A Root Density Tradeoff in an Okra-Assisted Subsurface Pipe Drainage System for Amelioration of Saline Soil
Abstract
:1. Introduction
2. Materials and Methods
2.1. Experimental Site
2.2. Experiment Design and Management
2.3. Observations and Analyses
2.4. Statistical Analyses
3. Results
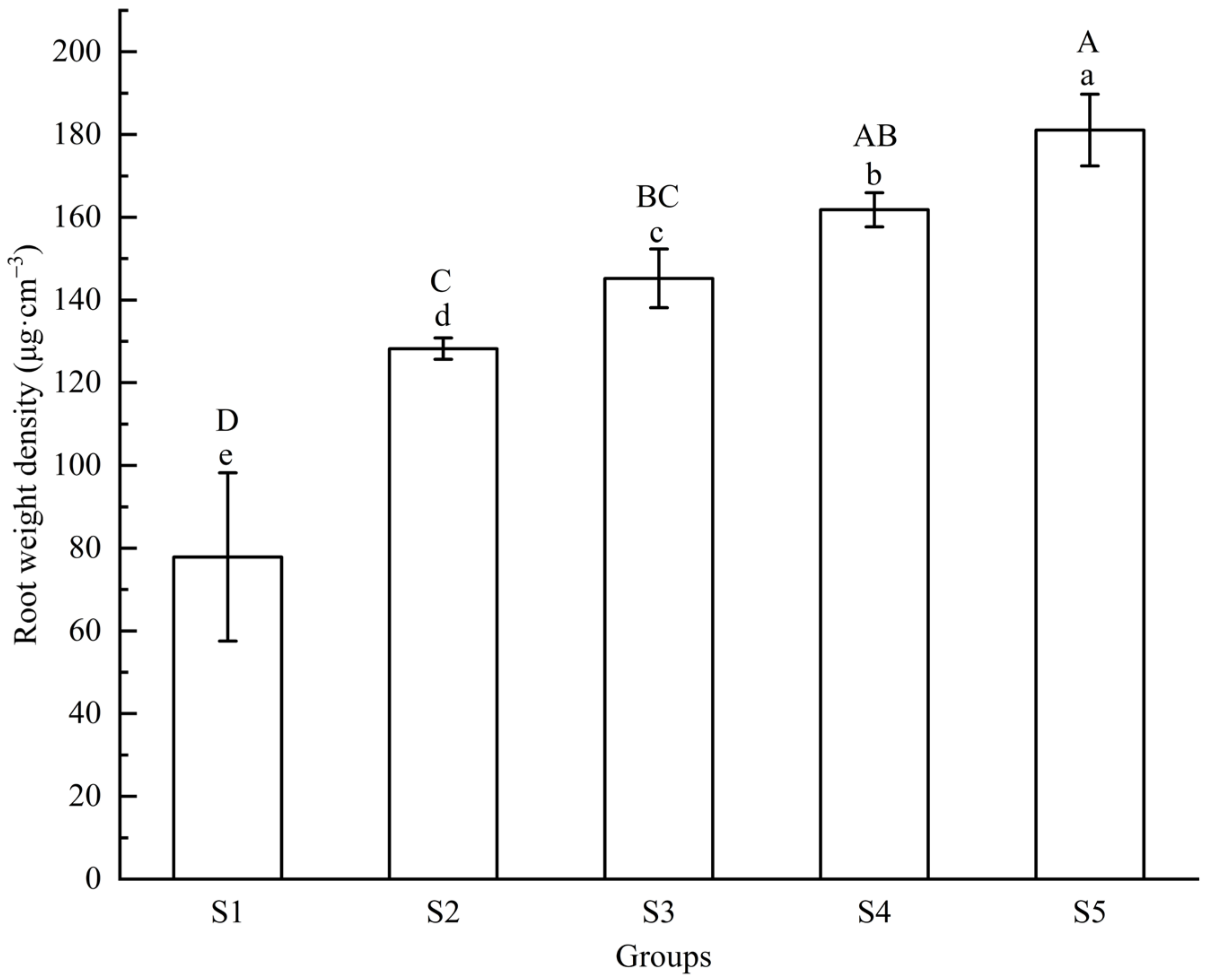
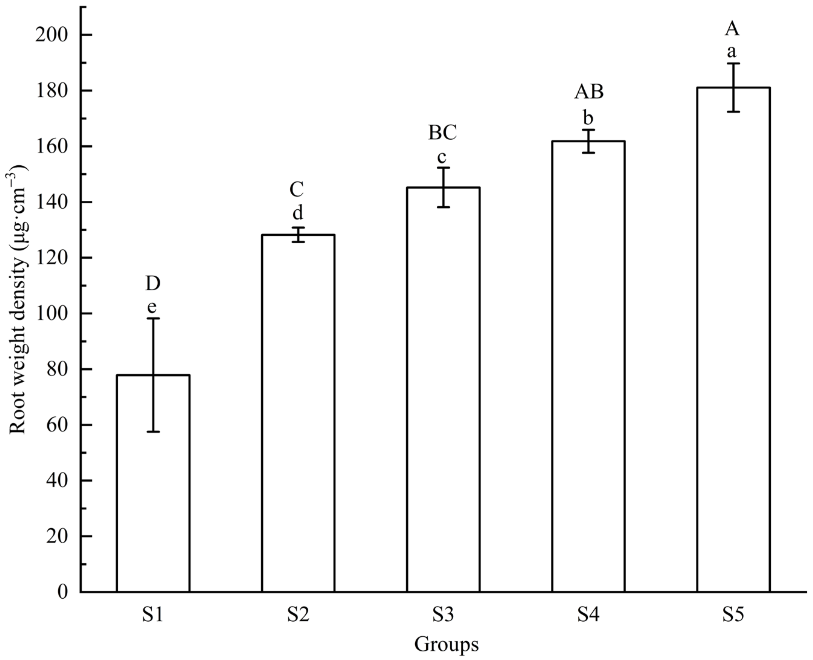
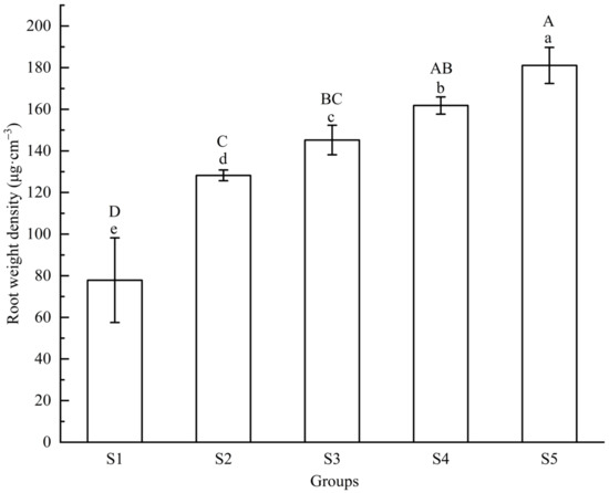
3.1. Root Vertical Distribution
3.2. The Drain Outflow
3.3. Soil Salt Content and Sodium Adsorption Ratio
3.3.1. Salt Content and Sodium Adsorption Ratio of Different Soil Layers
3.3.2. Average Salt Content and Sodium Adsorption Ratio in the Soil Profile
4. Discussion
4.1. Effect of Okra Root Weight Density on Root Vertical Distribution
4.2. Effect of Okra Root Weight Density on Drain Outflow
4.3. Effect of Okra Root Weight Density on Soil Desalination Rate and Reduction Rate of Sodium Adsorption Ratio
5. Conclusions
Author Contributions
Funding
Institutional Review Board Statement
Informed Consent Statement
Data Availability Statement
Acknowledgments
Conflicts of Interest
References
- Li, N.; Kang, Y.H.; Li, X.B.; Wan, S.Q. Response of tall fescue to the reclamation of severely saline coastal soil using treated effluent in Bohai Bay. Agric. Water Manag. 2019, 218, 203–210. [Google Scholar] [CrossRef]
- Tao, J.; Wu, L.; Liu, X.; Zhang, H.; Xu, Y.; Gu, W.; Li, Y. Effect of brackish ice on salt and nutrient contents of saline soil in flue-gas desulfurization gypsum amended, raised bed agroecosystem. Soil Sci. Soc. Am. J. 2014, 78, 1734–1740. [Google Scholar] [CrossRef]
- He, K.; Yang, Y.; Yang, Y.; Chen, S.; Hu, Q.; Liu, X.; Gao, F. HYDRUS Simulation of Sustainable Brackish Water Irrigation in a Winter Wheat-Summer Maize Rotation System in the North China Plain. Water 2017, 9, 536. [Google Scholar] [CrossRef] [Green Version]
- He, X.; Liu, H.; Ye, J.; Yang, G.; Li, M.; Gong, P.; Aimaiti, A. Comparative investigation on soil salinity leaching under subsurface drainage and ditch drainage in Xinjiang arid region. Int. J. Agric. Biol. Eng. 2016, 9, 109–118. [Google Scholar] [CrossRef]
- Lu, P.; Zhang, Z.; Feng, G.; Huang, M.; Shi, X. Experimental study on the potential use of bundled crop straws as subsurface drainage material in the newly reclaimed coastal land in eastern China. Water 2018, 10, 31. [Google Scholar] [CrossRef] [Green Version]
