Miscanthus × giganteus Phytoremediation of Soil Contaminated with Trace Elements as Influenced by the Presence of Plant Growth-Promoting Bacteria
Abstract
:1. Introduction
2. Materials and Methods
2.1. Soil Collection
2.2. Design of Experiment
2.2.1. Selection of Bacterial Strains and Compatibility Testing
2.2.2. Treatment of M. × giganteus Rhizomes by Individual PGPB Isolates and Their Consortia
| Treatments | Description |
| A - | M. × giganteus uninoculated (control); |
| B - | M. × giganteus inoculated by Stenotrophomonas maltophilia KP-13; |
| C - | M. × giganteus inoculated by Bacillus altitudinis KP-14; |
| D - | M. × giganteus inoculated by Pseudomonas fluorescens KP-16; |
| E - | M. × giganteus inoculated by the mixture of KP-13 and KP-14 in a 1:1 ratio; |
| F - | M. × giganteus inoculated by the mixture of KP-14 and KP-16 in a 1:1 ratio; |
| G - | M. × giganteus inoculated by the mixture of KP-13 and KP-14 and KP-16 in a 1:1:1 ratio. |
2.3. Samples Collection at Harvest
2.4. Analysis of TEs Content in Soil and Biomass
2.5. Estimation of Phytoremediation Coefficients
2.6. Statistical Analysis
3. Results and Discussion
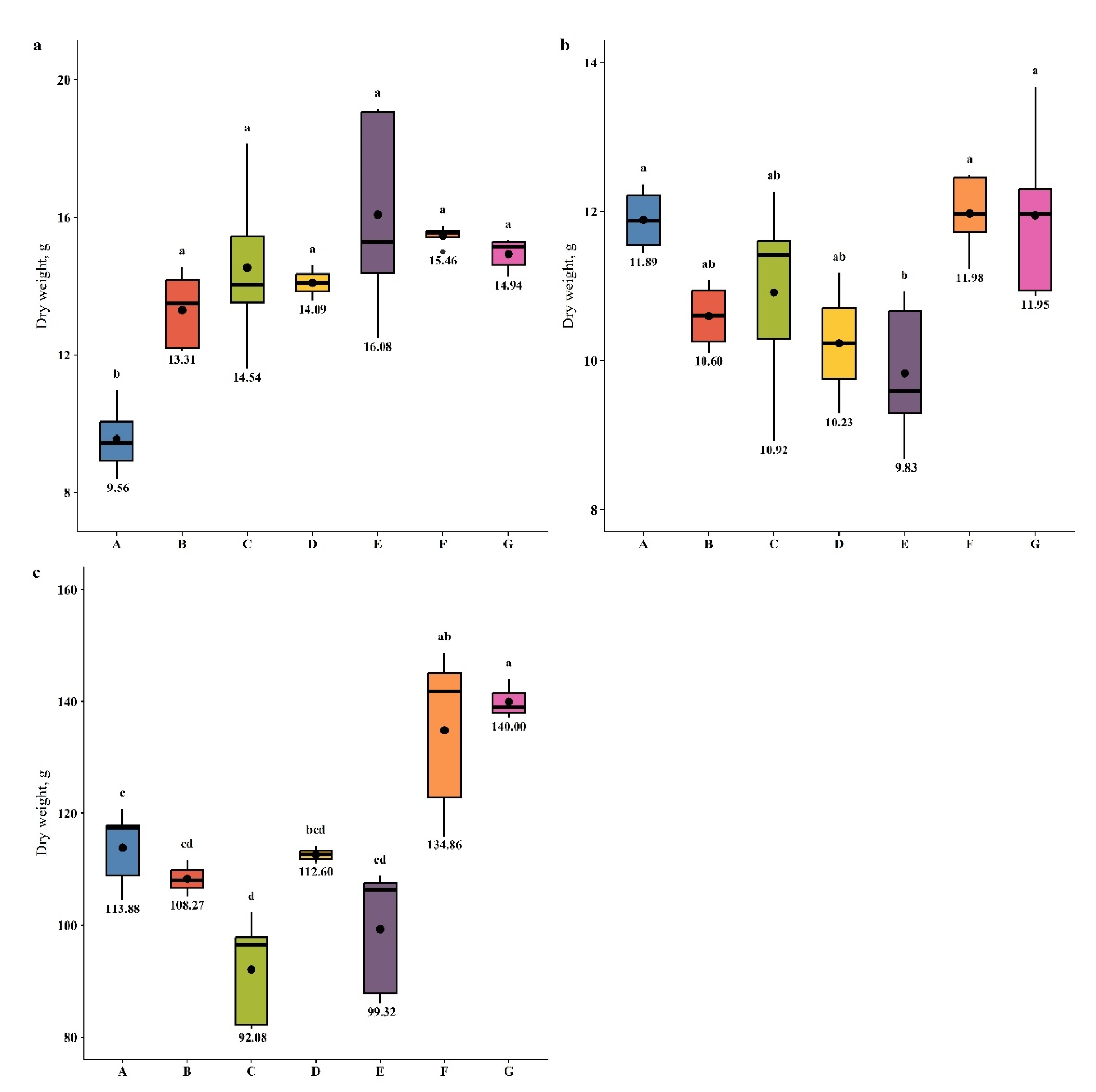
3.1. Plant Physiological Parameters
3.2. Phytoremediation Potential of M. × giganteus
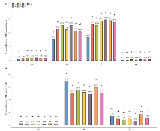
3.2.1. Influence of PGPBs on Phytoremediation Parameters of Individual TEs
3.2.2. Comparison of Phytoremediation Parameters
3.2.3. Accessing Multi-Accumulation of TEs
4. Conclusions
Supplementary Materials
Author Contributions
Funding
Institutional Review Board Statement
Informed Consent Statement
Data Availability Statement
Acknowledgments
Conflicts of Interest
References
- FAO and UNEP. Global Assessment of Soil Pollution: Report; FAO and UNEP: Rome, Italy, 2021; p. 846. [Google Scholar] [CrossRef]
- Janus, A.; Pelfrêne, A.; Heymans, S.; Deboffe, C.; Douay, F.; Waterlot, C. Elaboration, Characteristics and Advantages of Biochars for the Management of Contaminated Soils with a Specific Overview on Miscanthus Biochars. J. Environ. Manag. 2015, 162, 275–289. [Google Scholar] [CrossRef]
