Next Article in Journal
Biochemical and Associated Agronomic Traits in Gossypium hirsutum L. under High Temperature Stress
Previous Article in Journal
A Comparison between Conventional Sprayers and New UAV Sprayers: A Study Case of Vineyards and Olives in Extremadura (Spain)
 
 
Font Type:
Arial Georgia Verdana
Font Size:
Aa Aa Aa
Line Spacing:
Column Width:
Background:
Article

Nitrogen Application and Dense Planting to Obtain High Yields from Maize

Key Laboratory of Crop Physiology and Ecology, Institute of Crop Sciences, Chinese Academy of Agricultural Sciences, Ministry of Agriculture and Rural Affairs, Beijing 100081, China
*
Author to whom correspondence should be addressed.
These authors contributed equally to this article.
Agronomy 2022, 12(6), 1308; https://doi.org/10.3390/agronomy12061308
Submission received: 28 March 2022 / Revised: 24 May 2022 / Accepted: 26 May 2022 / Published: 29 May 2022

Abstract

:
The rational application of nitrogen fertilizer and close planting are two important ways to obtain high yields and efficient growth from maize (Zea mays L.). This study utilized the maize varieties DengHai 618 and XianYu 335 as test materials from 2019 to 2020 and the maize variety XianYu 335 as the test material in 2021. The planting densities were 7.5 × 104 plants ha−1 and 12.0 × 104 plants ha−1, respectively. Application rates of nitrogen within the range of 0–765 kg ha−1 per 45 kg ha−1 were considered the nitrogen application gradient. The results showed that as the nitrogen application rate increased, the yield of the maize increased at first and then tended to remain flat. Under conditions of 7.5 × 104 plants ha−1 density, the best yield was 17.6–20.2 t ha−1, and the required nitrogen application rate was 219–337 kg ha−1. Under conditions of 12.0 × 104 plants ha−1 density, the best yield was 18.7–21.9 t ha−1, and the required nitrogen application rate was 243–378 kg ha−1. With the increase in the nitrogen application rate, the dry matter weight showed a linear/platform relationship in each growth period. The best nitrogen application rate was obtained for dry matter accumulation in various stages by fitting the nitrogen application rate and dry matter accumulation in different stages. It is concluded that when the planting density was 7.5 × 104 plants ha−1, the recommended nitrogen application rate was 340 kg ha−1, and the distribution ratio of the nitrogen application rates before and after silking were 61.2% and 38.8%, respectively. When the planting density was 12.0 × 104 plants ha−1, the recommended nitrogen application rate was 380 kg ha−1, and the distribution rates before and after flowering were 65.8% and 34.2%, respectively. In summary, increasing planting density can improve maize yield, and the amount of nitrogen applied should be increased before flowering.

1. Introduction

The rapid growth of the world population and climate change have increased the global demand for food [1]. Since 2019, COVID-19 has posed new challenges to food security. It is predicted that by 2050, the need to feed 9.3 billion people will necessitate an increase of 50% to 70% in the capacity to produce food [2]. Maize (Zea mays L.) is the largest food crop in the world. Its high and stable yield substantially enhances global food security. With the increase in population and the acceleration of urbanization, the area of cultivated land continues to decrease, and this decline is coupled with the continuous improvement in living standards. Only by continuously improving the per-unit yield of maize can the rigid increase in the growth of food consumption be met and ensure global food security.
Increasing the planting density is an effective way to obtain high yields from maize [3,4,5]. Selecting varieties of maize that are tolerant to increased density and supporting scientific field management can effectively improve the yields of maize grain [6]. With the increase in planting density, the number of panicles per unit area increases, and the number of grains per panicle and the thousand-grain weight decrease, while the number of grains per unit area increase [4]. The main reason to increase the planting density and enhance the utilization of light and heat resources is to obtain higher grain yields [3,4,7,8]. A series of changes in the structure and function of the maize canopy occurs in densification, which affects the increase in the maize yield [9]. Moreover, the interaction between planting density and nitrogen fertilizer can synergize the yield and NUE [10,11]. Therefore, the synergistic improvements in maize yields with increased nitrogen use offer significant benefits by reducing the costs of growing maize and improving efficiency and sustainable development. In addition to planting density, approximately 48% of the world’s population relies on chemical fertilizers to produce food, particularly nitrogen fertilizer, which contributes 30–50% to global food production [12]. China uses 9% of the world’s cultivated land and consumes 35% of the global chemical fertilizer used. The average rate of utilization for nitrogen fertilizer in the production of maize is only 33% [10], which causes a significant waste of nutrient resources, thus increasing the cost to farmers. In addition, its environmental effects cannot be ignored. Studies have shown that without increasing the amount of nitrogen applied, significantly increasing the planting density improves the grain yield nitrogen use efficiency (NUE) and reduces greenhouse gas emissions owing to the production of maize [13]. Optimizing nitrogen management is an important measure to improve crop productivity and NUE [14,15]. An increase in nitrogen fertilizer application increases yields. However, the yields do not increase following excessive fertilization, and this practice wastes fertilizer, reduces economic benefits, and pollutes the environment [16]. Farmers often increase the yield of maize by increasing the application of nitrogen fertilizer. The excessive application of nitrogen fertilizer leads to a significant decline in the NUE and poses a potential threat to the ecological environment [17].
The fertilization regime has a significant effect on the growth of maize. Yang et al. [18] and others have concluded that topdressing can significantly improve maize yield when maize most needs nitrogen. Farmers, however, are used to “bombarding” with excessive applications of nitrogen, which does not increase maize yield and also reduces the NUE. Currently, the fractional application of nitrogen fertilizer is generally thought to improve maize yield [19,20,21,22]. Under different irrigation conditions, the dry matter accumulation and nutrient absorption of maize plants were found to be the highest under drip irrigation, followed by sprinkler irrigation, and the least effective under furrow irrigation [23]. Compared with traditional fertilization methods, when the amount of integrated water and nitrogen fertilizer applied is reduced by 20%, maize yields do not change significantly. However, partial productivity, agronomic efficiency, and NUE are significantly higher than the traditional fertilization methods [24]. The ability to absorb nitrogen also affects the dry matter accumulation of maize by affecting leaf development, green leaf area maintenance, photosynthetic efficiency, and grain yield [25,26]. Therefore, the optimal management of nitrogen fertilizer can improve grain yield by promoting dry matter accumulation and transport.
Maize yield formation is a process of dry matter accumulation. Within a certain range, dry matter accumulation is directly proportional to the yield of maize kernels [18,27,28,29]. Excessive nitrogen fertilizer inputs and low density are common problems in maize production in China. In 2020, the maize Cultivation and Physiology Innovation Team of the Chinese Academy of Agricultural Sciences (Beijing, China) set a record of 24,948.75 kg ha−1 in Qitai, Xinjiang, for the highest yield of maize obtained in China by applying 528 kg ha−1 of nitrogen [30]. The relationship between maize yield and nitrogen application under film drip irrigation and the nitrogen application scheme of maize under film drip irrigation remains unclear. In this study, nitrogen fertilizer was applied at different stages and times by drip irrigation under film with the following goals: (1) to clarify the relationship between nitrogen application rate and yield of maize under different density conditions; (2) to clarify the response of dry matter accumulation in different growth stages to nitrogen application rates; and (3) to optimize the nitrogen application scheme during the whole growth period of the maize. The results provide theoretical guidance for applying nitrogen fertilizer in densely planted high-yield maize.