- Yu, S.; Liu, J.; Eneji, A.E.; Han, L.; Tan, L.; Liu, H. Dynamics of soil water and salinity under subsurface drainage of a coastal area with high groundwater table in spring and rainy season. Irrig. Drain. 2016, 65, 360–370. [Google Scholar] [CrossRef]
- Yu, S.; Liu, J.; Eneji, A.E.; Liu, H.; Han, L. Spatial variability of soil salinity under subsurface drainage. Commun. Soil Sci. Plant Anal. 2015, 46, 259–270. [Google Scholar] [CrossRef]
- Tedeschi, A. Irrigated Agriculture on Saline Soils: A Perspective. Agronomy 2020, 10, 6. [Google Scholar] [CrossRef]
- Zhang, J.S.; Jiang, X.L.; Xue, Y.F.; Li, Z.X.; Yu, B.T.; Xu, L.M.; Lu, X.C.; Miao, Q.; Liu, Z.T.; Cui, Z.L. Closing yield gaps through soil improvement for maize production in coastal saline soil. Agronomy 2019, 9, 13. [Google Scholar] [CrossRef] [Green Version]
- Zhang, J.; Yang, J.; Yao, R.; Yu, S.; Li, F.; Hou, X. The effects of farmyard manure and mulch on soil physical properties in a reclaimed coastal tidal flat salt-affected soil. Integr. Agric. 2014, 13, 1782–1790. [Google Scholar] [CrossRef] [Green Version]
- Yu, X.Y.; Dan, H.C.; Xin, P. Method for improving leaching efficiency of coastal subsurface drainage systems. J. Irrig. Drainage Eng-ASCE 2018, 144, 04018019. [Google Scholar] [CrossRef]
- Chen, H.; Yang, C.; Ren, A.; Guo, K.; Feng, X.; Li, J.; Liu, X.; Sun, H.; Wang, J. The Evapotranspiration of Tamarix and Its Response to Environmental Factors in Coastal Saline Land of China. Water 2019, 11, 2273. [Google Scholar] [CrossRef] [Green Version]
- Qadir, M.; Ghafoor, A.; Murtaza, G. Amelioration strategies for saline soils: A review. Land Degrad. Dev. 2000, 11, 501–521. [Google Scholar] [CrossRef]
- Akhter, J.; Murray, R.; Mahmood, K.; Malik, K.A.; Ahmed, S. Improvement of degraded physical properties of a saline-sodic soil by reclamation with kallar grass (Leptochloa fusca). Plant Soil 2004, 258, 207–216. [Google Scholar] [CrossRef]
- Robbins, C.W. Sodic calcareous soil reclamation as affected by different amendments and crops. Agron. J. 1986, 78, 916–920. [Google Scholar] [CrossRef] [Green Version]
- Robbins, C.W. Carbon-dioxide partial-pressure in lysimeter soils. Agron. J. 1986, 78, 151–158. [Google Scholar] [CrossRef] [Green Version]
- Qadir, M.; Qureshi, R.H.; Ahmad, N. Reclamation of a saline-sodic soil by gypsum and Leptochloa fusca. Geoderma 1996, 74, 207–217. [Google Scholar] [CrossRef]
