The Birds and the Bees: Producing Beef and Conservation Benefits on Working Grasslands
Abstract
:1. Introduction
2. Critical Concerns for Grassland Biodiversity
2.1. The Plight of Grassland Birds
2.2. The Plight of Native Pollinators
2.3. Soil Microbes
3. Solutions for Grassland Biodiversity Conservation
3.1. Appropriate Disturbance
3.2. Working Lands Approach
3.3. Improved Grassland Management
3.4. Restoration of Native Plants Species within Forage Systems
4. Case Studies
4.1. Natives Complementing Tall Fescue
4.2. Patch-Burn Grazing
4.3. Weediness and/or More Diverse Plantings
5. Policy Solutions
5.1. Encouraging Native Species
5.2. Encouraging More Diverse Plant Communities
5.3. Implementation of Research
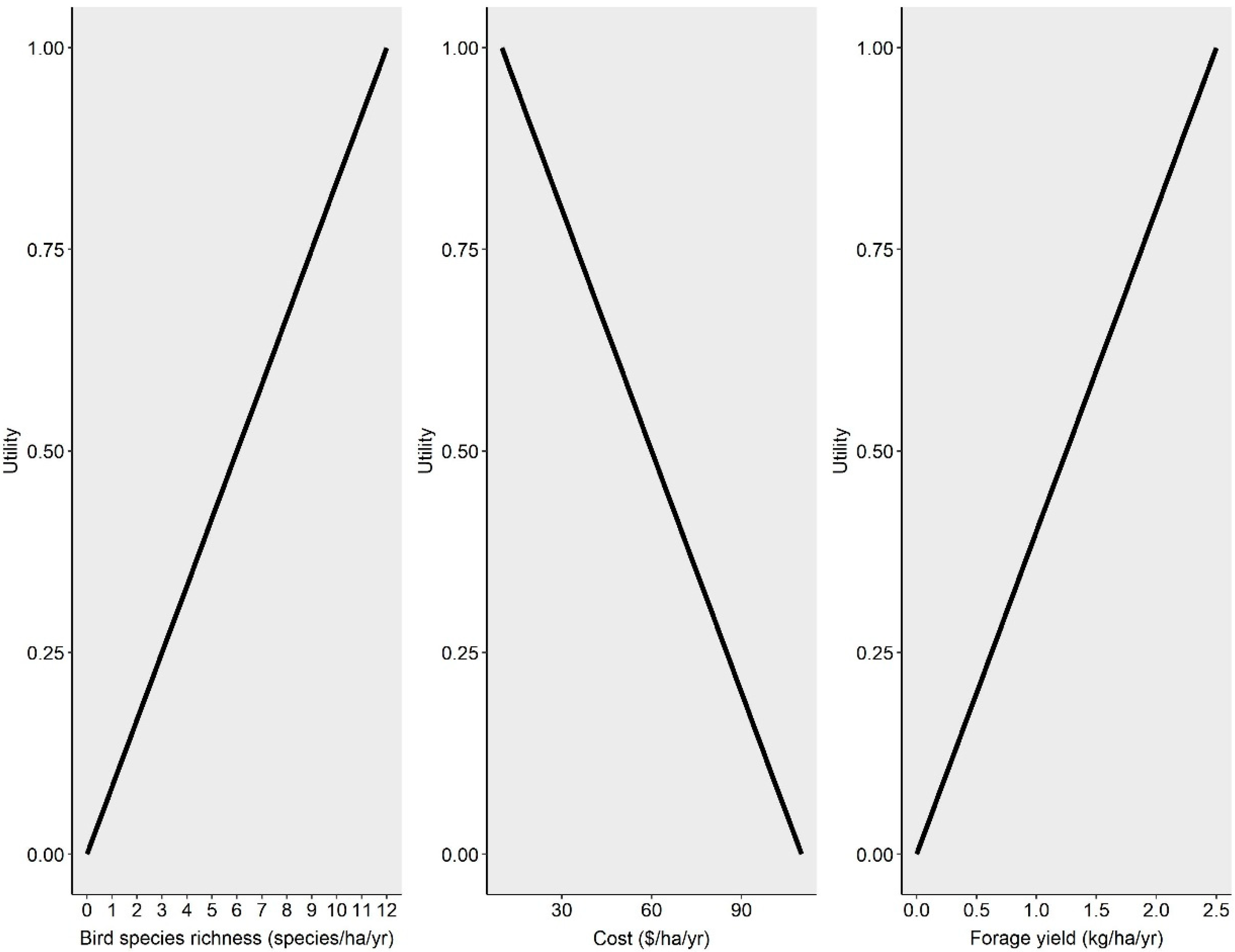
5.4. Evaluation of Tradeoffs for Working Grasslands
6. Conclusions
Author Contributions
Funding
Conflicts of Interest
References
- USRSB. U.S. Beef Industry Sustainability Framework, U.S. Roundtable for Sustainable Beef. 2019. Available online: https://www.beefsustainability.us/ (accessed on 13 May 2022).
- USRSB. U.S. Roundtable for Sustainable Beef, High-Priority Indicator Goals & Sector Targets. 2022. Available online: https://www.usrsb.org/goals (accessed on 13 May 2022).
- TNC. A Roadmap to a Sustainable Beef System. The Nature Conservancy. 2021. Available online: https://www.nature.org/content/dam/tnc/nature/en/documents/TNCBeefRoadmap_FINAL_April152020.pdf (accessed on 13 May 2022).