2. Materials and Methods

2.1. Test Design

The positioning test was conducted at the Qitai Farm in Xinjiang (43°50′ N, 89°46′ E) from 2019 to 2021. The rainfall in the maize growing season (April to October) from 2019 to 2021 was 124–192.7 mm (Table 1). The daily average temperature was 18.4 °C. The solar radiation was 3207.9–3577.8 MJ m−2. The accumulated temperature ≥10 °C throughout the year was 3160–3499.5 °C. The frost-free period was 156–181 days. The monthly solar radiation, rainfall, and average temperature are shown in Table 1.
Experiments were conducted in a split-plot experimental design that included planting density as the main plot factor and N level as the subplot factor. In this experiment, two maize genotypes with a strong tolerance for density were selected: DengHai 618 (DH618) with high-yield potential and XianYu 335 (XY335), the variety that has the second largest planting area in China [31,32]. The varieties tested from 2019 to 2020 were DH618 and XY335, and the variety tested in 2021 was XY335. Two planting densities were established each year, which included 7.5 × 104 plants ha−1 (farmers’ plant density) and 12.0 × 104 plants ha−1 (high-yield’ planting density) [31,33]. To meet the nitrogen demand of the maize in each growth stage, a total of 18 nitrogen application levels were established. The amounts used included 0 (N0), 45 (N45), 90 (N90), 135 (N135), 180 (N180), 225 (N225), 270 (N270), 315 (N315), 360 (N360), 405 (N405), 450 (N450), 495 (N495), 540 (N540), 585 (N585), 630 (N630), 675 (N675) 720 (N720), and 765 (N765) kg ha−1. The community area was 66 m2, and the experiment was conducted in triplicate. The maize was planted in wide and narrow rows with a row spacing of 70 cm + 40 cm. The irrigation and fertilization methods were drip irrigation under film, and a differential pressure fertilization pipe was used for fertilization.
A total of 36 kg ha−1 N, 108 kg ha−1 phosphorus pentoxide (P2O5), and 37.5 kg ha−1 potassium oxide (K2O) were applied as seed fertilizer before sowing, and N was not applied during the whole growth period of N0. Phosphorus pentoxide (P2O5) and potassium oxide (K2O) were uniformly applied to the field mechanically in the early stage of maize growth, which fully met the growth needs. The remaining amounts of the other N application treatments were applied with water in equal proportion at the 9-leaf stage (V9), 12-leaf stage (V12), and silking stage (R1) at 10 d and 20 d after silking (Table 2). The irrigation quota during the whole growth period was 5400 m3 ha−1. The soil texture of the experimental field was sandy loam. The soil nutrient status before the maize was sown in 2019 was as follows: organic matter, 13.3 g kg−1; N, 82.9 mg kg−1; P, 53.8 mg kg−1; K, 105.6 mg kg−1; and pH, 7.9. One day after sowing, 15 mm of water was applied to assure uniform, rapid germination. To prevent late lodging and the hardening of seedlings, no irrigation was applied from sowing to 60 days after sowing. Chemical control (DA-6 Ethephon, China Agrotech, Shanxi, China) was applied at 600 mL ha−1 in the V8–V10 period of maize growth. A 2,4-D butyl ester emulsion was used for the elimination of weeds before the seedlings were planted; phoxim granules were used to prevent and control maize borers; mancozeb wettable powders were used to control leaf-spot diseases; and pyridaben wettable powders were used to control maize aphids, leafhoppers, and red spiders. In addition, mechanical weeding was conducted three times during the prophase of the maize growth.

2.2. Determination Items and Methods

2.2.1. Dry Matter Determination

At the 6-leaf stage (V6), 9-leaf stage (V9), 12-leaf stage (V12), silking stage (R1), milk-ripening stage (R3), wax-ripening stage (R5), and mature stage (R6) five representative maize plants with stable growth were randomly selected from the third film and the fourth film in each plot. The aboveground parts of the plants were removed from the base of the plants and divided into stems, leaves, sheaths, male ears, and female ears. The bracts and other organs were packed in paper sampling bags, marked, placed in an oven, kilned at 105 °C for 30 min, dried to a constant weight at 65 ℃, and weighed and recorded on a balance with an accuracy of 0.01.

2.2.2. Grain Yield

At physiological maturity, 20 ears were collected from the middle two rows in each plot, and the number of kernels on each ear was counted. After removing the border plots, the final harvest was in a plot area of 10 m2 with three replicates. The ear number, grain moisture content, and grain yield were also determined for each plot. Grain yield and kernel weight were expressed at 14% moisture content.

2.3. Data Processing and Analysis

Data analyses were conducted with SPSS 20.0 software (IBM, Inc., Armonk, NY, USA). Statistical analysis was preceded by tests for normality and homogeneity of variances. SPSS 20.0 was used for nonlinear regression analysis to determine the relationship between the nitrogen application rate, yield, and dry matter accumulation [34]. A total of 18 nitrogen application rates were adopted to ensure that the needs of dry matter growth in each stage could be met. The nitrogen application rate and dry matter growth were then fitted to obtain the inflection point value. The specific fitting method was performed as follows: analysis regression nonlinearity was clicked. Y was entered as the dependent variable, and (N < Joint) × (a + b × (N-joint)) + (N ≥ joint) were entered in the model expression. The parameter was clicked so that a = 1; b = 1; joint = 1; and the range of the joint was constrained. Finally, the values of a, b, joint, and R2 were obtained. The linear platform model was used. The functional formula was Y = a + b × (N-joint), X < joint; Y = a, X ≥ joint. In the formula, Y represents the crop yield or stage of dry matter accumulation (t ha−1); N was the nitrogen application rate (t ha−1), a and b were the equation coefficients, respectively, and the joint was the nitrogen application rate when the platform yield was reached. A Pearson correlation analysis was used to analyze the correlation between dry matter before and after silking and yield, kernel weight, and kernel number per ear. Origin 2022 (OriginLab, Northampton, MA, USA) was used to generate the plots and fit the linear + platform model function.

