Exogenous Application of Methyl Jasmonate at the Booting Stage Improves Rice’s Heat Tolerance by Enhancing Antioxidant and Photosynthetic Activities
Abstract
:1. Introduction
2. Materials and Methods
2.1. Plant Materials, Site Description, and Experiment Design
2.2. Leaf Photosynthetic and Chlorophyll Fluorescence Parameters
2.3. Antioxidant Capacity and Malondialdehyde (MDA) Content
2.4. Soluble Sugar Content
2.5. Leaf Carotenoid (Car) Content
2.6. Determination of Cytokinin (CTK) and Abscisic Acid (ABA)
2.7. Yield Components, Milling Quality, and Appearance Quality
2.8. Statistics and Analysis
3. Results
3.1. Effects of Spraying MeJA at Booting Stage on Rice Leaf’s Temperature under High-Temperature Stress
3.2. Effects of Spraying MeJA at the Booting Stage on the Photosynthesis and Chlorophyll Fluorescence Parameters of Rice under High-Temperature Stress
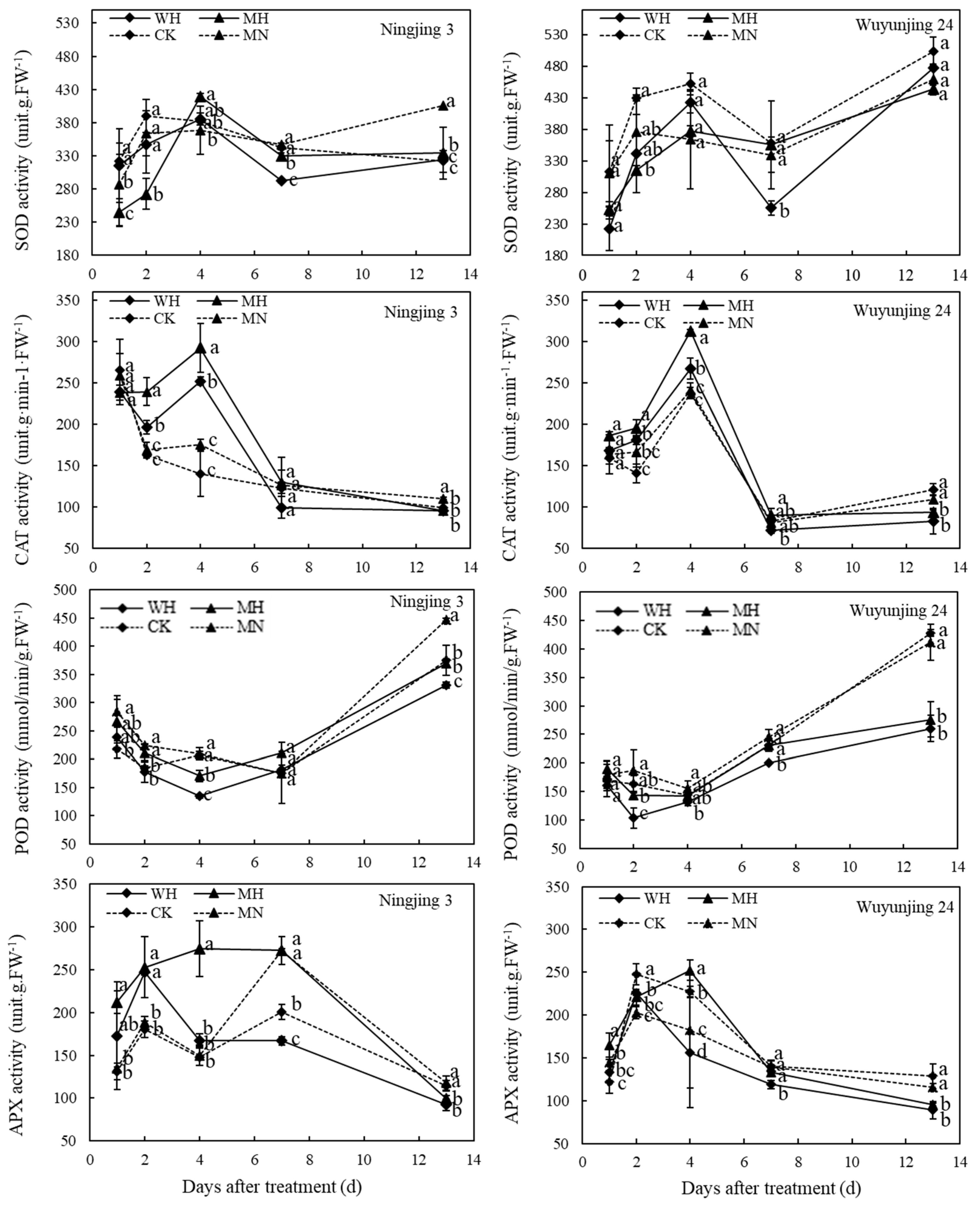
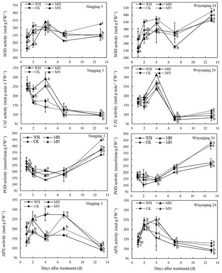
3.3. Effects of Exogenous MeJA at Booting Stage on Antioxidant Capacity of Rice Leaves under High-Temperature Stress
3.4. Effects of Exogenous MeJA at Booting Stage on the Content of Malondialdehyde (MDA) and Soluble Sugar of Rice Leaves under High-Temperature Stress
3.5. Effects of Exogenous MeJA at the Booting Stage on the Content of Endogenous Hormone Cytokinin (CTK) and Abscisic Acid (ABA) of Rice Leaves under High-Temperature Stress
3.6. Effects of Exogenous MeJA at Booting Stage on Rice Yield and Quality under High-Temperature Stress
4. Discussion
5. Conclusions
Author Contributions
Funding
Institutional Review Board Statement
Informed Consent Statement
Data Availability Statement
Conflicts of Interest
References
- Seleiman, M.F.; Kheir, A. Saline soil properties, quality and productivity of wheat grown with bagasse ash and thiourea in different climatic zones. Chemosphere 2017, 193, 538–546. [Google Scholar] [CrossRef] [PubMed]
- Mukhtar, T.; Rehman, S.U.; Smith, D.; Sultan, T.; Seleiman, M.F.; Alsadon, A.A.; Ali, S.; Chaudhary, H.J.; Solieman, T.H.I.; Ibrahim, A.A.; et al. Mitigation of heat stress in Solanum lycopersicum L. by ACC-deaminase and exopolysaccharide producing Bacillus cereus: Effects on biochemical profiling. Sustainability 2020, 12, 2159. [Google Scholar] [CrossRef] [Green Version]
- Ito, S.; Hara, T.; Kawanami, Y.; Watanabe, T.; Thiraporn, K.; Ohtake, N.; Sueyoshi, K.; Mitsui, T.; Fukuyama, T.; Takahashi, Y.; et al. Carbon and nitrogen transport during grain filling in rice under high-temperature conditions. J. Agron. Crop Sci. 2009, 195, 368–376. [Google Scholar] [CrossRef]
