Effects of Canopy Position and Microclimate on Fruit Development and Quality of Camellia oleifera
Abstract
:1. Introduction
2. Materials and Methods
2.1. Experimental Area and Material
2.2. Light Intensity, Temperature and Relative Humidity
2.3. Fruit Quality
2.4. Statistical Analysis
3. Results
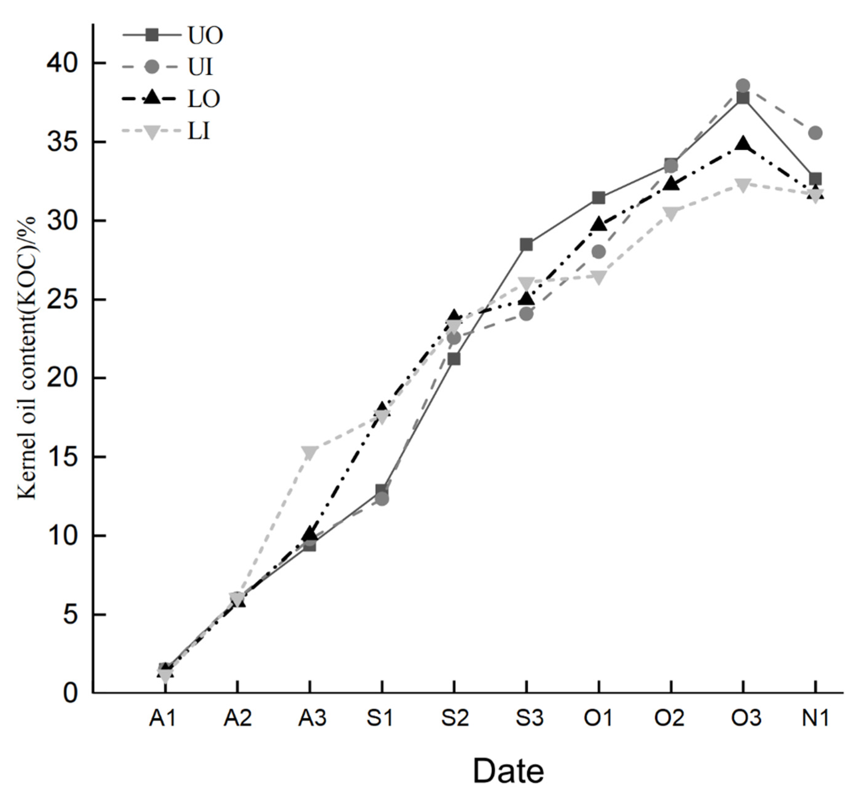
3.1. Fruit Development
3.2. Variations in Microclimate within the Canopy between July and October
3.3. Spatial–Temporal Microclimatic Distribution of Canopy
3.4. Relationships between Fruit Qualities
3.5. Relationships between Microclimate and Fruit Qualities
4. Discussion
4.1. The Development of Fruit Qualities and Correlations between Fruit Qualities
4.2. Variations of Microclimate within the Canopy between July and October
4.3. The Relationship between Microclimate and Fruit Qualities
4.4. The Impact of Canopy Position and Light Intensity on Fruit Quality
5. Conclusions
Supplementary Materials
Author Contributions
Funding
Data Availability Statement
Acknowledgments
Conflicts of Interest
References
- Ye, H.; Chen, Z.; Jia, T.; Su, Q.; Su, S. Response of different organic mulch treatments on yield and quality of Camellia oleifera. Agric. Water Manag. 2021, 245, 106654. [Google Scholar] [CrossRef]
- Luan, F.; Zeng, J.; Yang, Y.; He, X.; Wang, B.; Gao, Y.; Zeng, N. Recent advances in Camellia oleifera Abel: A review of nutritional constituents, biofunctional properties, and potential industrial applications. J. Funct. Foods 2020, 75, 104242. [Google Scholar] [CrossRef]
- Zhang, F.; Li, Z.; Zhou, J.; Gu, Y.; Tan, X. Comparative study on fruit development and oil synthesis in two cultivars of Camellia oleifera. BMC Plant Biol. 2021, 21. [Google Scholar] [CrossRef] [PubMed]
- Cheng, X.; Yang, T.; Wang, Y.; Zhou, B.; Yan, L.; Teng, L.; Wang, F.; Chen, L.; He, Y.; Guo, K.; et al. New method for effective identification of adulterated Camellia oil basing on Camellia oleifera−specific DNA. Arab. J. Chem. 2018, 11, 815–826. [Google Scholar] [CrossRef]
- Huang, S.; Wang, Q.; Wang, Y.; Ying, R.; Fan, G.; Huang, M.; Agyemang, M. Physicochemical characterization and antioxidant activities of Chongqing virgin olive oil: Effects of variety and ripening stage. J. Food Meas. Charact. 2020, 14, 2010–2020. [Google Scholar] [CrossRef]
- Zhang, F.; Zhu, F.; Chen, B.; Su, E.; Chen, Y.; Cao, F. Composition, bioactive substances, extraction technologies and the influences on characteristics of Camellia oleifera oil: A review. Food Res. Int. 2022, 156, 111159. [Google Scholar] [CrossRef]
- Liu, J.; Liu, J.; Wang, J.; Wang, H.; Zuo, J.; Hu, D. Fruit yield and properties of Camellia oleifera Abel can be enhanced via fine roots promotion under mulch. Arch. Für Acker−Und Pflanzenbau Und Bodenkd. 2022, 68, 1175–1191. [Google Scholar] [CrossRef]