3. Results

3.1. Effect of Nitrogen Application Rate on Maize Yield and Yield Composition

Under the same nitrogen application rate, compared with 7.5 × 104 plants ha−1, the yield of DH618 and XY335 under a density of 12.0 × 104 plants ha−1 increased by 1.68–8.39% and 0.94–12.09%, respectively (Figure 1). With the increase in nitrogen application rate, the maize yield rapidly increased at first and then tended to remain flat. The linear + platform was used to fit the nitrogen application rate and yield (Table 3). The results show that when the nitrogen application rate of maize variety DH618 was 246–291 kg ha−1 and 347–365 kg ha−1 under a density of 7.5 × 104 plants ha−1 and 12.0 × 104 plants ha−1 in 2019 and 2020, respectively, the yield did not increase with the increase in the nitrogen application rate, and the corresponding yield was 17.61–19.12 t ha−1 and 18.74–20.34 t ha−1, respectively. From 2019 to 2021, under a density of 7.5 × 104 plants ha−1 and 12.0 × 104 plants ha−1, the inflection points of nitrogen application and yield fitting equations were 219–337 kg ha−1 and 243–378 kg ha−1, respectively, and the corresponding yields were 18.55–20.18 t ha−1 and 19.13–21.94 t ha−1, respectively. Compared with 7.5 × 104 plants ha−1, under a density of 12.0 × 104 plants ha−1, the inflection point of the nitrogen application rate for DH618 to obtain the highest yield increased by 25.09–41.06%, and that of XY335 increased by 10.96–41.06%. This shows that a higher yield can be obtained by increasing the planting density, but the demand for nitrogen fertilizer also increased.
With the increase in the nitrogen application rate, the maize kernel weight (Figure 2) and kernel number per ear (Figure 3) increased rapidly and then tended to remain flat. SPSS was used for nonlinear regression fitting of the linear plus platform model to obtain the amount of nitrogen application required for kernel weight (Table S1) and kernel number per ear (Table S2) to reach the inflection point. Under the same nitrogen application rate, with the increase in planting density, the maize kernel weight and the number of grains per ear decreased.

3.2. Effect of Dry Matter Accumulation on Yield Components

The correlation analysis between the number of grains per ear, kernel weight, dry matter accumulation, and yield in the increasing yield with nitrogen application (Figure 4) shows that the number of grains per ear and kernel weight significantly positively correlated with yield under the two density conditions. The correlation coefficient of kernel weight under the density of 7.5 × 104 plants ha−1 was higher, and the correlation coefficient of kernel number per ear under the density of 12.0 × 104 plants ha−1 was higher. Dry matter accumulation before silking positively correlated with the kernel number per ear but not kernel weight. The dry matter accumulation after silking significantly positively correlated with the kernel number per ear and kernel weight. The accumulation of dry matter before and after silking significantly positively correlated with yield, and the correlation coefficient of dry matter after silking was higher. The correlation coefficient between the pre-silking dry matter accumulation and yield under a density of 12.0 × 104 plants ha−1 was higher than that under a density of 7.5 × 104 plants ha−1. Therefore, when the maize is densely planted and producing high yields, the accumulation of dry matter before and after silking should be the primary point of focus to improve the kernel weight, kernel number per ear, and yield.

3.3. Effect of Nitrogen Application Rate on Dry Matter Accumulation

With the increase in nitrogen application rate, the dry matter weight of maize in each growth period increased first and then tended to remain stable (Figure 5). Under the same nitrogen application rate, the dry matter accumulation of the maize population increased with the increase in planting density. Under the density of 12.0 × 104 plants ha−1 in two growing seasons, the average population dry matter weight of the two varieties increased by 53.32%, 32.76%, 24.73%, 30.5%, 16.17%, 12.7%, and 16.98%, respectively in the 6-leaf stage, 9-leaf stage, 12-leaf stage, silking stage, milk-ripening stage (26 d after silking), wax-ripening stage (56 d after silking), and the mature stage compared with 7.5 × 104 plants ha−1.
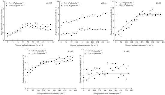
The dry matter weight in each growth stage increased first and then became stable with the increase in nitrogen application (Figure 6). From the V9 to the V12, from the V12 to the R1, from the R3 to the R5 and from the R5 to the R6, the average dry matter accumulation of 12.0 × 104 plants ha−1 increased by 13.9%%, 36.5%, 5.3%, and 51.0%, respectively, compared with that of 7.5 × 104 plants ha−1. The dry matter accumulation of 12.0 × 104 plants ha−1 was 2.4% lower than that of 7.5 × 104 plants ha−1 from the R1 to R5 stages.
The linear plus platform model was fitted by nonlinear regression using SPSS to obtain the inflection point of the average nitrogen demand for dry matter accumulation in each stage of the maize growth period over the two-year period (Table S3). The amount of nitrogen applied at the inflection point of each stage represents the optimal amount of dry matter required in each stage (Table 4).

3.4. Optimized Nitrogen Application during the Maize Growth Period

Based on the optimal nitrogen application rate of dry matter accumulation in the maize growth stage (Table 4), the nitrogen application rate of maize in each growth stage was optimized. The first fertilization was based on the best dry matter accumulation of the nitrogen application rate in the V9–V12 stage after the 9-leaf stage. The best nitrogen application rate in each stage was obtained by subtracting the best nitrogen application rate required in the previous growth stage from the later growth stage. Based on the dry matter accumulation in each stage, the optimal nitrogen application law under two densities was obtained (Figure 7). The total nitrogen application rate was 340 kg ha−1 under the density of 7.5 × 104 plants ha−1 and 380 kg ha−1 under the density of 12.0 × 104 plants ha−1. Under the two densities, a large amount of nitrogen fertilizer needs to be applied from the 9-leaf stage to the silking stage. Under the density of 7.5 × 104 plants ha−1, the nitrogen application before and after silking accounted for 61.2% and 38.8% of the total nitrogen application, respectively. Under the density of 12.0 × 104 plants ha−1, the nitrogen application before and after silking accounted for 65.8% and 34.2% of the total nitrogen application, respectively. This indicated the importance of focusing on the amount of nitrogen applied after silking to increase the kernel weight at the density of 7.5 × 104 plants ha−1 and also focus on the amount of nitrogen applied before silking to increase the number of grains per ear at the density of 12.0 × 104 plants ha−1.