- Wolkovich, E.M.; Cook, B.I.; Allen, J.M.; Crimmins, T.M.; Betancourt, J.L.; Travers, S.E.; Pau, S.; Regetz, J.; Davies, T.J.; Kraft, N.J.; et al. Warming experiments underpredict plant phenological responses to climate change. Nature 2012, 485, 494–497. [Google Scholar] [CrossRef]
- Ravindranath, N.H. IPCC: Accomplishments, controversies and challenges. Curr. Sci. 2010, 99, 26–35. [Google Scholar]
- Deng, N.Y.; Ling, X.X.; Sun, Y.; Zhang, C.D.; Fahad, S.; Peng, S.B.; Cui, K.H.; Nie, L.X.; Huang, J.L. Influence of temperature and solar radiation on grain yield and quality in irrigated rice system. Eur. J. Agron. 2015, 64, 37–46. [Google Scholar] [CrossRef]
- Mahmood, A.; Wang, W.; Ali, I.; Zhen, F.X.; Osman, R.; Liu, B.; Liu, L.L.; Zhu, Y.; Cao, W.X.; Tang, L. Individual and combined effects of booting and flowering high-temperature stress on rice biomass accumulation. Plants 2021, 10, 1021. [Google Scholar] [CrossRef]
- Zhen, F.X.; Zhou, J.J.; Mahmood, A.; Wang, W.; Chang, X.N.; Liu, B.; Liu, L.L.; Cao, W.X.; Zhu, Y.; Tang, L. Quantifying the effects of short-term heat stress at booting stage on nonstructural carbohydrates remobilization in rice. Crop J. 2020, 8, 194–212. [Google Scholar] [CrossRef]
- Wu, C.Y.; Trieu, A.; Radhakrishnan, P.; Kwok, S.F.; Harris, S.; Zhang, K.; Wang, J.L.; Wan, J.M.; Zhai, H.Q.; Takatsuto, S.; et al. Brassinosteroids regulate grain filling in rice. Plant Cell 2008, 20, 2130–2145. [Google Scholar] [CrossRef] [Green Version]
- Mohammed, A.R.; Tarpley, L. Effects of night temperature, spikelet position and salicylic acid on yield and yield-related parameters of rice (Oryza sativa L.) plants. J. Agron. Crop Sci. 2011, 197, 40–49. [Google Scholar] [CrossRef]
- Mohammed, A.R.; Cothren, J.T.; Tarpley, L. High night temperature and abscisic acid affect rice productivity through altered photosynthesis, respiration and spikelet fertility. Crop Sci. 2013, 53, 2603–2612. [Google Scholar] [CrossRef]
- Dou, Z.; Tang, S.; Chen, W.Z.; Zhang, H.X.; Li, G.H.; Liu, Z.H.; Ding, C.Q.; Chen, L.; Wang, S.H.; Zhang, H.C.; et al. Effects of open-field warming during grain-filling stage on grain quality of two japonica rice cultivars in lower reaches of Yangtze River delta. J. Cereal Sci. 2018, 81, 118–126. [Google Scholar] [CrossRef]
- Rasheed, A.; Seleiman, M.F.; Nawaz, M.; Mahmood, A.; Anwar, M.R.; Ayub, M.A.; Aamer, M.; El-Esawi, M.A.; El-Harty, E.H.; Batool, M.; et al. Agronomic and genetic approaches for enhancing tolerance to heat stress in rice: A review. Not. Bot. Horti. Agrobot. 2021, 49, 12501. [Google Scholar] [CrossRef]
- Nievola, C.C.; Carvalho, C.P.; Carvalho, V.; Rodrigues, E. Rapid responses of plants to temperature changes. Temperature 2017, 4, 371–405. [Google Scholar] [CrossRef] [PubMed]