- Wu, F.; Li, J.; Chen, Y.; Zhang, L.; Zhang, Y.; Wang, S.; Shi, X.; Li, L.; Liang, J. Effects of Phosphate Solubilizing Bacteria on the Growth, Photosynthesis, and Nutrient Uptake of Camellia oleifera Abel. Forests 2019, 10, 348. [Google Scholar] [CrossRef]
- Liu, R.; Xiao, Z.; Hashem, A.; Abd Allah, E.F.; Wu, Q. Mycorrhizal Fungal Diversity and Its Relationship with Soil Properties in Camellia oleifera. Agriculture 2021, 11, 470. [Google Scholar] [CrossRef]
- Wen, Y.; Su, S.; Ma, L.; Yang, S.; Wang, Y.; Wang, X. Effects of canopy microclimate on fruit yield and quality of Camellia oleifera. Sci. Hortic. 2018, 235, 132–141. [Google Scholar]
- Zhang, Y.; Wen, Y.; Bai, Q.; Ma, Z.; Ye, H.; Su, S. Spatio−temporal effects of canopy microclimate on fruit yield and quality of Sapindus mukorossi Gaertn. Sci. Hortic. 2019, 251, 136–149. [Google Scholar] [CrossRef]
- Wen, Y.; Su, S.; Zhang, H. Effects of Canopy Microclimate on Chinese Chestnut (Castanea mollissima Blume) Nut Yield and Quality. Forests 2020, 11, 97. [Google Scholar] [CrossRef]
- Zhang, D.P. Canopy microclimate and the basic concept and connotation in biological research regulation. Sino−Overseas Grapevine Wine 1993, 2, 1–4. [Google Scholar]
- Conde−Innamorato, P.; García, C.; Villamil, J.J.; Ibáñez, F.; Zoppolo, R.; Arias−Sibillotte, M.; Ponce De León, I.; Borsani, O.; García−Inza, G.P. The Impact of Irrigation on Olive Fruit Yield and Oil Quality in a Humid Climate. Agronomy 2022, 12, 313. [Google Scholar] [CrossRef]
- Li, X.; Sun, Y.; Wang, X.; Dong, X.; Zhang, T.; Yang, Y.; Chen, S. Relationship between key environmental factors and profiling of volatile compounds during cucumber fruit development under protected cultivation. Food Chem. 2019, 290, 308–315. [Google Scholar] [CrossRef]
- Menzel, C.M. Temperature Has a Greater Effect on Fruit Growth than Defoliation or Fruit Thinning in Strawberries in the Subtropics. Agriculture 2019, 9, 127. [Google Scholar] [CrossRef]
- Anthony, B.M.; Chaparro, J.M.; Sterle, D.G.; Prenni, J.E.; Minas, I.S. Metabolic signatures of the true physiological impact of canopy light environment on peach fruit quality. Environ. Exp. Bot. 2021, 191, 104630. [Google Scholar] [CrossRef]
- Gucci, R.; Caruso, G.; Gennai, C.; Esposto, S.; Urbani, S.; Servili, M. Fruit growth, yield and oil quality changes induced by deficit irrigation at different stages of olive fruit development. Agric. Water Manag. 2019, 212, 88–98. [Google Scholar] [CrossRef]
- VanderWeide, J.; Tombesi, S.; Castellarin, S.D.; Sabbatini, P. Canopy architecture and fruit microclimate, not ripening−related phytohormones, control phenylpropanoid accumulation in response to early leaf removal in ‘Merlot’ (Vitis vinifera L.) grapevines. Plant Physiol. Biochem. 2020, 157, 291–302. [Google Scholar] [CrossRef]