- Rotz, C.A.; Asem-Hiablie, S.; Place, S.; Thoma, G. Environmental footprints of beef cattle production in the United States. Agric. Syst. 2019, 169, 1–13. [Google Scholar] [CrossRef]
- Sanderson, J.S.; Beutler, C.; Brown, J.R.; Burke, I.; Chapman, T.; Conant, R.T.; Derner, J.D.; Easter, M.; Fuhlendorf, S.D.; Grissom, G.; et al. Cattle, conservation, and carbon in the western Great Plains. J. Soil Water Conserv. 2020, 75, 5A–12A. [Google Scholar] [CrossRef]
- Sprunger, C.D.; Martin, T.; Mann, M. Systems with greater perenniality and crop diversity enhance soil biological health. Agric. Environ. Lett. 2020, 5, e20030. [Google Scholar] [CrossRef]
- Hu, J.; Richwine, J.D.; Keyser, P.D.; Li, L.; Yao, F.; Jagadamma, S.; DeBruyn, J.M. Nitrogen Fertilization and native C4 grass species alter abundance, activity, and diversity of soil diazotrophic communities. Front. Microbiol. 2021, 12, 675693. [Google Scholar] [CrossRef]
- Engle, D.M.; Coppedge, B.R.; Fuhlendorf, S.D. From the Dust Bowl to the Green Glacier: Human activity and environmental change in Great Plains grasslands. In Western North American Juniperus Communities; Van Auken, O.W., Ed.; Ecological Studies; Springer: New York, NY, USA, 2008; p. 196. [Google Scholar] [CrossRef]
- Lark, T.J. Protecting our prairies: Research and policy actions for conserving America’s grasslands. Land Use Policy 2020, 97, 104727. [Google Scholar] [CrossRef]
- Bardgett, R.D.; Bullock, J.M.; Lavorel, S.; Manning, P.; Schaffner, U.; Ostle, N.; Chomel, M.; Durigan, G.; Fry, E.L.; Johnson, D.; et al. Combatting global grassland degradation. Nat. Rev. Earth Environ. 2021, 2, 720–735. [Google Scholar] [CrossRef]
- Teague, W.R.; Dowhower, S.L.; Baker, S.A.; Haile, N.; DeLaune, P.B.; Conover, D.M. Grazing management impacts on vegetation, soil biota and soil chemical, physical and hydrological properties in tall grass prairie. Agric. Ecosyst. Environ. 2011, 141, 3–4. [Google Scholar] [CrossRef]
- Fischer, C.; Tischer, J.; Roscher, C.; Eisenhauer, N.; Ravenek, J.; Gleixner, G.; Attinger, S.; Jensen, B.; de Kroon, H.; Hildebrandt, A.; et al. Plant species diversity affects infiltration capacity in an experimental grassland through changes in soil properties. Plant Soil 2015, 397, 1–16. [Google Scholar] [CrossRef]
- Distel, R.A.; Arroquy, J.I.; Lagrange, S.; Villalba, J.J. Designing diverse agricultural pastures for improving ruminant production systems. Front. Sustain. Food Syst. 2020, 4, 596869. [Google Scholar] [CrossRef]
- Fuhlendorf, S.D.; Harrell, W.C.; Engle, D.M.; Hamilton, R.G.; Davis, C.A.; Leslie, D.M., Jr. Should heterogeneity be the basis for conservation? Grassland bird response to fire and grazing. Ecol. Appl. 2006, 16, 1706–1716. [Google Scholar] [CrossRef]
- Powell, A.F.L.A. Responses of breeding birds in tallgrass prairie to fire and cattle grazing. J. Field Ornith. 2008, 79, 41–52. [Google Scholar] [CrossRef]
- Johnson, T.N.; Kennedy, P.L.; Etterson, M.A. Nest success and cause-specific nest failure of grassland passerines breeding in prairie grazed by livestock. J. Wildl. Manag. 2012, 76, 1607–1616. [Google Scholar] [CrossRef]
- Monroe, A.P.; Chandler, R.B.; Burger Jr., L.W.; Martin, J.A. Converting exotic forages to native warm-season grass can increase avian productivity in beef production systems. Agric. Ecosyst. Environ. 2016, 233, 85–93. [Google Scholar] [CrossRef]
- Yeiser, J.M.; Morgan, J.J.; Baxley, D.L.; Chandler, R.B.; Martin, J.A. Private land conservation has landscape-scale benefits for wildlife in agroecosystems. J. Appl. Ecol. 2018, 55, 1930–1939. [Google Scholar] [CrossRef]
- Keyser, P.D.; West, A.S.; Buehler, D.A.; Lituma, C.M.; Morgan, J.J.; Applegate, R.D. Breeding bird use of production stands of native grasses—A working lands conservation approach. Rangel. Ecol. Manag. 2020, 73, 827–837. [Google Scholar] [CrossRef]
- Keyser, P.D.; Buehler, D.A.; Hedges, K.; Hodges, J.; Lituma, C.M.; Loncarich, F.; Martin, J.A. Eastern grasslands: Conservation challenges and opportunities on private lands. Wildl. Soc. Bull. 2019, 43, 382–390. [Google Scholar] [CrossRef]
- Lituma, C.M.; Buckley, B.R.; Keyser, P.D.; Holcomb, E.; Smith, R.; Morgan, J.; Applegate, R.D. Effects of patch-burn grazing and rotational grazing on grassland bird abundance, species richness, and diversity in native grassland pastures of the Midsouth USA. Agric. Ecosyst. Environ. 2021, 324, 107710. [Google Scholar] [CrossRef]
- USDA. United States Department of Agriculture National Agricultural Statistic Service. 2017. US Census of Agriculture. USDA—National Agricultural Statistics Service—2017 Census of Agriculture—Volume 1, Chapter 2: State Level Data. 2017. Available online: https://www.nass.usda.gov/Publications/AgCensus/2017/Full_Report/Census_by_State/index.php (accessed on 28 April 2022).