- Bita, C.E.; Gerats, T. Plant tolerance to high temperature in a changing environment: Scientific fundamentals and production of heat stress-tolerant crops. Front. Plant Sci. 2013, 4, 273. [Google Scholar] [CrossRef] [PubMed] [Green Version]
- Sharkey, T.D. Effects of moderate heat stress on photosynthesis: Importance of thylakoid reactions, Rubisco deactivation, reactive oxygen species, and thermotolerance provided by isoprene. Plant Cell Environ. 2005, 28, 269–277. [Google Scholar] [CrossRef]
- Anderson, C.M.; Mattoon, E.M.; Zhang, N.; Becker, E.; McHargue, W.; Yang, J.; Patel, D.; Dautermann, O.; McAdam, S.A.M.; Tarin, T.; et al. High light and temperature reduce photosynthetic efficiency through different mechanisms in the C4 model Setaria viridis. Commun. Biol. 2021, 4, 1092. [Google Scholar] [CrossRef] [PubMed]
- Mathur, S.; Agrawal, D.; Jajoo, A. Photosynthesis: Response to high temperature stress. J. Photochem. Photobiol. B 2014, 137, 116–126. [Google Scholar] [CrossRef]
- Mathur, S.; Jajoo, A.; Mehta, P.; Bharti, S. Analysis of elevated temperature-induced inhibition of photosystem II using chlorophyll a fluorescence induction kinetics in wheat leaves (Triticum aestivum). Plant Biol. 2011, 13, 1–6. [Google Scholar] [CrossRef]
- Barber, J. Photosynthetic energy conversion: Natural and artificial. Chem. Soc. Rev. 2009, 38, 185–196. [Google Scholar] [CrossRef]
- Guidi, L.; Lo Piccolo, E.; Landi, M. Chlorophyll Fluorescence, Photoinhibition and Abiotic Stress: Does it Make Any Difference the Fact to Be a C3 or C4 Species? Front. Plant Sci. 2019, 14, 174. [Google Scholar] [CrossRef] [PubMed]
- Jahan, M.S.; Guo, S.; Sun, J.; Shu, S.; Wang, Y.; El-Yazied, A.A.; Alabdallah, N.M.; Hikal, M.; Mohamed, M.H.M.; Ibrahim, M.F.M.; et al. Melatonin-mediated photosynthetic performance of tomato seedlings under high-temperature stress. Plant Physiol. Biochem. 2021, 167, 309–320. [Google Scholar] [CrossRef] [PubMed]
- Moustakas, M.; Calatayud, A.; Guidi, L. Editorial: Chlorophyll fluorescence imaging analysis in biotic and abiotic stress. Front. Plant Sci. 2021, 12, 658500. [Google Scholar] [CrossRef] [PubMed]
- Zhang, S.T.; Zhang, G.L.; Chen, L.Y.; Xiao, Y.H. Effects of high temperature stress on net photosynthetic rate and chlorophyII fluorescence parameters of flag leaf in rice. Chin. J. Rice Sci. 2011, 3, 335–338. (In Chinese) [Google Scholar]
- Tan, W.; Meng, Q.W.; Brestic, M.; Olsovska, K.; Yang, X.H. Photosynthesis is improved by exogenous calcium in heat-stressed tobacco plants. J. Plant Physiol. 2011, 168, 2063–2071. [Google Scholar] [CrossRef]
