Next Article in Journal
Postharvest Quality Exploration of “Crystal” Grapes in Karst Mountainous Area: Regulatory Effect of High Concentration 1-MCP Fumigation
Previous Article in Journal
Physicochemical Properties, Image Textures, and Relationships between Parameters of Red-Fleshed Apples Collected on Different Harvest Dates
 
 
Font Type:
Arial Georgia Verdana
Font Size:
Aa Aa Aa
Line Spacing:
Column Width:
Background:
Article

Effect of Shading, Substrate, and Container Size on Argania spinosa Growth and Cost–Benefit Analysis

1
Natural Resources and Local Products Research Unit, Regional Center of Agricultural Research of Agadir, National Institute of Agricultural Research, Avenue Ennasr, BP415 Rabat Principale, Rabat 10090, Morocco
2
Laboratory of Biotechnologies and Valorization of Natural Resources, Faculty of Sciences—Agadir, Ibn Zohr University, BP8106 Cité Dakhla, Agadir 80000, Morocco
3
Integrated Crop Production Research Unit, Regional Center of Agricultural Research of Agadir, National Institute of Agricultural Research, Avenue Ennasr, BP415 Rabat Principale, Rabat 10090, Morocco
*
Author to whom correspondence should be addressed.
Agronomy 2023, 13(10), 2451; https://doi.org/10.3390/agronomy13102451
Submission received: 18 July 2023 / Revised: 22 August 2023 / Accepted: 23 August 2023 / Published: 22 September 2023

Abstract

:
The production of argan seedlings in nurseries is considered a crucial step for the success of any argan forest regeneration program since it increases the rate of survival and growth. Therefore, the substrate and container play a vital role in argan seedling production, while the use of shade may improve soil moisture and decrease the water stress of the plant. This study aims to determine the effects of these factors and their interactions. For this, the effects of four shade levels (0%, 20%, 40%, and 80%) and six different compositions of the substrate, as well as four different sizes and forms of containers, on argan seedling production were studied for six months under greenhouse conditions, based on analyzing the leaf mineral elements and measuring morphological traits. According to the studied parameters, the results show that 0% and 40% of shade are, respectively, the best shade levels for growth, while the germination rate is higher only in an unshaded compartment (85.28%). Furthermore, the substrate based on peat moss lead to one of the higher germination rates (78.75%) and the finest plants in terms of chlorophyll content, and shoot and root growth, while the largest container (C2) had the best shoot and root growth with 34.34 cm of root length. However, the mineral analysis, mainly the leaf total nitrogen concentration, is correlated with morphological traits. In addition, the cost–benefit analysis study confirmed this finding and valorizes the use of S1 substrate (1/2 black peat and 1/2 blond peat) and a C2 container (volume: 3100 mL) since it is considered the most efficient and economic combination for different shade levels.

1. Introduction

The argan tree (Arganisa spinosa) is one of the main Moroccan agroforestry trees, aged 80 million years and the only Sapotaceae family still growing in the subtropical zone [1]. It has covered 1.4 million hectares, which makes it the largest forest area in Morocco, although it has now been reduced to 800,000 ha [2,3]. This tree from the genus Argania plays an important socio-economic role in these growing areas since it guarantees the living of many habitants by selling its oil [4]. Argan oil is one of the most expensive oils in the world given its richness in bioactive compounds that can play a protective role against diseases [5,6]. In addition to its use in the food and non-food industries as a nutraceutical and cosmetic product [1], the argan tree has an ecological impact by preventing desertification, conserving biodiversity, and improving soil and water quality [3,7]. However, it faces several threats such as overgrazing [8], overexploitation of the tree for oil extraction due to the high demand from cosmetic companies [9], and a lack of natural regeneration caused by a lower germination rate due to successive years of drought, increasing temperatures, and low rainfall.
The artificial regeneration of the argan tree remains the only solution for the restoration and conservation of the species. This is the most commonly used technique because it is affordable and maintains genetic diversity, which is a key factor for genetic improvement programs. However, the argan tree is known for its difficult propagation [10]. Despite the efforts made by several researchers and the water and forest services, the success rate of argan tree transplantation remains low because of the poor quality of the seedlings produced in nurseries, which is essentially linked to the type of container used, the heterogeneity of the seed germination, the non-use of techniques that promote breaking dormancy, and the right choice of viable seeds. Therefore, the artificial regeneration method is still suffering from a low germination rate due to genotypic reasons, non-viability, and dormancy. The last two causes depend mainly on biotic and abiotic factors such as light, temperature, and soil moisture [11,12,13].
The choice of substrate is a limiting factor that determines the success of young plant production in nurseries. This is because it must fulfill nutritional needs, improve water usage efficiency, provide protection against diseases, and promote robust root development. As a result, this contributes to the successful transplantation and survival of plants in orchards [14]. Various compositions of the substrate (peat moss, compost, perlite, biochar, argan soil, etc.) can be used in argan seedling production depending on the economic cost, environmental attractiveness, and agronomic performance [14,15,16,17,18,19]. Additionally, the improvement of the quality of argan seedlings is also controlled by the container size. De Matta’s study concluded that a small container size affects the root and shoot development as well as the photosynthesis process [20]. Several authors suggest that the use of deep containers allows for the development of long taproots which have an appropriate architecture and biomass to withstand transplantation shocks, which is the key factor in seedling quality and a successful reforestation project [21,22,23]. To control the abiotic and biotic factors, it is mandatory to produce argan seedling under greenhouse conditions that offer a semi-controlling of climate factors as well as the prevention of the access of harmful pests and pathogens. As well, the use of shade has a positive impact on the shoot length and soil moisture, especially in semi-arid and arid areas, and under greenhouse conditions to surpass thermal stress by lowering the evapotranspiration [24,25]. Argan seedlings can face various threats during the post-planting step as well, as shaded plants suffer from a lower development of biomass production and root architecture [24].
The use of shade, substrate mixture based on biochar, perlite, and compost, and containers with a volume surpassing 3100 mL had never been applied in studies related to argan seedling production and germination in the nursery. Therefore, we need to further evaluate the effects of the use of shade, substrate, and container size on argan seedling production (germination rate and plant growth) in the nursery and investigate their interactions, which will lead us to suggest the best treatment for promoting transplantation in orchards.
Cost–benefit analysis (CBA) is a decision-making tool used to determine the productivity and efficiency of a defined production system and can help to allocate resources effectively. Further, it determines the effectiveness of any system depending on the indicators of the results that are achieved or expected and not the monetary value of the results. Generally, the best choice is the system that generates the most effects for the same returns on investments [26].
This paper aims to assess the germination rate, morphological traits, and plant mineral analysis of different combinations of shade, substrate, and container treatments to determine the best combination which would increase the survival and growth rate of argan seedlings in nurseries and, therefore, in the field. As well, this study will be supported by a cost-benefit analysis to determine the most efficient combination as well as the cost of the other combinations.

2. Materials and Methods

2.1. Experimental Design

For this study, two experiments (argan seeds germination and argan seedlings growth) were set up at the same time to determine the best combination of shade percentage, substrate composition, and container size for argan seed germination and argan seedlings growth after 6 months. The experiments were conducted in a semi-controlled greenhouse in the experimental station Melk Zhar (30°02′33.0″ N 9°33′04.0″ W) of the National Institute of Agricultural Research of Morocco (INRA), Regional Center of Agricultural Research of Agadir (CRRA-Agadir). The greenhouse was covered by polyethylene film and an insect-proof net. It was divided into four compartments based on the percentage of shade covering each compartment (0%; 20%, 40%, and 80%), using 80% shade cloth. The seeds of the argan tree were sown in 4 types of containers with different volumes and filled with different compositions of the substrate in 4 different shade percentages. The luminosity was measured by a luxmeter (Lx1332B lighter meter Sanpometeq, Guangdong, China). The environmental conditions inside the greenhouse were different from one compartment to another. For the environmental conditions, a thermohydrometer (Klimaloggpro, TFA Dostman, Wertheim-Reicholzheim, Germany) was used to measure temperature and relative humidity in each compartment. Plants were watered uniformly and twice per week with groundwater obtained from the Melk Zhar experimental well (pH: 7.28, Ec = 1.5 ds/m, Na-K-Ca (ppm) = 40.16–0.23–17.87).

2.2. Treatments

Mature argan fruits were harvested from the trees (12 years old) grown in the experimental station Melk Zher. The fruits were thoroughly washed with tap water then the seeds were exposed to treatment with hot water for 48 h. Subsequently, the treated seeds were sown at 1 cm depth in different types of containers filled with substrate composition which varied based on treatments. The containers used in these experiments varied in size and shape: C1 (cylindrical form, volume: 1800 mL/height: 16 cm/diameter: 12 cm), C2 (cylindrical form, volume: 3100 mL/height: 15 cm/diameter: 17.6 cm), and C3 (cubical form, volume: 1250 mL/height: 12.5 cm/L: 10 cm/L: 10 cm), C4 (cubical form, volume: 1500 mL/height: 13.6 cm/L: 10 cm/L: 11 cm). Containers were filled in with substrate composition that varied based on treatments. In this experiment, six different substrates based on blond peat (BP), black peat (P) (Klasman-Dellman GmbH, Geeste, Germany), argan soil (A) (collected close to argan trees of experimental station Melk Zher), biochar (B), compost (C) (Elephant Vert, Ait Melloul, Morocco) and perlite (PE) (Perlite Inc, Morocco) were tested. The compositions of each substrate are: S1 [BP(½), P(½)]), S2 [A(½), PE(¼), C(¼)], S3 [A(½), P(¼), BP(¼)], S4 [A(¼), PE(¼), C(¼), BP(¼)], S5 [PE(¼, P(¼), C(¼), BP(¼)], and S6 [ B(½), P(¼), Bp(¼)]. A total of 24 treatments (container x substrate) was tested. Each treatment was replicated 30 times in 4 compartments, resulting in 4 shade treatments for both experiments (germination and plant growth).

2.3. Soil Analysis

The pH of different substrates was measured using a pH meter (Consort™ C3010, Angers, France) in the suspension of 10 mL of the substrate and 20 mL of distilled water. Electrical Conductivity (EC) was determined with an EC meter (Consort™ C3010) in suspension with 40 mL of distilled water and 10 mL of the substrate. Sodium, potassium, and calcium contents were determined by flame photometry (BWB XP Flame Photometer, Newbury, UK). Available nitrogen was determined using the Kjeldahl method [27]. Available phosphorus was evaluated using the Olsen method by spectrophotometry (Optizen 3220 UV, Mecasys, Daejeon, South Korea). Substrate organic matter was subjected to weight loss on ignition as described by Schulte et al. [28]. Bulk density is the ratio of the mass (oven-dry weight) of the soil to the bulk volume expressed in grams per cubic cm (g/cm3). In our case, 100 mL of dry material of each substrate was weighed. Soil porosity was calculated with the method of Lamhamedi et al. [29] and soil moisture was calculated according to the black method consisting of the difference in soil weight before and after 24 h of oven drying at 105 °C [30].

2.4. Germination Rate and Plant Growth Parameters Determination

Six months after sowing, the number of emerged seedlings as well as the number of ramifications and the stem diameter at the 1 cm base of the plant by a digital caliper (150 mm ELG tools) were determined. Chlorophyll content was determined by a Chlorophyll meter (CCM30 Opti-Sciences, Hudson, NY, USA). Plants were uprooted from the containers, then roots were washed with tap water to remove the remaining soil. The shoot and root lengths were measured with a 60 cm ruler, and the number of secondary and tertiary roots were counted manually. The main root diameter was measured by a digital caliper. The root system was then separated from the aerial part to measure shoot fresh weight and root fresh weight using an electronic balance (BB Adam, Johannesburg, South Africa). Then, shoot and root dry weight were measured after drying in an oven (Memmert, Schwabach, Germany) for 48 h at 70 °C. The experimental unit for both experiments (germination and plant growth) is 30.

2.5. Leaf Mineral Elements Analysis

Leaf Na, Ca, K, and total phosphorus elements analysis was performed according to Diagayété and Schenkel [31]. First, 0.5 g of the dried leaf sample was incinerated at a temperature of 500 °C for 5 h, then the extraction was carried out by dissolving the ashes in HCl (2N). For phosphorus analyses, aliquots were analyzed using a spectrophotometer (Optizen 3220 UV, Mecasys, Daejeon, South Korea) at 420 nm after colorimetry (ammonium vanadate and ammonium molybdate yellow color method). Furthermore, the determination of Na, Ca, and K was carried out using flame photometry (BWB XP Flame Photometer, Newbury, UK). The total nitrogen of argan leaves was determined by the Kjeldahl method [27].

2.6. Economic Analysis

The economic assessment of the various experiments was monitored by recording the cost of the various inputs and operations carried out throughout the crop cycle. They were then subjected to a comparison to extract the points of similarity and difference between the different driving modes. In case the benefits were not yet apparent, a comparative analysis of the costs by activity or by technique was be carried out. In our case, the main investment costs were greenhouse costs and irrigation system equipment costs. Most of the costs were operational, starting with the substrate, container, shade, irrigation, labor, preparation of pots and seeding, and seeds. Some costs such as investment costs and container costs were amortized. All costs were determined in Moroccan currency MAD (1$ ≈ 10.4 MAD). A survey was conducted to determine the nursery cost and plant price to compare them with our results. The outcome was determined from the results of argan seedling growth parameters based on the experiment conducted on the effects of shade, container, and substrate. To compare the combinations studied with a control which is the most used by the argan growers, we have added to our experiment a combination called S3 based on the substrate 3 [A(½), P(¼), BP(¼)] and a container of a black plastic bag of 2500 mL as a control. The control was introduced as an additional treatment for which the same parameters were measured in the different shade level compartments.

2.7. Statistical Analysis

The obtained data were subjected to a three-way analysis of variance (ANOVA) to determine the effects of shade, substrate, and container and their interaction in each studied parameter. In the case of significant differences between treatments, mean separation analysis by Tukey post hoc test at 5% level was performed. Statistical analyses were performed by the SPSS 22.0 software (IBM, Chicago, IL, USA) for Windows 7. Principal component analysis (PCA) was performed using OriginPro 2023 software (OriginLab) to determine the best treatment related to shade, substrate, and container.

3. Results

3.1. The Effect of Substrate, Container, and Shade on the Argan Seeds Germination

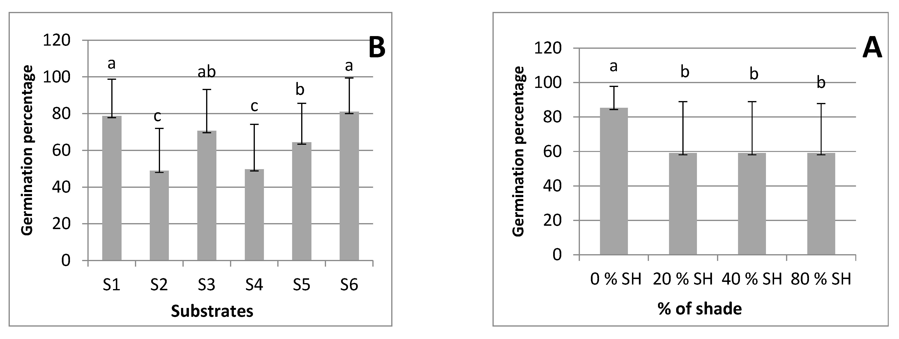
The germination rate was significantly dependent on the shade percentage and substrate composition (p < 0.001). However, the container type did not affect the germination rate (Table 1). The highest germination rate (85.28%) was obtained under the conditions of compartment 1 where no shade was applied (Figure 1A). The use of shade with different percentages significantly affected the germination of the seeds of the argan tree compared to the unshaded compartment. The germination rate dropped by 30.07% for the shaded compartments compared to the unshaded compartment. However, no significant difference was observed between the three shade treatments.
Regarding the effect of the substrate, the highest germination rate was obtained in S6 (81.04%) followed by S1 (78.75%) and S3 (70.63%), while the lowest values were observed in S2 and S4 with a germination rate lower than 50% (48.96% and 49.79%, respectively) (Figure 1B).

3.2. Effect of Shade on Argan Seedling Growth

Shade had a significant effect on all of the studied morphological parameters and the leaf chlorophyll content (p < 0.001) (Table 2). The plants in compartments with 80% shade had the highest mean of shoot length (27.25 cm), while the lowest value was found for the compartments with 20% shade (23.18 cm) (Table 3 and Figure 2). Root length and the number of secondary roots were greater for the compartments covered with 40% and 80% shade, respectively. Yet, the lateral roots were further developed in the compartment with 0% shade. Note that the root diameter had the lowest value (1.56 mm) for the compartment with 80% of shade, while it was developed similarly in the other compartments. Additionally, the biomass production (shoot and root fresh and dry weights) was well developed in the compartments with 0%, and 40% shade, respectively, while the lowest biomass production was measured in plants covered with 80% shade (fresh and dry shoot weight: 2.90 g; 0.99 g/fresh and dry root weight: 0.89 g; 0.29 g, respectively). The shoot diameter was wide (2.16 mm) in the compartment with 0% shade and narrow (1.22 mm) in the 80%-shaded compartment. Regarding the ramification number, the non-shaded plants produced more ramifications (2.36) than the shaded ones (1.62 and 0.41 in 20% and 80% shade, respectively). Moreover, it was revealed that no shade leads to a higher increase in chlorophyll content (375.8 mg/m2), which was 14.88% higher compared to the 80% shade compartment (327.12 mg/m2) and 0.05% higher than the 40% shaded plants (373.66 mg/m2) (Table 3).

