Abstract
Mango can be grown in subtropical and semi-arid regions, where using commercial cultivars and rootstocks with improved resistance to drought is crucial. Induction of polyploidy has been widely applied in breeding programs for increasing crop drought resistance. In this study, drought resistance of several mango cultivars and their respective autotetraploids was evaluated. Leaf morphology and physiology were monitored in two-year-old plants during a period of water withholding and subsequent rewatering. Even though all tetraploid cultivars presented morphological differences in leaf traits, the effect of ploidy in delaying leaf water loss and its detrimental effects of photosynthesis was only observed in ‘Gomera-1’. As a result of this, this cultivar sustained maximum levels of quantum efficiency and gas exchange for a longer period than the rest of cultivars. Therefore, the isohydric strategy of this tetraploid was not associated with earlier stomatal closure. Proline did not increase in the isohydric cultivar probably due to the maintenance of high leaf relative water content. In contrast, in some anisohydric mangos, proline increased when leaf water content decreased below 80%. Some diploids exhibited higher levels of proline than tetraploids, but recovery of plant functionality after rewatering did not differ from the rest of cultivars. We conclude that drought resistance in mango can be improved by using polyploids with water-saving physiological traits.
1. Introduction
Mango (Mangifera indica L.) is one of the most important commercial tropical crops, with a global production of ca. 50 million t in 2020, only behind banana and coconut []. Mango is believed to be native to southern Asia, where 50% of the production and the highest diversity of mango cultivars are found []. This high diversity might be the result of multiple domestication events and hybridization []. Its natural distribution is characterized by an annual precipitation between 1500 and 2600 mm, although areas with the successful growth of mango not only include intertropical areas, but also Mediterranean subtropical semi-arid regions with an appropriate average temperature between 27–36 °C [,,,,]. In such areas, enhanced farming strategies, particularly irrigation management, have been implemented for optimizing the quality and yield of commercial mango crops [,].
The increase of the frequency of droughts predicted by climate change scenarios [] will be detrimental to mango production and increase irrigation water demand. Prolonged water scarcity has detrimental effects during flowering, pollination, and fruit set, significantly affecting fruit retention and size []. This is a consequence of a decrease of stem water potential and stomatal conductance of stressed mango trees, which reduces net CO2 assimilation and transpiration, especially under full sunlight [,,]. Such deceleration of CO2 fixation can lead to electron leakage towards oxygen in the electron transport chain and respiratory processes, increasing the production of reactive oxygen species (ROS). High ROS concentration can damage lipids, proteins, and nucleic acids, disrupting cell metabolism [,]. This oxidative stress can be delayed by the enhancement of photoprotective processes like heat dissipation through the de-epoxidation of xanthophyll cycle pigments []. The accumulation or constitutive high presence of compatible osmolytes—including sugars, aminoacids like proline, polyols, etc., with the function of maintaining structural integrity of protein and membranes []—have also been reported in stressed mango leaves [,] as oxidative stress increases.
One of the main goals of mango breeding programs is to obtain commercial cultivars and rootstocks with improved tolerance to drought. Several studies have identified mango cultivars that can sustain optimal levels of photosynthesis for longer periods compared to less drought-tolerant ones after water withholding. For instance, ‘Gomera-1’ and ‘Kensington Pride’, showed more drought tolerance than ‘Turpentine’ []. Higher drought tolerance has also been reported in other Mangifera species with high biotechnological potential: M. zeylanica and M. laurina [].
In the last decades, polyploidization has been explored as an important source of genetic variability for plant breeding []. Polyploidy is the acquisition of more than two sets of chromosomes by genome duplication within a species (autopolyploidy) or though hybridization of distinct species (allopolyploidy). In nature, autopolyploids and allopolyploids are estimated to occur approximately with the same frequency [], although autopolyploidy remains understudied [,]. Polyploidy can increase the evolutionary success of plant lineages by conferring higher genetic redundancy that protect from deleterious mutations [], or, in the case of allopolyploidy, hybrid vigor and higher diversity of alleles []. That may explain why the frequency of allopolyploids is high in invasive species [,] and in arid environments [,,,,,] (but see also []). Although autopolyploids lack the positive effects of hybridization, several studies have also revealed higher tolerance to multiple stresses, especially to drought. Drought tolerant cultivars have been immediately obtained by inducing autopolyploidy in grass crops [,,], woody crops [,,,,,], forbs [,,], medicinal species [,], ornamental species [,,], and the model species Arabidopsis thaliana []. Those studies frequently report morphological and physiological differences between autopolyploid plants and their parental diploids, probably as a direct consequence of increased bulk DNA content and/or genotypic derived effects: (1) larger cells, including mesophyll cells and stomatal guard cells; (2) higher leaf mass per area, epidermal thickness and, therefore, leaf thickness; (3) larger surface area of chloroplasts facing intercellular spaces, suggesting an increase of mesophyll conductance []; (4) alleviated oxidative stress []; (5) lower cell osmotic potential []; (6) different hydraulic and anatomy properties of transport tissues [,,,]; and (7) larger size of organs such as larger leaf, flower, and fruit sizes. These reported changes and their possible effect on drought resistance have made polyploids widely used in breeding programs of many plants of interest.
The first reference of spontaneous autopolyploidy in mango (4n, 80 chromosomes) was done by Galán-Saúco et al. [], in ‘Gomera-1′, also known as ‘Manga blanca′, although mango and allies are thought to have an allopolyploid origin []. More recently, the mango breeding program held at Institute for Agricultural Research of the Canary Islands (ICIA) selected new natural polyploids in other polyembryonic mango cultivars [], which indicated that this spontaneous event is more frequent in mango than expected until that moment, opening an important line of research for mango breeding. Seedlings of some of those cultivars have showed differences in their photosynthetic capacity and photoprotection under well-watered conditions, although such differences were not evidenced in adult trees []. However, the effect of polyploidy in leaf behavior under water stress has only been studied in ‘Kensington Pride′ [], whose tetraploids showed stiffer leaves with a slower dehydration rate when detached compared to diploids. The effect of polyploidy on whole-tree drought resistance has not been tested in mango yet.
Therefore, the aims of this study are to test the physiological differences between diploid and tetraploid mango trees under well-watered conditions and characterize their physiological response to long-term drought conditions and rewatering. Leaf water content, gas exchange, chlorophyll fluorescence, and the amount of proline were monitored in five mango cultivars and their respective autotetraploids: ‘Gomera-1′, ‘Gomera-4′, and ‘San Andrés-1′, used for local production and as rootstocks in Canary Islands, and the more commercial ones ‘Kensington Pride′ and ‘Torbert′ from Australia and USA, respectively.