- Su, X.-Q.; Wang, M.-Y.; Shu, S.; Sun, J.; Guo, S.R. Effects of exogenous Spd on the fast chlorophyll fluorescence induction dynamics in tomato seedlings under high temperature stress. Acta Hortic. Sin. 2013, 40, 2409–2418. (In Chinese) [Google Scholar]
- Mishra, R.K.; Singhal, G.S. Function of photosynthetic apparatus of intact wheat leaves under high light and heat stress and its relationship with peroxidation of thylakoid lipids. Plant Physiol. 1992, 98, 1–6. [Google Scholar] [CrossRef] [Green Version]
- Georgieva, K.; Lichtenthaler, H.K. Photosynthetic response of different pea cultivars to low and high temperature treatments. Photosynthetica 2006, 44, 569–578. [Google Scholar] [CrossRef]
- Tang, S.; Zhang, H.X.; Li, L.; Liu, X.; Chen, L.; Chen, W.Z.; Ding, Y.F. Exogenous spermidine enhances the photosynthetic and antioxidant capacity of rice under heat stress during early grain-filling period. Funct. Plant Biol. 2018, 45, 911–921. [Google Scholar] [CrossRef]
- Sasaki-Sekimoto, Y.; Taki, N.; Obayashi, T.; Aono, M.; Matsumoto, F.; Sakurai, N.; Suzuki, H.; Hirai, M.; Noji, M.; Saito, K.; et al. Coordinated activation of metabolic pathways for antioxidants and defence compounds by jasmonates and their roles in stress tolerance in Arabidopsis. Plant Cell Physiol. 2006, 47, S233. [Google Scholar] [CrossRef]
- Cheong, J.J.; Choi, Y.D. Methyl jasmonate as a vital substance in plants. Trends Genet. 2003, 19, 409–413. [Google Scholar] [CrossRef]
- Cao, S.F.; Cai, Y.T.; Yang, Z.F.; Zheng, Y.H. MeJA induces chilling tolerance in loquat fruit by regulating proline and gamma-aminobutyric acid contents. Food Chem. 2012, 133, 1466–1470. [Google Scholar] [CrossRef]
- Ma, C.; Wang, Z.Q.; Zhang, L.T.; Sun, M.M.; Lin, T.B. Photosynthetic responses of wheat (Triticum aestivum L.) to combined effects of drought and exogenous methyl jasmonate. Photosynthetica 2014, 52, 377–385. [Google Scholar] [CrossRef]
- Deng, H.Q.; Liu, H.B.; Li, X.H.; Xiao, J.H.; Wang, S.P. A CCCH-Type zinc finger nucleic acid-binding protein quantitatively confers resistance against rice bacterial blight disease. Plant Physiol. 2012, 158, 876–889. [Google Scholar] [CrossRef] [Green Version]
- Beauchamp, C.; Fridovich, I. Superoxide dismutase: Improved assays and an assay applicable to acrylamide gels. Anal. Biochem. 1971, 44, 276–287. [Google Scholar] [CrossRef]
- Nickel, K.S.; Cunningham, B.A. Improved peroxidase assay method using leuco 2,3′,6-trichloroindophenol and application to comparative measurements of peroxidatic catalysis. Anal. Biochem. 1969, 27, 292–299. [Google Scholar] [CrossRef]
- Nakano, Y.; Asada, K. Hydrogen peroxide is scavenged by ascorbate-specific peroxidase in spinach chloroplasts. Plant Cell Physiol. 1981, 22, 867–880. [Google Scholar]