- Rosenberg, K.V.; Dokter, A.M.; Blancher, P.J.; Sauer, J.R.; Smith, A.C.; Smith, P.A.; Stanton, J.C.; Panjabi, A.; Helft, L.; Parr, M.; et al. Decline of the North American avifauna. Science 2019, 366, 120–124. [Google Scholar] [CrossRef]
- Shackelford, G.; Steward, P.R.; Benton, T.G.; Kunin, W.E.; Potts, S.G.; Biesmeijer, J.C.; Sait, S.M. Comparison of pollinators and natural enemies: A meta-analysis of landscape and local effects on abundance and richness in crops. Biol. Rev. 2013, 88, 1002–1021. [Google Scholar] [CrossRef]
- Potts, S.G.; Biesmeijer, J.C.; Kremen, C.; Neumann, P.; Schweiger, O.; Kunin, W.E. Global pollinator declines: Trends, impacts and drivers. Trends Ecol. Evol. 2010, 25, 345–353. [Google Scholar] [CrossRef]
- Grab, H.; Branstetter, M.G.; Amon, N.; Urban-Mead, K.R.; Park, M.G.; Gibbs, J.; Blitzer, E.J.; Poveda, K.; Loeb, G.; Danforth, B.N. Agriculturally dominated landscapes reduce bee phylogenetic diversity and pollination services. Science 2019, 363, 282–284. [Google Scholar] [CrossRef] [PubMed]
- Loranger-Merciris, G.; Barthes, L.; Gastine, A.; Leadley, P. Rapid effects of plant species diversity and identity on soil microbial communities in experimental grassland ecosystems. Soil Biol. Biochem. 2006, 38, 2336–2343. [Google Scholar] [CrossRef]
- Thompson, G.L.; Kao-Kniffin, J. Diversity enhances NPP, N retention, and soil microbial diversity in experimental urban grassland assemblages. PLoS ONE 2016, 11, e0155986. [Google Scholar] [CrossRef] [PubMed]
- Brennan, L.A.; Kuvlesky, W.P. Invited paper: North American grassland birds: 642 an unfolding conservation crisis. J. Wildl. Manag. 2005, 69, 1–13. [Google Scholar] [CrossRef]
- West, A.S.; Keyser, P.D.; Lituma, C.M.; Buehler, D.A.; Applegate, R.D.; Morgan, J. Grasslands bird occupancy of native warm-season grass. J. Wildl. Manag. 2016, 80, 1081–1090. [Google Scholar] [CrossRef]
- Phalan, B.; Onial, M.; Balmford, A.; Green, R.E. Reconciling food production and biodiversity conservation: Land sharing and land sparing compared. Science 2011, 333, 1289–1291. [Google Scholar] [CrossRef]
- Morrison, M.L. Bird populations as indicators of environmental change. In Current Ornithology; Johnston, R.F., Ed.; Springer: Boston, MA, USA, 1986; pp. 251–429. [Google Scholar]
- Sauer, J.R.; Link, W.A.; Hines, J.E. The North American Breeding Bird Survey. Anal. Results 1966–2019; U.S. Geological Survey Data Release Laurel: Laurel, MD, USA, 2020. [Google Scholar]
- Herkert, J.R. The effects of habitat fragmentation on Midwestern grassland bird communities. Ecol. Appl. 1994, 4, 461–471. [Google Scholar] [CrossRef]
- Ribic, C.A.; Koford, R.R.; Herkert, J.R.; Johnson, D.H.; Niemuth, N.D.; Naugle, D.E.; Bakker, K.K.; Sample, D.W.; Renfrew, R.B. Area sensitivity in North American grassland birds: Patterns and processes. Auk 2009, 126, 233–244. [Google Scholar] [CrossRef]
- Lituma, C.M.; Buehler, D.B. Cost-share conservation practices have mixed effects on priority grassland and shrubland breeding bird occupancy in the Central Hardwoods Bird Conservation Region, USA. Biol. Conserv. 2020, 244, 108510. [Google Scholar] [CrossRef]
- Goulson, D.; Nicholls, E.; Botías, C.; Rotheray, E.L. Bee declines driven by combined stress from parasites, pesticides, and lack of flowers. Science 2015, 347, 1435–1444. [Google Scholar] [CrossRef]
- Van Engelsdorp, D.; Hayes, J.; Underwood, R.M.; Pettis, J. A survey of honey bee colony losses in the U.S., Fall 2007 to Spring 2008. PLoS ONE 2008, 3, e4071. [Google Scholar] [CrossRef]
- Winfree, R.; Bartomeus, I.; Cariveau, D.P. Native pollinators in anthropogenic habitats. Ann. Rev. Ecol. Evol. Syst. 2011, 42, 1–22. [Google Scholar] [CrossRef]
- Biesmeijer, J.C.; Roberts, P.M.; Reemer, M.; Ohlemüller, R.; Edwards, M.; Peeters, T.; Schaffers, A.P.; Potts, S.G.; Kleukers, R.; Thomas, C.D.; et al. Parallel declines in pollinators and insect-pollinated plants in Britain and the Netherlands. Science 2006, 313, 351–354. [Google Scholar] [CrossRef]