4. Discussion

Close planting and proper fertilization are the primary cultivation measures to improve the yield of maize. Studies have shown a quadratic function relationship between density and yield, indicating that appropriately increasing the density is conducive to yield formation [35,36,37,38]. Lower density leads to lower yield because there are fewer production plants per unit area. The use of high density can improve productivity because of increased leaf area index (LAI) and photosynthetically effective radiation, improving dry matter and nitrogen accumulation [39,40]. The increasing potential of photosynthetic available radiation is the main factor in the high yield of the maize [5]. The yield of the maize depends on the transportation and distribution of photosynthetic products and assimilation in the plant. The basic way to obtain high yields is to improve the production capacity of the dry matter after flowering and the transfer capacity of the dry matter to the grains [28]. The response of the maize planting density to nitrogen fertilizer was different, with the planting density of 7.5 × 104 plants ha1 obtaining the highest yield (18.55–20.18 t ha−1), and the amount of nitrogen fertilizer was 219–337 kg ha−1. The planting density of 12.0 × 104 plants ha−1 obtained the highest yield (19.13–21.94 t ha−1), and the amount of nitrogen fertilizer was 243–378 kg ha−1. There are some differences in the responses of different genotypic maize varieties to nitrogen. The effect of planting density on maize yield is higher than that of other factors, followed by nitrogen fertilizer. The results of this study showed that a higher yield could be obtained by increasing the nitrogen application rate after the planting density has been increased.
Dry matter is the basis of high yield. The law of dry matter accumulation and transport in maize has been shown to positively correlate with the increase in yield [41,42,43,44,45]. The yield of maize primarily depends on the dry matter accumulation from silking to maturity [46]. Increasing plant density can promote N absorption and LAI, increase N absorption and intercept effective radiation, and increase dry matter and yield at the same N rate [16]. Increasing planting density can significantly improve the dry matter accumulation of the population, but under the conditions of high density, the dry matter accumulation of a single plant decreases too much, which is an important reason to restrict the greater increase in dry matter accumulation in the population [36]. When the yield increases linearly with the nitrogen application rate, the effect of the dry matter accumulation after silking on the yield was greater than that before silking. Nitrogen application can increase the dry matter accumulation and grain transportation efficiency, which is the primary method to obtain a high yield of maize [47,48,49,50]. Water and nitrogen management measures significantly affect the dry matter accumulation process by the characteristics of the dry matter accumulation of the maize [51]. This study confirmed that the dry matter increased first and then became stable. Therefore, under water fertilizer integration and nitrogen fertilizer application, increasing the amount of nitrogen application primarily increased the dry matter accumulation after silking to improve the yield.
Affected by the basic soil condition of the experimental plot, the response law of crop yield to nitrogen application is different. Some studies showed that the yield of maize increased first and then decreased with the increase in nitrogen application [16,52,53]. The optimal nitrogen application rate was determined in previous experiments by increasing and decreasing the appropriate nitrogen application rate. In this experiment, 18 nitrogen application rates were used to fully meet the dry matter accumulation in each stage. The results showed that the dry matter of maize in each stage first showed an upward trend with the increase in nitrogen application rate, and the dry weight did not decrease after reaching a specific nitrogen application rate because of its stability. This is owing to the integration of water and fertilizer and multiple fertilization. Previous studies have shown that a one-time basic application of nitrogen fertilizer results in excessive nitrogen accumulation in the early stage of the maize, inhibits nitrogen absorption and transport in the later stage, is not conducive to grain filling, and leads to lower yields [54]. In addition, the previous one-time fertilization caused the premature senescence of maize leaves in the later stage, resulting in a reduction in yield. Multiple fertilizer applications can result in a more reasonable maize yield than one-time fertilization [24,55]. In this experiment, we adopted drip irrigation and the fractional fertilization mode, which can effectively promote the nutrient absorption of maize plants at all stages. Rational fertilization can reduce the decline rate of LAI in the later stage of maize growth, maintain a high LAI, delay the senescence of leaves, maintain the high value duration of the middle-leaf area index during the process of grain filling, and prolong the duration of grain dry matter accumulation [41].
There is a demand for nitrogen fertilizer at the different growth stages of the maize, and there must be sufficient nitrogen fertilizer supplied to ensure a high yield of maize [56,57,58]. During silking, higher amounts of dry matter are distributed to the leaves to maintain leaf function by increasing the leaf biomass and nitrogen content to increase nitrogen accumulation in the later stage during grain filling [37]. During grain filling, adequate nitrogen supplementation and plant absorption may lead to the highest yield of high-density crops [57]. Wei et al. [10] studied how to reasonably increase the density and reduce the usage of nitrogen. The results showed that promoting crop growth rate in the V14-R3 and post-silking carbohydrate production can drive sufficient nitrogen accumulation and dry matter distribution and realize the coordinated improvement in yield and NUE. Zhao et al. [59] concluded that the sum of N, P and K nutrients in the two stages from 20 d to 45 d and from 58 d to 85 d after sowing accounts for 60–90% of the total accumulation, which is also the critical period of fertilization. In these two stages, the rational distribution of nitrogen fertilizer dosage is essential to yield formation. In this study, by fitting the actual nitrogen application rate at the different growth stages with the dry matter accumulation at various stages, the best nitrogen application rate to meet the dry matter accumulation at the different stages was obtained. This also enabled the identification of the best nitrogen application rate at each stage of the maize growth period and optimization of the fertilizer demand at different stages of the maize growth period. The results showed that under high density, the amount of nitrogen application from the 9-leaf stage to the silking stage increased by 24.42% compared with that under low density. The correlation between yield and kernel number per ear was more significant under high density, indicating that focusing on fertilization at this stage is conducive to ear differentiation and increasing yield. It is imperative to focus more closely during fertilization on the grain filling stage under the low nitrogen application rate at low density. There is a more substantial correlation between the yield and kernel weight at low density. Therefore, increasing the amount of fertilization at the grain filling stage will help to increase the kernel weight and yield.

5. Conclusions

With the nitrogen application rate increased, the yield of maize increased first and then tended to remain flat. Under conditions of 7.5 × 104 plants ha−1 density, the best yield was 17.6–20.2 t ha−1, and the required nitrogen application rate was 219–337 kg ha−1. Under conditions of 12.0 × 104 plants ha−1 density, the best yield was 18.7–21.9 t ha−1, and the required nitrogen application rate was 243–378 kg ha−1. The pre-silking dry matter accumulation affects the yield by affecting the number of grains per ear. Post-silking dry matter accumulation affects the yield by affecting the number of grains per ear and the kernel weight. Increasing planting density requires more nitrogen fertilizer to obtain a higher yield, which is primarily reflected in the need for the application of more nitrogen before silking. According to the response law of maize dry matter accumulation to nitrogen fertilizer, this study provides a theoretical basis for the increase in high yields that arises from integrating drip irrigation with water fertilizer integration. Future research will examine the internal mechanism of a lack of increase in yield after increasing nitrogen applications.

Supplementary Materials

The following supporting information can be downloaded at: https://www.mdpi.com/article/10.3390/agronomy12061308/s1; Table S1: Fitting equation of the relationship between nitrogen application and kernel weight; Table S2. Fitting equation of the relationship between nitrogen application and kernel number per ear; Table S3. Fitting equation of the relationship between nitrogen application and dry matter accumulation at each growth stage.