3.3. Effect of the Substrate on Argan Seedling Production

3.3.1. Soil Analysis

The results of the soil analysis of different substrates show that there was no significant difference in porosity (Table 4). However, the S2 substrate showed the highest bulk density value compared to S6 and S1, which had the lowest. The highest EC was shown in S6 which was enriched with 50% biochar, followed by S2. The lowest salinity level was recorded in S1 and S3. Most substrates have an adequate pH for plant growth. The Na element content was significantly higher in S6 than in the other substrates. The S4, which contained four substrate compositions with an equal percentage, showed the highest concentrations of K (3.7 ppm) and Ca (57.6 ppm), whereas S3 was poor in K (0.4 ppm) and S2 had a lower amount of Ca (3.63 ppm) compared to the others. The available phosphorus was the highest in S1 (38.18 ppm), followed by S5 (20.83 ppm) and S4 (20.03 ppm). The available nitrogen in the soil was higher in substrates based on peat moss mixed with other compositions such as biochar, soil, perlite, and compost, such as in the cases of S5, S6, and S3. Peat moss alone did not provide higher N compared to other mixes. The substrate S1, based exclusively on two types of peat moss, provided the highest organic matter rate (94.37%), followed by S6 (77.40%) and then S4 (31.62%). However, the lowest OM concentration was recorded in S2 (8.31%), which is made basically of soil, perlite, and compost (2:1:1). The CEC was generally higher in S1, S6, and S3, respectively, compared to the others, while S2 and S4 had the lowest values. The soil moisture analysis revealed that S1 had the best value, followed by S6, while S2 had the weakest one (Table 4).

3.3.2. Effect of the Substrate on Argan Seedling Growth

The substrate composition has a highly significant effect on morphological traits (p < 0.001) and a significant effect on chlorophyll content (p < 0.05) (Table 2). The argan shoot length was the most well-developed in S1 (35.26 cm), followed by S6 (30.14 cm) and S3 (27.35 cm), compared to the remaining substrates, whereas the lowest value was observed in S4 with 18.53 cm (Table 3 and Figure 3). Similarly, the argan root length was greater in S1 and S6, with 32.34 cm and 32.37 cm, respectively, followed by S3 and S5 with root lengths of 27.37 cm and 24.34 cm, respectively. The lowest value was observed in S4, with 18.07 cm. A significant difference was observed in the number of secondary roots, with the highest value being recorded in S6 (29.61), followed by S1 (25.25) and S3 (23.32), respectively, while the lowest value was recorded in S4 (16.13). The number of lateral roots was significantly greater in S1 (21.89) and S6 (21.61) than in S3 (20.34), and the lowest number was observed in S4 (12.78). The root diameter was the highest in S1 (2.98 mm), and the lowest value recorded was for plants sowed in S2 (1.72 cm). There is a clear trend in biomass production values (fresh and dry shoot and root weights) since they have the same pattern. In fact, S1 is considered as the best substrate (mean fresh and dry shoot weight: 8.49 g and 3.16 g; mean fresh and dry root weight: 4.09 g and 1.32 g, respectively) followed by S3 and S6, respectively. The lowest value was observed in S4 (mean fresh and dry shoot weight: 2.27 g and 0.81 g/mean fresh; dry root weight: 1.3 g and 0.33 g, respectively). The shoot diameter was 56.81% higher for substrate S1 (2.07 mm), followed by S3 (1.79 mm) and S6 (1.68 mm), compared to the lowest value for plants, which issued from substrate S2 (1.32 mm). Moreover, a significant difference across substrates for the number of ramification parameters was noted, as S1 had the best value, followed by S6 and S3, respectively. The leaf chlorophyll content results revealed that S1 (385.4 mg/m2) was 16.47% higher than plants from S2, which presented the lowest chlorophyll content (330.9 mg/m2) (Table 3 and Figure 3).

3.4. The Effect of Containers on Argan Seedling Growth

The container type showed a significant effect on most morphological traits and the leaf chlorophyll content (p < 0.001) (Table 2). However, no significant effect of the container on the shoot length was recorded. The argan’s root length planted in C2 was longer (34.34 cm) than the others (Table 3 and Figure 4). The number of secondary roots was 33.86% higher in C1 and C2 compared to C4. Note that the root diameter value was wider in C4 (2.61 mm) and C2 (2.41 mm) than in the other containers. On the other hand, no significant difference was recorded for the number of lateral roots among container sizes. The fresh and dry shoot weights and fresh and dry root weights had the same pattern and showed that C2 had the best value in terms of biomass production compared with the others. The shoot diameter was greater in C3 and C2 than in C4 and C1, respectively. The plants issued from the C2 containers showed a higher number of ramifications (38.46%) compared to C1. On the other hand, C3 was ranked second. The leaf chlorophyll content results revealed that seedlings from the C1 and C3 containers presented a high chlorophyll content (361.86 and 364.20 mg/m2 respectively) compared to C4 (319.29 mg/m2), which had the lowest content (Table 3 and Figure 4).

3.5. Effect of Shade, Substrate, and Container on Argan Seedling Leaf Minerals Accumulation

As shown in the results presented in Table 5, the leaf mineral analysis values had significant differences related to the shade, substrate, and container. Analyses of the sodium accumulation based on the shade level showed that 20% shade presented the highest content (182.09 ppm), followed by 0% shade (75.67 ppm), while the plants grown in 80% shade had the lowest leaf sodium concentration (30.36 ppm) (Table 6). Further, the seedlings grown in container C4 had a Na concentration (113.97 ppm) that was significantly higher than the others. However, no significant effect of the substrate composition was observed on Na accumulation in the leaves. Regarding the potassium accumulation, the leaf analysis showed that the 20%-shaded compartment had the highest value (222.89 ppm), and the lowest value was obtained in the 80%-shaded compartment (49.35 ppm). We note also that the best substrate in terms of potassium accumulation was the S4 substrate (150.34 ppm), followed by S6, S5, and S1. Similarly, for Na, C4 appeared to be the best container (146.06 ppm), followed by the other containers. The calcium accumulation analysis indicated that the best shade percentage was 20% shade (104.12 ppm), then 0% shade (31.66 ppm), while the lowest value was recorded for the 80%-shaded plants. On the other hand, the best substrate in terms of calcium was S2 (51.57 ppm), followed by S6, S3, S1, S4, and S5, respectively. Regarding the total phosphorus, the obtained results confirmed that the best compartment for plants with the greatest phosphorus concentration was 20% shade with a value of 6.71 ppm, which is 30.03% higher compared to the lowest value, recorded in 40% shade. Additionally, with the same is true for the result of Ca and indicates that the S2 substrate presented the highest value (7.15 ppm) compared to the other substrates. Furthermore, based on the P results, the best container was C3 (6.97 ppm), followed by C2 (5.68 ppm). The total nitrogen results differed from the other elements outcomes and indicate that the shadeless compartment was the best one (0.49%), followed by 80% shade (0.43%), while the lowest concentration was found for the plants covered with 40% shade. On the other hand, the best substrate was S6 (0.53%), followed by S1 (0.48%) and S3 (0.47%). The effect of the container size revealed that the plants from C1 had the highest N content (0.50%) compared to the other ones, while C2 had the second best value (Table 6).

3.6. Designate the Best Substrate and Container in Each Shade Percentage

According to the three-way ANOVA analysis (Table 2), the aerial and root part morphological parameters are significantly affected by the three studied factors (substrate, container, and shade percentage). Moreover, most of the measured parameters were affected by substrate, container, and shade interactions. The shoot length was significantly affected by shade × substrate and substrate × container interactions as well as the interaction of the three factors, while shoot diameter was significantly affected by the interaction between the three factors and the shade × substrate interaction. The aerial part biomass production measurements, namely fresh and dry shoot weight, were also significantly dependent on all possible interactions. There was a significant difference between the shade × substrate interaction for the number of ramifications parameter, while the root architecture parameters, including root length, root diameter, and fresh and dry root weight, were significantly affected by all of the possible interactions (shade × substrate, substrate × container, shade × container, and shade × container × substrate), whereas the number of secondary roots was only dependent on the container × substrate interactions. The leaf chlorophyll content was significantly affected by the shade * substrate and shade × container interactions and the interaction between the three factors. For the mineral elements analysis, the argan leaf Na, Ca, total phosphorus, total nitrogen, and K were significantly affected by shade × substrate × container interaction. The shade × substrate interaction significantly affected most of the mineral elements except for total phosphorus. On the other hand, the Na, total phosphorus, and total nitrogen were affected by shade × container and substrate × container interactions. According to the above results, showing the significant effects of interactions between the three factors for most of the parameters studied, we suggest studying the effect of container and substrate for each compartment. Table 7, Table 8 and Table 9 show the results.

3.6.1. No Shaded Compartment

According to the morphological parameters (aerial and root part measurements), substrate S1 was the best, followed by S3 and S6, respectively, while no significant difference was observed regarding the container type for most of the parameters. We found that container C2 was the best container since it ranked first in root length and fresh and dry weight parameters, and second for root diameter and chlorophyll content (Table 7 and Table 8). Also, no significant difference was recorded for the effect of the substrate type for the Na, K, and total phosphorus, but according to leaf Ca concentration and leaf total nitrogen analysis, the best substrate was S1. Knowing that K, Na, total phosphorus, and Ca were not affected by the container size, which only affected the leaf total nitrogen element, the best container was C1. We can conclude that the best container was C2, followed by C1 (Table 9).

3.6.2. Compartment 20% Shaded

Based on the shoot and root measurement, the best substrate was S1, followed by S6 and S3, respectively. In comparison, the best container was C2 since it had the best value in the parameters that were significantly different, such as the shoot diameter, root length, fresh and dry root weight, and fresh and dry shoot weight, while it ranked second for root diameter (Table 7 and Table 8). According to the mineral analysis (Table 9), the plants were not significantly influenced by the substrate composition for the leaf K and total phosphorus analyses, while according to leaf Na concentration, S4 was the best substrate, and S2 had the highest value of Ca element. Based on the total nitrogen, S6 was the best substrate. The Ca and K content were not affected statistically by the container types. If we take Na as a major key factor, we find that C4 was the best container. Regarding the total phosphorus, C3 was the best container, whereas the highest value of total nitrogen was recorded in plants seeded in C1.

3.6.3. Compartment 40% Shaded

Even if we changed the percentage of shade, S1 remained the best substrate, followed by S6 and S3, respectively. C2 also showed its aptitude as the best container based on the morphological parameters that were significantly different, such as the root length, number of secondary roots, and fresh root weights (Table 7 and Table 8). The leaf mineral analysis (Table 9) indicated that the best substrate in this compartment was S1 since it exhibited the highest value of leaf Na and Ca concentration, and the third-best value of total nitrogen, while the remaining mineral elements did not significantly fluctuate within the substrate composition. The best container was C2, based on the total nitrogen, the only element that varied statistically within the container types.

3.6.4. Compartment 80% Shaded

The best substrate was S1, since it had the highest value among most of the parameters studied, followed by S6 and S3, respectively, at the same level. Regarding the container types, it is hard to determine the best container because the highest values differed from one parameter to another, but C2 showed the best value for root length and root diameter, while C3 showed the best values for the shoot diameter and number of ramifications. However, C1 ranked first for the number of secondary roots and fresh root weight parameters (Table 7 and Table 8). Based on the leaf total phosphorus and nitrogen concentrations, the best substrate was S1, while the K and Ca analysis results revealed that S4 was the best. The highest Na value was recorded in S5. For containers, K showed that C4 was the best, while the total nitrogen leaf analysis revealed that C1 and C2 were the best containers (Table 9).
In general, it is shown that substrate S1 was also ranked first among the different compartments while the C2 container had the best morphological parameters in three compartments, excepting the 80%-shaded compartment.

3.7. Principal Component Analysis

Principal component analyses (PCA) were performed to discover any differences between the morphological parameters, leaf chlorophyll content, and leaf mineral analysis among the different parameters that were studied (shade, substrate, and container) and to determine the different correlations between the parameters studied and the several treatments performed.
The first PCA occurred between the container size and morphological traits, leaf chlorophyll content, and leaf mineral elements (Figure 5). The variability of the two main axes was 41.68% and 40.71%. According to the PCA outcomes, plants grown in the C2 container were positioned on the positive side of PC2 and PC1 while plants grown in C1 and C3 were on the negative side of PC2. All of the studied morphological parameters were closely aligned to the C2 container. Na and K were aligned to C4 while Chl, P, and N were related to C1 and C3.
The second PCA was performed between the substrate composition and morphological traits, leaf chlorophyll content, and leaf mineral elements contents (Figure 6). The elements of PC1 and PC2 described 59.47% and 19.45% of the variability in the data, respectively. The chlorophyll content and all morphological parameters were positively correlated. In addition, they are positioned on the positive side of PC1 and are arranged to S1, S6, and S3, respectively, whereas S4 and S5 are positioned on the negative side of PC1 and PC2, with Na and K aligned to them. P, N, and Ca are aligned to S2.
The third PCA was performed to determine the relationship between the shade level and the growth parameters, namely the morphological and leaf chlorophyll content parameters (Figure 7). The variability of the first main axes, PC1 and PC2, was 51.12% and 36.80%, respectively. Morphological parameters, total nitrogen and leaf chlorophyll content are closely arranged in line with the shadeless and 40% shade compartments, respectively. Shoot length was closely aligned to the 80% shade compartment, while most of the leaf mineral content was in line with the 20% shade compartment.

3.8. Cost-Benefit Analysis

The cost–benefit analysis application for our case was based on determining the best combination of substrate and container in each compartment by comparing five major morphological traits that show the seedling quality for each parameter and the cost of production. We chose S3 as a control since it is the combination used by most nursery growers in Morocco and is considered the cheapest one. The following tables (Table 10, Table 11 and Table 12) were issued from a comparison of 24 combinations. Therefore, the best combinations were reported in these tables in order to determine the best treatment (substrate × container) in each compartment.
Table 10 is based on the three combinations which showed the best qualities. Therefore, we will compare them to suggest the best combination. The S1C2 combination seems to be the most expensive and was 62.55% higher than S3, while S3C2 and S3C4 were 55.96% and 34.15% higher, respectively. In terms of germination, S1C2 and S3C4 had the best values, and were 7.41% higher than S3. For the number of secondary roots, S1C2 was again 61.25% higher, followed by S3C4 with a 5.99% value compared to the control. The root diameter results revealed that S3C4, S3C2, and S1C2 were 60.91%, 55.69%, and 47.50% higher than the control, respectively, while the number of ramifications showed that the best value is related to S3C4, followed by S1C2. The fresh shoot and root weight favor S3C2 since it the best value compared to the other treatments. Based on these comparisons, it can be deduced that S3C2 (substrate soil, black peat, and white peat (1/2:1/4:1/4)/container volume: 3100 mL) has the best quality–price ratio in this compartment, while S1C2 seems to be an interesting alternative.
In the second compartment, we determined the six combinations which provided the best-quality seedlings; however, in this comparison, we attempt to determine the most efficient one. Starting with the cost of production, S1C3 was the cheapest one and was 35.27% higher than the control, while S6C1 was the most expensive one (Table 11). The germination rate shows that S6C1 had the highest value, followed by S1C4, and S6C4, which is on the same level as S1C2, respectively. Based on the root diameter, S1C4 had highest value, followed by S6C4 and S1C2, respectively. The root fractions were greater in the S6C1 combination than in S6C4. However, the number of ramifications was lower in all combinations compared with the control, except for S1C2. In addition, the biomass production in terms of fresh plant weight showed that S3C2, S1C3, and S1C2 had the best values compared with the control, while S6C1 had less weight than the control. We can deduce from this comparison that S1C2 (substrate: black peat and white peat (1/2:1/2)/container volume: 3100 mL) was the most efficient combination in a 20%-shade-covered compartment.
In the 40% shade compartment, 5 combinations were chosen from the 24 as the elite ones (Table 12). The germination rate showed negative results, since only the S1C2 combination had a higher rate compared with the control, while the highest plant production cost was for S6C2 and the lowest one was for S1C3. The number of secondary roots showed that S1C2 and S1C3 were 87.77% and 76.82% higher than the control, while the root diameter results showed S1C4 and then S1C1 as having the highest values. Further, the number of ramifications underlining S6C2, S1C3, and S1C2 were 23.42%, 20.57%, and 20.28% higher than the control. The highest values of biomass production (fresh shoot and root weights) were found in S1C3 first for both, then S1C4 for fresh shoot weight and S1C1 for fresh root weight. Based on these various comparisons, it was shown that S1C3 (substrate: black peat and white peat (1:1)/container volume: 1250 mL) had the best qualities overall with the cheapest cost production, followed by S1C2.
In the 80%-shaded compartment, the plant cost production seemed the be the highest due to the cost of the 80% shade covering (Table 13). S6C1 had the second-most expensive production after S6C2, while S1C4 was 31.29% higher than the control. Even though it was considered as the cheapest cost in this table, S1C4 had the second highest germination rate after S6C1. Considering the number of secondary roots, S6C1 and S1C2 were ranked as the best and had values that were two times higher than the control. The root diameter findings showed that only S1C2 and S1C4 were higher than the control. Adding to that, the number of ramifications for the control cannot be used in the comparison since it had a value of zero. However, S1C2 was the best combination followed by S1C1 and S3C1, respectively. For the fresh shoot weight, S1C2 was, again, the best combination, being 52.50% higher than the control, followed by S6C1 with a 47.18% positive difference from than control. Finally, the fresh root weight showed S3C1 to be the best, followed by S1C2. For this compartment, it appeared that S1C2 (substrate: black peat and white peat (1:1)/container volume: 3100 mL) was the most efficient combination.