- Vamerali, T.; Bandiera, M.; Mosca, G. Field Crops for Phytoremediation of Metal-Contaminated Land. A Review. Environ. Chem. Lett. 2010, 8, 1–17. [Google Scholar] [CrossRef]
- EEA. European Environment Agency. Progress in Management of Contaminated Sites, CSI 015, DK-1050; Publications Office of the European Union: Copenhagen, Denmark, 2007. [Google Scholar]
- Suman, J.; Uhlik, O.; Viktorova, J.; Macek, T. Phytoextraction of Heavy Metals: A Promising Tool for Clean-Up of Polluted Environment? Front. Plant Sci. 2018, 9, 1476. [Google Scholar] [CrossRef] [Green Version]
- Liu, L.; Wu, L.-H.; Li, N.; Cui, L.-Q.; Li, Z.; Jiang, J.-P.; Jiang, Y.-G.; Qiu, X.-Y.; Luo, Y.-M. Effect of planting densities on yields and zinc and cadmium uptake by Sedum plumbizincicola. Huan Jing Ke Xue Huanjing Kexue 2009, 30, 3422–3426. [Google Scholar]
- Evangelou, M.W.H.; Papazoglou, E.G.; Robinson, B.H.; Schulin, R. Phytomanagement: Phytoremediation and the Production of Biomass for Economic Revenue on Contaminated Land. In Phytoremediation: Management of Environmental Contaminants, Volume 1; Ansari, A.A., Gill, S.S., Gill, R., Lanza, G.R., Newman, L., Eds.; Springer International Publishing: Berlin/Heidelberg, Germany, 2015; pp. 115–132. ISBN 978-3-319-10395-2. [Google Scholar]
- Pandey, V.C.; Bauddh, K. Phytomanagement of Polluted Sites: Market Opportunities in Sustainable Phytoremediation; Elsevier: Amsterdam, The Netherlands, 2018; ISBN 978-0-12-813913-4. [Google Scholar]
- Mench, M.; Lepp, N.; Bert, V.; Schwitzguébel, J.-P.; Gawronski, S.W.; Schröder, P.; Vangronsveld, J. Successes and Limitations of Phytotechnologies at Field Scale: Outcomes, Assessment and Outlook from COST Action 859. J. Soils Sediments 2010, 10, 1039–1070. [Google Scholar] [CrossRef]
- Nsanganwimana, F.; Pourrut, B.; Mench, M.; Douay, F. Suitability of Miscanthus Species for Managing Inorganic and Organic Contaminated Land and Restoring Ecosystem Services. A Review. J. Environ. Manag. 2014, 143, 123–134. [Google Scholar] [CrossRef]