- Zhang, J.; Serra, S.; Leisso, R.S.; Musacchi, S. Effect of light microclimate on the quality of ‘d’Anjou’ pears in mature open−centre tree architecture. Biosyst. Eng. 2016, 141, 1–11. [Google Scholar] [CrossRef]
- Duan, W.; Yuan, D.; Gao, C.; Gong, C.; Lei, X.; Liao, T. Relationship between tree composition and light utilization of Camellia oleifera. For. Res. 2013, 26, 118–122. [Google Scholar]
- Moing, A.; Renaud, C.; Gaudillere, M.; Raymond, P.; Roudeillac, P.; Denoyes−Rothan, B. Biochemical Changes during Fruit Development of Four Strawberry Cultivars. J. Am. Soc. Hortic. Sci. 2001, 126, 394–403. [Google Scholar] [CrossRef]
- Minas, I.S.; Tanou, G.; Molassiotis, A. Environmental and orchard bases of peach fruit quality. Sci. Hortic. 2018, 235, 307–322. [Google Scholar] [CrossRef]
- Lin, L.; Niu, Z.; Jiang, C.; Yu, L.; Wang, H.; Qiao, M. Influences of open−central canopy on photosynthetic parameters and fruit quality of apples (Malus × domestica) in the Loess Plateau of China. Hortic. Plant J. 2022, 8, 133–142. [Google Scholar] [CrossRef]
- Zeng, F.H. Biochemistry Experiments; Higher Education Press: Beijing, China, 2011. [Google Scholar]
- Liu, S.; Nie, M.; Wang, L.; Cui, Q.W. Change of sweet potato starch and soluble sugar in the process of storage. J. Anhui Agric. Sci. 2015, 43, 274–276. [Google Scholar]
- Zhou, C.-F.; Yao, X.-H.; Lin, P.; Wang, K.-L.; Chuang, J.; Mo, R.-H. Constituents changes associated with seeds development of Camellia oleifera Abel. Chin. J. Oil Crop Sci. 2013, 35, 680–685. [Google Scholar]
- Chen, Y.-Z.; Xiao, Z.-H.; Peng, S.-F.; Yang, X.-H.; Li, D.-X.; Wang, X.-N.; Duang, W. Study of fruit growing specialties and its oil content in oil-tea camellia. For. Res. 2006, 19, 9–14. (In Chinese) [Google Scholar]
- Tang, J.; Feng, J.; Yang, Z.J.; Chen, S.; Chen, H.; Bai, Y. Changes of endogenous hormones in fruit and their effects on the fruit development of Camellia oleifera. J. For. Environ. 2015, 35, 78–81. [Google Scholar]
- Kviklys, D.; Viškelis, J.; Liaudanskas, M.; Janulis, V.; Laužikė, K.; Samuolienė, G.; Uselis, N.; Lanauskas, J. Apple Fruit Growth and Quality Depend on the Position in Tree Canopy. Plants 2022, 11, 196. [Google Scholar] [CrossRef]
- Contreras, S.; Rabara, R.; Bennett, M.A.; Tay, D.; McDonald, M. Acquisition of germination capacity, photosensitivity, and desiccation tolerance in lettuce seeds. Seed Sci. Technol. 2008, 36, 667–678. [Google Scholar] [CrossRef]
- Emmanouilidou, M.G.; Koukourikou−Petridou, M.; Gerasopoulos, D.; Kyriacou, M.C. Evolution of physicochemical constitution and cultivar−differential maturity configuration in olive (Olea europaea L.) fruit. Sci. Hortic. 2020, 272, 109516. [Google Scholar] [CrossRef]