2. Materials and Methods
2.1. Plant Material and Study Site
Five Mangifera indica L. cultivars from the ICIA mango germplasm collection were used in this study: ‘Gomera-1’ (also called ‘Manga Blanca’). ‘San Andrés-1’, ‘Gomera-4’ (also called ‘Manga Fina’), ‘Kensington Pride’, and ‘Torbert’. Their corresponding autotetraploids were originally isolated from mass germination of the diploid cultivar and subsequent selection. Tetraploid candidates were selected by screening for abnormal morphology of organs (mainly leaves) and later verified by flow cytometry and chromosome counting as described by Galán-Saúco et al. []. From this first generation of tetraploid trees and their diploid progenitors, asexually polyembryonic seeds were harvested individually. Identified stone-free seeds were placed in humid peat at a depth of 7 cm. After germination, only one seedling per seed was maintained and its ploidy was again verified as described above. Seedlings were transferred to 6 L pots filled with a mixture of peat, volcanic lapilli, local soil (1:1:1), and a slow-release fertilizer (OsmocoteTM) (≈0.5 g kg−1; 7.5:10.5:6:12; nitrate, ammonia, P2O5, and K2O). Ten seedlings from each of the ten genotypes (5 cultivars and their tetraploid variations) were randomly distributed in the experimental plot and grown for two years outdoors (Figure 1). The 100 plants were regularly watered to field capacity until the beginning of the drought treatment.

Figure 1.
(a) ‘Gomera-1’ tetraploid plants after 33 days without irrigation (left) and watered until field capacity (right), just before the start of the recovery period. ‘Gomera-1’ (b) diploid and (c) tetraploid leaves. Note that tetraploid leaves have wider lamina and sinuate margins (non-scaled images).
The experiment was carried out at the experimental farm La Planta, located in Güímar (Tenerife, Spain, 28°19′11″ N, 16°22′59″ W), a semi-arid area in the southeast of the island at 156 m a.s.l. altitude, with annual mean precipitation of 266 mm, mainly concentrated from October to January. Annual average air temperature oscillates from 14 to 21 °C, with a high relative humidity of 67–77% and a solar radiation of 13–28 MJ·m−2 during 6–11 h per day [].
2.2. Drought Treatment
The study was carried out between 13 May and 22 June 2016 (40 days in total), which in this location ensures null precipitation. Average temperature was 20–25 °C and relative humidity 55–75% (see Supplementary Figure S1). Five trees from each genotype were water-stressed (WS) by stopping irrigation, while other five were watered daily to field capacity (WW) (n = 5). A plastic bag was wrapped around the stem of WS plants to exclude potential rainfall, although no precipitation took place during the experiment. The youngest fully expanded leaf of all WS and WW trees was labeled for the non-destructive repeated measurements (gas exchange and chlorophyll fluorescence) performed on day 0, 3, 6, 9, 12, 15, 18, 26, 33, and 40 of drought application. Water-stressed plants were rewatered (REC treatment) when quantum yield of photosystem II (ФPSII) decreased to 20–10% of the initial ΦPSII (between day 12 and 33). REC trees were kept well-watered and monitored for 6–8 days after rewatering. Additional leaves were sampled throughout the drought/rewatering period for relative water content, proline, and leaf trait determination. Whenever possible, other youngest fully expanded leaves of different branches were chosen for this destructive analysis.
2.3. Water Status and Leaf Morphology
Relative water content (RWC) was measured on day 6, 12, 18, 26, 33, and 40 in a 4 cm2 disc sampled (between 9:00 and 12:00) from 5 leaves per genotype and water treatment. Relative water content was calculated as:
where FW is the fresh weight of the leaf disc, SW the saturated weight, and DW the dry weight. Discs of known area were weighed immediately after sampling with a portable balance to determine FW, enclosed in a Petri dish lined with wet filter paper for 48 h to obtain SW, and dried to constant weight (48 h) in an oven at 60 °C to measure DW. Leaf mass per area (LMA) and leaf saturated water content (SWC) were calculated from the same samples collected for RWC. LMA was obtained as disc DW divided by its fresh area, while SWC was calculated as:
RWC (%) = 100·(FW − DW)/(SW − DW),
SWC = (SW − DW)/DW
2.4. Chlorophyll Fluorescence and Gas Exchange
An open gas exchange system coupled with a fluorometer (Li-6400XT; Li-Cor Inc., Lincoln, NE, USA) was used to perform simultaneous measurements of gas exchange and chlorophyll fluorescence in a 2 cm2 circular area within each labeled leaf. Repeated measurements of net CO2 assimilation rate (AN), transpiration (E), stomatal conductance (gs), and ФPSII were recorded after reaching steady-state conditions (15–30 min) between 9:00 and 12:00 am (local time) in WW, WS, and REC replicates (n = 5) on each measurement date. WW plants were not measured in all monitored days. Chamber CO2 concentration was set to 400 μmol mol−1, and saturating light to 1200 μmol m−2 s−1. Ambient relative humidity and leaf temperature oscillated between 20–40% and 25–30 °C, respectively, during measurements.
2.5. Free Proline Determination
Free proline was quantified in the same plants used for chlorophyll fluorescence and gas exchange (n = 5) by using the colorimetric procedure described by []. After pulverization and homogenization of 0.5 g of fresh leaf in 5 mL of sulphosalicylic acid 3%, the 2 mL of supernatant was recovered by centrifugation, mixed with glacial acetic acid and acid-ninhydrin (1:1:1), and incubated at 100 °C during 1 h. The reaction was stopped by putting the test tubes in ice. Organic and inorganic phases were separated by adding 4 mL of toluene to the mixture and thoroughly vortexed for 15–20 s. The organic phase of each sample containing the chromophore was collected and its absorbance at 520 nm was measured in a spectrophotometer (UV-6300PC, VWR International, Radnor, PA, USA). The same procedure was applied to a standard curve prepared at known concentrations of proline. The final free proline concentration was relativized to dry weight using LMA measured for the same leaf as described above.
2.6. Statistical Analysis
All analyses were performed using the R statistical software (1.4.1717 version) []. For leaf morphological and physiological parameters of each cultivar under WW conditions, differences between diploid and tetraploid genotypes within the same cultivar were assessed with a t-test. For each cultivar and irrigation treatment, the effect of ploidy and treatment length was determined using a mixed linear model with “ploidy” as fixed factor, “treatment day” as independent covariable, and “leaf” as random variable. For gs, the model only considered three dates (day 0, 6, and 12), for which a Wilcoxon signed-ranks test were done for each cultivar and ploidy level. Finally, for each cultivar and ploidy level, the relationship between RWC and the amount of proline was assessed using a polynomial regression. Differences and effects were considered significant when P-values were lower than 0.05. The packages used were: plyr [], ggplot2 [], nmle [], and agricolae packages [].