- Bergmeyer, H.U. Methoden der enzymatischen analyse. Arch. Pharm. 1970, 295, 863–864. [Google Scholar]
- Li, H.S. Plant Physiology and Biochemistry Test Principles and Techniques; Higher Education Press: Beijing, China, 2000; pp. 184–185. (In Chinese) [Google Scholar]
- Zhang, X.Z. Crop Physiology Research Methods; Agricultural Press: Beijing, China, 1992; pp. 197–212. (In Chinese) [Google Scholar]
- Arnon, D.I. Copper enzymes in isolated chloroplasts. Polyphenol oxidase in Beta vulgaris. Plant Physiol. 1949, 24, 1–15. [Google Scholar] [CrossRef] [Green Version]
- Lichtenthaler, H.K.; Wellburn, A.R. Determinations of total carotenoids and chlorophylls a and b of leaf extracts in different solvents. Analysis 1983, 11, 591–592. [Google Scholar] [CrossRef] [Green Version]
- Counce, P.A.; Keisling, T.C.; Mitchell, A.J. A uniform, objective, and adaptive system for expressing rice development. Crop Sci. 2000, 40, 2. [Google Scholar] [CrossRef] [Green Version]
- Prasad, P.V.V.; Boote, K.J.; Allen, L.H.; Sheehy, J.E.; Thomas, J.M.G. Species, ecotype and cultivar differences in spikelet fertility and harvest index of rice in response to high temperature stress. Field Crop. Res. 2006, 95, 398–411. [Google Scholar] [CrossRef]
- Demidchik, V. Mechanisms of oxidative stress in plants: From classical chemistry to cell biology. Environ. Exp. Bot. 2015, 109, 212–228. [Google Scholar] [CrossRef]
- Jajic, I.; Sarna, T.; Strzalka, K. Senescence, stress, and reactive oxygen species. Plants 2015, 4, 393–411. [Google Scholar] [CrossRef] [Green Version]
- Salah, S.M.; Guan, Y.J.; Cao, D.D.; Li, J.; Aamir, N.; Hu, Q.J.; Hu, W.M.; Ning, M.Y.; Hu, J. Seed priming with polyethylene glycol regulating the physiological and molecular mechanism in rice (Oryza sativa L.) under nano-ZnO stress. Sci. Rep. 2015, 5, 14278. [Google Scholar] [CrossRef] [Green Version]
- Liu, X.Z.; Huang, B.R. Heat stress injury in relation to membrane lipid peroxidation in creeping bentgrass. Crop Sci. 2000, 40, 503–510. [Google Scholar] [CrossRef]
- Li, S.W.; Zeng, X.Y.; Leng, Y.; Feng, L.; Kang, X.H. Indole-3-butyric acid mediates antioxidative defense systems to promote adventitious rooting in mung bean seedlings under cadmium and drought stresses. Ecotoxicol. Environ. Saf. 2018, 161, 332–341. [Google Scholar] [CrossRef]
- Clarke, S.M.; Cristescu, S.M.; Miersch, O.; Harren, F.J.M.; Wasternack, C.; Mur, L.A.J. Jasmonates act with salicylic acid to confer basal thermotolerance in Arabidopsis thaliana. New Phytol. 2009, 182, 175–187. [Google Scholar] [CrossRef]