- El Balla, M.; Saidahmed, A.I.; Makkawi, M. Effect of moisture content and maturity on hardseededness and germination in okra (Abelmoschus esculentus L. Moench). Int. J. Plant Physiol. Biochem. 2011, 3, 102–107. [Google Scholar]
- Song, Q.; Ji, K.; Mo, W.; Wang, L.; Chen, L.; Gao, L.; Gong, W.; Yuan, D. Dynamics of sugars, endogenous hormones, and oil content during the development of Camellia oleifera fruit. Botany 2021, 99, 515–529. [Google Scholar] [CrossRef]
- Schwender, J.; Hebbelmann, I.; Heinzel, N.; Hildebrandt, T.; Rogers, A.; Naik, D.; Klapperstück, M.; Braun, H.; Schreiber, F.; Denolf, P.; et al. Quantitative Multilevel Analysis of Central Metabolism in Developing Oilseeds of Oilseed Rape during in Vitro Culture. Plant Physiol. 2015, 168, 828–848. [Google Scholar] [CrossRef]
- Liang, W.; Xiao, P.; Cui, M.; Cui, Y.; Luo, L. The growth and development dynamics of Camellia oleifera Abel. fruits and seeds. J. Nanchang Univ. (Nat. Sci.) 2019, 43, 46–52. (In Chinese) [Google Scholar]
- Stone, C.H.; Close, D.C.; Bound, S.A.; Hunt, I. Training Systems for Sweet Cherry: Light Relations, Fruit Yield and Quality. Agronomy 2022, 12, 643. [Google Scholar] [CrossRef]
- Reale, L.; Nasini, L.; Cerri, M.; Regni, L.; Ferranti, F.; Proietti, P. The Influence of Light on Olive (Olea europaea L.) Fruit Development Is Cultivar Dependent. Front. Plant Sci. 2019, 10, 385. [Google Scholar] [CrossRef]
- Zhang, P.; Yang, X.; Manevski, K.; Li, S.; Wei, Z.; Andersen, M.N.; Liu, F. Physiological and Growth Responses of Potato (Solanum Tuberosum L.) to Air Temperature and Relative Humidity under Soil Water Deficits. Plants 2022, 11, 1126. [Google Scholar] [CrossRef]
- Wen, Y.; Zhang, Y.; Su, S.; Yang, S.; Ma, L.; Zhang, L.; Wang, X. Effects of Tree Shape on the Microclimate and Fruit Quality Parameters of Camellia oleifera Abel. Forests 2019, 10, 563. [Google Scholar] [CrossRef] [Green Version]
- Chang, Y.; Lin, T. Temperature Effects on Fruit Development and Quality Performance of Nagami Kumquat (Fortunella margarita [Lour.] Swingle). Hortic. J. 2020, 89, 351–358. [Google Scholar] [CrossRef]
- Marini, R.P.; Sowers, D.; Marini, M.C. Peach Fruit Quality Is Affected by Shade during Final Swell of Fruit Growth. J. Am. Soc. Hortic. Sci. 1991, 116, 383–389. [Google Scholar] [CrossRef]
- Stanley, J.; Marshall, R.; Scofield, C.; Alspach, P. The effects of reflective cloth and adjusted fruit distribution on apricot fruit quality. Acta Hortic. 2016, 241–248. [Google Scholar] [CrossRef]
- Trad, M.; Gaaliche, B.; Renard, C.M.G.C.; Mars, M. Inter− and intra−tree variability in quality of figs. Influence of altitude, leaf area and fruit position in the canopy. Sci. Hortic. 2013, 162, 49–54. [Google Scholar] [CrossRef]