Author Contributions

Conceptualization, J.X. and S.L.; methodology, J.Z., J.X., G.Z. and Y.Z.; software, J.Z. and J.X.; validation, J.Z., J.X., G.Z., Y.Z. and S.L.; formal analysis, J.Z. and J.X.; investigation, J.Z., Y.Z. and W.X.; resources, S.L.; data curation, J.Z.; writing—original draft preparation, J.Z., J.X. and G.Z.; writing—review and editing, J.Z., J.X., G.Z., Y.Z., R.X., B.M., P.H., K.W. and S.L.; visualization, S.L.; supervision, J.X. and S.L.; project administration, J.X. and S.L.; funding acquisition, S.L. All authors have read and agreed to the published version of the manuscript.

Funding

This research was supported by grants from the Agricultural Science and Technology Innovation Program (CAAS-ZDRW202004), China Agriculture Research System of MOF and MARA. Central Public Interest Scientific Institution Basal Research Fund (No.Y2022XK06).

Institutional Review Board Statement

Not applicable.

Informed Consent Statement

Not applicable.

Data Availability Statement

Not applicable.

Conflicts of Interest

The authors declare no conflict of interest.

References

  1. Campbell, B.M.; Vermeulen, S.J.; Aggarwal, P.K.; Corner-Dolloff, C.; Girvetz, E.; Loboguerrero, A.M.; Ramirez-Villegas, J.; Rosenstock, T.; Sebastian, L.; Thornton, P.K.; et al. Reducing risks to food security from climate change. Glob. Food Secur. 2016, 11, 34–43. [Google Scholar] [CrossRef] [Green Version]
  2. Ladha, J.K.; Pathak, H.; Krupnik, T.J.; Six, J.; Kessel, C.V. Efficiency of fertilizer nitrogen in cereal production: Retrospects and prospects. Adv. Agron. 2005, 87, 85–156. [Google Scholar]
  3. Ming, B.; Xie, R.Z.; Hou, P.; Li, L.L.; Wang, K.R.; Li, S.K. Changes of maize planting density in China. Sci. Agric. Sin. 2017, 50, 1960–1972. [Google Scholar]
  4. Wang, K.; Wang, K.R.; Wang, Y.H.; Zhao, J.; Zhao, R.L.; Wang, X.M.; Li, J.; Liang, M.X.; Li, S.K. Effects of density on maize yield and yield components. Sci. Agric. Sin. 2012, 45, 3437–3445. [Google Scholar]
  5. Du, X.B.; Wang, Z.; Lei, W.X.; Kong, L.C. Increased planting density combined with reduced nitrogen rate to achieve high yield in maize. Sci. Rep. 2021, 11, 358. [Google Scholar] [CrossRef]
  6. Rossini, M.A.; Maddonni, G.A.; Otegui, M.E. Inter-plant competition for resources in maize crops grown under contrasting nitrogen supply and density: Variability in plant and ear growth. Field Crop Res. 2011, 121, 373–380. [Google Scholar] [CrossRef]
  7. Grassini, P.; Yang, H.; Irmak, S.; Thorburn, J.; Burr, C.; Cassman, K.G. High-yield irrigated maize in the western US corn belt: II. irrigation management and crop water productivity. Field Crop Res. 2011, 120, 133–141. [Google Scholar] [CrossRef] [Green Version]
  8. Tollenaar, M.; Lee, E.A. Yield potential, yield stability and stress tolerance in maize. Field Crop Res. 2002, 75, 161–169. [Google Scholar] [CrossRef]
  9. Assefa, Y.; Prasad, P.V.V.; Carter, P.; Hinds, M.; Bhalla, G.; Schon, R.; Jeschke, M.; Paszkiewicz, S.; Ciampitti, I.A. Yield Responses to Planting Density for US Modern Corn Hybrids: A Synthesis-Analysis. Crop Sci. 2016, 56, 2802–2817. [Google Scholar] [CrossRef]
  10. Wei, S.L.; Wang, Z.G.; Yu, X.F.; Sun, J.Y.; Jia, Q.; Qu, J.W.; Su, B.D.; Gao, J.L.; Zhang, Y.Q. Interaction of nitrogen fertilizer rate and plant density on grain yield and nitrogen use efficiency of maize. Plant Nutr. Fertil. Sci. 2019, 25, 382–391. [Google Scholar]
  11. Zhang, G.Q.; Shen, D.P.; Xie, R.Z.; Ming, B.; Hou, P.; Xue, J.; Li, R.F.; Chen, J.L.; Wang, K.R.; Li, S.K. Optimizing planting density to improve nitrogen use of super high-yield maize. Agron. J. 2020, 112, 4147–4158. [Google Scholar] [CrossRef]
  12. Erisman, J.W.; Sutton, M.A.; Galloway, J.; Klimont, Z.; Winiwarter, W. How a century of ammonia synthesis changed the world. Nat. Geosci. 2008, 1, 636–639. [Google Scholar] [CrossRef]
  13. Hou, P.; Liu, Y.; Liu, W.; Liu, G.; Xie, R.; Wang, K.; Ming, B.; Wang, Y.; Zhao, R.; Zhang, W.; et al. How to increase maize production without extra nitrogen input. Resour. Conserv. Recycl. 2020, 160, 104913. [Google Scholar] [CrossRef]
  14. Abbasi, M.K.; Tahir, M.M.; Rahim, N. Effect of N fertilizer source and timing on yield and N use efficiency of rainfed maize (Zea mays L.) in Kashmir–Pakistan. Geoderma 2013, 195–196, 87–93. [Google Scholar] [CrossRef]
  15. Zhang, X.; Bol, R.; Rahn, C.; Xiao, G.M.; Meng, F.Q.; Wu, W.L. Agricultural sustainable intensification improved nitrogen use efficiency and maintained high crop yield during 1980–2014 in northern China. Sci. Total Environ. 2017, 596–597, 61. [Google Scholar] [CrossRef]
  16. Shi, D.Y.; Li, Y.H.; Zhang, J.W.; Liu, P.; Zhao, B.; Dong, S.T. Increased plant density and reduced n rate lead to more grain yield and higher resource utilization in summer maize. J. Integr. Agric. 2016, 15, 2515–2528. [Google Scholar] [CrossRef] [Green Version]
  17. Yi, Q.; Zhang, X.Z.; He, P.; Yang, L.; Xiong, G.Y. Effects of reducing N application rate on crop N uptake, utilization and soil N balance in rice-wheat rotation system. Plant Nutr. Fertil. Sci. 2010, 16, 1069–1077. [Google Scholar]
  18. Yang, J.S.; Gao, H.Y.; Liu, P.; Li, G.; Dong, S.T.; Zhang, J.W.; Wang, J.F. Effects of planting density and row spacing on canopy apparent photosynthesis of high-yield summer corn. Acta Agron. Sin. 2010, 36, 1226–1233. [Google Scholar] [CrossRef]
  19. Lv, L.H.; Wang, P.; Yi, Z.X.; Wei, F.T.; Liu, M. Effects of plant density on photosynthetic character and yield trait in summer corn. J. Maize Sci. 2017, 15, 79–81. [Google Scholar]
  20. Wang, Y.J.; Sun, Q.Z.; Yang, J.S.; Wang, K.J.; Dong, S.T.; Yuan, C.P.; Wang, L.C. Effects of controlled-release urea on yield and photosynthesis characteristics of maize (Zea mays L.) under different soil fertility conditions. Acta Agron. Sin. 2011, 37, 2233–2240. [Google Scholar] [CrossRef]
  21. Yu, H.; Yang, G.H.; Wang, Z.J. Nitrogen rate and timing considerations on yield and physiological parameters of maize canopy. Plant Nutr. Fertil. Sci. 2010, 16, 266–273. [Google Scholar]
  22. Chen, X.-P.; Cui, Z.-L.; Vitousek, P.M.; Cassman, K.G.; Matson, P.A.; Bai, J.-S.; Meng, Q.-F.; Hou, P.; Yue, S.-C.; Römheld, V.; et al. Integrated soil-crop system management for food security. Proc. Natl. Acad. Sci. USA 2011, 108, 6399–6404. [Google Scholar] [CrossRef] [PubMed] [Green Version]
  23. Jia, G.Y.; Luo, H.Y.; Chu, Y.; Lin, J.M.; Wang, Z.Y.; Chen, T.X.; Xu, Z. Effects of water and fertilizer integration on nutrient absorption of maize under different irrigation modes. Water Sav. Irrig. 2022, 2, 40–47. [Google Scholar]