- Choudhary, O.P.; Ghuman, B.S.; Bijay, S.; Thuy, N.; Buresh, R.J. Effects of long-term use of sodic water irrigation, amendments and crop residues on soil properties and crop yields in rice-wheat cropping system in a calcareous soil. Field Crops Res. 2011, 121, 363–372. [Google Scholar] [CrossRef]
- Ammari, T.G.; Tahboub, A.B.; Saoub, H.M.; Hattar, B.I.; Al-Zu’bi, Y.A. Salt removal efficiency as influenced by phyto-amelioration of salt-affected soils. J. Food Agric. Env. 2008, 6, 456–460. [Google Scholar]
- Dahiya, I.S.; Malik, R.S.; Singh, M. Field studies on leaching behaviour of a highly saline-sodic soil under two modes of water application in the presence of crops. J. Agric. Sci. 1981, 97, 383–389. [Google Scholar] [CrossRef]
- Cuevas, J.; Daliakopoulos, I.N.; del Moral, F.; Hueso, J.J.; Tsanis, I.K. A Review of Soil-Improving Cropping Systems for Soil Salinization. Agronomy 2019, 9, 22. [Google Scholar] [CrossRef] [Green Version]
- Elshaikh, N.A.; Liu, Z.P.; She, D.L.; Timm, L.C. Increasing the okra salt threshold value with biochar amendments. J. Plant Interact. 2018, 13, 51–63. [Google Scholar] [CrossRef] [Green Version]
- Panigrahi, P.; Sahu, N.N. Evapotranspiration and yield of okra as affected by partial root-zone furrow irrigation. Int. J. Plant Prod. 2013, 7, 33–54. [Google Scholar]
- Chen, R.; Huang, J.W.; Chen, Z.K.; Xu, Y.; Liu, J.; Ge, Y.H. Effect of root density of wheat and okra on hydraulic properties of an unsaturated compacted loam. Eur. J. Soil Sci. 2019, 70, 493–506. [Google Scholar] [CrossRef]
- Kamaluldeen, J.; Yunusa, I.A.M.; Zerihun, A.; Bruhl, J.J.; Kristiansen, P. Uptake and distribution of ions reveal contrasting tolerance mechanisms for soil and water salinity in okra (Abelmoschus esculentus) and tomato (Solanum esculentum). Agric. Water Manag. 2014, 146, 95–104. [Google Scholar] [CrossRef]
- Liang, G.T.; Xia, X.X. Okra high-efficiency cultivation techniques in saline-alkali soil. North. Hortic. 2015, 23, 69–70. [Google Scholar]
- Alharby, H.F.; Colmer, T.D.; Barrett-Lennard, E.G. Salinization of the soil solution decreases the further accumulation of salt in the root zone of the halophyte Atriplex nummularia Lindl. growing above shallow saline groundwater. Plant Cell Environ. 2018, 41, 99–110. [Google Scholar] [CrossRef]
- Zhang, Y.; Yang, J.; Huang, Y.; Yao, R.; Wang, M.K.; Lin, J.; Jiang, F. Use of freeze-thaw purified saline water to leach and reclaim gypsum-amended saline-alkali soils. Soil Sci. Soc. Am. J. 2019, 83, 1333–1342. [Google Scholar] [CrossRef]