- Grilo, F.; Caruso, T.; Wang, S.C. Influence of fruit canopy position and maturity on yield determinants and chemical composition of virgin olive oil. J. Sci. Food Agric. 2019, 99, 4319–4330. [Google Scholar] [CrossRef]
- Grilo, F.; Sedaghat, S.; Di Stefano, V.; Sacchi, R.; Caruso, T.; Lo Bianco, R. Tree Planting Density and Canopy Position Affect ‘Cerasuola’ and ‘Koroneiki’ Olive Oil Quality. Horticulturae 2021, 7, 11. [Google Scholar] [CrossRef]
- Kalcsits, L.; Mattheis, J.; Giordani, L.; Reid, M.; Mullin, K. Fruit canopy positioning affects fruit calcium and potassium concentrations, disorder incidence, and fruit quality for ‘Honeycrisp’ apple. Can. J. Plant Sci. 2019, 99, 761–771. [Google Scholar] [CrossRef]
- Willaume, M.; Lauri, P.R.; Sinoquet, H. Light interception in apple trees influenced by canopy architecture manipulation. Trees 2004, 18, 705–713. [Google Scholar] [CrossRef]
- Rousseaux, M.C.; Cherbiy−Hoffmann, S.U.; Hall, A.J.; Searles, P.S. Fatty acid composition of olive oil in response to fruit canopy position and artificial shading. Sci. Hortic. 2020, 271, 109477. [Google Scholar] [CrossRef]
- Hamadziripi, E.T.; Theron, K.I.; Muller, M.; Steyn, W.J. Apple Compositional and Peel Color Differences Resulting from Canopy Microclimate Affect Consumer Preference for Eating Quality and Appearance. HortScience 2014, 49, 384–392. [Google Scholar] [CrossRef] [Green Version]










| Periods | Location | 8:00 | 11:00 | 14:00 | 17:00 |
|---|---|---|---|---|---|
| July | UO | 32.68 ± 1.68 b | 37.79 ± 1.10 a | 37.43 ± 2.19 a | 36.96 ± 2.55 Aa |
| UI | 32.84 ± 1.62 c | 37.71 ± 1.11 a | 37.66 ± 2.37 a | 34.84 ± 1.72 Bb | |
| LO | 32.82 ± 1.99 c | 38.10 ± 0.99 a | 37.61 ± 2.22 a | 34.81 ± 1.80 Bb | |
| LI | 33.09 ± 1.64 b | 37.83 ± 0.93 a | 37.43 ± 2.18 a | 34.72 ± 1.76 Bb | |
| August | UO | 28.84 ± 3.01 c | 33.56 ± 2.43 ab | 33.82 ± 2.46 a | 30.85 ± 3.18 Bbc |
| UI | 28.92 ± 3.06 b | 33.65 ± 2.43 a | 34.07 ± 2.71 a | 34.07 ± 2.71 Aa | |
| LO | 28.85 ± 3.09 c | 33.49 ± 2.51 ab | 34.10 ± 2.80 a | 30.83 ± 3.21 Bbc | |
| LI | 28.88 ± 3.20 c | 33.38 ± 2.44 ab | 33.82 ± 2.58 a | 30.77 ± 3.20 Bbc | |
| September | UO | 29.93 ± 0.62 d | 35.24 ± 1.96 b | 36.88 ± 1.67 a | 32.48 ± 1.22 c |
| UI | 30.21 ±0.53 d | 35.45 ± 2.20 a | 37.08 ± 1.78 a | 32.47 ± 1.28 b | |
| LO | 30.19 ± 0.59 d | 35.56 ± 2.32 a | 37.03 ± 1.99 a | 32.40 ± 1.21 b | |
| LI | 30.08 ± 0.63 d | 35.45 ± 2.16 a | 36.95 ± 1.74 a | 32.34 ± 1.21 b | |
| October | UO | 16.95 ± 3.37 c | 19.71 ± 2.23 b | 22.96 ± 0.60 a | 19.21 ± 1.50 bc |
| UI | 16.95 ± 3.40 b | 19.75 ± 2.21 b | 23.17 ± 0.51 a | 19.51 ± 1.99 b | |
| LO | 16.95 ± 3.43 b | 19.73 ± 2.16 b | 23.03 ± 0.38 a | 19.19 ± 1.50 b | |
| LI | 16.88 ± 3.45 c | 19.71 ± 2.18 b | 23.07 ± 0.53 a | 19.14 ± 1.46 bc |
| Period | Location | 8:00 | 11:00 | 14:00 | 17:00 |
|---|---|---|---|---|---|