- Su, Y.N.; Huang, Y.Z.; Dong, X.T.; Wang, R.J.; Tang, M.Y.; Cai, J.B.; Chen, J.Y.; Zhang, X.Q.; Nie, G. Exogenous methyl Jasmonate improves heat tolerance of perennial ryegrass through alteration of osmotic adjustment, antioxidant defense, and expression of Jasmonic acid-responsive genes. Front. Plant Sci. 2021, 12, 664519. [Google Scholar] [CrossRef]
- Nie, G.; Zhou, J.; Jiang, Y.W.; He, J.; Wang, Y.; Liao, Z.C.; Appiah, C.; Li, D.D.; Feng, G.Y.; Huang, L.K.; et al. Transcriptome characterization of candidate genes for heat tolerance in perennial ryegrass after exogenous methyl Jasmonate application. BMC Plant Biol. 2022, 22, 68. [Google Scholar] [CrossRef]
- Liu, J.H.; Wang, W.; Wu, H.; Gong, X.Q.; Moriguchi, T. Polyamines function in stress tolerance: From synthesis to regulation. Front. Plant Sci. 2015, 6, 827. [Google Scholar] [CrossRef] [PubMed] [Green Version]
- Kasote, D.M.; Katyare, S.S.; Hegde, M.V.; Bae, H. Significance of antioxidant potential of plants and its relevance to therapeutic applications. Int. J. Biol. Sci. 2015, 11, 982–991. [Google Scholar] [CrossRef] [PubMed] [Green Version]
- Havaux, M. Carotenoid oxidation products as stress signals in plants. Plant J. 2014, 79, 597–606. [Google Scholar] [CrossRef] [PubMed]
- Chen, Y.Z.; Dong, H.Z. Mechanisms and regulation of senescence and maturity performance in cotton. Field Crop. Res. 2016, 189, 1–9. [Google Scholar] [CrossRef]
- Galmes, J.; Kapralov, M.V.; Copolovici, L.O.; Hermida-Carrera, C.; Niinemets, U. Temperature responses of the Rubisco maximum carboxylase activity across domains of life: Phylogenetic signals, trade-offs, and importance for carbon gain. Photosynth. Res. 2015, 123, 183–201. [Google Scholar] [CrossRef] [Green Version]
- Perdomo, J.A.; Capo-Bauca, S.; Carmo-Silva, E.; Galmes, J. Rubisco and Rubisco activase play an important role in the biochemical limitations of photosynthesis in rice, wheat, and maize under high temperature and water deficit. Front. Plant Sci. 2017, 8, 490. [Google Scholar] [CrossRef] [Green Version]
- Takahashi, S.; Aizawa, K.; Nakayama, K.; Satoh, H. Water-soluble chlorophyll-binding proteins from Arabidopsis thaliana and Raphanus sativus target the endoplasmic reticulum body. BMC Res. Notes 2015, 8, 365. [Google Scholar] [CrossRef] [Green Version]
- Yuan, L.Y.; Liu, X.C.; Luo, M.; Yang, S.G.; Wu, K.Q. Involvement of histone modifications in plant abiotic stress responses. J. Integr. Plant Biol. 2013, 55, 892–901. [Google Scholar] [CrossRef]
- Wisniewski, M.; Nassuth, A.; Teulieres, C.; Marque, C.; Rowland, J.; Cao, P.B.; Brown, A. Genomics of cold hardiness in woody plants. Crit. Rev. Plant Sci. 2014, 33, 92–124. [Google Scholar] [CrossRef]