- Qadir, M.; Sposito, G.; Smith, C.J.; Oster, J.D. Reassessing irrigation water quality guidelines for sodicity hazard. Agric. Water Manag. 2021, 255, 7. [Google Scholar] [CrossRef]
- Gale, M.R.; Grigal, D.F. Vertical root distribution of northern tree species in relation to successional status. Can. J. For. Res. 1987, 17, 829–834. [Google Scholar] [CrossRef]
- Naqve, M.; Wang, X.K.; Shahbaz, M.; Mahmood, A.; Bibi, S.; Fiaz, S. Alpha Tocopherol-Induced Modulations in the Morphophysiological Attributes of Okra Under Saline Conditions. Front. Plant Sci. 2021, 12, 800251. [Google Scholar] [CrossRef] [PubMed]
- Jiang, H.; Bai, Y.Y.; Du, H.Y.; Hu, Y.; Rao, Y.F.; Chen, C.; Cai, Y.L. The spatial and seasonal variation characteristics of fine roots in different plant configuration modes in new reclamation saline soil of humid climate in China. Ecol. Eng. 2016, 86, 231–238. [Google Scholar] [CrossRef]
- Zhang, L.Z.; Li, B.G.; Yan, G.T.; Van der Werf, W.; Spiertz, J.H.J.; Zhang, S.P. Genotype and planting density effects on rooting traits and yield in cotton (Gossypium hirsutum L.). J. Integr. Plant Biol. 2006, 48, 1287–1293. [Google Scholar] [CrossRef]
- Zhong, R.H.; Hu, J.M.; Bao, Y.H.; Wang, F.; He, X.B. Soil nutrients in relation to vertical roots distribution in the riparian zone of Three Gorges Reservoir, China. J. Mt. Sci. 2018, 15, 1498–1509. [Google Scholar] [CrossRef]
- Chen, Y.; Wu, Q.; Chen, X.; Chen, F.; Zhang, Y.; Li, Q.; Yuan, L.; Mi, G. Root growth and its response to increasing planting density in different maize hybrids. Plant Nutr. Fert. Sci. 2012, 18, 52–59. [Google Scholar]
- Guan, J.; Guo, X.; Liu, Y. Study on dynamic variation of root dry weight space distribution on different densities of maize. J. Maize Sci. 2007, 15, 105–108,118. [Google Scholar]
- Jotisankasa, A.; Sirirattanachat, T. Effects of grass roots on soil-water retention curve and permeability function. Can. Geotech. J. 2017, 54, 1612–1622. [Google Scholar] [CrossRef] [Green Version]
- Liu, M.; Wu, D.; Wu, S.; Liao, L. Characteristic of soil macropores under various types of forest coverage and their influence on saturated hydraulic conductivity in the Three Gorges Reservoir Area. Acta Ecol. Sin. 2016, 36, 3189–3196. [Google Scholar]
- Ren, X.; Sun, D.; Wang, Q. Effects of plastic film mulching and plant density on yield and evapotranspiration of rainfed spring maize. Chin. Soc. Agric. Mach. 2017, 48, 206–211. [Google Scholar]