  24. Han, X.F.; Liu, P.; Ma, Y.G.; Liu, Q.; He, J.G. Effects of nitrogen supply methods on grain yield, nitrogen uptake and use efficiency of summer maize. J. Maize Sci. 2019, 27, 140–147. [Google Scholar]
  25. Zhai, L.C.; Xie, R.Z.; Li, S.K.; Zhang, Z.B. Effects of nitrogen and plant density on competition between two maize hybrids released in different eras. Agron. J. 2017, 109, 2670–2679. [Google Scholar] [CrossRef]
  26. Xu, K.; Chai, Q.; Hu, F.L.; Fan, Z.L.; Yin, W. N-fertilizer postponing application improves dry matter translocation and increases system productivity of wheat/maize intercropping. Sci. Rep. 2021, 11, 22825. [Google Scholar] [CrossRef]
  27. Wang, Y.; Zhao, C.; Fan, Z.L.; Gou, Z.W.; Hu, F.L.; Yin, W.; Cai, Q. Characteristics of dry matter accumulation and yield formation of dense planting maize in different row spacings. Chin. J. Ecol. 2020, 28, 652–661. [Google Scholar]
  28. Yu, Y.; Qian, C.R.; Gu, W.R.; Li, C.F. Responses of root characteristic parameters and plant dry matter accumulation, distribution and transportation to nitrogen levels for spring maize in northeast China. Agriculture 2021, 11, 308. [Google Scholar] [CrossRef]
  29. Wang, F.; Xie, R.Z.; Ming, B.; Wang, K.R.; Hou, P.; Chen, J.L.; Liu, G.Z.; Zhang, G.Q.; Xue, J.; Li, S.K. Dry matter accumulation after silking and kernel weight are the key factors for increasing maize yield and water use efficiency. Agric. Water Manag. 2021, 254, 106938. [Google Scholar] [CrossRef]
  30. Cheng, Y.T.; Li, R.F.; Wang, K.R.; Xie, R.Z.; Hou, P.; Ming, B.; Xue, J.; Zhang, G.Q.; Liu, G.Z.; Li, S.K. Creation and thinking of China’s spring maize high-yield record. J. Maize Sci. 2021, 29, 56–59. [Google Scholar]
  31. Zhang, G.; Liu, C.; Xiao, C.; Xie, R.; Ming, B.; Hou, P.; Liu, G.; Xu, W.; Shen, D.; Wang, K.; et al. Optimizing water use efficiency and economic return of super high yield spring maize under drip irrigation and plastic mulching in arid areas of China. Field Crop Res. 2017, 211, 137–146. [Google Scholar] [CrossRef]
  32. Liu, G.; Hou, P.; Xie, R.; Ming, B.; Wang, K.; Xu, W.; Liu, W.; Yang, Y.; Li, S. Canopy characteristics of high-yield maize with yield potential of 22.5 Mg ha−1. Field Crop Res. 2017, 213, 221–230. [Google Scholar] [CrossRef]
  33. Xu, W.J.; Liu, C.W.; Wang, K.R.; Xie, R.Z.; Ming, B.; Wang, Y.H.; Zhang, G.Q.; Liu, G.Z.; Zhao, R.L.; Fan, P.P.; et al. Adjusting maize plant density to different climatic conditions across a large longitudinal distance in China. Field Crop Res. 2017, 212, 126–134. [Google Scholar] [CrossRef]
  34. Bao, Q.P.; Han, X.R.; Cui, Z.G.; Yin, Y.; Zhang, H.; Li, W.R.; Liu, X.H. Recommended fertilization model for spring maize nitrogen fertilizer in Northeast China. Plant Nutr. Fertil. Sci. 2020, 26, 705–716. [Google Scholar]
  35. Wang, Y.H.; Wang, K.R.; Zhao, R.L.; Wang, K.; Zhao, J.; Wang, X.M.; Li, J.; Liang, M.X.; Li, S.K. Relationship between the source and sink of spring maize with high yield. Sci. Agric. Sin. 2013, 46, 257–269. [Google Scholar]
  36. Cao, S.B.; Zhang, J.W.; Dong, S.T.; Liu, P.; Zhao, B.; Yang, J.S. Effects of nitrogen rate and planting density on grain yield and nitrogen utilization efficiency of high yield summer maize. Plant Nutr. Fertil. Sci. 2012, 18, 1343–1353. [Google Scholar]
  37. Chen, K.; Kumudini, S.V.; Tollenaar, M.; Vyn, T.J. Plant biomass and nitrogen partitioning changes between silking and maturity in newer versus older maize hybrids. Field Crop Res. 2015, 183, 315–328. [Google Scholar] [CrossRef]
  38. Li, J.; Xie, R.Z.; Wang, K.R.; Ming, B.; Guo, Y.Q.; Zhang, G.Q.; Li, S.K. Variations in maize dry matter, harvest index, and grain Yield with plant density. Agron. J. 2015, 107, 829–834. [Google Scholar] [CrossRef]
  39. Zhang, W.; Cao, G.; Li, X.; Zhang, H.; Wang, C.; Liu, Q.; Chen, X.; Cui, Z.; Shen, J.; Jiang, R.; et al. Closing yield gaps in China by empowering smallholder farmers. Nature 2016, 537, 671–674. [Google Scholar] [CrossRef]
  40. Zhao, Y.J.; Sen, X.; Zhang, Q.S.; Zhang, F.S. Causes of maize density loss in farmers’ fields in Northeast China. J. Integr. Agric. 2019, 18, 1680–1689. [Google Scholar] [CrossRef]
  41. Wang, X.X.; Zheng, X.F.; Cao, Y.; Yu, H.J.; Wu, T. Effects of source alteration on material production and grain nutrition components accumulation of transplanted maize. J. Maize Sci. 2020, 28, 111–116. [Google Scholar]
  42. Liu, M.; Lai, Y.J.; Li, W.; Xiao, J.L.; Bi, Y.D.; Liu, M. Effects of biochar on matter production and yield of maize. Crops 2015, 3, 133–138. [Google Scholar]
  43. Echarte, L.; Andrade, F.H.; Vega, C.; Tollenaar, M. Kernel number determination in argentinean maize hybrids released between 1965 and 1993. Cropence 2004, 44, 1654–1661. [Google Scholar] [CrossRef]
  44. Sarlangue, T.; Andrade, F.H.; Calviño, P.A.; Purcell, L.C. Why do maize hybrids respond differently to variations in plant density? Agron. J. 2007, 99, 984–991. [Google Scholar] [CrossRef]
  45. Wang, J.X.; Wang, H.W.; Jiang, W.Y.; Zhao, B.; Man, Y.P.; Zhang, K.Y.; Diao, Y.L.; Zhu, K.N. Effects of different planting on dry matter accumulation, distribution and yield of maize. J. Maize Sci. 2021, 29, 128–136. [Google Scholar]
  46. Tian, F.; Nie, J.S.; Zhou, Z.Y.; Gu, A.L.; Zheng, Z.Y.; Yang, T.T.; Huang, Y.; Yin, D.W.; Wang, Z.H. Effects of combined application of biochar and relatively low-level chemical fertilizer on dry matter, yield, accumulation and transport of nitrogen, phosphorus and potassium in maize. J. Maize Sci. 2021, 29, 158–165. [Google Scholar]
  47. Rens, L.R.; Zotarelli, L.; Cantliffe, D.J.; Stoffella, P.J.; Gergela, D.; Fourman, D. Biomass accumulation, marketable yield, and quality of atlantic potato in response to nitrogen. Agron. J. 2015, 107, 931–942. [Google Scholar] [CrossRef]
  48. Wang, C.C.; Gao, Y.N.; Zhang, J.L.; Cui, J.H. Effect of row spacing on the regularity of accumulation and distribution of dry matter in spring maize. J. Maize Sci. 2011, 19, 108–111. [Google Scholar]
  49. Ding, L.; Wang, K.; Jiang, G.; Biswas, D.K.; Li, Y. Effects of nitrogen deficiency on photosynthetic traits of maize hybrids released in different years. Ann. Bot. 2005, 96, 925–930. [Google Scholar] [CrossRef] [Green Version]
  50. Hou, P.; Gao, Q.; Xie, R.; Li, S.; Meng, Q.; Kirkby, E.A.; Römheld, V.; Müller, T.; Zhang, F.; Cui, Z.; et al. Grain yields in relation to n requirement: Optimizing nitrogen management for spring maize grown in China. Field Crop Res. 2012, 129, 1–6. [Google Scholar] [CrossRef]
  51. Xu, X.Y.; Zhang, M.M.; Zhai, B.N.; Li, S.X. Effects of nitrogen application on dry matter accumulation and translocation of different genotypes of summer maize. Plant Nutr. Fertil. Sci. 2009, 15, 786–792. [Google Scholar]