3. Results
3.1. Ploidy Effect on Leaf Morphology and Physiology
Under WW conditions, either LMA, SWC, or any other physiological parameter were not significantly different between measurement dates (data not shown). However, several leaf morphological differences between diploids and their corresponding tetraploid genotypes were observed. Tetraploid genotypes presented higher LMA than diploid ones, except for ‘Gomera-4’ (Figure 2a). Furthermore, tetraploids showed higher SWC than diploids, except ‘Torbert’ (Figure 2b). Despite this, no clear effect of ploidy on the studied physiological traits was found. Only ‘Torbert’ tetraploid presented significantly higher AN than diploids under well-watered conditions, although the opposite was observed for ‘Kensington Pride’ (Figure 2c). Polyploidy significantly reduced stomatal conductance also in ‘Kensington Pride’, but not in the rest of cultivars, although it tended to increase in some tetraploid genotypes (Figure 2d). Similarly to AN, the effect of ploidy on ΦPSII also presented an unclear pattern. Again, ‘Kensington Pride’ tetraploids showed lower ΦPSII than diploids, while ‘San Andrés-1’ and ‘Torbert’ tetraploids presented significantly higher ΦPSII than diploids (Figure 2e).

Figure 2.
Effect of ploidy on leaf morphological and physiological traits on two-year-old mango trees under well-watered conditions (averaged data for all days for plants that were regularly watered to field capacity, n = 10–40). (a) Leaf mass area (LMA), (b) saturated water content (SWC), (c) net CO2 assimilation rate (AN) under light-saturating conditions (1200 µmol m−2 s−−1), (d) stomatal conductance to CO2 (gs), and (e) light-adapted quantum biochemical yield of photosystem II (ΦPSII) are shown for the five studied diploids (white) and tetraploids (grey) cultivars. Asterisks represent significant differences between tetraploids and diploids (t-test; p < 0.005).
3.2. Drought Responses
Gas exchange and ΦPSII started to decline from the first week after the suppression of irrigation in all genotypes, except in ‘Gomera-1’ tetraploid, in which gas exchange and ΦPSII decreased only after two weeks without irrigation. Drought responses of LMA and SWC did not show a consistent pattern in any cultivar (data not shown). AN and gs presented similar variations along WS treatment (Supplementary Figures S2 and S3). In ‘San Andrés-1’, ‘Gomera-4’, and ‘Torbert’, ΦPSII decreased down to 97, 85, and 70%, respectively, at day 12 (Figure 3a–c), without a significant effect of the ploidy on this response. Only ‘San Andrés-1’ tetraploid maintained the significantly higher ΦPSII than diploids under WW conditions (Figure 3a). Although differences in ΦPSII between ploidies are lost immediately during the progression of drought in ‘San Andrés-1’, significant interaction between ploidy and drought length was obtained, explained by the initial higher ΦPSII of ‘San Andrés-1’ tetraploids. ‘Kensington Pride’ showed a slower decline of ΦPSII, with 97 and 70% reduction in tetraploids and diploids, respectively, only at day 18 (Figure 3d). Both ploidy and the interaction between ploidy and day of treatment were significant only in ‘Gomera-1’ since ΦPSII was reduced 81% on day 12 in diploids while in tetraploids a 76% reduction was observed only after 33 days of drought (Figure 3e). In all cultivars, ΦPSII significantly increased again after 6–8 days of rewatering, except in both diploid and tetraploid ‘San Andrés-1’. Only in ‘Gomera-1’ was the effect of ploidy on ΦPSII significant for REC plants (P = 0.008, repeated-measures model for REC values, also significant for AN and gs), since 6–7 days after rewatering tetraploids increased to 75% of the control values, in contrast with 44% in diploids.

Figure 3.
Dynamics of quantum photochemical yield of photosystem II (ΦPSII) measured at 1200 µmol m−2 s−1 during drought (white background) and rewatering (blue) application in well-watered (WW, white symbols) and water-stressed (WS, black symbols) trees of the tetraploid (circles) and diploid (triangles) genotypes of the following cultivars: (a) ‘San Andrés-1’, (b) ‘Gomera-4’, (c) ‘Torbert’, (d) ‘Kensington Pride’, and (e) ‘Gomera-1’. Dynamics of diploid and tetraploid Gomera-1 plants are split in two subpanels within panel (e). The result of the mixed model for WS data (excluding rewatering period) is shown in left upper corner of each panel. Values are means ± SE (n = 5).
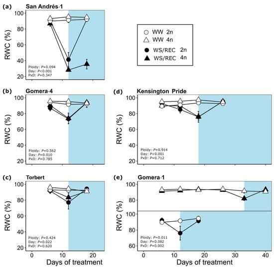
Since a minimum ΦPSII threshold was used as criterium for identifying the moment of rewatering, photoinhibition levels but not RWC were similar at the moment of maximum water deficit, i.e., before rewatering (Figure 4). RWC before rewatering was lowest in ‘San Andrés-1’ (41 and 28% for diploids and tetraploids, respectively; Figure 4a). In contrast, RWC of the rest of cultivars only dropped to an average of 78%. Similarly to ΦPSII, RWC only declined after 26 days of water withholding in the tetraploid of ‘Gomera-1’, after 6 days in the diploid cultivar (Figure 4e). No effect of ploidy on the variation of RWC was found in the rest of genotypes. All genotypes recovered initial values of RWC after 6–8 days after rewatering, except ‘San Andrés-1’ tetraploid (Figure 4a), probably due to the lower initial value before rewatering. RWC was similar across genotypes (either diploids and tetraploids) and treatment days in WW plants.

Figure 4.
Leaf relative water content (RWC) evolution during drought (white background) and rewatering (blue) application in well-watered (WW, white symbols) and water-stressed (WS, black symbols) trees of the tetraploid (circles) and diploid (triangles) genotypes of the following cultivars: (a) ‘San Andrés-1’, (b) ‘Gomera-4’, (c) ‘Torbert’, (d) ‘Kensington Pride’, and (e) ‘Gomera-1’. Dynamics of diploid and tetraploid Gomera-1 plants are split in two subpanels within panel (e). The result of the mixed model for WS data (excluding rewatering period) is shown in left upper corner of each panel. Values are means ± SE (n = 5).
In all genotypes, gs was significantly lower in day 12 than in day 0, except in ‘Gomera-1′ tetraploid. ‘Torbert’ diploid and ‘San Andrés-1’ tetraploid were the genotypes with the most responsive stomata, with gs values at day 6 significantly lower than at day 0 but similar to those at day 12 (Figure 5a,c). In the ‘Torbert’, ’Kensington Pride’, and ‘Gomera-4′ tetraploids, and in the ‘Gomera-1′ diploid, the response was more gradual (Figure 5b,d,e). ‘Gomera-1’ tetraploid showed the lower responsive stomata, with similar gs at days 0 and 6 (Figure 5e). A similar response to that described above for gs was observed for AN and transpiration (Supplementary Figures S2 and S3).

Figure 5.
Variation of stomatal conductance to CO2 (gs) on days 0, 6, and 12 of drought treatment (WS) application for the five studied cultivars: (a) ‘San Andrés-1’, (b) ‘Gomera-4’, (c) ‘Torbert’, (d) ‘Kensington Pride’, and (e) ‘Gomera-1’. Capital and lower-case letters mean significantly differences between gs values of tetraploid and diploids, respectively (Wilcoxon signed-rank tests, p < 0.05). The result of the mixed model is shown in the upper right corner of each panel. Values are means ± SE (n = 5).