- Forister, M.L.; Halsch, C.A.; Nice, C.C.; Fordyce, J.A.; Dilts, T.E.; Oliver, J.C.; Prudic, K.L.; Shapiro, A.M.; Wilson, J.K.; Glassberg, J. Fewer butterflies seen by community scientists across the warming and drying landscapes of the American West. Science 2021, 371, 1042–1045. [Google Scholar] [CrossRef]
- Vidal, O.; Rendon-Salinas, E. Dynamics and trends of overwintering colonies of the monarch butterfly in Mexico. Biol. Conserv. 2014, 180, 165–175. [Google Scholar] [CrossRef]
- Winfree, R.; Aguilar, R.; Vazquez, D.P.; LeBuhn, G.; Aizen, M.A. A meta-analysis of bees’ responses to anthropogenic disturbance. Ecology 2009, 90, 2068–2076. [Google Scholar] [CrossRef] [PubMed]
- Winfree, R. The conservation and restoration of wild bees. Ann. N.Y. Acad. Sci. 2010, 1195, 169–197. [Google Scholar] [CrossRef] [PubMed]
- Ollerton, J.; Winfree, R.; Tarrant, S. How many flowering plants are pollinated by animals? Oikos 2011, 120, 321–326. [Google Scholar] [CrossRef]
- Gibson, R.H.; Nelson, I.L.; Hopkins, G.W.; Hamlett, B.J.; Memmott, J. Pollinator webs, plant communities and the conservation of rare plants: Arable weeds as a case study. J. Appl. Ecol. 2006, 43, 246–257. [Google Scholar] [CrossRef]
- Aguilar, R.; Ashworth, L.; Galetto, L.; Aizen, M.A. Plant reproductive susceptibility to habitat fragmentation: Review and synthesis through a meta-analysis. Ecol. Lett. 2006, 9, 968–980. [Google Scholar] [CrossRef]
- Klein, A.-M.; Vaissière, B.E.; Cane, J.H.; Steffan-Dewenter, I.; Cunningham, S.A.; Kremen, C.; Tscharntke, T. Importance of pollinators in changing landscapes for world crops. Proc. R. Soc. B 2007, 274, 303–313. [Google Scholar] [CrossRef] [PubMed]
- Gallai, N.; Salles, J.M.; Settele, J.; Vaissière, B.E. Economic valuation of the vulnerability of world agriculture confronted with pollinator decline. Ecol. Econ. 2009, 68, 810–821. [Google Scholar] [CrossRef]
- Losey, J.; Vaughan, M. The economic value of ecological services provided by insects. BioScience 2006, 56, 311–323. [Google Scholar] [CrossRef]
- Hallmann, C.A.; Sorg, M.; Jongejans, E.; Siepel, H.; Hofland, N.; Schwan, H.; Stenmans, W.; Müller, A.; Sumser, H.; Hörren, T.; et al. More than 75 percent decline over 27 years in total flying insect biomass in protected areas. PLoS ONE 2017, 12, e0185809. [Google Scholar] [CrossRef] [PubMed]
- Wagner, D.L.; Grames, E.M.; Forister, M.L.; Berenbaum, M.R.; Stopak, D. Insect decline in the Anthropocene: Death by a thousand cuts. Proc. Natl. Acad. Sci. USA 2021, 118, e2023989118. [Google Scholar] [CrossRef] [PubMed]
- Goulson, D.E. The insect apocalypse, and why it matters. Curr. Biol. 2019, 29, R942–R995. [Google Scholar] [CrossRef]
- Liere, H.; Jha, S.; Philpott, S.M. Intersection between biodiversity conservation, agroecology, and ecosystem services. Agroecol. Sustain. Food Sys. 2018, 41, 723–760. [Google Scholar] [CrossRef]
- Wratten, S.D.; Gillespie, M.; Decourtye, A.; Mader, E.; Desneux, N. Pollinator habitat enhancement: Benefits to other ecosystem services. Agric. Ecosyst. Environ. 2012, 159, 112–122. [Google Scholar] [CrossRef]
- Sanchez, M.E.N.; Arango, J.A.C.; Burkart, S. Promoting forage legume-pollinator interactions: Integrating crop pollination management, native beekeeping and silvopastoral systems in tropical Latin America. Front. Sustain. Food Syst. 2021, 5, 725981. [Google Scholar] [CrossRef]
- Lagerhöf, J.; Stark, J.; Svensson, B. Margins of agricultural field as habitats for pollinating insects. Agric. Ecosyst. Environ. 1992, 40, 117–124. [Google Scholar] [CrossRef]
- Croxton, P.J.; Hann, J.P.; Greatorex-Davies, J.N.; Sparks, T.H. Linear hotspots? The floral and butterfly diversity of green lanes. Biol. Conserv. 2005, 121, 579–584. [Google Scholar] [CrossRef]