- Gehan, M.A.; Greenham, K.; Mockler, T.C.; McClung, C.R. Transcriptional networks-crops, clocks, and abiotic stress. Curr. Opin. Plant Biol. 2015, 24, 39–46. [Google Scholar] [CrossRef] [Green Version]
- Shi, Y.T.; Ding, Y.L.; Yang, S.H. Cold signal transduction and its interplay with phytohormones during cold acclimation. Plant Cell Physiol. 2015, 56, 7–15. [Google Scholar] [CrossRef] [PubMed]
- Zhang, G.Y.; Sakai, H.; Usui, Y.; Tokida, T.; Nakamura, H.; Zhu, C.W.; Fukuoka, M.; Kobayashi, K.; Hasegawa, T. Grain growth of different rice cultivars under elevated CO2 concentrations affects yield and quality. Field Crop. Res. 2015, 179, 72–80. [Google Scholar] [CrossRef]







| Variety | Treatments | Pn (μmol·m−2·s−1) | Gs (mol ·m−2·s−1) | Ci (μmol·mol−1) | Tr (mmol·m−2·s−1) |
|---|---|---|---|---|---|
| Ningjing 3 | CK | 20.27 ± 1.42 ab | 0.347 ± 0.01 a | 238.0 ± 6.56 ab | 5.58 ± 0.64 b |
| MN | 21.03 ± 1.61 a | 0.347 ± 0.0 a | 245.0 ± 8.19 a | 4.48 ± 0.14 c | |
| WH | 16.20 ± 0.61 c | 0.245 ± 0.01 c | 210.5 ± 2.31 c | 7.27 ± 0.32 a | |
| MH | 18.70 ± 0.66 b | 0.302 ± 0.02 b | 228.7 ± 1.53 b | 7.65 ± 0.06 a | |
| Wuyunjing 24 | CK | 18.74 ± 0.89 a | 0.411 ± 0.03 a | 260.4 ± 16.15 a | 7.05 ± 1.04 a |
| MN | 20.13 ± 1.99 a | 0.381 ± 0.06 ab | 231.5 ± 2.08 b | 6.48 ± 0.05 a | |
| WH | 16.30 ± 1.48 b | 0.224 ± 0.01 c | 203.5 ± 0.58 c | 6.81 ± 0.01 a | |
| MH | 18.43 ± 0.75 a | 0.337 ± 0.04 ab | 231.3 ± 1.15 b | 7.05 ± 0.11 a |
| Variety | Treatments | Panicles | Grains per Panicle | Filled Grain Rate (%) | 1000-Grain Weight (g) | Grain Yield (g·Pot−1) |
|---|---|---|---|---|---|---|
| Ningjing 3 | CK | 33.27 ± 2.39 a | 172.59 ± 41.92 a | 97.60 ± 0.01 a | 26.30 ± 0.53 a | 148.41 ± 44.13 a |
| MN | 36.88 ± 1.2 a | 159.70 ± 3.38 a | 98.34 ± 0.00 a | 24.32 ± 0.35 b | 141.00 ± 9.05 a | |
| WH | 34.53 ± 2.72 a | 96.79 ± 7.61 b | 97.23 ± 0.01 a | 23.69 ± 0.09 bc | 76.71 ± 3.44 b | |
| MH | 35.9 ± 0.70 a | 97.72 ± 6.87 b | 97.02 ± 0.00 a | 23.16 ± 0.25 c | 78.91 ± 6.00 b | |
| Wuyunjing 24 | CK | 30.3 ± 0.51 a | 185.68 ± 13.59 a | 96.33 ± 0.01 a | 26.96 ± 0.48 a | 129.42 ± 0.67 a |
| MN | 29.56 ± 0.87 a | 188.12 ± 4.75 a | 93.19 ± 0.01 a | 24.14 ± 0.96 b | 124.99 ± 3.13 a | |
| WH | 29.47 ± 0.21 a | 127.18 ± 3.71 b | 83.29 ± 0.08 b | 23.62 ± 0.22 b | 73.36 ± 8.84 c | |
| MH | 29.28 ± 0.60 a | 137.58 ± 7.77 b | 93.68 ± 0.01 a | 23.58 ± 0.45 b | 88.33 ± 3.58 b |
| Variety | Treatments | Brown Rice Rate % | Milled Rice Rate % | Head Rice Rate % | Grain Length (mm) | Grain Width (mm) | Grain Length/Width | Chalky Grain Rate (%) | Chalkiness (%) |
|---|---|---|---|---|---|---|---|---|---|
| Ningjing 3 | CK | 83.29 ± 0.79 a | 71.18 ± 0.48 ab | 67.28 ± 0.68 b | 5.32 ± 0.00 a | 2.79 ± 0.00 a | 1.92 ± 0.02 a | 30.67 ± 1.61 a | 7.47 ± 1.45 a |