4. Discussion

4.1. Germination

Argan germination is one of the issues that growers are afraid of since it has multiple fluctuations due to various interactions that affect its rates, such as genotype, dormancy, and viability. According to the above results, argan seed germination was highly impacted by shade, since seeds sown in shade compartments showed almost 60% germination while 85.28% of the germination was recorded in the non-shaded compartment. The results of Alouani and Bani-Aameur [32] and Kołodziejek et al. [33] are in line with our findings, in which the darkness lowered the germination rate and delayed the time to germination. This can be related to the effect of light on the biosynthesis of gibberellic acid (GA3), which plays a stimulating role in seed germination since it inhibits the abscisic acid effect and further dormancy release [34,35]. The findings of Alouani and Bani-Aameur [11] and Ikinci [36] on argan seeds when they applied treatments of GA3 showed that a high GA3 concentration increases argan seed germination. Furthermore, the temperature played a key role in argan germination [37], since it implies seed dormancy and water absorption; therefore, a lower temperature guaranteed by shade use can cause protein denaturation and mitotic failure [38,39]. The germination rate also depended on the composition of the growth media. S6, S1, and S3, respectively, had the greatest germination rate, the commonality between them being that their composition contained more than 50% peat moss (black, and white). The lowest value was recorded in S2, which is based mainly on soil, perlite, and compost (50%, 25%, 25%). Indeed, the physical characteristics of the soil had a great impact on germination, as S6 and S1 were characterized by a lower bulk density compared to S2, which ensures an adequate oxygen concentration related to soil aeration required for argan germination [40,41]. However, this is not the only reason, since the soil microbiological status may affect it as well, such as the case of fusarium attack of seeds. Our results agreed with several studies which report that the composition and granulometry of the substrate are detrimental to the germination rate difference [42,43]. According to Willmensen [44], it is advisable to use a loose substrate, such as in S1 and S6, rather than a compressed substrate, as in the case of S2, for improving the germination rate. On the other hand, the germination rate was not significantly impacted by container treatment.
A lower germination rate in argan was always an issue for nurseries since, in most lifetimes, the rate does not exceed 50% because of dormancy [45,46], non-viability [47], and the origin of the seeds [48]. Dormancy is divided into two categories, exogenous and endogenous [49]. The mother tree of argan seeds is generally the main cause of germination rate variation since it heightens the dormancy and non-viability of seeds. Since argan has a great potential for genetic diversity, the maturity and abscission of fruits [50,51] and the seed dormancy vary from one tree to another. Moreover, the tolerance to some fungi attacks can also differ within trees [52]. A recent study revealed that the argan stone shape correlates with its germination rate because it has a relationship with seed water imbibition, which favors germination [53]. Even if we adopt the option of harvesting fruits from trees to anticipate seed contamination and dormancy issues, many trees support the double production of fruits in one year, which could confound the choice of fruits by the worker [13]. This shows the genetic diversity effect in the argan tree, which complicates its multiplication, especially when adopting the direct sowing of seeds. In addition, argan seeds are also affected by their storage period. An experiment conducted by Alouani and Ban-Aameur [45] showed that seeds stored for one year have a lower germination rate than freshly harvested seeds. This is most likely due to several factors such as RNA degradation as well as seed deterioration [10,54]. The nutshell acts as a barrier since it restricts water, which is necessary for protein and cell organelles hydration; also, the seed coat inhibits oxygen uptake for seed emergence, although some studies have confirmed an increase in the germination rate by removing it [55]. It is advisable to keep the shell to prevent pathogenic attacks [56,57]. Consequently, the application of pre-treatments before sowing seeds, with a hard and solid seed coat, is needed to break dormancy and improve germination [11,58,59]. Indeed, once cracked, the tegument facilitates the humidification of the seed and triggers the germination process [11,57]. On the other hand, human practices can be a crucial factor in the success of germination. Sowing seeds in the wrong orientation can lead to death due to a lack of oxygen [60].

4.2. Effect of Shade

Shade treatment exhibited an increase in the shoot height of the argan tree, with a higher difference between 80%- and 40%-shaded plants versus plants exposed to direct sunlight. These results corroborate the findings of Díaz-Pérez et al. [61] and Ha et al. [62] which recorded an increase in paprika plant height due to shade treatment. The growth by 10–20 cm of Heracleum moellendorffii was also affected by shade treatment in both unfertilized and fertilized conditions [24]. This can be explained by the intention of plants to capture light energy for photosynthesis by regulating their assimilated carbon for vertical growth [63,64]. Some authors explain this growth by the allocation of more photosynthetic products to the elongation of the main stem in order to catch more light [65]. Others explain the increase in height as being due to plant etiolating, which is presumably because the respiring material is lower than the photosynthesizing material, resulting in stem mass accumulation [66]. On the other hand, the shadeless compartment provided us with plants with a higher shoot and root diameter, as well as a higher number of ramifications compared to the shaded compartments (80% and 40%). The biomass production was also higher in the 0%-shaded plants compared to the 80%-shaded ones, but it seems that it did not decline in plants with 40% shade covering. Similarly, Zhu et al. [67] found that shoot weight is not affected by shade, while another study confirmed that plant biomass production is higher in 0% shade than in 60–90%-shaded plants [68]. Yanez et al.’s [69] findings are in line with ours, recording that half-shade and no-shade treatment lead to higher shoot and dry biomass than full shade. This is due to the decline in the photosynthetic capacity and change in enzyme activity [70]. The root architecture is also impacted by the shade. This may be due to the lower thermal conductivity resulting from lower lighting that declines the shaded compartment temperature, then restricts root development [71]. Only the root length trait was higher in the 40%- and 80%-shaded plants compared to 0%. The chlorophyll content is also affected by shade; again, 40% shade covering seems not to have that much of an affect. This result partly agreed with the observations of Kramer and Kozlowski [72] and Tran [73], which affirm that the leaf chlorophyll content is lower in shaded plants compared to non-shaded plants. According to Jiang [74] and Yue et al. [75], there is a positive correlation between chlorophyll content and photosynthesis and growth in terms of biomass production. Chlorophyll is the main factor that is responsible for photosynthetic electronic transport and processes, which begin with the absorption via PSII and PSI of light energy, the NADPH, and ATP generation by photosynthetic electronic transport. These energy molecules enter a process that leads to the production of sugars from CO2, which leads to biomass production [71]. A study indicated that the use of shade affects the productivity of photosynthetic parameters, such as effective photosynthetic radiation and the red to far-red ratio (R/FR) in the crop canopy, resulting in a shade response of the crop [70].
The accumulation of mineral elements in plants depends on several factors, among them, the production conditions in the nursery. In our study, it turned out that the accumulation of mineral elements such as Na, Ca, P, and K was more important in the 20% shade plants and lower in the 80% shade plants. This can be due to the lower osmotic adjustment capacity of the deep-shaded plant [76], while the total nitrogen concentration was high in plants without shade. Our findings agreed with Jensen’s [77] and Carlsson et al.’s [78] results, who found that grasses’ competition for light decreased their growth, therefore limiting N2 fixation at the plant level. Also, the study of Friel and Frieson [79] found significant differences in the effects of different shade treatments on N2 fixation. There is a study that contradicts our findings, about the growth of pines in deep shade leading to an increase in chlorophyll concentration that increases N concentration [80].

4.3. Effect of Container

The use of containers has become vital for seedling production in nurseries due to their benefits of increasing root volume and maintaining sufficient irrigation with an increase in biomass production [71]. The container size treatment results revealed that ensuring a large volume for roots leads to an increase in the amount of branching. This agrees with the finding in the bell pepper experiment, as it highlights a decrease in the amount of lateral shoot growth (branching) because of root restrictions due to a low container size [81]. The small volume limits the rooting mass and space as well as the pore space, resulting in a lower water holding capacity and aeration [82,83]. It also reduces the shoot diameter, biomass production, root length, and root fraction. Studies conducted on tomatoes and wheat show a positive correlation between the increases in pot size and dry matter [84,85]. This can be due to the higher availability of nutrients in growth media that provide improvement in CO2 consumption in growth compared with small containers [86]. As well, it accelerates the leaf conductance and CO2 assimilation rate [87]. Root restriction can lead to transpiration issues [88], while the use of a large container fixes these. In addition, a study points to a linear increase in salvia root and shoot biomass with container size [89]. Red sunset growth traits are relevant in larger pot sizes [90]. Similarly, a study about the growth of avocado seedlings agreed with our findings and suggests that shoot and root biomass increased in a large container due to maintenance of the nutrients during plant growth, while a nutrient deficiency decreased its development in a small one [91]. Segaw et al. [92] found that Sesbania sesban shows a higher root growth (height and biomass) in a large container. The leaf chlorophyll content fluctuated among treatments. Plants with lower root volumes have higher root diameters than others, which agrees with the results of the Coffee arabica experiment [93]. Our study showed that a small pot size leads to short and thick roots, which might be the reason for lower root N uptake. The accumulation of mineral elements, such as Na, K, and Ca, in plants is more important in C4 than in the highest container size (C1, C2). Bar-Tal et al.’s [94] experiment in pepper confirms our results, since a small pot size lead to a decrease in the leaf content of total N, but not in K. On the other hand, the available phosphorus element lowers its accumulation in plant sowing at the lowest container size. Plants grown in large pot sizes (C1 and C2, respectively) contain available nitrogen concentrations that are greater than those of the lowest size. This may be due to the lower ability of roots to absorb the N element required for their growth, and its availability is important, as shown in the results of the soil analysis in some substrates. Therefore, a decrease in pot volume would lead to a N deficiency [93]. Although some morphological traits did not show any significant difference, such as in the case of shoot length and the number of lateral roots, the highest container volume will still be favorable in the post-planting phase of the transplantation project because of the higher survival rate and large roots with fractions, which ensure that these plants will overcome the shock faster than those with small, long roots. The small containers restrict the development of long tap roots which could cause issues in post-planting [95,96].

4.4. Effect of Substrate

The use of growth media to enhance seedling production designated for reforestation programs is one of the most important practices for any transplantation success [91]. In this study, we investigated the impact of six different substrate compositions, and our investigation revealed that the S1 substrate (blond peat (½), peat (½)) shows the best growing traits. Starting from the aerial part, plants growing in S1 have the highest shoot height, shoot diameter, amount of branching, and shoot fresh and dry weight. Therefore, it provides the best root morphological traits, such as root length and diameter, root fraction, and root fresh and dry weight, along with the highest leaf chlorophyll content and total nitrogen. This can be interpreted from the findings in the S1 soil analysis. It has lower salinity and Na concentration, and adequate soil pH for nutrient absorption. Also, this substrate’s composition of black and white peat moss is higher in terms of organic matter and available phosphorus concentration, which has an enormous role in photosynthesis, as it promotes energy transfer and the transport of carbohydrates as well as enzyme regulation [97]. It is also known that loose substrates favor root growth. Peat moss is considered one of the best available water substrates due to its physical properties, which include lower fine particles and higher macrospore proportions [98]. A study of spinach plants showed that plants seeded in peat moss have a higher shoot fresh and dry weight [99]. A recent study on apple rootstock after 11 weeks of growth shows that a substrate composition with 50% peat moss induces an increase in fresh and dry weight biomass as well as plant height [25]. The substrate treatment study for the argan tree revealed two growth medias that can be a substitute to peat moss in high quantities. Knowing that peat moss releases a higher atmospheric emission and is currently limited due to a high demand, which has caused a deterioration of the peatland ecosystem [100], the use of alternative substrates would be beneficial for resource-saving and as sustainable and recyclable resources [101,102]. Biochar, which is made from the thermochemical conversion of waste biomass, has a great capacity for carbon sequestration [103]. S6 and S3 contain only 50% peat, with the use of biochar in S6 and soil in S3. The use of these two growth medias would be advantageous for the environment. As the results show, S6 and S3, respectively, have the second-best morphological traits after S1. Plants in S6 were rich in total nitrogen compared to S1. This is in accordance with the results of an experiment conducted by García-Rodríguez et al. [102], who concluded that the N element in lettuce leaf increased with the increase in the quantity of biochar used. The S6 (with 50% biochar) analysis mainly showed a higher salinity and Na concentration, but this amount did not affect argan plant growth. Another study exhibited that biochar EC’s negative impact on lettuce growth was not observed until a higher mixture of biochar (70%) was used, and it is enriched with nitrogen, organic matter, and calcium with a lower bulk density and very high porosity compared to others. Besides, S6 has an adequate pH for growth that is adjusted due to the addition of biochar [104]. It also minimizes the uptake of toxic elements [105]. Moreover, Biochar is characterized similarly to peat moss by a higher cation exchange capacity, which favors nutrient uptake because of the high surface charge [106,107]. This agrees with our finding about the effect of an increase in the porosity and water holding capacity as well as cation and anion exchange capacity. Besides, the biochar’s effect is linked with its percentage [108]. According to Graber et al. [109], the use of an adequate quantity of biochar in growth media ensures an appropriate medium for microbe development, enhancing plant growth [110]. Similar results were found by Xiang et al. [111], who found that biochar has a significant impact on root systems with a high resistance to drought. A study conducted on argan seedlings shows that biochar application has a great influence on shoot height and diameter [112]. On the other hand, S3 was enriched with total nitrogen and had a balanced distribution of mineral elements. The remaining growth media did not show great potential as good growth media for argan, even with their enrichment of some mineral elements such as in the case of S4 which had a higher quantity of Ca and organic matter. A study reported, for ornamental plants, that there is a negative correlation between the compost concentration in growth media and the root quality [113]. This finding might explain the restricted morphological traits of seedlings in S4, as this mixture was 1/4 compost. We can conclude from the current results that, in the growing of argan seedlings, substrates with high porosity (except for S3) must be avoided. Chong al. [114] reported that the growth of weigela seedlings is related to pore space and not chemical properties. Also, the study confirms that porosity and soil moisture are the main factors in improving plant growth, such as height, number of branches, and diameter, because the substrate should maintain a higher amount of oxygen for root development [115]. The current study indicates that the use of perlite in a mixture with other substrates did not show a significant impact, seeing as S2, S4, and S5 containing 25% perlite did not grow greatly compared to the others. In citrus, it has been shown that the organic matter concentration in soil plays a key role in the availability of nitrogen by blocking its volatilization and minimizing the exchange of nutrients [116]. Additionally, the lower potassium concentration in leaves of the S2 and S3 plants was due to the higher rate of soil in their composition [117]. The availability of mineral elements in the soil is not sufficient for growth, but as already declared, the soil’s physical status affects the mineral inflow in plants, such as in the case of onions, where the low level of soil moisture reduced the root growth and plant potassium assimilation [118]. Even in the S3 growth media soil analysis which showed a lower concentration of mineral elements, the argan plants showed great growth compared to other substrate compositions such as S2, S4, and S5, which reflect that argan seedlings do not need a higher amount of minerals elements; in contrast, the available elements need to be easily absorbed by offering a higher CEC and an adequate pH.
The results obtained regarding the effects of larger containers and substrate composition based on peat are in line with the findings of Al-Menaie et al. [119]. These authors reported that argan seedling production in the nursery, in jiffy pots and growth media based on peat moss, soil, and humus in the ratio 1/2-1/4-1/4, are the best combinations compared with polyethylene pots and growth media with 50% soil, 25% peat moss, and 25% humus. Ferradous et al. [120] reported that boosting a mixture with compost improves the porosity of the soil. The compost quantity needs to be rational for the mixture, as it was shown in their experiments that a decrease in plant height and root and fresh dry weight, in growth media composed of 75% and 100% compost compared to 25% and 0% mixture, was observed. This is consistent with our results which show that S3 was greater than S4, S5, and S2. Another experiment was, again, conducted by Ferradous et al. [120] on effect of the container size, and they again confirmed the impact of larger containers on the growth of argan seedlings. This is also confirmed by Belghazi et al.’s [121] results. Additionally, small containers can lead to root chignon, causing issues for argan trees post-planting [122,123]. On the other hand, Ferradous et al.’s [120] results contradict our results regarding argan leaf analysis, since they did not find any significant relationship between the leaf mineral analysis and substrate and container effect. From S2, S4, and S5 soil analysis, we anticipated that this growth media can boost argan growth, while we observed the opposite, in fact, what was missing is that a higher pH value and lower CEC affect the absorption of mineral elements [106,121]. Peat moss was the best substrate in our findings. Another study revealed that peat moss contains a low nutrient content but a high CEC [123].

4.5. Cost-Benefit Analysis

CBA can be used as a decision support tool such as in ex-post evaluation to assess the economic efficiency of a production system [124]. According to the CBA results, it can be deduced that the use of large-size containers (C2) and growing media based on peat moss has an important effect on the growth of argan seedlings. I the current study, most combinations are mainly composed of black and blond peat, and S1C2 placed first when in 40% shade and 80% shade, and second when in 20% shade (S1C3 was ranked first in this compartment). In the non-shade compartment, S3C2 ranked first. These findings were in line with the results for morphological traits and mineral elements that favored S1 and C2 as the best substrate and container, and our CBA valorized the results since these parameters are correlated with production costs, as they are cheaper, such as in the case of S1. Even though C2 has a higher price and substrate volume capacity, its impact on root and shoot growth compensates for its cost. The choice of morphological parameters such as root diameter, biomass production, and root system are based on studies that show the importance of these parameters in survival prediction and growth in the field [125]. A great root system volume leads to an increase in seedling survival and growth in the field since it guarantees the absorption of minerals and water uptake needed for shoot growth [126,127]. According to our survey, most growers sell argan plants with a price range between 10 MAD to 18 MAD depending on the quality and the number purchased; therefore, our production cost for S1C2 is 3.98 MAD which allows an increase in terms of seedling quality with a lower mortality and a higher germination rate at a cheap price that leads to good profitability for the grower’s investment.