- Thies, C.; Tscharntke, T. Landscape structure and biological control in agroecosystems. Science 1999, 285, 893–895. [Google Scholar] [CrossRef] [PubMed]
- Landis, D.A.; Wratten, S.D.; Gurr, G.M. Habitat management to conserve natural enemies of arthropod pests in agriculture. Annu. Rev. Entom. 2000, 45, 175–201. [Google Scholar] [CrossRef] [PubMed]
- Han, P.; Lavoir, A.-V.; Rodriguez-Saona, C.; Desneux, N. Bottom-up forces in agroecosystems and their potential impact on arthropod pest management. Ann. Rev. Entom. 2022, 67, 239–259. [Google Scholar] [CrossRef] [PubMed]
- Knapp, A.K.; Blair, J.M.; Briggs, J.M.; Collins, S.L.; Hartnett, D.C.; Johnson, L.C.; Towne, E.G. The Keystone role of bison in American Tallgrass Prairie: Bison increase habitat heterogeneity and alter a broad array of plant, community, and ecosystem processes. BioScience 1999, 49, 39–50. [Google Scholar] [CrossRef]
- Palmberg, C.; Scherer-Lorenzen, M.; Jumpponen, M.; Carlsson, G.; Huss-Danell, K.; Högberg, P. Inorganic soil nitrogen under grassland plant communities of different species composition and diversity. Oikos 2005, 110, 271–282. [Google Scholar] [CrossRef]
- Bardgett, R.D.; Wardle, D.A. Herbivore-mediated linkages between aboveground and belowground communities. Ecology 2003, 84, 2258–2268. [Google Scholar] [CrossRef]
- Liang, C.; Kao-Kniffin, J.; Sanford, G.R.; Wickings, K.; Balser, T.C.; Jackson, R.D. Microorganisms and their residues under restored perennial grassland communities of varying diversity. Soil Biol. Biochem. 2016, 103, 192–200. [Google Scholar] [CrossRef]
- Bardgett, R.D.; Cook, R. Functional aspects of soil animal diversity in agricultural grasslands. Appl. Soil Ecol. 1998, 10, 263–276. [Google Scholar] [CrossRef]
- Wakelin, S.A.; Gregg, A.L.; Simpson, R.J.; Li, G.D.; Riley, I.T.; McKay, A.C. Pasture management clearly affects soil microbial community structure and N-cycling bacteria. Pedobiologia 2009, 52, 237–251. [Google Scholar] [CrossRef]
- Liu, Y.; Miao, H.-T.; Chang, X.; Wu, G.-L. Higher species diversity improves soil water infiltration capacity by increasing soil organic matter content in semiarid grasslands. Land Degrad. Dev. 2019, 30, 1599–1606. [Google Scholar] [CrossRef]
- Garbeva, P.; van Veen, J.A.; van Elsas, J.D. Microbial diversity in soil: Selection of microbial populations by plant and soil type and implications for disease suprressiveness. Annu. Rev. Phytopath. 2004, 42, 243–270. [Google Scholar] [CrossRef] [PubMed]
- Fuhlendorf, S.D.; Engle, D.M. Restoring heterogeneity on rangelands: Ecosystem management based on evolutionary grazing patterns. BioScience 2001, 51, 625. [Google Scholar] [CrossRef]
- Wilcox, B.P.; Fuhlendorf, S.D.; Walker, J.W.; Twidwell, D.; Wu, X.B.; Goodman, L.E.; Treadwell, M.; Birt, A. Saving imperiled grassland biomes by recoupling fire and grazing: A case study from the Great Plains. Front. Ecol. Environ. 2021, 20, 179–186. [Google Scholar] [CrossRef]
- Kremen, C. Reframing the land-sparing/land-sharing debate for biodiversity conservation. Ann. N.Y. Acad. Sci. 2015, 1355, 52–76. [Google Scholar] [CrossRef]
- Wright, H.L.; Lake, I.R.; Dolman, P.M. Agriculture—a key element for conservation in the developing world. Conserv. Lett. 2012, 5, 11–19. [Google Scholar] [CrossRef]
- USDA ERS. Farm Household and Income Characteristics. 2020. Available online: https://www.ers.usda.gov/data-products/farm-household-income-and-characteristics/ (accessed on 17 December 2020).
- USDA ERS. Cash Receipts. 2020. Available online: https://data.ers.usda.gov/reports.aspx?ID=17843 (accessed on 17 December 2020).
- USDA-FSA. U.S. Department of Agriculture-Farm Service Agency, Conservation Reserve Program Statistics. 2018. Available online: https://www.fsa.usda.gov/programs-and-services/conservation-programs/reports-and-statistics/conservation-reserve-program-statistics/index (accessed on 11 April 2019).