| Jul | UO | 66.05 ± 5.61 a | 52.46 ± 1.89 c | 52.24 ± 4.47 c | 58.92 ± 6.96 b |
| UI | 65.58 ± 5.37 a | 52.27 ± 2.20 c | 52.11 ± 4.15 c | 59.38 ± 6.50 b | |
| LO | 66.09 ± 6.14 a | 51.89 ± 1.61 c | 52.16 ± 4.72 c | 59.18 ± 6.64 b | |
| LI | 65.83 ± 4.84 a | 52.17 ± 2.08 c | 52.92 ± 4.32 c | 59.75 ± 6.80 b | |
| Aug | UO | 84.62 ± 9.32 a | 69.02 ± 6.23 b | 66.61 ± 4.86 b | 77.35 ± 7.30 a |
| UI | 84.14 ± 9.46 a | 68.82 ± 6.04 b | 66.58 ± 5.16 b | 77.33 ± 7.60 a | |
| LO | 84.06 ± 9.37 a | 68.78 ± 6.35 b | 66.85 ± 5.28 b | 77.16 ± 7.48 a | |
| LI | 84.35 ± 9.38 a | 68.99 ± 6.24 b | 67.20 ± 6.04 b | 77.43 ± 7.65 a | |
| Sep | UO | 73.06 ± 9.26 a | 56.81 ± 13.68 b | 50.06 ± 11.85 b | 57.72 ± 9.12 b |
| UI | 72.84 ± 9.14 a | 56.20 ± 13.71 b | 49.94 ± 12.09 b | 58.04 ± 9.36 b | |
| LO | 72.72 ± 9.10 a | 57.01 ± 13.01 b | 49.61 ± 12.26 b | 57.97 ± 8.94 b | |
| LI | 72.86 ± 9.21 a | 56.24 ± 13.81 b | 50.27 ± 12.39 b | 57.96 ± 9.03 b | |
| Oct | UO | 81.56 ± 4.96 a | 72.09 ± 2.19 ab | 61.64 ± 11.60 c | 70.77 ± 9.52 bc |
| UI | 81.68 ± 4.79 a | 71.93 ± 2.43 b | 62.20 ± 11.05 c | 71.43 ± 9.09 bc | |
| LO | 81.71 ± 5.01 a | 72.09 ± 2.15 b | 61.26 ± 11.18 c | 71.33 ± 9.20 b | |
| LI | 81.11 ± 3.96 a | 72.26 ± 2.01 ab | 61.98 ± 11.11 c | 71.65 ± 8.98 b |
| Microclimate | Light Intensity | Relative Humidity | Temperature | ||||||||||
|---|---|---|---|---|---|---|---|---|---|---|---|---|---|
| Month | Jul | Aug | Sep | Oct | Jul | Aug | Sep | Oct | Jul | Aug | Sep | Oct | |
| Fruit moisture content (FMC) | Jul | 0.016 | 0.538 ** | −0.395 ** | |||||||||
| Aug | 0.094 | 0.13 | 0.217 | −0.421 ** | −0.032 | 0.259 | |||||||
| Sep | 0.041 | 0.033 | −0.403 ** | 0.091 | −0.278 | 0.543 ** | 0.079 | 0.138 | −0.402 ** | ||||
| Oct | 0.038 | 0.139 | −0.431 ** | −0.527** | −0.086 | −0.492 ** | 0.363 * | 0.335* | 0.068 | 0.408 ** | −0.370 ** | 0.226 | |
| Seed moisture content (SMC) | Jul | 0.101 | 0.003 | 0.162 | |||||||||
| Aug | 0.091 | 0.167 | 0.135 | −0.518 ** | 0.042 | 0.348 * | |||||||
| Sep | −0.016 | 0.114 | −0.318 * | 0.007 | −0.409 ** | 0.462 ** | 0.149 | 0.313 * | −0.307 * | ||||
| Oct | −0.077 | 0.197 | −0.297 * | −0.398 ** | −0.285 * | −0.580 ** | 0.192 | 0.276 | 0.243 | 0.514 ** | −0.189 | 0.176 | |
| Kernel moisture content (KMC) | Jul | −0.096 | −0.153 | 0.278 | |||||||||
| Aug | 0.011 | 0.091 | −0.089 | −0.550 ** | 0.172 | 0.426 ** | |||||||
| Sep | −0.024 | 0.145 | −0.259 | −0.019 | −0.406 ** | 0.404 ** | 0.178 | 0.319 * | −0.254 | ||||
| Oct | −0.085 | 0.137 | −0.354 * | −0.430 ** | −0.11 | −0.397 ** | 0.313 * | 0.279 | 0.116 | 0.321 * | −0.322 * | 0.176 | |
| Fresh seed content (FSC) | Jul | −0.116 | −0.064 | −0.112 | |||||||||
| Aug | 0.076 | 0.164 | 0.168 | −0.418 ** | 0.04 | 0.261 | |||||||
