.G.; et al. Intercropping—Towards an Understanding of the Productivity and Profitability of Dryland Crop Mixtures in Southern Australia. Agronomy 2023, 13, 2510. https://doi.org/10.3390/agronomy13102510

AMA Style

Stott KJ, Wallace AJ, Khanal U, Christy BP, Mitchell ML, Riffkin PA, McCaskill MR, Henry FJ, May MD, Nuttall JG, et al. Intercropping—Towards an Understanding of the Productivity and Profitability of Dryland Crop Mixtures in Southern Australia. Agronomy. 2023; 13(10):2510. https://doi.org/10.3390/agronomy13102510

Chicago/Turabian Style

Stott, Kerry J., Ashley J. Wallace, Uttam Khanal, Brendan P. Christy, Meredith L. Mitchell, Penny A. Riffkin, Malcolm R. McCaskill, Frank J. Henry, Matthew D. May, James G. Nuttall, and et al. 2023. "Intercropping—Towards an Understanding of the Productivity and Profitability of Dryland Crop Mixtures in Southern Australia" Agronomy 13, no. 10: 2510. https://doi.org/10.3390/agronomy13102510

APA Style

Stott, K. J., Wallace, A. J., Khanal, U., Christy, B. P., Mitchell, M. L., Riffkin, P. A., McCaskill, M. R., Henry, F. J., May, M. D., Nuttall, J. G., & O’Leary, G. J. (2023). Intercropping—Towards an Understanding of the Productivity and Profitability of Dryland Crop Mixtures in Southern Australia. Agronomy, 13(10), 2510. https://doi.org/10.3390/agronomy13102510

Note that from the first issue of 2016, this journal uses article numbers instead of page numbers. See further details here.

Article Metrics

Back to TopTop