- Askins, R.A.; Chvez-Ramrez, F.; Dale, B.C.; Haas, C.A.; Herkert, J.R.; Knopf, F.L.; Vickery, P.D. Conservation of grassland birds in North America: Understanding ecological processes in different regions. Ornithol. Mono. 2007, 64, iii-46. [Google Scholar] [CrossRef]
- Milchunas, D.G.; Sala, O.E.; Lauenroth, W.K. A generalized model of the effects of grazing by large herbivores on grassland community structure. Am. Nat. 1988, 132, 87–106. [Google Scholar] [CrossRef]
- Pykälä, J. Cattle grazing increases plant species richness of most species trait groups in mesic semi-natural grasslands. Plant Ecol. 2005, 175, 217–226. [Google Scholar] [CrossRef]
- Raffaele, E.; Veblen, T.T.; Blackhall, M.; Tercero-Bucardo, N. Synergistic influences of introduced herbivores and fire on vegetation change in northern Patagonia, Argentina. J. Veg. Sci. 2011, 22, 59–71. [Google Scholar] [CrossRef]
- Derner, J.D.; Lauenroth, W.K.; Stapp, P.; Augustine, D.J. Livestock as ecosystem engineers for grassland bird habitat in the Western Great Plains of North America. Rangel. Ecol. Manag. 2009, 62, 111–118. [Google Scholar] [CrossRef]
- Harper, C.A.; Birckhead, J.L.; Keyser, P.D.; Waller, J.C.; Backus, W.M.; Bates, G.E.; Holcomb, E.D.; Brooke, J.M. Avian habitat following grazing native warm-season forages in the mid-South United States. Rangel. Ecol. Manag. 2015, 68, 166–172. [Google Scholar] [CrossRef]
- Denevan, W.M. The Pristine Myth: The landscape of the Americas in 1492. Ann. Assoc. Am. Geogr. 1992, 82, 369–385. [Google Scholar] [CrossRef]
- Delcourt, H.R.; Delcourt, P.A. Pre-Columbian native American use of fire, on southern Appalachian landscapes. Conserv. Biol. 1997, 11, 1010–1014. [Google Scholar] [CrossRef]
- Bond, W.J.; Keeley, J.E. Fire as a global ‘herbivore’: The ecology and evolution of flammable ecosystems. Trends Ecol. Evol. 2005, 20, 387–394. [Google Scholar] [CrossRef] [PubMed]
- Henderson, R.A.; Meunier, J.; Holoubek, N.S. Disentangling effects of fire, habitat, and climate on an endangered prairie specialist butterfly. Biol. Conserv. 2018, 218, 41–48. [Google Scholar] [CrossRef]
- Crider, F.J. Root-Growth Stoppage Resulting from Defoliation of Grass; No. 1102; USDA Tech. Bull.: Washington, D.C., USA, 1955. [Google Scholar]
- Keyser, P.D.; Smith, S.R. Grazing management. In Native Grass Forages for the Eastern United States; Keyser, P.D., Ed.; PB 1893; University of Tennessee Extension: Knoxville, TN, USA, 2021; pp. 189–222. [Google Scholar]
- Oates, L.G.; Undersander, D.J.; Gratton, C.; Bell, M.M.; Jackson, R.D. Management-intensive rotational grazing enhances forage production and quality of subhumid cool-season pastures. Crop Sci. 2011, 51, 892–901. [Google Scholar] [CrossRef]
- Smith, S.R.; Bouton, J.H.; Singh, A.; McCaughey, W.P. Development and evaluation of grazing-tolerant alfalfa cultivars: A review. Can. J. Plant Sci. 2000, 80, 503–512. [Google Scholar] [CrossRef]
- Bunton, G.; Trower, Z.; Roberts, C.; Bradley, K.W. Seasonal changes in forage nutritive value of common weeds encountered in Missouri pastures. Weed Technol. 2020, 34, 164–171. [Google Scholar] [CrossRef]
- Hendricks, T.J.; Tucker, J.J.; Hancock, D.W.; Mullenix, M.K.; Baxter, L.L.; Stewart, R.L., Jr.; Segers, J.R.; Bernard, J.K. Forage accumulation and nutritive value of bermudagrass and alfalfa-bermudagrass mixtures when harvested for baleage. Crop Sci. 2020, 60, 2792–2801. [Google Scholar] [CrossRef]
- Buckman, J.; Hatfield, G.; Teutsch, C. Impact of defoliation height on crown and soil temperature. In Proceedings of the American Forage and Grasslands Council’s Annual Meeting, Greenville, SC, USA, 5–8 January 2020. [Google Scholar]
- Elgersma, A.; Soegaard, K.; Jensen, S.K. Herbage dry-matter production and forage quality of three legumes and four non-leguminous forbs grown in single-species stands. Grass Forage Sci. 2014, 69, 705–716. [Google Scholar] [CrossRef]
- Marten, G.C.; Andersen, R.N. Forage nutritive value and palatability of 12 common annual weeds. Crop Sci. 1975, 15, 821–827. [Google Scholar] [CrossRef]
- Rosenbaun, K.K.; Bradley, K.W.; Roberts, C.A. Influence of increasing common ragweed (Ambrosia artemisiifolia) or common cocklebur (Xanthium strumarium) densities on forage nutritive value and yield in tall fescue pastures and hay fields. Weed Technol. 2011, 25, 222–229. [Google Scholar] [CrossRef]
- Samson, F.; Knopf, F. Prairie conservation in North America. Bioscience 1994, 44, 418–421. [Google Scholar] [CrossRef]