5. Conclusions

This study on the effects of the shade, substrate, and container on argan seedling production has shown interesting results about the importance of peat moss in argan growth and germination. However, the use of these resources may lead to ecosystem degradation and carbon emissions. Therefore, the use of substitutes such as biochar and argan soil is becoming a necessity to decrease the emission of greenhouse gases. The shade treatment did not have a positive effect on germination in the compartments covered with shade, which confirms the importance of light to enhance dormancy breaking, while the use of 40% shade covering has an impact on argan seedling growth. The container treatment did not have any significant effect on the germination rate, while the current study shows the importance of a large pot for root development and seedling growth. Also, this study has shown that there is a significant interaction within this factor across all morphological traits as well as leaf mineral analysis. The cost–benefit analysis study suggests that S1 is the best substrate and that C2, as the largest container, is the best container in terms of growth and economic efficiency. Further investigations are needed in the acclimatization and post-planting steps to ensure the efficiency of this substrate and container for argan’s survival and growth. However, these findings can help nurseries in their choice of efficient growth conditions for argan seedling production.

Author Contributions

Conceptualization, M.K., A.T. and F.E.; methodology, M.K., M.A., M.O., F.E. and A.T.; validation, M.K., M.A. and F.E.; formal analysis, M.O., M.A., A.E.B. and R.Q.; resources, A.M. and R.B.; data curation, M.O., M.K. and M.A.; writing—original draft preparation, M.O.; writing—review and editing, M.K., M.A., F.E. and A.T.; supervision, M.K., M.A., A.T. and F.E. All authors have read and agreed to the published version of the manuscript.

Funding

This publication has been financed with the support of National Agency for the Development of Oasis and Argan Areas (ANDZOA) within the framework of the project for the Development of “Arganiculture” in Vulnerable Zones “DARED”, projects co-financed by the Green Climate Fund (GCF).

Data Availability Statement

All data generated in this work are provided within this manuscript.

Acknowledgments

We are deeply grateful for the technical support provided by Wifaya Ahmed, Sabir Mohamed, the late Hamouch Lahoucine, Abderrahim Amarraque, Abdelkhalek Charkaoui and Ilias Elouahidi. We would also like to extend our thanks to the team at Manarat El Haouz nursery, especially Snoussi Noureddine.

Conflicts of Interest

The authors declare no conflict of interest.