Proline accumulated in several genotypes as a response to decreasing RWC (Figure 6). Proline concentration in both ‘San Andrés-1’ diploid and tetraploid increased to their maximum values at around 50% of RWC (Figure 6a) and declined below that RWC threshold. In the other cultivars, RWC did not decrease below that threshold and proline concentration was invariable during treatment. Proline increased at similar values in ‘Gomera-4’ and ‘Torbert’ tetraploids than in ‘San Andrés- (7 µmol g−1 dry weight) but at higher RWC (60%, Figure 6b,c). For the same RWC, diploids of both cultivars tended to have a higher concentration of proline. ‘Kensington Pride’ seemed not to induce the synthesis of proline at 50% of RWC, although only one sample reached this threshold (Figure 6d). ‘Gomera-1’ also presented a narrow range of RWC, with only one replicate of the diploid that achieved 17% of RWC and 6.6 µmol proline g−1 dry weight (Figure 6e).

Figure 6.
Relationship between relative water content (RWC) and proline for diploids (black circles) and tetraploids (red circles) of the five studied cultivars: (a) ‘San Andrés-1’, (b) ‘Gomera-4’, (c) ‘Torbert’, (d) ‘Kensington Pride’, and (e) ‘Gomera-1’. Dashed line indicates the non-linear fitting for diploids and tetraploids.
4. Discussion
In this study, the drought resistance of several mango cultivars and their respective autotetraploids were evaluated in two-year-old plants by monitoring physiological and morphological parameters during a period of water withholding. A generalized effect of tetraploidization on leaf morphology of mango cultivars was observed. Tetraploids showed higher investment of biomass per unit leaf area and water-storage capacity than diploids, with few exceptions (Figure 2a,b), in coherence with many other studies in polyploid woody crop species [,]. The higher water-storage capacity of tetraploids (higher SWC) was probably affecting leaf capacitance at full turgor, defined as the change of RWC per unit water potential. Capacitance is thought to play a buffering role to avoid damaging water potential fluctuations, with potential roles in dehydration resistance []. However, in contrast with those studies, polyploidy did not enhance drought resistance of most of the studied cultivars, except for ‘Gomera-1’, suggesting that changes in leaf morphology are not the decisive factor explaining drought resistance, which might involve whole-plant physiological features. According to the definition of drought resistant provided by Levitt [], plants resist the damaging effects of drought by either avoiding or tolerating water stress, although a combination of both strategies is frequently observed (see reviews of [,,,]). Two main mechanisms of dehydration avoidance have been widely described: 1) rooting behavior and 2) stomatal behavior. Deep roots enhance water uptake ability and allows the exploitation of deeper and more humid soil layers during drought []. Although differences in the development of root system have not been evaluated in the present study (rooting depth, rooting density, or root/shoot ratio), the constraint of photosynthesis and growth as a result of root space restriction is a well-recognized phenomenon [,]. Therefore, the use of 6 L pots for growing the mango trees for two years may standardize rooting depth of all the cultivars and the maximum soil moisture content and aeration at the beginning of the experiment. Thus, the higher drought resistance observed for ‘Gomera-1’ tetraploids and ‘Kensington Pride’ is not likely to be associated to the development of deeper roots.
Stomatal conductance, along with other several subsequent processes, including AN and ΦPSII, generally decrease under drought conditions []. The response of stomata to water deficit is widely known to be regulated by turgor changes of epidermal cells and/or phytohormones [,,]. Early suppression of gs is a successful strategy for reducing water loss at the expense of plant productivity. However, our data evidence that this strategy is not always a guarantee of functional recovery after drought. Both ‘San Andrés-1’ diploid and tetraploid presented the lowest gs and transpiration rates, even under well-watered conditions and, despite this, both were the cultivars that experienced lower RWC after 12 days of water withholding. ‘San Andrés-1’ tetraploid was even completely unable to recover leaf water status and functionality. On the contrary ‘Gomera-1’, tetraploid showed the slowest response of gs to drought application, although it showed a highly efficient water retention compared to other genotypes, including its diploid variant. This disconnection between stomatal sensitivity and water content regulation during drought has been observed in many other species [], which have made Martínez-Vilalta and Forner [] define isohydry behavior not through the stomatal control, but directly through water content regulation, which depends on whole-plant physiological features. In that sense, ‘Gomera-1’ can be considered as the strongest isohydric genotype, since it showed the more efficient water retention in contrast to the anisohydric response of ‘Gomera-1’ diploid.
Both extremes between the anisohydric and isohydric strategy resulted in very different minimum RWC despite being subjected to the same duration of irrigation withholding. This period was sufficient to induce proline accumulation in the anisohydric cultivars ‘San Andrés-1’, ‘Gomera-4’, and ‘Torbert’. The accumulation of some sugars and aminoacids as compatible osmolytes during water stress to prevent dehydration has been widely studied, with proline being one of the most reported induced aminoacids under water stress []. Compatible osmolytes are responsible for the osmotic adjustment that allows plant tissues to maintain turgor and water flow from soil with decreasing water potential, which is the most important mechanism of water-stress tolerance [,,]. However, some authors have considered proline accumulation in tissues as a pathological consequence of the stress rather than an adaptive response [,,]. This is a consequence of the frequent observation of this aminoacid at nearly lethal water deficit, as observed in this study in ‘San Andrés-1’. Furthermore, a significant difference in the recovery of either RWC or ΦPSII was not observed between tetraploids and diploids of ‘Gomera-4’ and ‘Torbert’, despite some diploid individuals achieved higher proline levels than tetraploids of these cultivars. Moreover, in mango leaves, the synthesis of proline has been associated with oxidative damage [], another evidence for considering proline an indicator of damage rather than a beneficial strategy for avoiding water loss.
Therefore, even though both leaf proline-derived osmotic adjustment and stomatal closure were observed in our study, genotypic differences in these responses cannot be used to determine genotypic drought resistance, especially within the ‘Gomera-1’ cultivar. Only two possibilities remain: (1) reduction of water use by the reduced plant size, leaf area, and leaf area index [,]; and (2) enhanced root water uptake []. Although not measured, the initial total leaf area and vigor did not apparently differ between cultivars at the beginning of the drought treatment. Moreover, the drought resistant Gomera-1 tetraploids presented significantly higher leaf area than the more sensitive diploids [], making this first option of a different total transpiration unlikely. Regarding the second option, root system accounts for most of the plant hydraulic resistance, especially under water stress [,]. Enhanced whole plant hydraulic conductance can be an advantage under drought. In fact, low change of leave water content under drought conditions (i.e., isohydric behavior) can be achieved not only by a high sensitivity of transpiration (which is not the case of ‘Gomera-1’ tetraploid as evidenced in Figure 5e), but also by a low sensitivity of hydraulic transport to declining water soil content []. Changes in hydraulic conductance and drought resistance have been associated with variations in conduit size []. Barceló-Anguiano et al. [] reported higher vessel element size and lower hydraulic resistances to water transport in tetraploids leaves compared with diploids of ‘Kensington Pride’. This feature provided lower dehydration rates of mango leaves, although the drought resistance of the entire tree was not tested. As explained in the introduction, the most frequently observed effect of genome duplication is increasing cell size as a direct consequence of the need of more cellular space for nucleic acids and transcription []. As explained above, this increase of cell size allows higher water storage and capacitance in tissues []. Therefore, it can be postulated that genome duplication not only affect leaf water relations, but also whole plant water relations. Thus, it is plausible that the more isohydric response of the ‘Gomera-1’ tetraploid could be explained by enhanced whole-plant hydraulic conductivity. The reason why ploidization results in these physiological changes in ‘Gomera-1’ but not in the rest of cultivars remains unknown.