- Dear, B.S.; Moore, G.A.; Hughes, S.J. Adaptation and potential contribution of temperate perennial legumes to the southern Australian wheatbelt: A review. Aust. J. Exp. Agric. 2003, 43, 1–18. [Google Scholar] [CrossRef]
- Latta, R.A.; Blacklow, L.J.; Cocks, P.S. Comparative soil water, pasture production, and crop yields in phase farming systems with lucerne and annual pasture in Western Australia. Aust. J. Agric. Res. 2001, 52, 295–303. [Google Scholar] [CrossRef]
- Guo, K.; Liu, X. Effect of initial soil water content and bulk density on the infiltration and desalination of melting saline ice water in coastal saline soil. Eur. J. Soil Sci. 2019, 70, 1249–1266. [Google Scholar] [CrossRef]
- Liu, A.Q.; Qu, Z.Y.; Nachshon, U. On the potential impact of root system size and density on salt distribution in the root zone. Agric. Water Manag. 2020, 234, 9. [Google Scholar] [CrossRef]
- Wang, J.; Yuan, G.D.; Lu, J.; Wu, J. Leaching of salt-affected soil amended by leonardite. Phys. Geogr. 2021, 42, 226–239. [Google Scholar] [CrossRef]
- Xu, Y.; Yu, S.; Shi, L. Effects of subsurface controlled drainage on reducing salinity and preventing basification in saline-alkali areas with underground high water level. J. Arid. Land Resour. Environ. 2018, 32, 164–169. [Google Scholar]










| Soil Texture in % (USDA) | Soil Texture | Bulk Density/ (g·cm−3) | Saturated Hydraulic Conductivity/ (cm·d−1) | Soil Salt Content/ (g·kg−1) | ||
|---|---|---|---|---|---|---|
| <0.002 mm | 0.002–0.05 mm | 0.05–2 mm | ||||
| 1.71 | 82.22 | 16.08 | Silt | 1.42 | 7.34 | 3.14 |
| Plant Density | Row Distance | Plant Spacing |
|---|---|---|
| 4 plants | 75.00 | 75.00 |
| 8 plants | 75.00 | 37.50 |
| 12 plants | 50.00 | 37.50 |
| 16 plants | 37.50 | 37.50 |
| 20 plants | 37.50 | 30.00 |
| Groups | β | R2 |
|---|---|---|
| S1 | 0.85 | 0.96 |
| S2 | 0.88 | 0.99 |
| S3 | 0.88 | 0.99 |
| S4 | 0.89 | 0.99 |
| S5 | 0.98 | 0.98 |
| Groups | The First Time | The Second Time | The Third Time | The Fourth Time |
|---|---|---|---|---|
| CK | 4.63a | 6.33a | 4.03a | 13.23a |
| S1 | 6.09a | 8.90a | 7.57a | 10.40a |
| S2 | 3.73a | 8.15a | 9.75a | 15.90a |
| S3 | 5.02a | 8.20a | 7.53a | 16.73a |
| S4 | 3.55a | 6.28a | 5.30a | 14.15a |
| S5 | 3.24a | 4.63a | 4.15a | 10.70a |
| Soil Depth (cm) | Desalination Rate | Reduction Rate of SAR | ||
|---|---|---|---|---|
| Regression Equation | R2 | Regression Equation | R2 | |