- Noss, R.F.; LaRoe, E.T.; Scott, J.M. Endangered Ecosystems of the United States: A Preliminary Assessment of Loss and Degradation; Biological Report 28; U.S. Deptartment Interior, Fish and Wildlife Service: Washington, DC, USA, 1995. [Google Scholar]
- Keyser, P.D. Wildlife conservation. In Native Grass Forages for the Eastern United States; Keyser, P.D., Ed.; PB 1893; University of Tennessee Extension: Knoxville, TN, USA, 2021; pp. 377–397. [Google Scholar]
- Barnes, T.G.; Madison, L.A.; Sole, J.D.; Lacki, M.J. An assessment of habitat quality for northern bobwhite in tall fescue-dominated fields. Wildl. Soc. Bull. 1995, 23, 231–237. [Google Scholar]
- Barnes, T.G.; DeMaso, S.J.; Bahm, M.A. The impact of 3 exotic, invasive grasses in the southeastern United States on wildlife. Wildl. Soc. Bull. 2013, 37, 497–502. [Google Scholar] [CrossRef]
- Backus, W.M.; Waller, J.C.; Bates, G.E.; Harper, C.A.; Saxton, A.; McIntosh, D.W.; Birckhead, J.; Keyser, P.D. Management of native warm-season grasses for beef cattle and biomass production in the mid-South USA. J. Anim. Sci. 2017, 95, 3143–3153. [Google Scholar] [CrossRef]
- Keyser, P.D.; Lituma, C.M.; Bates, G.E.; Holcomb, E.D.; Waller, J.C.; Griffith, A.P. Evaluation of eastern gamagrass and a sorghum × sudangrass for summer pasture. Agron. J. 2020, 112, 1702–1712. [Google Scholar] [CrossRef]
- Brazil, K.A.; Keyser, P.D.; Bates, G.E.; Saxton, A.M.; Holcomb, E.D. Continuous grazing of mixed native warm-season grass in the fescue belt. Agron. J. 2020, 112, 5067–5080. [Google Scholar] [CrossRef]
- Walk, J.W.; Warner, R.E. Grassland management for the conservation of songbirds in the midwestern USA. Biol. Conserv. 2000, 94, 165–172. [Google Scholar] [CrossRef]
- West, A.S.; Keyser, P.; Morgan, J. Northern bobwhite survival, nest success, and habitat use in Kentucky during the breeding season. In Proceedings of the National Quail Symposium VII, Tucson, AZ, USA, 10 January 2012; pp. 217–222. [Google Scholar]
- Antunes, P.M.; Miller, J.; Carvalho, L.M.; Klironomos, J.N.; Newman, J.A. Even after death the endophytic fungus of Schedonorus phoenix reduces the arbuscular mycorrhizas of other plants. Funct. Ecol. 2008, 22, 912–918. [Google Scholar] [CrossRef]
- Mack, M.L.; Rudgers, J.A. Balancing multiple mutualists: Asymmetric interactions among plants, arbuscular mycorrhizal fungi, and fungal endophytes. Oikos 2008, 117, 310–320. [Google Scholar] [CrossRef]
- Burns, J.C.; Fisher, D.S. Steer performance and pasture productivity among five perennial warm-season grasses. Agron. J. 2013, 105, 113–123. [Google Scholar] [CrossRef]
- Lowe, J.K., II; Boyer, C.N.; Griffith, A.P.; Waller, J.C.; Bates, G.E.; Keyser, P.D.; Larson, J.A.; Holcomb, E.D. The cost of feeding bred dairy heifers on native warm-season grasses and harvested feedstuffs. J. Dairy Sci. 2016, 99, 634–643. [Google Scholar] [CrossRef] [PubMed]
- Boyer, C.N.; Zechiel, K.; Keyser, P.D.; Rhinehart, J.; Bates, G.E. Risk and returns from grazing beef cattle on warm-season grasses in Tennessee. Agron. J. 2020, 112, 301–308. [Google Scholar] [CrossRef]
- Monroe, A.P.; Burger, L.W.; Boland, H.T.; Martin, J.A. Economic and conservation implications of converting exotic forages to native warm-Season grass. Glob. Ecol. Conserv. 2017, 11, 23–32. [Google Scholar] [CrossRef]
- Keyser, P.D. Roles for native grasses. In Native Grass Forages for the Eastern United States.; Keyser, P.D., Ed.; PB 1893; University of Tennessee Extension: Knoxville, TN, USA, 2021; pp. 65–78. [Google Scholar]
- Brazil, K. Avian Density and Nest Survival and Beef Production on Continuously-Grazed Native Warm-Season Grass Pastures. Ph.D. Thesis, University of Tennessee, Knoxville, TN, USA, August 2019. [Google Scholar]
- Richwine, J.D. Interseeding Native Warm-Season Grass Pastures. Ph.D. Thesis, University of Tennessee, Knoxville, TN, USA, August 2021. [Google Scholar]
- Pierce, R.A.; Wright, R.L.; Gantzer, C.J.; Reinbott, T.M.; Udawatta, R.P.; Kallenbach, R.L. Using Native Warm Season Grass, Forb and Legume Mixtures for Biomass, Livestock Forage and Wildlife Benefits: A Case Study; G9424; University of Missouri Extension: Columbia, MO, USA, 2017. [Google Scholar]
- Ashworth, A.; Keyser, P.; Allen, F.; Bates, G.; Harper, C. Intercropping Legumes with Native Warm Season Grasses for Livestock Forage Production in the Mid-South; SP 731-G; University of Tennessee Extension: Knoxville, TN, USA, 2012. [Google Scholar]