Future studies should determine if such potential improvement in the hydraulic conductance of Gomera-1 tetraploid would remain after grafting, since ‘Gomera-1’ is normally used as rootstock. The full spectrum of interactions among plant development, phenology, water use, and final yield must be considered whenever used as rootstock. In that sense, the exploration of cultivars with drought resistance mechanisms based in whole-plant features (e.g., hydraulic system), rather than just foliar characteristics, is of great interest.
5. Conclusions
The induction of drought resistance by autopolyploidy was not frequently observed in our studied mango cultivars (only in one out of five cultivars). ‘Gomera-1’ autotetraploid was identified as a drought-resistant material of great interest for future analysis as a rootstock with great economical interest for semi-arid regions. In this cultivar, polyploidy induced a switch from anisohydric to isohydric behavior in response to water withholding. This change was not driven by earlier stomata closure or proline-mediated osmotic adjustment. All leaf morphological consequences of genome duplication seem to play a secondary role in whole tree drought tolerance, whose main driven factor remains unknown and probably involves whole-plant physiological features.
Supplementary Materials
The following supporting information can be downloaded at: https://www.mdpi.com/article/10.3390/agronomy13010277/s1, Figure S1: Climatological data for El Viento station; Figure S2: Dynamics of net CO2 assimilation during drought; Figure S3: Variation of net CO2 assimilation on days 0, 6 and 12 of drought.
Author Contributions
Conceptualization, Á.M.G.-R. and M.J.G.-M.; methodology, Á.M.G.-R. and M.J.G.-M.; validation, Á.M.G.-R., M.J.G.-M. and A.V.P.-C.; formal analysis, A.V.P.-C.; investigation, Á.M.G.-R., M.J.G.-M., B.H. and A.V.P.-C.; resources, Á.M.G.-R. and M.J.G.-M.; data curation, B.H. and A.V.P.-C.; writing—original draft preparation, A.V.P.-C.; writing—review and editing, A.V.P.-C., M.J.G.-M. and Á.M.G.-R.; funding acquisition, M.J.G.-M. and Á.M.G.-R. All authors have read and agreed to the published version of the manuscript.
Funding
This research was supported by the National Institute of Agricultural Research (Spain) for funding the research project RF2013-0002 Banana and mango Germplasm bank, and to the Ministry of Agriculture, Livestock, Fisheries, and Water Government of the Canary Islands for funding the research project CAIA2022-0006 Tropical fruits selection and breeding.
Institutional Review Board Statement
Not applicable.
Data Availability Statement
The data supporting the findings of this study are available from the corresponding author, Alicia V. Perera-Castro, upon request.
Acknowledgments
We wish to thank all the personnel of Instituto Canario de Investigaciones Agrícolas (ICIA) who helped in the growing and watering of trees. We thank Jaime Puértolas (University of La Laguna) for his fruitful comments and revision of this manuscript.
Conflicts of Interest
The authors declare no conflict of interest.
References
- FAOstat. Food and Agriculture Organization Corporate Statistical Database. Available online: https://www.fao.org/faostat/en/#data (accessed on 24 October 2022).
- Tharanathan, R.N.; Yashoda, H.M.; Prabha, T.N. Mango (Magnifera indica L.), “The king of fruits”—An overview. Food Rev. Int. 2007, 22, 95–123. [Google Scholar] [CrossRef]
- Warschefsky, E.; von Wettberg, E.J.B. Population genomic analysis of mango (Mangifera indica) suggests a complex history of domestication. New Phytol. 2019, 222, 2023–2037. [Google Scholar] [CrossRef] [PubMed]
- Parrotta, J.A. Mangifera indica L. Mango. Anacardiaceae. Cashew Family; USDA Forest Service, International Institute of Tropical Forestry: Washington, DC, USA, 1993; Volume 63, p. 6. [Google Scholar]
- Grajal-Martín, M.J.; Rosell, P.; Galán-Saúco, V.; Fernández, D. Filipino, un nuevo tetraploide de mango. In XI Congreso de la Sociedad Española de Ciencias Hortícolas (SECH); Bioberica: Albacete, Spain, 2007. [Google Scholar]
- Galán-Saúco, V. El Cultivo del Mango; Ediciones Mundi-Prensa: Madrid, España, 2009. [Google Scholar]
- Yadav, D.; Singh, S.P. Mango: History origin and distribution. J. Pharmacog. Phytochem. 2017, 6, 1257–1262. [Google Scholar]
- Durán Zuazo, V.H.; García-Tejero, I.F.; Rodríguez, B.C.; Tarifa, D.F.; Ruiz, B.G.; Sacristán, P.C. Deficit irrigation strategies for subtropical mango farming. A review. Agron. Sustain. 2014, 1, 13. [Google Scholar]
- Pavel, E.W.; Vanassche, F.M.G.; Grossman, Y.L. Optimization of Irrigation Management in Mango Trees by Determination of Water and Carbon Demands to Improve Water Use Efficiency and Fruit Quality; Final Report to the Water Research Commission, WRC Report No.: 1136/1/03; Water Research Commission: Pretoria, South Africa, 2003; p. 106. [Google Scholar]
- Habiba, U.; Shaw, R.; Takeuchi, Y. Farmers’ adaptive practices for drought risk reduction in the northwest region of Bangladesh. Nat. Hazards 2014, 72, 337–359. [Google Scholar] [CrossRef]
- Chartzoulakis, K.; Bertaki, M. Sustainable water management in agriculture under climate change. Agric. Agric. Sci. Procedia 2015, 4, 88–98. [Google Scholar] [CrossRef]
- Elsheery, N.I.; Cao, K.F. Gas exchange, chlorophyll fluorescence, and osmotic adjustment in two mango cultivars under drought stress. Acta Physiol. Plant. 2008, 30, 769–777. [Google Scholar] [CrossRef]