| Sep | 0.019 | −0.139 | 0.248 | 0.179 | 0.544 ** | −0.158 | −0.241 | −0.460 ** | 0.151 | ||||
| Oct | −0.048 | 0.245 | 0.477 ** | 0.432 ** | −0.213 | 0.158 | −0.495 ** | −0.271 | 0.141 | −0.024 | 0.478 ** | −0.191 | |
| Fresh kernel content (FKC) | Jul | −0.112 | −0.069 | −0.11 | |||||||||
| Aug | 0.063 | 0.121 | 0.199 | −0.215 | 0.001 | 0.094 | |||||||
| Sep | −0.024 | −0.166 | 0.295 * | 0.147 | 0.580 ** | −0.278 | −0.213 | −0.475 ** | 0.265 | ||||
| Oct | −0.065 | 0.227 | 0.496 ** | 0.440 ** | −0.28 | 0.078 | −0.509 ** | −0.25 | 0.167 | 0.045 | 0.486 ** | −0.177 | |
| Dry seed content (DSC) | Jul | −0.05 | 0.116 | −0.251 | |||||||||
| Aug | 0.052 | 0.097 | 0.239 | −0.290 * | −0.023 | 0.145 | |||||||
| Sep | −0.083 | −0.185 | 0.136 | 0.244 | 0.682 ** | −0.259 | −0.223 | −0.587 ** | 0.196 | ||||
| Oct | −0.021 | 0.113 | 0.520 ** | 0.520 ** | −0.086 | 0.363 * | −0.545 ** | −0.360 * | 0.037 | −0.214 | 0.533 ** | −0.239 | |
| Dry kernel content (DKC) | Jul | −0.125 | −0.171 | −0.024 | |||||||||
| Aug | 0.092 | 0.123 | 0.281 | −0.171 | −0.08 | 0.047 | |||||||
| Sep | −0.066 | −0.196 | 0.196 | 0.128 | 0.652 ** | −0.393 ** | −0.187 | −0.542 ** | 0.289 * | ||||
| Oct | −0.001 | 0.097 | 0.591 ** | 0.574 ** | −0.255 | 0.169 | −0.639 ** | −0.352 * | 0.134 | −0.032 | 0.633 ** | −0.23 | |
| Soluble sugar content (SSC) | Jul | −0.041 | −0.083 | 0.109 | |||||||||
| Aug | 0.154 | 0.422 ** | −0.076 | −0.106 | 0.052 | 0.06 | |||||||
| Sep | 0.048 | 0.152 | −0.059 | −0.324 * | −0.436 ** | −0.117 | 0.321 * | 0.422 ** | 0.139 | ||||
Publisher’s Note: MDPI stays neutral with regard to jurisdictional claims in published maps and institutional affiliations. |
© 2022 by the authors. Licensee MDPI, Basel, Switzerland. This article is an open access article distributed under the terms and conditions of the Creative Commons Attribution (CC BY) license (https://creativecommons.org/licenses/by/4.0/).
Share and Cite
Lu, Y.; Si, Y.; Zhang, L.; Sun, Y.; Su, S. Effects of Canopy Position and Microclimate on Fruit Development and Quality of Camellia oleifera. Agronomy 2022, 12, 2158. https://doi.org/10.3390/agronomy12092158
Lu Y, Si Y, Zhang L, Sun Y, Su S. Effects of Canopy Position and Microclimate on Fruit Development and Quality of Camellia oleifera. Agronomy. 2022; 12(9):2158. https://doi.org/10.3390/agronomy12092158
Chicago/Turabian StyleLu, Yifan, Yuanyuan Si, Lingyun Zhang, Yongjiang Sun, and Shuchai Su. 2022. "Effects of Canopy Position and Microclimate on Fruit Development and Quality of Camellia oleifera" Agronomy 12, no. 9: 2158. https://doi.org/10.3390/agronomy12092158
APA StyleLu, Y., Si, Y., Zhang, L., Sun, Y., & Su, S. (2022). Effects of Canopy Position and Microclimate on Fruit Development and Quality of Camellia oleifera. Agronomy, 12(9), 2158. https://doi.org/10.3390/agronomy12092158