References

  1. Guillaume, D.; Pioch, D.; Charrouf, Z. Argan [Argania spinosa (L.) Skeels] Oil. In Fruit Oils: Chemistry and Functionality; Springer: Berlin/Heidelberg, Germany, 2019; pp. 317–352. [Google Scholar] [CrossRef]
  2. Msanda, F.; El Aboudi, A.; Peltier, J.P. Biodiversité et biogéographie de l’arganeraie marocaine. Cah. Agric. 2005, 14, 357–364. [Google Scholar]
  3. Zrira, S. Some important aromatic and medicinal plants of Morocco. Med. Aromat. Plants World-Afr. 2017, 3, 91–125. [Google Scholar] [CrossRef]
  4. Metougui, M.L.; Mokhtari, M.; Machati, I.; Azeroual, I.; Benlhabib, O. Multiplication végétative de l’arganier (Argania spinosa) par bouturage et par greffage. Rev. Mar. Sci. Agron. Vét. 2017, 5, 428–436. [Google Scholar]
  5. Khallouki, F.; Younos, C.; Soulimani, R.; Oster, T.; Charrouf, Z.; Spiegelhalder, B.; Bartsch, H.; Owen, R.W. Consumption of Argan Oil (Morocco) with Its Unique Profile of Fatty Acids, Tocopherols, Squalene, Sterols and Phenolic Compounds Should Confer Valuable Cancer Chemopreventive Effects. Eur. J. Cancer Prev. 2003, 12, 67–75. [Google Scholar] [CrossRef] [PubMed]
  6. Charrouf, Z.; Guillaume, D. Argan Oil: Occurrence, Composition and Impact on Human Health. Eur. J. Lipid Sci. Technol. 2008, 110, 632–636. [Google Scholar] [CrossRef]
  7. Moukrim, S.; Lahssini, S.; Rhazi, M.; Alaoui, H.M.; Benabou, A.; Wahby, I.; El Madihi, M.; Arahou, M.; Rhazi, L. Climate Change Impacts on Potential Distribution of Multipurpose Agro-Forestry Species: Argania spinosa (L.) Skeels as Case Study. Agrofor. Syst. 2019, 93, 1209–1219. [Google Scholar] [CrossRef]
  8. Ait Aabd, N.; Bouharroud, R.; Tahiri, A.; Wifaya, A.; Mimouni, A.; El Mousadik, A. Genetic Diversity and Breeding of ArganTree (Argania spinosa L. Skeels). In Advances in Plant Breeding Strategies: Nut and Beverage Crops; Springer: Berlin/Heidelberg, Germany, 2019; pp. 31–56. [Google Scholar] [CrossRef]
  9. Charrouf, Z.; Guillaume, D. Argan Oil, the 35-years-of-research Product. Eur. J. Lipid Sci. Technol. 2014, 116, 1316–1321. [Google Scholar] [CrossRef]
  10. Koufan, M.; Mazri, M.A.; Essatte, A.; Moussafir, S.; Belkoura, I.; El Rhaffari, L.; Toufik, I. A Novel Regeneration System through Micrografting for Argania spinosa (L.) Skeels, and Confirmation of Successful Rootstock-Scion Union by Histological Analysis. Plant Cell Tissue Organ Cult. (PCTOC) 2020, 142, 369–378. [Google Scholar] [CrossRef]
  11. Alouani, M.; Bani-Aameur, F. Argan (Argania spinosa (L.) Skeels) Seed Germination under Nursery Conditions: Effect of Cold Storage, Gibberellic Acid and Mother-Tree Genotype. Ann. For. Sci. 2004, 61, 191–194. [Google Scholar] [CrossRef]
  12. Zahidi, A.; Bani-Aameur, F. Argan Seedling Damping-off under Nursery Conditions: Effects of Mother-Tree Genotype, Kernel Origin and Seedling Age. Ecol. Mediterr. 1998, 24, 27–32. [Google Scholar] [CrossRef]
  13. Alouani, M.; Bani-Aameur, F. Limitations actuelles de la production et de la transplantation des plants d’arganier. In Colloque International sur les Ressources Végétales: L’arganier et les plantes des zones arides et semi-arides. Fac. Des Sci. D’agadir 1998, 23-25, 180–184. [Google Scholar] [CrossRef]
  14. Larcher, F.; Scariot, V. Assessment of partial peat substitutes for the production of Camellia japonica. HortScience 2009, 44, 312–316. [Google Scholar] [CrossRef]
  15. Gruda, N. Increasing Sustainability of Growing Media Constituents and Stand-Alone Substrates in Soilless Culture Systems. Agronomy 2019, 9, 298. [Google Scholar] [CrossRef]
  16. Särkkä, L.; Mäkilä, J.; Tahvonen, R.; Reinikainen, O.; Herranen, M. Different peat types as growing media for greenhouse cut rose and tomato—Preliminary trials. Acta Hortic. 2004, 644, 189–192. [Google Scholar] [CrossRef]
  17. Hanna, H.Y. Properly Recycled Perlite Saves Money, Does Not Reduce Greenhouse Tomato Yield, and Can Be Reused for Many Years. HortTechnology 2005, 15, 342–345. [Google Scholar] [CrossRef]
  18. Hanna, H.Y. Reducing Time and Expense to Recycle Perlite for Repeat Use in Greenhouse Tomato Operations. HortTechnology 2010, 20, 746–750. [Google Scholar] [CrossRef]
  19. Rydin, H.; Jeglum, J.K. The Biology of Peatlands, 2nd ed.; Oxford University Press: Oxford, UK, 2013. [Google Scholar]
  20. DaMatta, F.M.; Chaves, A.R.M.; Pinheiro, H.A.; Ducatti, C.; Loureiro, M.E. Drought Tolerance of Two Field-Grown Clones of Coffea Canephora. Plant Sci. 2003, 164, s0168–s9452. [Google Scholar] [CrossRef]
  21. Bainbridge, D.A. Using tree shelters as deep containers. Tree Plant. Notes 2012, 55, 49–54. [Google Scholar]
  22. Zine El Abidine, A.; Bouderrah, M.; Bekkour, A.; Lamhamedi, M.S.; Abbas, Y. Growth and development of seedlings of two cork oak provenances produced in nursery in containers of different depths. Forêt Méditerranéenne 2016, 37, 137–150. [Google Scholar]
  23. De La Fuente, L.; Ovalle, J.; Arellano, E.; Ginocchio, R. Use of Alternative Containers for Promoting Deep Rooting of Native Forest Species Used for Dryland Restoration: The Case of Acacia Caven. iForest—Biogeosci. For. 2017, 10, 776–782. [Google Scholar] [CrossRef]
  24. Youn, W.B.; Hernandez, J.O.; Park, B.B. Effects of Shade and Planting Methods on the Growth of Heracleum moellendorffii and Adenophora divaricata in Different Soil Moisture and Nutrient Conditions. Plants 2021, 10, 2203. [Google Scholar] [CrossRef] [PubMed]
  25. Kim, K.H.; Shawon, M.R.A.; An, J.H.; Lee, H.J.; Kwon, D.J.; Hwang, I.-C.; Bae, J.H.; Choi, K.Y. Effect of Shade Screen on Sap Flow, Chlorophyll Fluorescence, NDVI, Plant Growth and Fruit Characteristics of Cultivated Paprika in Greenhouse. Agriculture 2022, 12, 1405. [Google Scholar] [CrossRef]
  26. Loisier, J.E.A.N. Proposition d’un cadre d’analyse coûts-efficacité pour le choix de systèmes de formation supérieure à distance. Distances 1998, 2, 81–106. [Google Scholar]
  27. Kjeldahl, J. New Method for the Determination of Nitrogen. Sci. Am. 1883, 16, 6470. [Google Scholar] [CrossRef]
  28. Schulte, E.E.; Hopkins, B.G. Estimation of Soil Organic Matter by Weight Loss-On-Ignition. Soil Org. Matter Anal. Interpret. 2015, 46, 21–31. [Google Scholar] [CrossRef]
  29. Lamhamedi, M.S.; Labbé, L.; Margolis, H.A.; Stowe, D.C.; Blais, L.; Renaud, M. Spatial variability of substrate water content and growth of white spruce seedlings. Soil Sci. Soc. Am. J. 2006, 70, 108–120. [Google Scholar] [CrossRef]
  30. Black, C.A. Methods of Soil Analysis: Part I Physical and Mineralogical Properties; American Society of Agronomy: Madison, WI, USA, 1965. [Google Scholar]
  31. Diagayété, M.; Schenkel, H. Composition minérale des ligneux consommés par les ruminants de la zone sahélienne. Rev. D’élevage Médecine Vétérinaire Pays Trop. 1986, 39, 421–424. [Google Scholar]
  32. Alouani, M.; Bani-Aameur, F. Effect of Light on Germination of Argan (Argania spinosa (L.) Skeels) Seeds. Acta Bot. Galica 2003, 150, 59–64. [Google Scholar] [CrossRef]
  33. Kołodziejek, J.; Patykowski, J.; Wala, M. Effect of Light, Gibberellic Acid and Nitrogen Source on Germination of Eight Taxa from Dissapearing European Temperate Forest, Potentillo Albae-Quercetum. Sci. Rep. 2017, 7, 13924. [Google Scholar] [CrossRef]
  34. Skubacz, A.; Daszkowska-Golec, A. Seed dormancy: The complex process regulated by abscisic acid, gibberellins, and other phytohormones that makes seed germination work. In Phytohormones: Signaling Mechanisms and Crosstalk in Plant Development and Stress Responses; InTech: Rijeka, Croatia, 2017; pp. 77–100. [Google Scholar] [CrossRef]
  35. Li, B.; Zhang, P.; Wang, F.; Li, R.; Liu, J.; Wang, Q.; Liu, W.; Wang, B.; Hu, G. Integrated Analysis of the Transcriptome and Metabolome Revealed Candidate Genes Involved in GA3-Induced Dormancy Release in Leymus chinensis Seeds. Int. J. Mol. Sci. 2021, 22, 4161. [Google Scholar] [CrossRef]
  36. Ikinci, A. Effects of the water presoaking duration and gibberellic acid treatments on seed germination of Argania spinosa L. under nursery conditions. Fresenius Environ. Bull. 2014, 23, 138–143. [Google Scholar]
  37. Bouzoubaâ, Z.; El Mousadik, A. Effet de La Température, Du Déficit Hydrique et de La Salinité Sur La Germination de l’Arganier Argania spinosa (L.) Skeels. Acta Bot. Gall. 2003, 150, 321–330. [Google Scholar] [CrossRef]
  38. Simon, E.W.; Minchin, A.; Mcmenamin, M.M.; Smith, J.M. the low temperature limit for seed germination. New Phytol. 1976, 77, 301–311. [Google Scholar] [CrossRef]
  39. Pandey, B.; Choudhary, K.K. Air pollution: Role in climate change and its impact on crop plants. In Climate Change and Agricultural Ecosystems; Woodhead Publishing: Sawston, UK, 2019; pp. 211–247. [Google Scholar] [CrossRef]
  40. Ouhiwa, H. Contribution à l’Etude de la Variabilité des Graines d’Arganier (Argania spinosa) en Rapport avec la Durée de Stockage et la Provenance. Ph.D. Thesis, Institut Agronomique et Vétérinaire Hassan II, Rabat, Morocco, 2008. [Google Scholar]
  41. Yasin, M.; Andreasen, C. Effect of Reduced Oxygen Concentration on the Germination Behavior of Vegetable Seeds. Hortic. Environ. Biotechnol. 2016, 57, 453–461. [Google Scholar] [CrossRef]
  42. Hmouni, D.; Zidane, L.; El Yacoubi, H.; Kaibi, K.; Maskour, F.; Ouallal, I.; Abbas, Y.; Rochdi, A. Multiplication of the argan tree (Argania spinosa L. Skeels) by germination, cuttings and microcuttings. In Proceedings of the 2nd International Argan Congress, Agadir, Morocco, 9–13 December 2013. [Google Scholar]
  43. Magnani, M.F.C.; Cardoso, J.C. Seed germination and substrates for seedlings cultivation of Melocactus zehntneri. Hortic. Bras. 2022, 40, 384–392. [Google Scholar] [CrossRef]
  44. Willumsen, J. Improvement of the physical conditions in peat substrates during the germination of cabbage seeds in organic farming (REFEREED). Acta Hortic. 1997, 450, 183–190. [Google Scholar] [CrossRef]
  45. Schmidt, L.H. Guide to Handling of Tropical and Subtropical Forest Seed; Danida Forest Seed Centre: Copenhagen, Denmark, 2000; pp. 263–303. Available online: https://citeseerx.ist.psu.edu/viewdoc/download?doi=10.1.1.706.5441&rep=rep1&type=pdf (accessed on 12 January 2023).
  46. Alouani, M.; Bani-Aameur, F. Viabilité et vieillissement des semences d’arganier (Argania spinosa (L.) Skeels). Afr. Sci. Rev. Int. Sci. Technol. 2014, 10, 245–255. [Google Scholar]
  47. Alouani, M.; Bani-Aameur, F. Des propositions pour améliorer la levée des plants de l’arganier en pépinières. In Colloque International sur les Ressources Végétales: L’arganier et les Plantes des Zones Arides et Semi-Arides, (Abstract); Faculté des Sciences d’Agadir: Agadir, Morocco, 1998; pp. 112–113. [Google Scholar] [CrossRef]
  48. Ouallal, I.; Ouajdi, M.; Kerdouh, B.; Sanguin, H.; Rochdi, A.; Abbas, Y. Characterization of mycorrhizal resources for the safeguard of the argan forest ecosystem: A tool for modern biotechnology for the regeneration of the argan tree (Argania spinosa L). In Proceedings of the 2nd International Argan Congress, Agadir, Morocco, 9–13 December 2013. [Google Scholar]
  49. Hartmann, H.T.; Rester, D.E.; Davies, F.T. Plant Propagation Principles and Practices; Prentice Hall International: Singapore, 1990; p. 647. [Google Scholar]
  50. Ferradous, A.; Hafidi, M. Production de Plants d’arganier (Argania Spinosa) Au Maroc: Choix Du Conteneur et Du Substrat. Bois For. Trop. 2018, 334, 37. [Google Scholar] [CrossRef]
  51. Bani-Aameur, F.; Louali, L.; Dupuis, P. Maturation et chute des fruits de l’arganier. Actes L’institut Agron. Vétérinaire Hassan II 1998, 18, 137–144. [Google Scholar]
  52. Zahidi, A.; Bani-Aameur, F. Germination des amandes d’arganier (Argania spinosa (L.) Skeels): Effet du génotype, de la date de semis et de l’année de récolte. Ann. Rech. For. Maroc 1997, 30, 2–16. [Google Scholar]
  53. Berka, S.; Harfouche, A. Effets de quelques traitements physico-chimiques et de la température sur la faculté germinative de la graine d’arganier. Rev. For. Française 2001, 53, 125–130. [Google Scholar] [CrossRef]
  54. Fleming, M.B.; Richards, C.M.; Walters, C. Decline in RNA Integrity of Dry-Stored Soybean Seeds Correlates with Loss of Germination Potential. J. Exp. Bot. 2017, 68, 2219–2230. [Google Scholar] [CrossRef] [PubMed]
  55. Nouaim, R.; Mangin, G.; Breuil, M.C.; Chaussod, R. The argan tree (Argania spinosa) in Morocco: Propagation by seeds, cuttings and in-vitro techniques. Agrofor. Syst. 2002, 54, 71–81. [Google Scholar] [CrossRef]
  56. Bani-Aameur, F.; Alouani, M. Viabilité et Dormance Des Semences d’arganier (Argania spinosa (L.) Skeels). Ecol. Mediterr. 1999, 25, 75–86. [Google Scholar] [CrossRef]
  57. Hamani, Z.; Belloufa, A.; Kaid-Harche, M. Effect of harvest time and seed coat on germination of Argania spinosa (L.) Skeels. Range Manag. Agrofor. 2018, 39, 72–76. [Google Scholar]
  58. El Mandouri, F.Z.; Abidli, Z.; Benyahia, H.; Benkirane, R. Knowledge and consumption of argan oil (Argania spinosa L. Skeels). Plant Cell Biotechnol. Mol. Biol. 2019, 8, 910–916. [Google Scholar]
  59. Ouswati, S.A.; Hachemi, A.; Moumni, A.; Zine, H.; Elgadi, S.; Belghazi, T.; Ouhammou, A.; Lahrouni, A.; EL Messoussi, S. Argan (Argania spinosa (L.) Skeels) seed germination under some pretreatments of thermal shocks. Kastamonu Univ. J. For. Fac. 2022, 22, 56–67. [Google Scholar] [CrossRef]
  60. Hammed, L.A.; Aliyu, O.M.; Dada, K.E.; Egbewale, S.O. Cultivar type and nut-sowing orientation influence germination and plant vigor in cashew (Anacardium occidentale L.). Int. J. Fruit Sci. 2013, 14, 69–80. [Google Scholar] [CrossRef]
  61. Díaz-Pérez, J.C. Bell Pepper (Capsicum annum L.) Crop as Affected by Shade Level: Microenvironment, Plant Growth, Leaf Gas Exchange, and Leaf Mineral Nutrient Concentration. HortScience 2013, 48, 175–182. [Google Scholar] [CrossRef]
  62. Ha, J.B.; Lim, C.S.; Kang, H.Y.; Kang, Y.S.; Hwang, S.J.; Mun, H.S.; An, C.G. Effect of Shading Methods on Growth and Fruit Quality of Paprika in Summer Season. J. Bio-Environ. Control. 2012, 21, 419–427. [Google Scholar] [CrossRef]
  63. King, D.A. The Adaptive Significance of Tree Height. Am. Nat. 1990, 135, 809–828. [Google Scholar] [CrossRef]
  64. Franklin, O.; Harrison, S.P.; Dewar, R.; Farrior, C.E.; Brännström, Å.; Dieckmann, U.; Pietsch, S.; Falster, D.; Cramer, W.; Loreau, M.; et al. Organizing Principles for Vegetation Dynamics. Nat. Plants 2020, 6, 444–453. [Google Scholar] [CrossRef]
  65. Wang, Y.; Huang, R.; Zhou, Y. Effects of Shading Stress during the Reproductive Stages on Photosynthetic Physiology and Yield Characteristics of Peanut (Arachis hypogaea Linn.). J. Integr. Agric. 2021, 20, 1250–1265. [Google Scholar] [CrossRef]
  66. Manders, P.T. The Effects of Shading on Nursery Grown Seedlings of the Clanwilliam Cedar. For. J. 1986, 138, 15–22. [Google Scholar] [CrossRef]
  67. Zhu, J.J.; Qiang, P.E.N.G.; Liang, Y.L.; Xing, W.U.; Hao, W.L. Leaf gas exchange, chlorophyll fluorescence, and fruit yield in hot pepper (Capsicum anmuum L.) grown under different shade and soil moisture during the fruit growth stage. J. Integr. Agric. 2012, 11, 927–937. [Google Scholar] [CrossRef]
  68. Pierson, E.A.; Mack, R.N.; Black, R.A. The effect of shading on photosynthesis, growth, and regrowth following defoliation for Bromus tectorum. Oecologia 1990, 84, 534–543. [Google Scholar] [CrossRef] [PubMed]
  69. Yáñez, M.; Gómez, P.; Gajardo, J.; Espinoza, S. Growth and Physiological Acclimation to Shade in Young Plants of Adesmia Bijuga Phil., a Critically Endangered Species in Central Chile. iForest—Biogeosci. For. 2021, 14, 307–312. [Google Scholar] [CrossRef]
  70. Yao, X.; Zhou, H.; Zhu, Q.; Li, C.; Zhang, H.; Wu, J.-J.; Xie, F. Photosynthetic Response of Soybean Leaf to Wide Light-Fluctuation in Maize-Soybean Intercropping System. Front. Plant Sci. 2017, 8, 1695. [Google Scholar] [CrossRef]
  71. Kim, J.K.; Shawon, M.R.A.; An, J.H.; Yun, Y.J.; Park, S.J.; Na, J.K.; Choi, K.Y. Influence of substrate composition and container size on the growth of tissue culture propagated apple rootstock plants. Agronomy 2021, 11, 2450. [Google Scholar] [CrossRef]
  72. Li, Y.; Shi, D.; Li, G.; Zhao, B.; Zhang, J.; Liu, P.; Ren, B.; Dong, S. Maize/Peanut Intercropping Increases Photosynthetic Characteristics, 13C-Photosynthate Distribution, and Grain Yield of Summer Maize. J. Integr. Agric. 2019, 18, 2219–2229. [Google Scholar] [CrossRef]
  73. Tran, T. The Effect of Light Exposure on the Total Chlorophyll Content, Chl a/b Ratio, and Car/Chl Ratio in the Barks of Fraxinus Latifolia Seedlings. Bachelor’s Thesis, Portland State University, Portland, OR, USA, 2018; p. 575. [Google Scholar] [CrossRef]
  74. Jiang, C.-D.; Wang, X.; Gao, H.-Y.; Shi, L.; Chow, W.S. Systemic Regulation of Leaf Anatomical Structure, Photosynthetic Performance, and High-Light Tolerance in Sorghum. Plant Physiol. 2011, 155, 1416–1424. [Google Scholar] [CrossRef] [PubMed]
  75. Yue, C.; Wang, Z.; Yang, P. Review: The Effect of Light on the Key Pigment Compounds of Photosensitive Etiolated Tea Plant. Bot. Stud. 2021, 62, 21. [Google Scholar] [CrossRef]
  76. Pardos, M.; Jiménez, M.D.; Aranda, I.; Puértolas, J.; Pardos, J.A. Water Relations of Cork Oak (Quercus suber L.) Seedlings in Response to Shading and Moderate Drought. Ann. For. Sci. 2005, 62, 377–384. [Google Scholar] [CrossRef]
  77. Jensen, E. Grain yield, symbiotic N2-fixation and interspecific competition for inorganic N in pea-barley intercrops. Plant Soil 1996, 182, 25–38. [Google Scholar] [CrossRef]
  78. Carlsson, G.; Palmborg, C.; Jumpponen, A.; Scherer-Lorenzen, M.; Högberg, P.; Huss-Danell, K. N2 fixation in three perennial Trifolium species in experimental grasslands of varied plant species richness and composition. Plant Ecol. 2009, 205, 87–104. [Google Scholar] [CrossRef]
  79. Friel, C.A.; Friesen, M.L. Legumes Modulate Allocation to Rhizobial Nitrogen Fixation in Response to Factorial Light and Nitrogen Manipulation. Front. Plant Sci. 2019, 10, 1316. [Google Scholar] [CrossRef] [PubMed]
  80. Evans, C.A.; Miller, E.K.; Friedland, A.J. Effect of nitrogen and light on nutrient concentrations and associated physiological responses in birch and fir seedlings. Plant Soil 2001, 236, 197–207. [Google Scholar] [CrossRef]
  81. NeSmith, D.S.; Bridges, D.C.; Barbour, J.C. Bell Pepper Responses to Root Restriction. J. Plant Nutr. 1992, 15, 2763–2776. [Google Scholar] [CrossRef]
  82. Peterson, T.A.; Reinsel, M.D.; Krizek, D.T. Tomato (Lycopersicon esculentum Mill., Cv. ‘Better Bush’) Plant Response to Root Restriction. J. Exp. Bot. 1991, 42, 1233–1240. [Google Scholar] [CrossRef]
  83. Mathers, H.M.; Lowe, S.B.; Scagel, C.; Struve, D.K.; Case, L.T. Abiotic Factors Influencing Root Growth of Woody Nursery Plants in Containers. HortTechnology 2007, 17, 151–162. [Google Scholar] [CrossRef]
  84. Wheeldon, C.D.; Walker, C.H.; Hamon-Josse, M.; Bennett, T. Wheat Plants Sense Substrate Volume and Root Density to Proactively Modulate Shoot Growth. Plant Cell Environ. 2020, 44, 1202–1214. [Google Scholar] [CrossRef] [PubMed]
  85. Ozores-Hampton, M.; Frasca, A.C.; Scott, J.; Hutton, S. Compact Growth Habit Tomatoes. EDIS 2014, 49, 1529–1536. [Google Scholar] [CrossRef]
  86. Sage, R.F. Acclimation of Photosynthesis to Increasing Atmospheric CO2: The Gas Exchange Perspective. Photosynth. Res. 1994, 39, 351–368. [Google Scholar] [CrossRef] [PubMed]
  87. Rieger, M.; Marra, F. Responses of Young Peach Trees to Root Confinement. J. Am. Soc. Hortic. Sci. 1994, 119, 223–228. [Google Scholar] [CrossRef]
  88. Tschaplinski, T.J.; Blake, T.J. Effects of Root Restriction on Growth Correlations, Water Relations and Senescence of Alder Seedlings. Physiol. Plant. 1985, 64, 167–176. [Google Scholar] [CrossRef]
  89. Van Iersel, M. Root restriction effects on growth and development of salvia (Salvia splendens). HortScience 1997, 32, 11861190. [Google Scholar] [CrossRef]
  90. Newby, A.; Fare, D.C. Maple growth affected by container and liner size. In Proceedings of the Southern Nursery Association Research Conference, Atlanta, GA, USA, 22–23 July 2001; pp. 113–116. [Google Scholar]
  91. Abebe, H. Effects of Pot Size and Planting Media on the Early Seedling Growth Performance of Azadirachta indica A. Juss. J. Plant Sci. 2021, 9, 208. [Google Scholar] [CrossRef]