- Luvaha, E.; Netondo, G.W.; Ouma, G. Effect of water deficit on the physiological and morphological characteristics of mango (Mangifera indica) rootstock seedlings. Am. J. Plant Physiol. 2010, 5, 7–21. [Google Scholar] [CrossRef]
- Mittler, R. Abiotic stress, the field environment and stress combination. Trends Plant Sci. 2006, 11, 15–19. [Google Scholar] [CrossRef]
- Gill, S.S.; Tuteja, N. Reactive oxygen species and antioxidant machinery in abiotic stress tolerance in crop plants. Plant Physiol. Biochem. 2010, 48, 909–930. [Google Scholar] [CrossRef]
- Jahns, P.; Holzwarth, A.R. The role of the xanthophyll cycle and of lutein in photoprotection of photosystem II. Biochim. Biophys. Acta (BBA) Bioenerg. 2012, 1817, 182–193. [Google Scholar] [CrossRef] [PubMed]
- Singh, M.; Kumar, J.; Singh, S.; Singh, V.P.; Prasad, S.M. Roles of osmoprotectants in improving salinity and drought tolerance in plants: A review. Rev. Environ. Sci. Bio./Technol. 2015, 14, 407–426. [Google Scholar] [CrossRef]
- Van Laere, K.; França, S.C.; Vansteenkiste, H.; Van Huylenbroeck, J.; Steppe, K.; Van Labeke, M.C. Influence of ploidy level on morphology, growth and drought susceptibility in Spathiphyllum wallisii. Acta Physiol. Plant. 2011, 33, 1149–1156. [Google Scholar] [CrossRef]
- González-Rodríguez, A.M.; Peters, J.; del Olmo, A.; Grajal-Martín, M.J. Selección de patrones de mango frente al estrés hídrico. Actas Hortic. 2008, 51, 155–156. [Google Scholar]
- Grajal-Martín, M.J.; Peters, J.; del Olmo Aínsua, A.I.; González-Rodríguez, A.M. Respuesta Fisiológica de Varias Especies del Género Mangifera al Estrés Hídrico; VI Congreso Ibérico de Ciencias Hortícolas (SECH 6°): Logroño, Spain, 2009. [Google Scholar]
- Trojak-Goluch, A.; Kawka-Lipińska, M.; Wielgusz, K.; Praczyk, M. Polyploidy in Industrial Crops: Applications and Perspectives in Plant Breeding. Agronomy 2021, 11, 2574. [Google Scholar] [CrossRef]
- Barker, M.S.; Arrigo, N.; Baniaga, A.E.; Li, Z.; Levin, D.A. On the relative abundance of autopolyploids and allopolyploids. New Phytol. 2015, 210, 391–398. [Google Scholar] [CrossRef]
- Soltis, D.E.; Visger, C.J.; Marchant, D.B.; Soltis, P.S. Polyploidy: Pitfalls and paths to a paradigm. Am. J. Bot. 2016, 103, 1146–1166. [Google Scholar] [CrossRef]
- Bomblies, K. When everything changes at once: Finding a new normal after genome duplication. Proc. R Soc. London B 2020, 287, 20202154. [Google Scholar] [CrossRef]
- Van de Peer, Y.; Mizrachi, E.; Marchal, K. The evolutionary significance of polyploidy. Nat. Rev. Genet. 2017, 18, 411–424. [Google Scholar] [CrossRef]
- Hegarty, M.; Hiscock, S. Polyploidy: Doubling up for evolutionary success. Current. Biol. 2007, 17, 927–929. [Google Scholar] [CrossRef]
- Te Beest, M.; Le Roux, J.J.; Richardson, D.M.; Brysting, A.K.; Suda, J.; Kubešová, M.; Pyšek, P. The more the better? The role of polyploidy in facilitating plant invasions. Ann. Bot. 2012, 109, 19–45. [Google Scholar] [CrossRef] [PubMed]
- Moura, R.F.; Queiroga, D.; Vilela, E.; Moraes, A.P. Polyploidy and high environmental tolerance increase the invasive success of plants. J. Plant Res. 2021, 134, 105–114. [Google Scholar] [CrossRef]
- Nassar, N.M. Chromosome doubling induces apomixis in a cassava × Manihot anomala hybrid. Hereditas 2006, 143, 246–248. [Google Scholar] [CrossRef] [PubMed]
- Maherali, H.; Walden, A.E.; Husband, B.C. Genome duplication and the evolution of physiological responses to water stress. New Phytol. 2009, 184, 721–731. [Google Scholar] [CrossRef]
- Manzaneda, A.J.; Rey, P.J.; Bastida, J.M.; Weiss-Lehman, C.; Raskin, E.; Mitchell-Olds, T. Environmental aridity is associated with cytotype segregation and polyploidy occurrence in Brachypodium distachyon (Poaceae). New Phytol. 2012, 193, 797–805. [Google Scholar] [CrossRef]
- Deng, B.; Du, W.; Liu, C.; Sun, W.; Tian, S.; Dong, H. Antioxidant response to drought, cold and nutrient stress in two ploidy levels of tobacco plants: Low resource requirement confers polytolerance in polyploids? Plant Growth Regul. 2012, 66, 37–47. [Google Scholar] [CrossRef]
- Allario, T.; Brumos, J.; Colmenero-Flores, J.M.; Iglesias, D.J.; Pina, J.A.; Navarro, L.; Talon, M.; Ollitrault, P.; Morillon, R. Tetraploid Rangpur lime rootstock increases drought tolerance via enhanced constitutive root abscisic acid production. Plant Cell Environ. 2013, 36, 856–868. [Google Scholar] [CrossRef] [PubMed]
- Penner, S.; Dror, B.; Aviezer, I.; Bar-Lev, Y.; Salman-Minkov, A.; Mandakova, T.; Šmarda, P.; Mayrose, I.; Sapir, Y. Phenology and polyploidy in annual Brachypodium species (Poaceae) along the aridity gradient in Israel. J. Syst. Evol. 2020, 58, 189–199. [Google Scholar] [CrossRef]
- Buggs, R.J.; Pannell, J.R. Ecological differentiation and diploid superiority across a moving ploidy contact zone. Evolution 2007, 61, 125–140. [Google Scholar] [CrossRef]
- Chen, S.; Tang, P. Studies on colchicine-induced autotetraploid barley. III. Physiological studies. Am. J. Bot. 1945, 32, 177–179. [Google Scholar] [CrossRef]
- Yang, P.M.; Huang, Q.C.; Qin, G.Y.; Zhao, S.P.; Zhou, J.G. Different drought-stress responses in photosynthesis and reactive oxygen metabolism between autotetraploid and diploid rice. Photosynthetica 2014, 52, 193–202. [Google Scholar] [CrossRef]
- Chen, P.; Chen, J.; Sun, M.; Yan, H.; Feng, G.; Wu, B.; Zhang, X.; Wang, X.; Huang, L. Comparative transcriptome study of switchgrass (Panicum virgatum L.) homologous autopolyploid and its parental amphidiploid responding to consistent drought stress. Biotechnol. Biofuels 2020, 13, 170. [Google Scholar] [CrossRef] [PubMed]