| MN | 82.70 ± 1.30 a | 69.50 ± 1.49 a | 65.08 ± 1.47 b | 5.36 ± 0.00 a | 2.80 ± 0.00 a | 1.90 ± 0.03 ab | 29.00 ± 1.32 a | 6.14 ± 2.11 a | |
| WH | 83.60 ± 0.52 a | 72.14 ± 1.25 b | 69.08 ± 2.65 a | 5.02 ± 0.01 b | 2.71 ± 0.00 b | 1.85 ± 0.02 b | 7.83 ± 1.89 b | 0.49 ± 0.30 b | |
| MH | 83.44 ± 0.21 a | 70.34 ± 0.27 ab | 69.10 ± 0.84 a | 5.04 ± 0.01 b | 2.68 ± 0.00 b | 1.88 ± 0.02 ab | 5.33 ± 1.44 b | 0.25 ± 0.13 b | |
| Wuyunjing 24 | CK | 83.34 ± 0.48 ab | 68.35 ± 1.49 a | 64.46 ± 1.32 b | 4.64 ± 0.01 a | 3.11 ± 0.00 a | 1.49 ± 0.02 a | 30.00 ± 6.25 a | 5.86 ± 1.28 a |
| MN | 82.87 ± 0.47 b | 69.41 ± 2.71 a | 66.47 ± 3.59 ab | 4.65 ± 0.01 a | 3.09 ± 0.00 a | 1.51 ± 0.02 a | 29.67 ± 1.15 a | 5.56 ± 1.64 a | |
| WH | 83.65 ± 0.20 a | 71.10 ± 0.81 a | 69.96 ± 1.14 a | 4.47 ± 0.01 b | 3.00 ± 0.00 b | 1.49 ± 0.02 a | 14.67 ± 0.76 b | 1.53 ± 0.41 b | |
| MH | 83.43 ± 0.05 ab | 70.872.55 a | 69.59 ± 3.15 a | 4.40 ± 0.00 b | 2.98 ± 0.00 b | 1.48 ± 0.01 a | 9.50 ± 2.18 b | 1.38 ± 0.20 b |
Publisher’s Note: MDPI stays neutral with regard to jurisdictional claims in published maps and institutional affiliations. |
© 2022 by the authors. Licensee MDPI, Basel, Switzerland. This article is an open access article distributed under the terms and conditions of the Creative Commons Attribution (CC BY) license (https://creativecommons.org/licenses/by/4.0/).
Share and Cite
Tang, S.; Zhao, Y.; Ran, X.; Guo, H.; Yin, T.; Shen, Y.; Liu, W.; Ding, Y. Exogenous Application of Methyl Jasmonate at the Booting Stage Improves Rice’s Heat Tolerance by Enhancing Antioxidant and Photosynthetic Activities. Agronomy 2022, 12, 1573. https://doi.org/10.3390/agronomy12071573
Tang S, Zhao Y, Ran X, Guo H, Yin T, Shen Y, Liu W, Ding Y. Exogenous Application of Methyl Jasmonate at the Booting Stage Improves Rice’s Heat Tolerance by Enhancing Antioxidant and Photosynthetic Activities. Agronomy. 2022; 12(7):1573. https://doi.org/10.3390/agronomy12071573
Chicago/Turabian StyleTang, She, Yufei Zhao, Xuan Ran, Hao Guo, Tongyang Yin, Yingying Shen, Wenzhe Liu, and Yanfeng Ding. 2022. "Exogenous Application of Methyl Jasmonate at the Booting Stage Improves Rice’s Heat Tolerance by Enhancing Antioxidant and Photosynthetic Activities" Agronomy 12, no. 7: 1573. https://doi.org/10.3390/agronomy12071573
APA StyleTang, S., Zhao, Y., Ran, X., Guo, H., Yin, T., Shen, Y., Liu, W., & Ding, Y. (2022). Exogenous Application of Methyl Jasmonate at the Booting Stage Improves Rice’s Heat Tolerance by Enhancing Antioxidant and Photosynthetic Activities. Agronomy, 12(7), 1573. https://doi.org/10.3390/agronomy12071573