- Huber, R.; Le’Clec’h, S.; Buchmann, N.; Finger, R. Economic value of three grassland ecosystem services when managed at the regional and farm scale. Sci. Rep. 2022, 12, 4194. [Google Scholar] [CrossRef]
- Smith, B.; Leung, P.; Love, G. Intensive Grazing Management: Forage, Animals, Men, Profits; The Graziers Hui.: Kamuela, HI, USA, 1986; 350p. [Google Scholar]
- Stanley, P.L.; Rowntree, J.E.; Beede, D.K.; DeLonge, M.S.; Hamm, M.W. Impacts of soil carbon sequestration on life cycle greenhouse gas emissions in Midwestern USA beef finishing systems. Agric. Syst. 2018, 162, 249–258. [Google Scholar] [CrossRef]
- Keyser, P.; Schexnayder, S.; Willcox, A.; Bates, G.; Boyer, C. Identifying barriers to forage innovation: Native grasses and producer knowledge. J. Ext. 2019, 57, 6RIB4. [Google Scholar]
- Pretty, J.; Bharucha, Z.P. Sustainable intensification of agricultural systems. Ann. Botany 2014, 114, 1571–1596. [Google Scholar] [CrossRef]
- Gliessman, S.R. Agroecology and agroecosystems. In The Earthscan Reader in Sustainable Agriculture; Pretty, J., Ed.; Earthscan: London, UK, 2005; pp. 104–114. [Google Scholar]
- Paredes, S.S.; Stritzler, N.P.; Bono, A.; Distel, R.A. Perennial warm-season grass monocultures and mixtures: Biomass production and soil improvement in semiarid and shallow soil conditions. J. Arid. Environ. 2018, 154, 82–88. [Google Scholar] [CrossRef]
- van Calker, K.J.; Berentsen, P.B.M.; Romero, C.; Giesen, G.W.J.; Huirne, R.B.M. Development and application of a multi-attribute sustainability function for dutch dairy farming systems. Ecol. Econ. 2006, 57, 640–658. [Google Scholar] [CrossRef]
- Sitienei, I.; Gillespie, J.; Scaglia, G.U.S. Grass-fed beef producers: Goal structure and reasons for enterprise selection. J. Agric. Appl. Econ. 2020, 52, 78–95. [Google Scholar] [CrossRef]
- Romero, C.; Rehman, T. Multiple Criteria Analysis for Agricultural Decisions; Elsevier: Amsterdam, the Netherlands, 2003; Volume 11, ISBN 0444503439. [Google Scholar]
- Gregory, R.; Failing, L.; Harstone, M.; Long, G.; McDaniels, T.; Ohlson, D. Structured Decision Making: A Practical Guide to Environmental Management Choices; John Wiley & Sons: Hoboken, NJ, USA, 2012; ISBN 1444398539. [Google Scholar]

| Season of Harvest | |||
|---|---|---|---|
| Species Mixture | Spring | Summer | Fall |
| 50% switchgrass, 50% big bluestem | 4.0 | 7.2 | 6.1 |
| 80% switchgrass and big bluestem, 20% forb and legume | 3.6 | 6.5 | 5.6 |
| 60% switchgrass and big bluestem, 40% forb and legume | 4.0 | 7.2 | 6.3 |
| 20% switchgrass and big bluestem, 80% forb and legume | 4.5 | 7.2 | 6.1 |
| Aspect | Strategy 1 | Strategy 2 | Swing Weighting | ||||
|---|---|---|---|---|---|---|---|
| Utility | Weight | Utility | Weight | Rank | Score | Weight | |
| Air | 0.49 | 0.17 | 0.49 | 0.17 | 6 | 25 | 0.11 |
| Land | 0.31 | 0.17 | 0.70 | 0.17 | 2 | 35 | 0.15 |
| Water | 0.70 | 0.17 | 0.70 | 0.17 | 5 | 25 | 0.11 |
| Employees | 0.72 | 0.17 | 0.72 | 0.17 | 4 | 25 | 0.11 |
| Animal | 0.45 | 0.17 | 0.45 | 0.17 | 3 | 25 | 0.11 |
| Finances | 0.55 | 0.17 | 0.37 | 0.17 | 1 | 100 | 0.43 |
Publisher’s Note: MDPI stays neutral with regard to jurisdictional claims in published maps and institutional affiliations. |
© 2022 by the authors. Licensee MDPI, Basel, Switzerland. This article is an open access article distributed under the terms and conditions of the Creative Commons Attribution (CC BY) license (https://creativecommons.org/licenses/by/4.0/).
Share and Cite
Keyser, P.D.; Buehler, D.A.; Fike, J.H.; Finke, D.L.; Fuhlendorf, S.D.; Martin, J.A.; Naumann, H.D.; Smith, S.R. The Birds and the Bees: Producing Beef and Conservation Benefits on Working Grasslands. Agronomy 2022, 12, 1934. https://doi.org/10.3390/agronomy12081934
Keyser PD, Buehler DA, Fike JH, Finke DL, Fuhlendorf SD, Martin JA, Naumann HD, Smith SR. The Birds and the Bees: Producing Beef and Conservation Benefits on Working Grasslands. Agronomy. 2022; 12(8):1934. https://doi.org/10.3390/agronomy12081934
Chicago/Turabian StyleKeyser, Patrick D., David A. Buehler, John H. Fike, Deborah L. Finke, Samuel D. Fuhlendorf, James A. Martin, Harley D. Naumann, and S. Ray Smith. 2022. "The Birds and the Bees: Producing Beef and Conservation Benefits on Working Grasslands" Agronomy 12, no. 8: 1934. https://doi.org/10.3390/agronomy12081934
APA StyleKeyser, P. D., Buehler, D. A., Fike, J. H., Finke, D. L., Fuhlendorf, S. D., Martin, J. A., Naumann, H. D., & Smith, S. R. (2022). The Birds and the Bees: Producing Beef and Conservation Benefits on Working Grasslands. Agronomy, 12(8), 1934. https://doi.org/10.3390/agronomy12081934