- Li, W.L.; Berlyn, G.P.; Ashton, P.M.S. Polyploids and their structural and physiological characteristics relative to water deficit in Betula papyrifera (Betulaceae). Am. J. Bot. 1996, 83, 15–20. [Google Scholar] [CrossRef]
- Pustovoitova, T.N.; Eremin, G.V.; Rassvetaeva, E.G.; Zhdanova, N.E.; Zholkevich, V.N. Drought resistance, recovery capacity, and phytohormone content in polyploid plum meaves. Russ J. Plant Physiol. 1996, 43, 232–235. [Google Scholar]
- Zhang, F.; Xue, H.; Lu, X.; Zhang, B.; Wang, F.; Ma, Y.; Zhang, Z. Autotetraploidization enhances drought stress tolerance in two apple cultivars. Trees 2015, 29, 1773–1780. [Google Scholar] [CrossRef]
- Barceló-Anguiano, M.; Holbrook, N.M.; Hormaza, J.I.; Losada, J.M. Changes in ploidy affect vascular allometry and hydraulic function in Mangifera indica trees. Plant J. 2021, 108, 541–554. [Google Scholar] [CrossRef] [PubMed]
- Sarr, M.S.; Seiler, J.R.; Sullivan, J.; Diallo, A.M.; Strahm, B.D. Drought resistance and gum yield performances in a Senegalia senegal (L.) Britton progeny trial in Senegal. New For. 2021, 52, 943–957. [Google Scholar] [CrossRef]
- Wójcik, D.; Marat, M.; Marasek-Ciołakowska, A.; Klamkowski, K.; Buler, Z.; Podwyszyńska, M.; Tomczyk, P.P.; Wójcik, K.; Treder, W.; Filipczak, J. Apple autotetraploids—Phenotypic characterisation and response to drought stress. Agronomy 2022, 12, 161. [Google Scholar] [CrossRef]
- Nassar, N.M.; Graciano-Ribeiro, D.; Fernandes, S.D.C.; Araujo, P.C. Anatomical alterations due to polyploidy in cassava, Manihot esculenta Crantz. Genet. Mol. Res. 2008, 7, 276–283. [Google Scholar] [CrossRef]
- Ntuli, N.R.; Zobolo, A.M. Effect of water stress on growth of colchicine induced polyploid Coccinia palmata and Lagenaria sphaerica plants. Afr. J. Biotechnol. 2008, 7, 3548–3652. [Google Scholar]
- Wulansari, A.; Purwito, A.; Sukma, D.; Ermayanti, T.M. Growth response of diploid and tetraploid taro (Colocasia esculenta (L.) Schott) shoot culture to drought stress using polyethylene glycol. IOP Conf. Ser. Earth Environ. Sci. 2021, 913, 012016. [Google Scholar] [CrossRef]
- Liu, S.; Chen, S.; Chen, Y.; Guan, Z.; Yin, D.; Chen, F. In vitro induced tetraploid of Dendranthema nankingense (Nakai) Tzvel. shows an improved level of abiotic stress tolerance. Sci. Hortic. 2011, 127, 411–419. [Google Scholar] [CrossRef]
- Rao, S.; Tian, Y.; Xia, X.; Li, Y.; Chen, J. Chromosome doubling mediates superior drought tolerance in Lycium ruthenicum via abscisic acid signaling. Hortic. Res. 2020, 7, 40. [Google Scholar] [CrossRef] [PubMed]
- Vyas, P.; Bisht, M.S.; Miyazawa, S.I.; Yano, S.; Noguchi, K.; Terashima, I.; Nayama-Noguchi, S. Effects of polyploidy on photosynthetic properties and anatomy in leaves of Phlox drummondii. Funct. Plant Biol. 2007, 34, 673–682. [Google Scholar] [CrossRef]
- Li, W.D.; Biswas, D.K.; Xu, H.; Xu, C.Q.; Wang, X.Z.; Liu, J.K.; Jiang, G.M. Photosynthetic responses to chromosome doubling in relation to leaf anatomy in Lonicera japonica subjected to water stress. Funct. Plant Biol. 2009, 36, 783–792. [Google Scholar] [CrossRef] [PubMed]
- Del Pozo, J.C.; Ramirez-Parra, E. Deciphering the molecular bases for drought tolerance in Arabidopsis autotetraploids. Plant Cell Environ. 2014, 37, 2722–2737. [Google Scholar] [CrossRef]
- Xu, J.; Jin, J.; Zhao, H.; Li, K. Drought stress tolerance analysis of Populus ussuriensis clones with different ploidies. J. For. Res. 2019, 30, 1267–1275. [Google Scholar] [CrossRef]
- Hao, G.Y.; Lucero, M.E.; Sanderson, S.C.; Zacharias, E.H.; Holbrook, N.M. Polyploidy enhances the occupation of heterogeneous environments through hydraulic related trade-offs in Atriplex canescens (Chenopodiaceae). New Phytol. 2013, 197, 970–978. [Google Scholar] [CrossRef]
- Saúco, V.G.; Martín, M.J.G.; Galván, D.F.; Torres, A.C.; Juárez, J.; Navarro, L. Occurrence of spontaneous tetraploid nucellar mango plants. HortScience 2001, 36, 755–757. [Google Scholar] [CrossRef]
- Mukherjee, S.K. Mango: Its allopolyploid nature. Nature 1950, 4213, 196–197. [Google Scholar] [CrossRef]
- García-García, A.L.; Grajal-Martín, M.J.; González-Rodríguez, Á.M. Polyploidization enhances photoprotection in the first stages of Mangifera indica. Sci. Hortic. 2020, 264, 109198. [Google Scholar] [CrossRef]
- AgroCabildo. Available online: https://www.agrocabildo.org/agrometeorologia_estaciones_detalle.asp?id=44 (accessed on 30 November 2022).
- Bates, L.S.; Waldren, R.P.; Teare, I.D. Rapid determination of free proline for water-stress studies. Plant Soil. 1973, 39, 205–207. [Google Scholar] [CrossRef]
- R Core Team. R: A Language and Environment for Statistical Computing; R Foundation for Statistical Computing: Vienna, Austria, 2015; Available online: http://www.R-project.org/ (accessed on 1 August 2022).
- Wickham, H. The Split-Apply-Combine Strategy for Data Analysis. J. Stat. Software 2011, 40, 1–29. [Google Scholar] [CrossRef]
- Wickham, H. Ggplot2: Elegant Graphics for Data Analysis; Springer: New York, NY, USA, 2016. [Google Scholar]
- Pinheiro, J.; Bates, D.; DebRoy, S.; Sarkar DR Core Team. Nlme: Linear and Nonlinear Mixed Effects Models. R Package Version 2019, 3, 1–143. [Google Scholar]
- De Mendiburu, F. Agricolae: Statistical Procedures for Agricultural Research. R Package Version 2019, 1, 2–3. Available online: https://CRAN.R-project.org/package=agricolae (accessed on 1 August 2022).