| 0–20 | Y = −0.0097X2 + 2.46X − 126.37 | 0.64 ns | Y = 0.0047X2 − 1.23X + 102.47 | 0.08 ns |
| 20–40 | Y = −0.0097X2 + 2.65X − 152.75 | 0.86 ns | Y = −0.0033X2 + 0.89X − 39.77 | 0.43 ns |
| 40–60 | Y = −0.0064X2 + 1.69X − 85.62 | 0.80 ns | Y = 0.0028X2 − 0.69X + 55.08 | 0.19 ns |
| 60–80 | Y = −0.0036X2 + 1.08X − 55.91 | 0.59 ns | Y = 0.001X2 − 0.30X + 40.78 | 0.16 ns |
| 80–100 | Y = −0.0036X2 + 1.28X − 83.04 | 0.72 ns | Y = 0.0006X2 − 0.06X + 24.35 | 0.07 ns |
| Groups | Salt Content (g·kg−1) | SAR (mmol·L)−1/2 | ||||
|---|---|---|---|---|---|---|
| Before Leaching | After Leaching | Desalination Rate (%) | Before Leaching | After Leaching | Reduction Rate (%) | |
| CK | 2.56 a | 2.24 a | 12.58 | 7.90 c | 6.66 a | 15.75 |
| S1 | 3.25 a | 3.18 a | 2.18 | 10.82 a | 8.50 a | 21.43 * |
| S2 | 4.72 a | 3.20 a | 32.27 | 10.26 ab | 7.92 a | 22.79 |
| S3 | 3.24 a | 2.38 a | 26.58 * | 8.46 abc | 7.27 a | 14.05 |
| S4 | 3.63 a | 2.80 a | 22.82 * | 10.67 ab | 7.66 a | 28.29 * |
| S5 | 2.33 a | 1.96 a | 15.71 | 8.43 bc | 6.53 a | 22.53 |
Publisher’s Note: MDPI stays neutral with regard to jurisdictional claims in published maps and institutional affiliations. |
© 2022 by the authors. Licensee MDPI, Basel, Switzerland. This article is an open access article distributed under the terms and conditions of the Creative Commons Attribution (CC BY) license (https://creativecommons.org/licenses/by/4.0/).
Share and Cite
Fang, D.; Guo, K.; Ameen, A.; Wang, S.; Xie, J.; Liu, J.; Han, L. A Root Density Tradeoff in an Okra-Assisted Subsurface Pipe Drainage System for Amelioration of Saline Soil. Agronomy 2022, 12, 866. https://doi.org/10.3390/agronomy12040866
Fang D, Guo K, Ameen A, Wang S, Xie J, Liu J, Han L. A Root Density Tradeoff in an Okra-Assisted Subsurface Pipe Drainage System for Amelioration of Saline Soil. Agronomy. 2022; 12(4):866. https://doi.org/10.3390/agronomy12040866
Chicago/Turabian StyleFang, Dong, Kai Guo, Asif Ameen, Shichao Wang, Jin Xie, Jintong Liu, and Lipu Han. 2022. "A Root Density Tradeoff in an Okra-Assisted Subsurface Pipe Drainage System for Amelioration of Saline Soil" Agronomy 12, no. 4: 866. https://doi.org/10.3390/agronomy12040866
APA StyleFang, D., Guo, K., Ameen, A., Wang, S., Xie, J., Liu, J., & Han, L. (2022). A Root Density Tradeoff in an Okra-Assisted Subsurface Pipe Drainage System for Amelioration of Saline Soil. Agronomy, 12(4), 866. https://doi.org/10.3390/agronomy12040866