  52. Jing, L.Q.; Zhao, F.C.; Liu, P.; Yuan, J.H.; Lu, D.W.; Lu, W.P. Effects of nitrogen treatments on dry matter production and photosynthetic characteristics of summer maize (Zea mays L.) under super-high yield conditions. Acta Agric. Nucleatae Sin. 2014, 28, 317–326. [Google Scholar]
  53. Zhu, X.C.; Zhang, J.; Zhang, Z.P.; Deng, A.X.; Zhang, W.J. Dense planting with less basal nitrogen fertilization might benefit rice cropping for high yield with less environmental impacts. Eur. J. Agron. 2016, 75, 50–59. [Google Scholar] [CrossRef]
  54. Jin, L.B.; Zhang, J.W.; Li, B.; Cui, H.Y.; Dong, S.T.; Liu, P.; Zhao, B. Canopy structure and photosynthetic characteristics of high yield and high nitrogen efficiency summer maize. Sci. Agric. Sin. 2013, 46, 2430–2439. [Google Scholar]
  55. Lv, G.D.; Mi, Y.; Chen, Y.J.; Sun, Y.Y.; Wang, C.; Mu, Q.H.; Wu, K.; Qian, Z.G. Effects of nitrogen application on nitrogen accumulation, dry matter accumulation, transport, and yield of maize. J. Maize Sci. 2021, 29, 128–137. [Google Scholar]
  56. Lv, P.; Zhang, J.W.; Liu, W.; Yang, J.S.; Liu, P.; Dong, S.T.; Li, D.H. Effects of nitrogen application dates on yield and nitrogen use efficiency of summer maize in super-high yield conditions. Plant Nutr. Fertil. Sci. 2011, 17, 1099–1107. [Google Scholar]
  57. Liu, G.; Hou, P.; Xie, R.; Ming, B.; Wang, K.; Liu, W.; Yang, Y.; Xu, W.; Chen, J.; Li, S. Nitrogen uptake and response to radiation distribution in the canopy of high-yield maize. Crop Sci. 2019, 59, 1236–1247. [Google Scholar] [CrossRef]
  58. Nayak, H.S.; Parihar, C.; Mandal, B.; Patra, K.; Jat, S.; Singh, R.; Singh, V.; Jat, M.; Garnaik, S.; Nayak, J.; et al. Point placement of late vegetative stage nitrogen splits increase the productivity, N-use efficiency and profitability of tropical maize under decade long conservation agriculture. Eur. J. Agron. 2022, 133, 126417. [Google Scholar] [CrossRef]
  59. Zhao, Y.; Tong, Y.A.; Zhao, H.B. Effects of different N rates on nutrients accumulation, transformation and yield of summer maize. Plant Nutr. Fertil. Sci. 2006, 5, 622–627. [Google Scholar]
Figure 1. Effect of different nitrogen application rates on maize yield.
Figure 1. Effect of different nitrogen application rates on maize yield.
Agronomy 12 01308 g001
Figure 2. Effects of different nitrogen application rates on maize kernel weight.
Figure 2. Effects of different nitrogen application rates on maize kernel weight.
Agronomy 12 01308 g002
Figure 3. Effects of different nitrogen application rates on the kernel number per ear of maize.
Figure 3. Effects of different nitrogen application rates on the kernel number per ear of maize.
Agronomy 12 01308 g003
Figure 4. Correlation between yield, kernel weight, kernel number per ear, and dry matter accumulation before and after silking under different densities. ** represent significant levels of and p = 0.01.
Figure 4. Correlation between yield, kernel weight, kernel number per ear, and dry matter accumulation before and after silking under different densities. ** represent significant levels of and p = 0.01.
Agronomy 12 01308 g004
Figure 5. Effect of the nitrogen application rate on the dry matter accumulation in each period under different density conditions.
Figure 5. Effect of the nitrogen application rate on the dry matter accumulation in each period under different density conditions.
Agronomy 12 01308 g005
Figure 6. Effect of nitrogen application rate on dry matter accumulation at each growth stage under different density conditions.
Figure 6. Effect of nitrogen application rate on dry matter accumulation at each growth stage under different density conditions.
Agronomy 12 01308 g006
Figure 7. Fertilization amount during the maize growth period: the 9-leaf stage (V9), 12-leaf stage (V12), silking stage (R1), milk-ripening stage (R3), wax-ripening stage (R5), and mature stage (R6).
Figure 7. Fertilization amount during the maize growth period: the 9-leaf stage (V9), 12-leaf stage (V12), silking stage (R1), milk-ripening stage (R3), wax-ripening stage (R5), and mature stage (R6).
Agronomy 12 01308 g007
Table 1. Solar radiation, precipitation, and average temperature in the maize growing seasons from 2019 to 2021.
Table 1. Solar radiation, precipitation, and average temperature in the maize growing seasons from 2019 to 2021.
MonthSolar Radiation (MJ m−2)Precipitation (mm)Avg. Temperature (℃)
201920202021201920202021201920202021
Apr.497.2529.0396.528.35.120.811.314.111.5
May542.4616.8716.837.013.224.213.218.217.3
Jun.584.1599.6670.928.125.820.519.220.019.9
July586.8613.3685.05.8104.116.822.821.625.3
Aug.582.8546.8622.710.813.730.422.820.921.4
Sep.414.6397.8486.032.830.811.317.914.718.3
Total/avg.3207.93303.33577.8142.8192.7124.017.918.318.9
Table 2. Fertilization time from 2019 to 2021.
Table 2. Fertilization time from 2019 to 2021.
YearFertilization Date
20196.267.47.157.238.1
20206.166.267.47.167.27
20216.167.47.117.177.26
Table 3. Fitting equation of the relationship between nitrogen application and maize yield.
Table 3. Fitting equation of the relationship between nitrogen application and maize yield.
YearVarietyPlant Density
(× 104 Plants ha−1)
Fitting EquationDetermination Coefficient
R2
2019DH6187.5Y = 12.66 + 0.017 × N, N < 291; Y = 17.61, N ≥ 2910.985 **
12.0Y = 11.81 + 0.019 × N, N < 365; Y = 18.74, N ≥ 3650.995 **
XY3357.5Y = 12.09 + 0.024 × N, N < 269; Y = 18.55, N ≥ 2690.988 **
12.0Y = 12.45 + 0.018 × N, N < 371; Y = 19.13, N ≥ 3710.991 **
2020DH6187.5Y = 18.14 + 0.04 × N, N < 246; Y = 19.12, N ≥ 2460.988 **
12.0Y = 8.2 + 0.035 × N, N < 347; Y = 20.34, N ≥ 3470.966 **
XY3357.5Y = 10.98 + 0.042 × N, N < 219; Y = 20.18, N ≥ 2190.981 **
12.0Y = 9.76 + 0.05 × N, N < 243; Y = 21.94, N ≥ 2430.993 **
2021XY3357.5Y = 8.25 + 0.032 × N, N < 337; Y = 18.92, N ≥ 3370.988 **
12.0Y = 9.18 + 0.03 × N, N < 378; Y = 20.52, N ≥ 3780.981 **
** represent significance levels of p = 0.01.
Table 4. Optimal nitrogen application based on the dry matter accumulation during the maize growth stage.
Table 4. Optimal nitrogen application based on the dry matter accumulation during the maize growth stage.
Plant Density
(× 104 Plants ha−1)
Optimal Theoretical Nitrogen Fertilization at the Growth Stages
(kg ha−1)
V9–V12V12–R1R1–R3R3–R5R5–R6
7.557172238304153
12.063214270344213
The 9-leaf stage (V9), 12-leaf stage (V12), silking stage (R1), milk ripening stage (R3), wax ripening stage (R5), and mature stage (R6).
Publisher’s Note: MDPI stays neutral with regard to jurisdictional claims in published maps and institutional affiliations.