- Xiong, D.; Nadal, M. Linking water relations and hydraulics with photosynthesis. Plant J. 2020, 101, 800–815. [Google Scholar] [CrossRef]
- Levitt, J. Responses of Plants to Environmental Stresses; Academic Press: New York, NY, USA; London, UK, 1972; p. 697. [Google Scholar]
- Hinckley, T.M.; Duhme, F.; Hinckley, A.R.; Richter, H. Drought relations of shrub species: Assessment of the mechanisms of drought resistance. Oecologia 1983, 59, 344–350. [Google Scholar] [CrossRef]
- Blum, A. Drought resistance, water-use efficiency, and yield potential—Are they compatible, dissonant, or mutually exclusive? Aust. J. Agri. Res. 2005, 56, 1159–1168. [Google Scholar] [CrossRef]
- Waseem, M.; Ali, A.; Tahir, M.; Nadeem, M.A.; Ayub, M.; Tanveer, A.; Ahmad, R.; Hussain, M. Mechanism of drought tolerance in plant and its management through different methods. Cont. J. Agri. Sci. 2011, 5, 10–25. [Google Scholar]
- Fang, Y.; Xiong, L. General mechanisms of drought response and their application in drought resistance improvement in plants. Cell Molec. Life Sci. 2015, 72, 673–689. [Google Scholar] [CrossRef]
- NeSmith, D.S.; Duval, J.R. The effect of container size. HortTechnology 1998, 8, 495–498. [Google Scholar] [CrossRef]
- Poorter, H.; Bühler, J.; van Dusschoten, D.; Climent, J.; Postma, J.A. Pot size matters: A meta-analysis of the effects of rooting volume on plant growth. Funct. Plant Biol. 2012, 39, 839–850. [Google Scholar] [CrossRef] [PubMed]
- Medrano, H.; Escalona, J.M.; Bota, J.; Gulías, J.; Flexas, J. Regulation of photosynthesis of C3 plants in response to progressive drought: Stomatal conductance as a reference parameter. Ann. Bot. 2002, 89, 895–905. [Google Scholar] [CrossRef] [PubMed]
- Brodribb, T.J.; McAdam, S.A. Passive origins of stomatal control in vascular plants. Science 2011, 331, 582–585. [Google Scholar] [CrossRef]
- Rodriguez-Dominguez, C.M.; Buckley, T.N.; Egea, G.; de Cires, A.; Hernandez-Santana, V.; Martorell, S.; Diaz-Espejo, A. Most stomatal closure in woody species under moderate drought can be explained by stomatal responses to leaf turgor. Plant Cell Environ. 2016, 39, 2014–2026. [Google Scholar] [CrossRef]
- Trueba, S.; Pan, R.; Scoffoni, C.; John, G.P.; Davis, S.D.; Sack, L. Thresholds for leaf damage due to dehydration: Declines of hydraulic function, stomatal conductance and cellular integrity precede those for photochemistry. New Phytol. 2019, 223, 134–149. [Google Scholar] [CrossRef] [PubMed]
- Martínez-Vilalta, J.; Garcia-Forner, N. Water potential regulation, stomatal behaviour and hydraulic transport under drought: Deconstructing the iso/anisohydric concept. Plant Cell Environ. 2017, 40, 962–976. [Google Scholar] [CrossRef]
- Alhasnawi, A.N. Role of proline in plant stress tolerance: A mini review. Res. Crops 2019, 20, 223–229. [Google Scholar]
- Clifford, S.C.; Arndt, S.K.; Corlett, J.E.; Joshi, S.; Sankhla, N.; Popp, M.; Jones, H.G. The role of solute accumulation, osmotic adjustment and changes in cell wall elasticity in drought tolerance in Ziziphus mauritiana (Lamk.). J. Exp. Bot. 1998, 49, 967–977. [Google Scholar] [CrossRef]
- Bhaskaran, S.; Smith, R.H.; Newton, R.J. Physiological changes in cultured sorghum cells in response to induced water stress: I. Free proline. Plant Physiol. 1985, 79, 266–269. [Google Scholar] [CrossRef]
- Ibarra-Caballero, J.; Villanueva-Verduzco, C.; Molina-Galán, J.; Sánchez-de-Jiménez, E. Proline accumulation as a symptom of drought stress in maize: A tissue differentiation requirement. J. Exp. Bot. 1988, 39, 889–897. [Google Scholar] [CrossRef]
- Perez-Alfocea, F.; Santa-Cruz, A.; Guerrier, G.; Bolarin, M.C. NaCl stress-induced organic solute changes on leaves and calli of Lycopersicon esculentum, L. pennellii and their interspecific hybrid. J. Plant Physiol. 1994, 143, 106–111. [Google Scholar] [CrossRef]
- Anyia, A.O.; Herzog, H. Water-use efficiency, leaf area and leaf gas exchange of cowpeas under mid-season drought. Eur. J. Agron. 2004, 20, 327–339. [Google Scholar] [CrossRef]
- Meier, I.C.; Leuschner, C. Leaf size and leaf area index in Fagus sylvatica forests: Competing effects of precipitation, temperature, and nitrogen availability. Ecosystems 2008, 11, 655–669. [Google Scholar] [CrossRef]
- Huang, B. Role of root morphological and physiological characteristics in drought resistance of plants. In Plant-Environment Interactions; Marcel Dekker Inc.: New York, NY, USA, 2000; pp. 39–64. [Google Scholar]
- Jensen, C.; Henson, I.; Turner, N. Leaf gas exchange and water relations of lupins and wheat. II. Root and shoot water relations of lupin during drought-induced stomatal closure. Funct. Plant Biol. 1989, 16, 415. [Google Scholar] [CrossRef]
- Rodriguez-Dominguez, C.M.; Brodribb, T.J. Declining root water transport drives stomatal closure in olive under moderate water stress. New Phytol. 2020, 225, 126–134. [Google Scholar] [CrossRef]
- Blackman, C.J.; Brodribb, T.J.; Jordan, G.J. Leaf hydraulic vulnerability is related to conduit dimensions and drought resistance across a diverse range of woody angiosperms. New Phytol. 2010, 188, 1113–1123. [Google Scholar] [CrossRef]
- Cavalier-Smith, T. Cell volume and the evolution of eukaryotic genome size. In The evolution of Genome Size; Cavalier-Smith, T., Ed.; John Wiley and Sons: Chichester, UK, 1985; pp. 105–184. [Google Scholar]
Disclaimer/Publisher’s Note: The statements, opinions and data contained in all publications are solely those of the individual author(s) and contributor(s) and not of MDPI and/or the editor(s). MDPI and/or the editor(s) disclaim responsibility for any injury to people or property resulting from any ideas, methods, instructions or products referred to in the content. |
© 2023 by the authors. Licensee MDPI, Basel, Switzerland. This article is an open access article distributed under the terms and conditions of the Creative Commons Attribution (CC BY) license (https://creativecommons.org/licenses/by/4.0/).