  92. Segaw, H.A.; Tura, F.S.; Gobelle, S.K.; Komicho, D.N.; Gifawesen, S.T. Evaluation of the effect of different pot sizes and growing media on the seedling growth morphology of Cajanus cajan and Sesbanian sesban in dryland areas, Southern parts of Ethiopia. J. Biol. Agric. Healthc. 2016, 6, 23. [Google Scholar]
  93. Ronchi, C.P.; DaMatta, F.M.; Batista, K.D.; Moraes, G.A.B.K.; Loureiro, M.E.; Ducatti, C. Growth and Photosynthetic Down-Regulation in Coffea Arabica in Response to Restricted Root Volume. Funct. Plant Biol. 2006, 33, 1013. [Google Scholar] [CrossRef]
  94. Bar-Tal, A.; Bar-Yosef, B.; Kafkafi, U. Pepper Transplant Response to Root Volume and Nutrition in the Nursery. Agron. J. 1990, 82, 989–995. [Google Scholar] [CrossRef]
  95. Garcia, L. Post-Transplant Establishment and Economic Value of Three Tree Species from Five Container Sizes. Ph.D. Thesis, Texas A&M University, College Station, TX, USA, 2015. [Google Scholar]
  96. Lambert, B.; Harper, S.; Robinson, S. Effect of Container Size at Time of Planting on Tree Growth Rates for Baldcypress [Taxodium distichum (L.) Rich], Red Maple (Acer rubrum L.), and Longleaf Pine (Pinus palustris Mill.). Arboric. Urban For. 2010, 36, 93–99. [Google Scholar] [CrossRef]
  97. Hu, Y.; Schmidhalter, U. Drought and Salinity: A Comparison of Their Effects on Mineral Nutrition of Plants. J. Plant Nutr. Soil Sci. 2005, 168, 541–549. [Google Scholar] [CrossRef]
  98. Fields, J.S.; Fonteno, W.C.; Jackson, B.E.; Heltman, J.L.; Owen, J.S. Hydrophysical properties, moisture retention, and drainage profiles of wood and traditional components for greenhouse substrates. HortScience 2014, 49, 827–832. [Google Scholar] [CrossRef]
  99. Barcelos, C.; Machado, R.M.A.; Alves-Pereira, I.; Ferreira, R.; Bryla, D.R. Effects of Substrate Type on Plant Growth and Nitrogen and Nitrate Concentration in Spinach. Int. J. Plant Biol. 2016, 7, 6325. [Google Scholar] [CrossRef]
  100. Ceglie, F.G.; Bustamante, M.A.; Amara, M.B.; Tittarelli, F. The challenge of peat substitution in organic seedling prduction: Optimization of growing media formulation through mixture design and response surface analysis. PLoS ONE 2015, 10, e0128600. [Google Scholar] [CrossRef] [PubMed]
  101. Jindo, K.; Sánchez-Monedero, M.A.; Mastrolonardo, G.; Audette, Y.; Higashikawa, F.S.; Silva, C.A.; Akashi, K.; Modini, C. Role of biochar in promoting circular economy in the agriculture sector. Part 2: A review of the biochar roles in growing media, composting and as soil amendment. Chem. Biol. Technol. Agric. 2020, 7, 16. [Google Scholar] [CrossRef]
  102. García-Rodríguez, Á.F.; Moreno-Racero, F.J.; García de Castro Barragán, J.M.; Colmenero-Flores, J.M.; Greggio, N.; Knicker, H.; Rosales, M.A. Influence of Biochar Mixed into Peat Substrate on Lettuce Growth and Nutrient Supply. Horticulturae 2022, 8, 1214. [Google Scholar] [CrossRef]
  103. Rawat, J.; Saxena, J.; Sanwal, P. Biochar: A Sustainable Approach for Improving Plant Growth and Soil Properties. In Biochar an Imperative Amendment for Soil and the Environment; IntechOpen: London, UK, 2019. [Google Scholar] [CrossRef]
  104. Amery, F.; Debode, J.; Ommeslag, S.; Visser, R.; De Tender, C.; Vandecasteele, B. Biochar for circular horticulture: Feedstock related effects in soilless cultivation. Agronomy 2021, 11, 629. [Google Scholar] [CrossRef]
  105. Alam, I.; Alam, M.; Khan, A.; Haq, S.U.; Ayaz, A.; Jalal, A.; Bhat, J.A. Biochar supplementation regulates growth and heavy metal accumulation in tomato grown in contaminated soils. Physiol. Plant. 2021, 173, 340–351. [Google Scholar] [CrossRef]
  106. Heiskanen, J.; Hagner, M.; Ruhanen, H.; Mäkitalo, K. Addition of recyclable biochar, compost and fibre clay to the growth medium layer for the cover system of mine tailings: A bioassay in a greenhouse. Environ. Earth Sci. 2020, 79, 422. [Google Scholar] [CrossRef]
  107. Hossain, Z.; Bahar, M.; Sarkar, B.; Donne, S.W.; Ok, Y.S.; Palansooriya, K.N.; Kirkham, M.B.; Chowdhury, S.; Bolan, N. Biochar and its importance on nutrient dynamics in soil and plant. Biochar 2020, 2, 379–420. [Google Scholar] [CrossRef]
  108. Kiralan, M.; Ketenoglu, O. Utilization of tomato (Solanum lycopersicum) by-products: An overview. In Mediterranean Fruits Bio-Wastes; Springer: Berlin/Heidelberg, Germany, 2022; pp. 799–818. [Google Scholar] [CrossRef]
  109. Graber, E.R.; Harel, Y.M.; Kolton, M.; Cytryn, E.; Silber, A.; David, D.R.; Tsechansky, L.; Borenshtein, M.; Elad, Y. Bichar impact on development and productivity of pepper and tomato grown in fertigated soilless media. Plant Soil 2010, 337, 481–496. [Google Scholar] [CrossRef]
  110. Wong, J.W.; Ogbonnaya, U.O. Biochar porosity: A nature-based dependent parameter to deliver microorganisms to soils for land restoration. Environ. Sci. Pollut. Res. 2021, 28, 46894–46909. [Google Scholar] [CrossRef] [PubMed]
  111. Xiang, Y.; Deng, Q.; Duan, H.; Guo, Y. Effects of Biochar Application on Root Traits: A Meta-Analysis. GCB Bioenergy 2017, 9, 1563–1572. [Google Scholar] [CrossRef]
  112. El Moussaoui, H.; Bouqbis, L. Interactive Effect of Biochar and Bio-Compost on Starting Growth and Physiologic Parameters of Argan. Sustainability 2022, 14, 7270. [Google Scholar] [CrossRef]
  113. Garcia-Gomez, A. Growth of Ornamental Plants in Two Composts Prepared from Agroindustrial Wastes. Bioresour. Technol. 2002, 83, 81–87. [Google Scholar] [CrossRef]
  114. Chong, C.; Cline, R.A.; Rinker, D.L. Bark- and Peat-Amended Spent Mushroom Compost for Containerized Culture of Shrubs. HortScience 1994, 29, 781–784. [Google Scholar] [CrossRef]
  115. Wever, G.; Baas, R.; Marques, J.C.; Van Aanholt, L.J. Gas concentration measurement in horticultural growing media. Acta Hortic. 1997, 554, 149–156. [Google Scholar] [CrossRef]
  116. Tu, A.; Xie, S.; Zheng, H.; Li, H.; Li, Y.; Mo, M. Long-term effects of living grass mulching on soil and water conservation and fruit yield of citrus orchard in south China. Agric. Water Manag. 2021, 252, 106897. [Google Scholar] [CrossRef]
  117. Mulder, D. Les elements mineurs en culture fruitiere. In Convegno Nazionale Fruitticoltura; Montana de Saint Vincent: Florence, Italy, 1953; pp. 118–198. [Google Scholar]
  118. Kuchenbuch, R.; Claassen, N.; Jungk, A. Potassium Availability in Relation to Soil Moisture. Plant Soil 1986, 95, 221–231. [Google Scholar] [CrossRef]
  119. Al-Menaie, H.S.; Bhat, N.R.; El-Nil, M.A.; Al-Dosery, S.M.; Al-Shatti, A.A.; Gamalin, P.; Suresh, N. Seed germination of Argan (Argania spinosa L.). Am.-Eurasian J. Sci. Res. 2007, 2, 1–4. [Google Scholar]
  120. Ferradous, A.; Bani-Aameur, F.; Dupuis, P. Climat stationnel, phénologie et fructification de l’arganier (Argania spinosa (L.) Skeels). Actes L’institutagronomique Vétérinaire Hassan II 1996, 17, 51–60. [Google Scholar]
  121. Belghazi, B.; Ourous, O.; Ponette, Q.; Dallahi, Y. La problématique de la régénération de l’arganier: Quelle innovation en matière de production de plants de qualité ? In Proceedings of the Premier Congrès International de l’Arganier, Agadir, Morocco, 15–17 December 2011; pp. 155–167. Available online: www.inra.org.ma/Docs/actesarganier/arganier155164.pdf (accessed on 25 March 2023).
  122. Lemaire, F.; Dartigues, A.; Rivière, L.M.; Charpentier, S. Cultures en Pots et Conteneurs: Principes Agronomiques et Applications; INRA: Paris, France, 1989; p. 210. [Google Scholar]
  123. Landis, T.D.; Luna, T.; Dumroese, R.K. Nursery Manual: A Guide to Starting and Operating a Nursery for Native and Traditional Plants. In Agriculture Handbook 732; US Department of Agriculture, Forest Service: Washington, DC, USA, 2014; pp. 123–140. Available online: https://www.fs.usda.gov/treesearch/pubs/46345 (accessed on 17 July 2023).
  124. Krugman, P.; Wells, R. Chapitre 9. La prise de décisions par les individus et les firmes in Microéconomie, 2è édition, traduction de la 3è édition américaine par Laurent Baechler. Boeck 2013, 3, 409–436. [Google Scholar]
  125. Ivetić, V.; Devetaković, J.; Maksimović, Z. Initial Height and Diameter Are Equally Related to Survival and Growth of Hardwood Seedlings in First Year after Field Planting. Reforesta 2016, 2, 6–21. [Google Scholar] [CrossRef]
  126. Córdoba, R.D.; Vargas, H.J.J.; López, U.J.; Muñoz, O.A. Root growth in young plants of Pinus pinceana Gordon in response to soil moisture. Agrociencia 2011, 45, 493–506. Available online: http://www.scielo.org.mx/pdf/agro/v45n4/v45n4a8.pdf (accessed on 23 March 2023).
  127. Grossnickle, S.C.; MacDonald, J.E. Seedling quality: History, application, and plant attributes. Forests 2018, 9, 283. [Google Scholar] [CrossRef]
Figure 1. The effect of shade (A) and substrate (B) on the germination percentage of argan seeds after six months in a semi-controlled greenhouse. Histograms with the same letters are not significantly different at 5% level of Tukey test.
Figure 1. The effect of shade (A) and substrate (B) on the germination percentage of argan seeds after six months in a semi-controlled greenhouse. Histograms with the same letters are not significantly different at 5% level of Tukey test.
Agronomy 13 02451 g001
Figure 2. Effect of shade levels (in the S1C2 combination of substrate and container) on argan seedlings after six months in a semi-controlled greenhouse, (A) 0% shade compartment, (B) 20% shade compartment, (C) 40% shade compartment, (D) 80% shade compartment.
Figure 2. Effect of shade levels (in the S1C2 combination of substrate and container) on argan seedlings after six months in a semi-controlled greenhouse, (A) 0% shade compartment, (B) 20% shade compartment, (C) 40% shade compartment, (D) 80% shade compartment.
Agronomy 13 02451 g002
Figure 3. Effect of different substrates on argan seedlings sowed in a C2 container in a compartment without shade after six months in a semi-controlled greenhouse. (S1) S1C2, (S2) S2C2, (S3) S3C2, (S4) S4C2, (S5) S5C2, and (S6) S6C2.
Figure 3. Effect of different substrates on argan seedlings sowed in a C2 container in a compartment without shade after six months in a semi-controlled greenhouse. (S1) S1C2, (S2) S2C2, (S3) S3C2, (S4) S4C2, (S5) S5C2, and (S6) S6C2.
Agronomy 13 02451 g003
Figure 4. Effects of four container sizes on the argan seedlings sown in S1 in compartment without shade after six months in a semi-controlled greenhouse, (C1) S1C1, (C2) S1C2, (C3) S1C3, and (C4) S1C4.
Figure 4. Effects of four container sizes on the argan seedlings sown in S1 in compartment without shade after six months in a semi-controlled greenhouse, (C1) S1C1, (C2) S1C2, (C3) S1C3, and (C4) S1C4.
Agronomy 13 02451 g004
Figure 5. The principal component analysis (PCA) illustrates the variations between the studied parameters and the four containers (C1, C2, C3, and C4) used for the growth of argan plants in the nursery for six months. The lines starting from the central point of the biplots display the negative or positive associations of the different variables, and their proximity specifies the degree of correlation with the different types of containers. SL: Shoot Length (cm); RL: Root Length (cm); NSR: Number of Secondary Roots; NLR: Number Of Tertiary Roots; FSW: Fresh Shoot Weight (g); FRW: Fresh Roots Weight (g); DSW: Dry Shoot Weight (g); DRW: Dry Roots Weight(g); NA: Leaf Sodium Concentration (ppm); K: Leaf Potassium Concentration (ppm); CA: Leaf calcium Concentration; P Leaf Total Phosphorus Concentration; N: Leaf Total Nitrogen (%); chl Chlorophyll Content (mg/m2).
Figure 5. The principal component analysis (PCA) illustrates the variations between the studied parameters and the four containers (C1, C2, C3, and C4) used for the growth of argan plants in the nursery for six months. The lines starting from the central point of the biplots display the negative or positive associations of the different variables, and their proximity specifies the degree of correlation with the different types of containers. SL: Shoot Length (cm); RL: Root Length (cm); NSR: Number of Secondary Roots; NLR: Number Of Tertiary Roots; FSW: Fresh Shoot Weight (g); FRW: Fresh Roots Weight (g); DSW: Dry Shoot Weight (g); DRW: Dry Roots Weight(g); NA: Leaf Sodium Concentration (ppm); K: Leaf Potassium Concentration (ppm); CA: Leaf calcium Concentration; P Leaf Total Phosphorus Concentration; N: Leaf Total Nitrogen (%); chl Chlorophyll Content (mg/m2).
Agronomy 13 02451 g005
Figure 6. The principal component analysis (PCA) illustrates the variations between the studied parameters and the different treatment groups of substrate composition (S1, S2, S3, S4, and S5) used for the growth of argan plants in the nursery for six months. The lines starting from the central point of the biplots display the negative or positive associations of the different variables, and their proximity specifies the degree of correlation with the different types of containers. SL: Shoot Length (cm); RL: Root Length (cm); NSR: Number of Secondary Roots; NLR: Number of Tertiary Roots; FSW: Fresh Shoot Weight (g); FRW: Fresh Roots Weight (g); DSW: Dry Shoot Weight (g); DRW: Dry Roots Weight (g); NA: Leaf Sodium Concentration (ppm); Leaf Potassium Concentration (ppm); CA: Leaf calcium Concentration; P Leaf Total Phosphorus Concentration; Leaf Total Nitrogen (%); Chl Chlorophyll Content (mg/m2).
Figure 6. The principal component analysis (PCA) illustrates the variations between the studied parameters and the different treatment groups of substrate composition (S1, S2, S3, S4, and S5) used for the growth of argan plants in the nursery for six months. The lines starting from the central point of the biplots display the negative or positive associations of the different variables, and their proximity specifies the degree of correlation with the different types of containers. SL: Shoot Length (cm); RL: Root Length (cm); NSR: Number of Secondary Roots; NLR: Number of Tertiary Roots; FSW: Fresh Shoot Weight (g); FRW: Fresh Roots Weight (g); DSW: Dry Shoot Weight (g); DRW: Dry Roots Weight (g); NA: Leaf Sodium Concentration (ppm); Leaf Potassium Concentration (ppm); CA: Leaf calcium Concentration; P Leaf Total Phosphorus Concentration; Leaf Total Nitrogen (%); Chl Chlorophyll Content (mg/m2).
Agronomy 13 02451 g006
Figure 7. The principal component analysis (PCA) illustrates the variations between the studied parameters and the four shade levels (SH0, SH20, SH40, and SH80) used for the growth of argan plants in the nursery for six months. The lines starting from the central point of the biplots display the negative or positive associations of the different variables, and their proximity specifies the degree of correlation with the different types of containers. SL: Shoot Length (cm); RL: Root Length (cm); NSR: Number of Secondary Roots; NLR: Number of Tertiary Roots; FSW: Fresh Shoot Weight (g); FRW: Fresh Roots Weight (g); DSW: Dry Shoot Weight (g); DRW: Dry Roots Weight(g); NA: Leaf Sodium Concentration (ppm); Leaf Potassium Concentration (ppm); CA: Leaf Calcium Concentration.; P Leaf Total Phosphorus Concentration; Leaf Total Nitrogen (%); Chl Chlorophyll Content (mg/m2).
Figure 7. The principal component analysis (PCA) illustrates the variations between the studied parameters and the four shade levels (SH0, SH20, SH40, and SH80) used for the growth of argan plants in the nursery for six months. The lines starting from the central point of the biplots display the negative or positive associations of the different variables, and their proximity specifies the degree of correlation with the different types of containers. SL: Shoot Length (cm); RL: Root Length (cm); NSR: Number of Secondary Roots; NLR: Number of Tertiary Roots; FSW: Fresh Shoot Weight (g); FRW: Fresh Roots Weight (g); DSW: Dry Shoot Weight (g); DRW: Dry Roots Weight(g); NA: Leaf Sodium Concentration (ppm); Leaf Potassium Concentration (ppm); CA: Leaf Calcium Concentration.; P Leaf Total Phosphorus Concentration; Leaf Total Nitrogen (%); Chl Chlorophyll Content (mg/m2).
Agronomy 13 02451 g007
Table 1. Three-way ANOVA results of the effects of shade, substrate, container, and their interaction on the germination percentage of argan seeds after six months.
Table 1. Three-way ANOVA results of the effects of shade, substrate, container, and their interaction on the germination percentage of argan seeds after six months.
FactorsShade (SH)Substrate (S)Container (C)SH × SSH × CS × CSH × S × C
Mean Square124.031 ***92.637 ***6.429 ns9.142 *10.494 *5.563 ns4.876 ns
ns: non significant; * and ***: significant at p < 0.05 and p < 0.001.
Table 2. Three-way ANOVA results on the effects of shade, substrate, container, and their interactions on the morphological parameters of the seedlings of Argania spinosa.
Table 2. Three-way ANOVA results on the effects of shade, substrate, container, and their interactions on the morphological parameters of the seedlings of Argania spinosa.
Shoot Length (cm)Shoot Diameter (mm)Number of RamificationsFresh Shoot Weight (g)Dry Shoot Weight (g)Root Length (cm)Root Diameter (mm)Number of Secondary RootsNumber of Lateral RootsFresh Root Weight (g)Dry Root Weight (g)Chlorophyll Content (mg/m2)
DfMean Square
Shade (SH)3319.529 ***73.921 ***265.55 ***168.735 ***16.582 ***814.28 ***22.696 ***292.675 *4681.142 ***79.202 ***42.687 ***85,093.451 ***
Substrate (S)53032.268 ***26.738 ***255.326 ***457.974 ***44.006 ***2311.597 ***12.068 ***1791.242 ***997.919 ***87.996 ***55.066 ***24,967.393 *
Container ©397.772 ns2.933 **12.231 ns51.514 ***6.954 ***4811.99 ***7.116 ***789.81 ***226.922 ns10.368 **3.324 *38,881.113 **
SH × S15163.238 ***2.428 ***28.606 ***61.186 ***6.654 ***220.054 **3.571 ***127.793 ns189.016 ns16.313 ***9.935 ***20,058.064 **
SH × C973.415 ns1.167 ns12.112 ns19.212 **2.771 **244.092 **1.346 *181.504 ns251.695 ns3.425 *2.147 *25,695.597 **
S × C15103.457 **1.363 *13.374 ns30.553 ***4.273 ***379.765 ***1.335 **441.349 ***414.553 **3.626 *3.616 ***11,054.987 ns
SH × S × C45132.631 ***1.3 **5.698 ns22.884 ***2.687 ***166.437 **1.475 ***107.063 ns219.773 ns4.4249 ***2.505 ***18,476.028 ***
Df: degree of freedom; ns: non-significant; *, **, and ***: significant at p < 0.05, p < 0.01, and p < 0.001.
Table 3. Average values (mean ± standard error) of the morphological parameters (shoot length, Shoot Diameter, Number of Ramifications, Fresh Shoot Weight, Dry Shoot Weight, Root Length, Root Diameter, Number of Secondary Roots, Number of Lateral Roots, Fresh Root Weight, and Dry Root Weight) and Chlorophyll Content after six months in a semi-controlled greenhouse of Argania spinosa seedling growing in different shade levels, substrates, and containers.
Table 3. Average values (mean ± standard error) of the morphological parameters (shoot length, Shoot Diameter, Number of Ramifications, Fresh Shoot Weight, Dry Shoot Weight, Root Length, Root Diameter, Number of Secondary Roots, Number of Lateral Roots, Fresh Root Weight, and Dry Root Weight) and Chlorophyll Content after six months in a semi-controlled greenhouse of Argania spinosa seedling growing in different shade levels, substrates, and containers.
Shoot Length (cm)Shoot
Diameter (mm)
Number of RamificationsFresh Shoot Weight (g)Dry Shoot Weight (g)Root Length (cm)Root
Diameter (mm)
Number of
Secondary Root
Number of Lateral RootsFresh Root Weight (g)Dry Root Weight (g)Chlorophyll
Content (mg/m2)
Shade
0%24.06 ± 8.78 bc2.16 ± 1.11 a2.36 ± 3.38 a5.84 ± 4.43 a1.99 ± 1.17 ab25.52 ± 15.9 bc2.58 ± 1.18 a21.18 ± 13.32 ab26.68 ± 17.04 a2.59 ± 2.02 a0.8 ± 0.18 a375.8 ± 132.98 a
20%23.18 ± 10.39 c1.46 ± 0.8 b1.62 ± 2.91 b4.2 ± 4.31 b1.62 ± 1 b22.11 ± 9.97 c2.47 ± 1.07 a20.6 ± 10.51 b13.93 ± 10.96 c1.92 ± 1.66 b0.59 ± 0.13 b320.41 ± 91.26 b
40%25.86 ± 11.79 ab1.6 ± 0.99 b2.13 ± 3.84 ab5.43 ± 4.83 a2.14 ± 1.67 a29.24 ± 15.27 a2.55 ± 1.18 a24.5 ± 12.81 a21.14 ± 16.71 b2.96 ± 2.8 a0.94 ± 0.19 a373.66 ± 99.34 a
80%27.25 ± 9.91 a1.22 ± 0.6 c0.41 ± 1.6 c2.9 ± 1.73 c0.99 ± 0.6 c25.82 ± 13.14 ab1.56 ± 0.52 b21.5 ± 12.45 ab11.3 ± 11.08 c0.89 ± 1.03 c0.29 ± 0.09 c327.12 ± 90.77 b
Substrate
S135.26 ± 11.04 a2.07 ± 1.24 a2.76 ± 1.96 a8.49 ± 5.13 a3.16 ± 1.88 a32.34 ± 15.13 a2.98 ± 1.41 a25.92 ± 13.73 ab21.89 ± 18.3 a4.09 ± 2.87 a1.32 ± 0.94 a385.4 ± 94.56 a
S219.51 ± 6.01 c1.32 ± 0.59 c0.53 ± 1.35 b1.86 ± 1.23 c0.69 ± 0.3 c19.97 ± 9.4 de1.72 ± 0.62 d16.96 ± 9.01 d13.97 ± 12 bc0.85 ± 0.15 c0.32 ± 0.13 c330.9 ± 103.73 b
S327.35 ± 11.04 b1.79 ± 1.01 b2.12 ± 1.62 a6.64 ± 6.22 b2.52 ± 1.82 b27.37 ± 13.51 bc2.55 ± 1.21 b23.32 ± 11.15 bc20.43 ± 15.84 ab2.61 ± 1.85 b0.84 ± 0.26 b338.05 ± 85.06 b