Share and Cite

MDPI and ACS Style

Zhai, J.; Zhang, Y.; Zhang, G.; Xu, W.; Xie, R.; Ming, B.; Hou, P.; Wang, K.; Xue, J.; Li, S. Nitrogen Application and Dense Planting to Obtain High Yields from Maize. Agronomy 2022, 12, 1308. https://doi.org/10.3390/agronomy12061308

AMA Style

Zhai J, Zhang Y, Zhang G, Xu W, Xie R, Ming B, Hou P, Wang K, Xue J, Li S. Nitrogen Application and Dense Planting to Obtain High Yields from Maize. Agronomy. 2022; 12(6):1308. https://doi.org/10.3390/agronomy12061308

Chicago/Turabian Style

Zhai, Juan, Yuanmeng Zhang, Guoqiang Zhang, Wenqian Xu, Ruizhi Xie, Bo Ming, Peng Hou, Keru Wang, Jun Xue, and Shaokun Li. 2022. "Nitrogen Application and Dense Planting to Obtain High Yields from Maize" Agronomy 12, no. 6: 1308. https://doi.org/10.3390/agronomy12061308

APA Style

Zhai, J., Zhang, Y., Zhang, G., Xu, W., Xie, R., Ming, B., Hou, P., Wang, K., Xue, J., & Li, S. (2022). Nitrogen Application and Dense Planting to Obtain High Yields from Maize. Agronomy, 12(6), 1308. https://doi.org/10.3390/agronomy12061308

Note that from the first issue of 2016, this journal uses article numbers instead of page numbers. See further details here.

Article Metrics

Back to TopTop