S418.53 ± 5.83 c1.36 ± 0.64 c0.57 ± 0.48 b2.27 ± 1.65 c0.81 ± 0.42 c18.07 ± 7.66 e2.15 ± 0.8 c16.13 ± 8.47 d12.78 ± 11.51 c1.3 ± 0.76 c0.33 ± 0.10 c337.98 ± 89.9 b
S519.73 ± 6.62 c1.38 ± 0.86 c0.75 ± 0.53 b2.91 ± 1.6 c0.96 ± 0.48 c24.23 ± 11.1 cd2.04 ± 0.92 cd19.73 ± 11.44 cd18.91 ± 14.87 abc1.44 ± 0.88 c0.38 ± 0.13 c351.05 ± 149.34 ab
S630.14 ± 7.3 b1.68 ± 0.91 b2.26 ± 1.71 a5.41 ± 3.5 b1.95 ± 1.03 b32.06 ± 17.8 ab2.3 ± 1.06 bc29.61 ± 13.82 a21.61 ± 16.91 a2.24 ± 1.47 b0.73 ± 0.21 b350.06 ± 106.94 ab
Container
C124.56 ± 9.14 a1.52 ± 0.87 b1.43 ± 2.88 b4 ± 2.52 b1.36 ± 1.01 b28.57 ± 14.24 b2 ± 0.96 c24.08 ± 14.29 a19.08 ± 15.93 a2.03 ± 1.12 b0.58 ± 0.29 c361.86 ± 86.34 a
C225.75 ± 9.2 a1.68 ± 1.04 a1.98 ± 3.64 a5.65 ± 3.98 a2.14 ± 2.08 a34.34 ± 16.63 a2.41 ± 1.01 ab24.05 ± 13.78 a19.95 ± 15.79 a2.56 ± 1.54 a0.76 ± 0.38 a349.32 ± 135.2 ab
C323.94 ± 12.64 a1.74 ± 1.03 a1.69 ± 3.1 ab4.22 ± 2.98 b1.55 ± 1.08 b19.77 ± 9.84 c2.15 ± 0.99 bc17.99 ± 8.93 b17.5 ± 16.37 a1.95 ± 1.04 b0.62 ± 0.25 ab364.2 ± 95.64 a
C426.1 ± 10.05 a1.65 ± 0.96 ab1.54 ± 2.95 ab4.52 ± 2.75 b1.68 ± 1.1 b20.02 ± 7.46 c2.61 ± 1.33 a21.66 ± 10.85 ab16.53 ± 13.5 a1.82 ± 1.08 b0.66 ± 0.31 ab319.29 ± 103.67 b
Means with the same letters are not significantly different at 5% level of Tukey test.
Table 4. Physico-chemical characteristics of the substrate compositions.
Table 4. Physico-chemical characteristics of the substrate compositions.
Substrates S1S2S3S4S5S6
Porosity %57.0 ± 0.02 a63.0 ± 0.04 a51.0 ± 0.02 a61.0 ± 0.01 a52.0 ± 0.10 a53.0 ± 0.01 a
Soil Moisture %2.54 ± 0.91 a0.28 ± 0.13 b0.41 ± 0.01 b0.63 ± 0.08 b1.12 ± 0.07 b1.19 ± 0.03 b
Bulk Density (g/cm3)0.24 ± 0.01 e1.22 ± 0.04 a1.16 ± 0.05 a1.02 ± 0.04 b0.88 ± 0.04 c0.39 ± 0.04 d
Ec (µs/cm)869.00 ± 288.86 b2638.33 ± 754.95 ab1007.66 ± 156.75 b1976.66 ± 60.70 ab1991.33 ± 34.04 ab3256.66 ± 1145.14 a
pH4.51 ± 0.06 c8.37 ± 0.32 a6.25 ± 0.02 b7.50 ± 0.01 a8.02 ± 0.76 a5.91 ± 0.31 b
Na (ppm)4.13 ± 1.12 b4.36 ± 0.15 b4.30 ± 0.88 b4.46 ± 0.80 b2.53 ± 0.41 b14.43 ± 3.46 a
K (ppm)0.63 ± 0.15 a1.40 ± 0.05 a0.40 ± 0.26 a3.70 ± 2.97 a1.90 ± 0.79 a0.50 ± 0.26 a
Ca (ppm)11.20 ± 1.41 b3.63 ± 0.20 c4.80 ± 1.69 c57.60 ± 9.01 a4.66 ± 0.73 c16.30 ± 1.96 b
P2O5 (ppm)38.18 ± 3.88 a12.08 ± 3.40 bc6.21 ± 0.58 c20.03 ± 1.23 b20.83 ± 5.22 b18.92 ± 8.77 bc
N %0.10 ± 0.04 b0.24 ± 0.08 b0.31 ± 0.11 b0.17 ± 0.01 b0.29 ± 0.12 b0.76 ± 0.07 a
OM %94.37 ± 0.23 a8.31 ± 0.31 c9.52 ± 0.69 c31.62 ± 2.23 b13.98 ± 1.85 c77.4 ± 0.96 a
CEC (méq/100 g)139.21 ± 12.34 a15.53 ± 3.35 c21.27 ± 2.62 bc16.13 ± 3.94 c21.19 ± 1.91 bc109.86 ± 11.34 ab
Means (mean ± standard error) with the same letters are not significantly different at 5% level of Tukey test.
Table 5. Three-way ANOVA results on the effects of shade, substrate, container, and their interactions on the argan leaf mineral elements.
Table 5. Three-way ANOVA results on the effects of shade, substrate, container, and their interactions on the argan leaf mineral elements.
Na (ppm)K (ppm)Ca (ppm)P (ppm)N (%)
dfMean Square
Shade (SH)3429,340.983 ***669,064.034 ***169,215.003 ***48.824 *0.135 ***
Substrate (S)55457.802 ns38,782.205 **5936.887 *42.358 *0.307 ***
Container (C)334,315.122 ***40,883.117 **3329.757 ns67.692 **0.219 ***
SH × S1514,047.853 ***22,244.416 **4482.085 *20.266 ns0.077 ***
SH × C923,310.125 ***8137.58 ns1039.948 ns28.419 *0.039 ***
S × C1513,749.4 ***13,073.521 ns3476.994 ns39.703 ***0.113 ***
SH × S × C4511,791.162 ***18,281.725 **4924.786 ***22.208 **0.096 ***
Df: degree of freedom; ns: non-significant; *, **, and ***: significant at p < 0.05, p < 0.01 and p < 0.001.
Table 6. Average values (mean ± standard error) of leaf mineral elements (Na: sodium, K: potassium, Ca: calcium, P: Total Phosphorus, and N: Total Nitrogen after six months in a semi-controlled greenhouse of Argania spinosa seedlings growing in different shade levels, substrates and containers.
Table 6. Average values (mean ± standard error) of leaf mineral elements (Na: sodium, K: potassium, Ca: calcium, P: Total Phosphorus, and N: Total Nitrogen after six months in a semi-controlled greenhouse of Argania spinosa seedlings growing in different shade levels, substrates and containers.
Na (ppm)K (ppm)Ca (ppm)P (ppm)N (%)
Shade
0%75.67 ± 25.75 ab142.1 ± 22.28 b31.66 ± 17.14 b5.25 ± 3.54 b0.49 ± 0.17 a
20%182.09 ± 23.3 a222.89 ± 13.67 a104.12 ± 22.98 a6.71 ± 2.47 a0.41 ± 0.26 c
40%54.69 ± 15.32 b49.96 ± 22.95 c18.13 ± 9.77 b5.16 ± 2.76 b0.39 ± 0.12 c
80%30.36 ± 10.54 c49.35 ± 25.5 c14.57 ± 8.56 b6 ± 3.31 ab0.43 ± 0.14 b
Substrate
S186.96 ± 14.11 a118.57 ± 21.43 ab44.43 ± 15.22 ab6.39 ± 3.34 ab0.48 ± 0.1 b
S276.09 ± 15.3 a92.18 ± 12.26 b51.57 ± 28.85 a7.15 ± 4.56 a0.36 ± 0.15 d
S387.02 ± 13.9 a89.44 ± 25.52 b44.26 ± 11.42 ab5.33 ± 2.78 ab0.47 ± 0.05 b
S4101.28 ± 30.09 a150.34 ± 27.12 a44.19 ± 15.28 ab4.94 ± 2.49 b0.32 ± 0.15 e
S586.5 ± 15.31 a107.55 ± 14.66 ab23.35 ± 11.3 c5.3 ± 2.08 ab0.41 ± 0.23 c
S676.35 ± 14.27 a138.36 ± 26.28 ab44.92 ± 9.89 ab5.57 ± 3.17 ab0.53 ± 0.26 a
Container
C178.05 ± 11.75 b113.33 ± 19.3 b47.86 ± 12.41 a5.03 ± 1.95 b0.5 ± 0.28 a
C276.38 ± 16.67 b102.68 ± 29.65 b46.5 ± 14.49 a5.68 ± 2.99 ab0.44 ± 0.13 b
C374.4 ± 12.51 b102.23 ± 24.75 b36.49 ± 17.1 a6.97 ± 3.97 a0.39 ± 0.13 c
C4113.97 ± 28.93 a146.06 ± 26.25 a37.63 ± 20.24 a5.42 ± 2.8 b0.38 ± 0.14 c
Different letters note significant differences (Tukey test at p < 0.05) as comparisons were made between means.
Table 7. The effects of substrate and container in each shade-percentage compartment on the aerial part morphological parameters: Shoot Length, Shoot Diameter, number of ramifications, Fresh Shoot Weight, Dry Shoot Weight after six months in a semi-controlled greenhouse.
Table 7. The effects of substrate and container in each shade-percentage compartment on the aerial part morphological parameters: Shoot Length, Shoot Diameter, number of ramifications, Fresh Shoot Weight, Dry Shoot Weight after six months in a semi-controlled greenhouse.
Shoot Length (cm)Shoot Diameter (mm)Number of RamificationsFresh Shoot Weight (g)Dry Shoot Weight (g)
Shade 0%SubstrateS128.7 ± 9.14 a2.75 ± 1.22 a3.23 ± 1.27 a8.87 ± 4.36 ab2.94 ± 1.68 ab
S220.4 ± 4.2 bc1.61 ± 0.74 d0.92 ± 0.31 b2.31 ± 1.19 c0.89 ± 0.39 cd
S329.61 ± 9.88 a2.49 ± 1.03 ab3.57 ± 2.21 a11.78 ± 6.01 a4.29 ± 2.55 a
S419.21 ± 5.54 c1.67 ± 0.72 d0.92 ± 0.55 b2.68 ± 1.88 cd0.74 ± 0.4 d
S519.18 ± 8.18 c1.95 ± 1.29 cd1.46 ± 0.84 b3.17 ± 1.92 cd0.79 ± 0.34 cd
S627.25 ± 7.79 ab2.32 ± 1.03 bc3.78 ± 1.76 a6.26 ± 3.96 bc2.28 ± 1.29 bc
ContainerC125.87 ± 11.34 a2.11 ± 1.02 a2.23 ± 1.14 a5.7 ± 3.63 ab1.88 ± 1.1 ab
C223.18 ± 9.06 a2.06 ± 1.12 a2.52 ± 1.48 a7.45 ± 4.62 a2.81 ± 2.03 a
C321.97 ± 6.95 a2.3 ± 1.24 a2.28 ± 1.37 a4.21 ± 2.57 b1.34 ± 0.98 b
C425.2 ± 7.01 a2.15 ± 1.04 a2.4 ± 1.89 a6.01 ± 3.71 ab1.93 ± 1.08 ab
Shade 20%SubstrateS129.93 ± 10.4 a1.92 ± 1.07 a2.94 ± 3.65 a8.28 ± 5.57 a3.13 ± 2.22 a
S218.67 ± 7.12 b1.19 ± 0.45 bc0.32 ± 0.14 c1.73 ± 1.33 c0.62 ± 0.15 c
S325.93 ± 16.82 ab1.54 ± 0.87 b2 ± 1.59 ab6.14 ± 4.88 ab2.65 ± 1.47 ab
S418.49 ± 5.74 b1.34 ± 0.64 bc0.51 ± 0.22 bc1.92 ± 1.21 c0.75 ± 0.43 c
S518.85 ± 4.66 b1.11 ± 0.31 c0.31 ± 0.12 c3.08 ± 1.74 c1.1 ± 0.57 c
S627.18 ± 6.96 a1.35 ± 0.63 bc2.15 ± 1.49 a4.07 ± 2.68 bc1.46 ± 1.21 bc
ContainerC122.39 ± 6.39 a1.27 ± 0.6 b1.5 ± 1.03 a2.62 ± 1.69 b0.87 ± 0.51 b
C222.76 ± 7.74 a1.61 ± 1.02 a2.11 ± 1.56 a5.36 ± 4.2 a2.1 ± 1.25 a
C324.43 ± 14.63 a1.46 ± 0.72 ab1.12 ± 1.28 b3.77 ± 3.99 ab1.35 ± 1.02 ab
C423.13 ± 11.33 a1.52 ± 0.79 ab1.96 ± 1.43 a5.06 ± 3.5 a2.14 ± 1.66 a
Shade 40%SubstrateS140.64 ± 8.24 a2.11 ± 1.37 a3.93 ± 2.4 a12.74 ± 4.1 a5.11 ± 2.55 a
S218.37 ± 7.5 c1.22 ± 0.42 bc0.46 ± 0.27 b1.5 ± 1.07 c0.59 ± 0.42 d
S328 ± 9.84 b1.74 ± 0.97 a2.34 ± 1.04 ab5.53 ± 3.61 ab2.19 ± 1.55 bc
S416.98 ± 6.38 c1.11 ± 0.44 c0.51 ± 0.26 b2.35 ± 2.29 c1 ± 0.8 cd
S517.63 ± 6.98 c1.14 ± 0.39 c0.6 ± 0.19 b2.92 ± 1.2 bc1.1 ± 0.41 cd
S633.56 ± 7.24 b1.66 ± 0.89 ab2.81 ± 1.65 a7.57 ± 3.9 b2.84 ± 1.53 b
ContainerC124.18 ± 8.51 a1.5 ± 0.9 a1.64 ± 0.76 a4.5 ± 2.85 a1.68 ± 0.41 a
C228.68 ± 8.54 a1.64 ± 1.06 a2.69 ± 1.88 a6.46 ± 3.59 a2.49 ± 1.73 a
C324.26 ± 17.57 a1.55 ± 0.83 a2.16 ± 1.42 a6.13 ± 3.85 a2.56 ± 1.88 a
C426.34 ± 10.28 a1.66 ± 1.08 a1.98 ± 1.81 a4.65 ± 2.93 a1.82 ± 0.95 a
Shade 80%SubstrateS141.78 ± 10.02 a1.41 ± 0.85 a0.85 ± 0.45 a4.07 ± 1.83 a1.47 ± 0.68 a
S220.58 ± 4.77 c1.05 ± 0.22 c0.13 ± 0.02 ab1.9 ± 1.27 bc0.67 ± 0.37 b
S325.87 ± 4.94 c1.15 ± 0.48 abc0.11 ± 0.05 ab3.13 ± 2 ab0.96 ± 0.44 ab
S419.44 ± 5.89 c1.12 ± 0.43 bc0.08 ± 0.04 b2.13 ± 0.93 bc0.74 ± 0.35 b
S523.27 ± 5.28 c1.13 ± 0.42 abc0.34 ± 0.18 ab2.46 ± 1.5 ab 0.85 ± 0.53 b
S632.56 ± 5.02 b1.35 ± 0.7 ab0.63 ± 0.36 ab3.74 ± 1.65 ab1.21 ± 0.54 ab
ContainerC125.82 ± 9.71 a1.05 ± 0.29 b0.15 ± 0.09 b3.18 ± 1.97 a1 ± 0.59 a
C228.37 ± 10.13 a1.24 ± 0.61 b0.34 ± 0.17 b3.32 ± 2.06 a1.16 ± 0.77 a
C325.08 ± 9.12 a1.45 ± 0.85 a1.13 ± 0.62 a2.76 ± 1.55 a0.96 ± 0.56 a
C429.72 ± 10.51 a1.17 ± 0.47 b0.11 ± 0.08 b2.36 ± 1.11 a0.82 ± 0.42 a
Different letters note significant differences (Tukey test at p < 0.05) as comparisons were made between means.
Table 8. The effects of substrate and container on each shade-percentage compartment on the root part morphological parameters: Root Length, Root Diameter, Number of Secondary Root, Number of Tertiary Root, Fresh Root Weight, Dry Root Weight after six months in a semi-controlled greenhouse.
Table 8. The effects of substrate and container on each shade-percentage compartment on the root part morphological parameters: Root Length, Root Diameter, Number of Secondary Root, Number of Tertiary Root, Fresh Root Weight, Dry Root Weight after six months in a semi-controlled greenhouse.
Root Length (cm)Root Diameter (mm) Number of Secondary RootNumber of Tertiary RootsFresh Root Weight (g) Dry Root Weight (g)
Shade 0%SubstrateS134.21 ± 16.62 a2.79 ± 1.24 ab22.46 ± 15.62 ab28.87 ± 21.41 a4.01 ± 2.15 a1.19 ± 0.75 ab
S218.41 ± 10.51 cd2.14 ± 0.58 b18.74 ± 7.15 ab26.54 ± 12.2 a1.33 ± 1.34 b0.53 ± 0.54 c
S330.83 ± 9.55 abc3.37 ± 1.05 a19.89 ± 7.28 ab32.61 ± 15.36 a4.12 ± 2.55 a1.42 ± 0.83 a
S416.53 ± 8.94 d2.36 ± 1.12 b17.81 ± 7.9 b18.46 ± 12.62 a1.63 ± 1.22 b0.34 ± 0.17 c
S521.12 ± 11.69 bcd2.72 ± 1.38 ab17.5 ± 9.15 b26.06 ± 14.41 a2.13 ± 1.38 b0.45 ± 0.26 c
S632.01 ± 24.29 ab2.07 ± 1.17 b30.65 ± 22.31 a27.53 ± 22.67 a2.31 ± 1.35 b0.8 ± 0.58 bc
ContainerC124.86 ± 15.23 ab2.31 ± 0.9 bc24.26 ± 16.92 a29.68 ± 19.11 a2.56 ± 1.74 a0.73 ± 0.33 a
C233.41 ± 21.69 a2.84 ± 1.22 ab23.08 ± 16.91 a21.52 ± 15.91 a2.85 ± 1.89 a0.86 ± 0.43 a
C321.92 ± 12.4 b2.02 ± 0.92 c16.41 ± 7.51 a27.56 ± 17.45 a2.45 ± 1.41 a0.65 ± 0.21 a
C421.88 ± 9.75 b3.14 ± 1.33 a20.95 ± 8.18 a27.95 ± 15.4 a2.49 ± 1.83 a0.92 ± 0.7 a
Shade 20%SubstrateS122.84 ± 8.95 ab3.37 ± 1.33 a21.59 ± 11.7 ab16.28 ± 11.38 a3.56 ± 2.27 a1.28 ± 0.85 a
S220.82 ± 11.94 ab1.65 ± 0.68 c16.66 ± 9.74 b7.89 ± 6.11 a0.74 ± 0.51 c0.24 ± 0.17 b
S319.48 ± 8.9 bc2.36 ± 1.03 bc20.46 ± 9.04 b12.96 ± 8.44 a2.07 ± 1.73 b0.74 ± 0.5 ab
S416.48 ± 3.58 bc2.4 ± 0.87 bc15.47 ± 7.49 b12.56 ± 6 a1.47 ± 1.01 ab0.36 ± 0.27 ab
S524.28 ± 7.93 c2.13 ± 0.49 bc19.43 ± 8.25 b16.65 ± 9.39 a1.64 ± 1.07 ab0.4 ± 0.22 ab
S628.79 ± 12.48 a2.91 ± 1.06 ab29.96 ± 11.04 a17.25 ± 11.79 a2.03 ± 0.89 b0.54 ± 0.31 ab
ContainerC126.56 ± 12.99 a2.2 ± 0.89 b21.07 ± 13.15 a15.31 ± 9.33 a1.5 ± 1.07 a0.41 ± 0.33 b
C226.83 ± 8.69 a2.4 ± 0.9 ab22.9 ± 9.41 a16.64 ± 7.15 a2.42 ± 1.25 a0.72 ± 0.76 a
C315.13 ± 4.1 c2.37 ± 1 ab17.02 ± 7.52 a12.1 ± 6.45 a1.67 ± 1.09 a0.5 ± 0.43 ab
C419.94 ± 7.06 b2.9 ± 1.38 a21.4 ± 10.9 a11.68 ± 5.38 a2.08 ± 1.63 a0.74 ± 0.7 a
Shade 40%SubstrateS142.37 ± 13.684.03 ± 1.2828.47 ± 13.81 a26.22 ± 16.26 a7.54 ± 1.67 a2.35 ± 0.63 a
S221.96 ± 8.331.74 ± 0.5119.59 ± 11.37 a13.81 ± 10.63 ab0.88 ± 0.68 d0.34 ± 0.14 c
S332.73 ± 18.793.02 ± 1.1728.15 ± 15.31 a25.84 ± 17.14 a2.93 ± 2.3 bc0.94 ± 0.69 b
S420.64 ± 10.162.14 ± 0.5218.63 ± 9.53 a10.45 ± 6.03 b1.48 ± 0.78 cd0.4 ± 0.21 c
S525.38 ± 11.981.69 ± 0.4122.3 ± 13.26 a21.86 ± 10.49 ab1.32 ± 0.6 d0.4 ± 0.23 c
S632.37 ± 16.22.69 ± 0.9529.87 ± 9.45 a28.68 ± 16.89 a3.62 ± 2.23 b1.22 ± 0.82 b
ContainerC134.39 ± 13.76 a2.29 ± 1.1 a22.94 ± 12.19 ab21.61 ± 15.23 a2.82 ± 3 b0.84 ± 0.83 a
C240.82 ± 16.44 a2.65 ± 0.98 a30.38 ± 13.67 a26.07 ± 17.88 a3.99 ± 2.83 a1.14 ± 0.81 a
C321.21 ± 12.1 b2.47 ± 1.25 a20.9 ± 10.77 b19.67 ± 19.5 a2.83 ± 2.77 b1.01 ± 0.97 a
C420.55 ± 6.59 b2.81 ± 1.38 a23.79 ± 13.19 ab17.23 ± 13.31 a2.21 ± 2.43 b0.78 ± 0.94 a
Shade 80%SubstrateS129.95 ± 14.3 a1.72 ± 0.61 a31.14 ± 12.29 a16.19 ± 9.08 a1.25 ± 0.69 a0.45 ± 0.25 a
S218.67 ± 6.3 b1.35 ± 0.48 a12.86 ± 6.08 c7.63 ± 4.45 a0.46 ± 0.3 a0.18 ± 0.1 b
S326.44 ± 11.52 ab1.43 ± 0.54 a24.78 ± 10.25 ab10.3 ± 5.95 a1.32 ± 0.49 a0.25 ± 0.18 ab
S418.64 ± 6.16 b1.72 ± 0.37 a12.59 ± 8.27 c9.65 ± 6.47 a0.61 ± 0.35 a0.23 ± 0.13 b
S526.13 ± 12.61 ab1.61 ± 0.63 a19.68 ± 14.47 bc11.08 ± 6.11 a0.69 ± 0.5 a0.28 ± 0.19 ab
S635.07 ± 17.35 a1.55 ± 0.38 a27.93 ± 9.4 ab12.97 ± 8.46 a1 ± 0.58 a0.35 ± 0.18 ab
ContainerC128.45 ± 13.92 b1.19 ± 0.3 b28.04 ± 14.44 a9.73 ± 6.56 a1.23 ± 0.81 a0.33 ± 0.21 a
C236.31 ± 14.78 a1.75 ± 0.54 a19.83 ± 12.63 b15.56 ± 10.76 a1 ± 0.69 ab0.31 ± 0.22 a
C320.82 ± 7.24 c1.73 ± 0.56 a17.63 ± 9.39 b10.67 ± 7.09 a0.85 ± 0.51 ab0.32 ± 0.22 a
C417.69 ± 5.66 c1.59 ± 0.45 a20.5 ± 10.95 b9.27 ± 5.85 a0.48 ± 0.28 b0.21 ± 0.11 a
Different letters note significant differences (Tukey test at p < 0.05) as comparisons were made between means.
Table 9. The effects of substrate and container in each shade-percentage compartment on the argan leaf mineral elements: Na: sodium, K: potassium, Ca: calcium, P: total phosphorus, and N: total nitrogen after six months in a semi-controlled greenhouse.
Table 9. The effects of substrate and container in each shade-percentage compartment on the argan leaf mineral elements: Na: sodium, K: potassium, Ca: calcium, P: total phosphorus, and N: total nitrogen after six months in a semi-controlled greenhouse.
Na (ppm)K (ppm)Ca (ppm) P (ppm) N (%)
Shade 0% SubstrateS197.81 ± 24.52 a194.29 ± 45.81 a56.33 ± 18.54 a6 ± 1.98 a0.46 ± 0.1 cd
S282.1 ± 27.99 a112.44 ± 36.52 a37.99 ± 15.36 ab5.84 ± 2.7 a0.44 ± 0.16 e
S358.95 ± 17.37 a176.87 ± 30.49 a27.27 ± 14.01 ab4.67 ± 1.66 a0.47 ± 0.03 c
S479.9 ± 26.87 a202.96 ± 53.57 a29.66 ± 14.79 ab4.89 ± 2.04 a0.44 ± 0.03 de
S548.1 ± 18.75 a108.14 ± 37.17 a9.6 ± 4.95 b4.66 ± 2.09 a0.59 ± 0.37 a
S687.15 ± 33.36 a157.88 ± 36.36 a29.12 ± 12.87 ab5.46 ± 1.57 a0.54 ± 0.02 b
ContainerC172.03 ± 27.88 a73.22 ± 33.63 a42.23 ± 26.94 a4.71 ± 2.6 a0.63 ± 0.25 a
C261.56 ± 27.01 a86.12 ± 23.45 a45.03 ± 28.66 a4.58 ± 1.38 a0.46 ± 0.12 b
C385.15 ± 23.83 a65.89 ± 12.21 a18.51 ± 9.86 a6.86 ± 3.72 a0.45 ± 0.13 bc
C483.94 ± 24.35 a92.01 ± 13.88 a20.88 ± 8.6 a4.86 ± 1.69 a0.43 ± 0.08 c
Shade 20% SubstrateS1152.38 ± 47.32 ab195.4 ± 34.48 a95.07 ± 29.94 ab5.75 ± 2.04 a0.45 ± 0.09 b
S2152.83 ± 45.55 ab196.31 ± 35.8 a145.23 ± 35.68 a9.44 ± 5.02 a0.41 ± 0.18 c
S3208.61 ± 39.78 ab230.08 ± 48.72 a115.54 ± 29.07 ab4.99 ± 1.62 a0.46 ± 0.06 b
S4258.23 ± 46.71 a275.41 ± 53.53 a109.13 ± 36.14 ab5.78 ± 0.57 a0.2 ± 0.12 e
S5193.95 ± 36.46 ab205.53 ± 27.31 a53.1 ± 13.37 b6.92 ± 2.48 a0.33 ± 0.17 d
S6126.57 ± 21.4 c274.58 ± 55.29 a106.65 ± 26.37 ab7.52 ± 5.08 a0.58 ± 0.52 a
ContainerC1167.27 ± 33.59 b219.87 ± 41.31 a114.64 ± 27.03 a5.42 ± 1.99 b0.52 ± 0.43 a
C2160.98 ± 28.87 b191.55 ± 46.79 a105.52 ± 25.77 a6.68 ± 3.36 ab0.39 ± 0.16 b
C3125.39 ± 12.64 b207.34 ± 35.67 a97.56 ± 17.92 a9.62 ± 4.02 a0.36 ± 0.17 c
C4274.73 ± 43.78 a272.79 ± 59.73 a98.76 ± 14.73 a5.1 ± 1.91 b0.35 ± 0.18 d
Shade 40% SubstrateS180.37 ± 29.73 a66.26 ± 19.93 a14.66 ± 4.64 a5.57 ± 3.68 a0.41 ± 0.06 c
S236.99 ± 8.46 b29.22 ± 16.88 b13.79 ± 2.33 a5.7 ± 1.19 a0.25 ± 0.04 e
S348.11 ± 21.84 b31.61 ± 13.07 b16.32 ± 7.82 a5.01 ± 1.03 a0.47 ± 0.04 b
S437.79 ± 2.73 b18.72 ± 4.11 b14.33 ± 3.32 a3.88 ± 0.12 a0.3 ± 0.12 d
S565.17 ± 4.77 ab75.29 ± 12.53 a18.55 ± 9.5 a5.76 ± 0.88 a0.41 ± 0.1 c
S659.7 ± 11.15 ab78.67 ± 21.03 a31.1 ± 15.36 a5.02 ± 1.32 a0.51 ± 0.05 a
ContainerC147.63 ± 15.1 a35.7 ± 19.24 a20.49 ± 8.19 a5.02 ± 0.91 a0.39 ± 0.14 ab
C250.6 ± 11.84 a57.19 ± 25.35 a21.71 ± 13.32 a4.97 ± 2.44 a0.46 ± 0.09 a
C356.28 ± 11.05 a48.94 ± 27.24 a15.91 ± 9.46 a4.67 ± 1.29 a0.35 ± 0.07 c
C464.25 ± 18.08 a58.02 ± 24.66 a14.4 ± 6.94 a5.97 ± 2.14 a0.37 ± 0.13 b
Shade 80% SubstrateS117.3 ± 1.8 b18.33 ± 2.48 b11.67 ± 3.43 b8.25 ± 4.22 a0.61 ± 0.03 a
S232.44 ± 1.91 a30.75 ± 11.97 b9.28 ± 5.43 b7.76 ± 5.48 ab0.36 ± 0.1 cd
S332.42 ± 2.67 a19.21 ± 8.1 b17.92 ± 7.41 ab6.65 ± 2.44 abc0.49 ± 0.06 b
S429.19 ± 0.7 ab104.28 ± 49.74 a23.62 ± 6.62 a5.2 ± 1.19 abc0.32 ± 0.17 d
S538.8 ± 8.73 a81.24 ± 31.82 a12.14 ± 3.37 b3.87 ± 2.01 c0.31 ± 0.09 d
S631.99 ± 7.39 a42.3 ± 11.47 b12.8 ± 4.17 ab4.27 ± 1.19 bc0.48 ± 0.08 b
ContainerC125.29 ± 7.44 a38.44 ± 27.37 b14.1 ± 4.91 a4.96 ± 2.17 a0.47 ± 0.15 a
C232.38 ± 6.75 a50.33 ± 14.11 ab13.73 ± 5.1 a6.55 ± 3.05 a0.46 ± 0.13 a
C330.78 ± 6.99 a34.1 ± 16.19 b13.97 ± 5.87 a6.73 ± 5.5 a0.4 ± 0.14 b
C432.97 ± 8.1 a74.55 ± 32.9 a16.48 ± 5.3 a5.76 ± 1.43 a0.38 ± 0.14 b
Different letters note significant differences (Tukey test at p < 0.05) as comparisons were made between means.
Table 10. Plant production cost of the best three combinations + control in the non-shade compartment with parameters chosen for comparison of argan seedling quality.
Table 10. Plant production cost of the best three combinations + control in the non-shade compartment with parameters chosen for comparison of argan seedling quality.
SH-0
Combination (Substrate Container)S1C2S3C2S3C4S3
Cost of plant production (MAD/plant)3.983.823.292.46
Germination rate (%)96.6793.3396.6790.00
Number of secondary roots35.7516.5023.5022.17
Root diameter (cm)3.854.064.202.61
Number of ramifications4.003.384.703.16
Fresh Shoot Weight (g)10.0322.0310.8710.55
Fresh Root Weight (g)3.167.344.483.46
Table 11. Plant production cost of the best six combinations + control in 20%-shade-covered compartment with parameters chosen for argan seedling quality comparison.
Table 11. Plant production cost of the best six combinations + control in 20%-shade-covered compartment with parameters chosen for argan seedling quality comparison.
SH-20
Combination (Substrate Container)S6C1S6C4S1C2S3C2S1C4S1C3S3
Cost of plant production (MAD/plant)4.524.124.103.943.503.492.58
Germination rate (%)100.0083.3380.0070.0090.0083.3366.66
Number of secondary roots40.0032.0029.0028.5628.2518.3818.38
Root diameter (cm)3.053.563.411.944.793.402.65
Number of ramifications2.092.753.903.252.132.334.90
Fresh Shoot Weight (g)3.417.7910.4714.3510.1911.217.00
Fresh Root Weight (g)2.492.555.173.984.793.193.00
Table 12. Plant production cost of the best five combinations + control in 40%-shade-covered compartment with parameters chosen for argan seedling quality comparison.
Table 12. Plant production cost of the best five combinations + control in 40%-shade-covered compartment with parameters chosen for argan seedling quality comparison.
SH-40
Combination (Substrate Container)S6C2S1C2S1C1S1C4S1C3S3
Cost of plant production (MAD/plant)5.464.293.983.693.682.77
Germination rate (%)80.0093.3370.0076.6773.3386.66
Number of secondary roots30.0034.5022.1724.7532.5018.38
Root diameter (cm)3.243.443.905.403.413.05
Number of ramifications4.324.213.483.784.223.50
Fresh Shoot Weight (g)12.0911.5111.1813.9414.378.00
Fresh Root Weight (g)6.497.597.897.097.613.00
Table 13. Cost plant production of the best five combinations + control in 80%-shade-covered compartment with parameters chosen for comparison of argan seedling quality.
Table 13. Cost plant production of the best five combinations + control in 80%-shade-covered compartment with parameters chosen for comparison of argan seedling quality.
SH-80
Combination (Substrate Container)S6C1S1C2S1C1S3C1S1C4S3
Cost of plant production (MAD/plant)4.884.464.154.043.862.94
Germination rate (%)86.6766.6766.6770.0083.3336.66
Number of secondary roots37.7937.7531.5832.8831.0015.63
Root diameter (cm)1.222.051.180.831.761.25
Number of ramifications0.040.800.460.260.130.00
Fresh Shoot Weight (g)4.714.884.253.933.863.20
Fresh Root Weight (g)1.431.871.182.980.941.12
Disclaimer/Publisher’s Note: The statements, opinions and data contained in all publications are solely those of the individual author(s) and contributor(s) and not of MDPI and/or the editor(s). MDPI and/or the editor(s) disclaim responsibility for any injury to people or property resulting from any ideas, methods, instructions or products referred to in the content.

Share and Cite

MDPI and ACS Style

Oumahmoud, M.; Alouani, M.; Elame, F.; Tahiri, A.; Bouharroud, R.; Qessaoui, R.; El Boukhari, A.; Mimouni, A.; Koufan, M. Effect of Shading, Substrate, and Container Size on Argania spinosa Growth and Cost–Benefit Analysis. Agronomy 2023, 13, 2451. https://doi.org/10.3390/agronomy13102451

AMA Style

Oumahmoud M, Alouani M, Elame F, Tahiri A, Bouharroud R, Qessaoui R, El Boukhari A, Mimouni A, Koufan M. Effect of Shading, Substrate, and Container Size on Argania spinosa Growth and Cost–Benefit Analysis. Agronomy. 2023; 13(10):2451. https://doi.org/10.3390/agronomy13102451

Chicago/Turabian Style

Oumahmoud, Mouad, Mohamed Alouani, Fouad Elame, Abdelghani Tahiri, Rachid Bouharroud, Redouan Qessaoui, Ali El Boukhari, Abdelaziz Mimouni, and Meriyem Koufan. 2023. "Effect of Shading, Substrate, and Container Size on Argania spinosa Growth and Cost–Benefit Analysis" Agronomy 13, no. 10: 2451. https://doi.org/10.3390/agronomy13102451

APA Style

Oumahmoud, M., Alouani, M., Elame, F., Tahiri, A., Bouharroud, R., Qessaoui, R., El Boukhari, A., Mimouni, A., & Koufan, M. (2023). Effect of Shading, Substrate, and Container Size on Argania spinosa Growth and Cost–Benefit Analysis. Agronomy, 13(10), 2451. https://doi.org/10.3390/agronomy13102451

Note that from the first issue of 2016, this journal uses article numbers instead of page numbers. See further details here.

Article Metrics

Back to TopTop