- Rusinowski, S.; Krzyżak, J.; Sitko, K.; Kalaji, H.M.; Jensen, E.; Pogrzeba, M. Cultivation of C4 Perennial Energy Grasses on Heavy Metal Contaminated Arable Land: Impact on Soil, Biomass, and Photosynthetic Traits. Environ. Pollut. 2019, 250, 300–311. [Google Scholar] [CrossRef]
- Lewandowski, I.; Clifton-Brown, J.; Trindade, L.M.; van der Linden, G.C.; Schwarz, K.-U.; Müller-Sämann, K.; Anisimov, A.; Chen, C.-L.; Dolstra, O.; Donnison, I.S.; et al. Progress on Optimizing Miscanthus Biomass Production for the European Bioeconomy: Results of the EU FP7 Project OPTIMISC. Front. Plant Sci. 2016, 7, 1620. [Google Scholar] [CrossRef] [Green Version]
- Hauptvogl, M.; Kotrla, M.; Prčík, M.; Pauková, Ž.; Kováčik, M.; Lošák, T. Phytoremediation Potential of Fast-Growing Energy Plants: Challenges and Perspectives—A Review. Pol. J. Environ. Stud. 2019, 29, 505–516. [Google Scholar] [CrossRef] [Green Version]
- Erickson, L.E.; Pidlisnyuk, V. Phytotechnology with Biomass Production: Sustainable Management of Contaminated Sites, 1st ed.; Taylor & Francis Group: Boca Raton, FL, USA, 2021; p. 242. ISBN 978-0-367-52280-3. [Google Scholar] [CrossRef]
- Bilandžija, N.; Jurišić, V.; Voća, N.; Leto, J.; Matin, A.; Grubor, M.; Krička, T. Energy Valorization of Miscanthus × giganteus Biomass: A Case Study in Croatia. J. Process. Energy Agric. 2017, 21, 32–36. [Google Scholar] [CrossRef] [Green Version]
- Pidlisnyuk, V.; Herts, A.; Khomenchuk, V.; Mamirova, A.; Kononchuk, O.; Ust’ak, S. Dynamic of Morphological and Physiological Parameters and Variation of Soil Characteristics during Miscanthus × giganteus Cultivation in the Diesel-Contaminated Land. Agronomy 2021, 11, 798. [Google Scholar] [CrossRef]
- Nebeská, D.; Pidlisnyuk, V.; Stefanovska, T.; Trögl, J.; Shapoval, P.; Popelka, J.; Cerný, J.; Medkow, A.; Kvak, V.; Malinská, H. Impact of Plant Growth Regulators and Soil Properties on Miscanthus × giganteus Biomass Parameters and Uptake of Metals in Military Soils. Rev. Environ. Health 2019, 34, 283–291. [Google Scholar] [CrossRef]
- Liu, S.; Liu, H.; Chen, R.; Ma, Y.; Yang, B.; Chen, Z.; Liang, Y.; Fang, J.; Xiao, Y. Role of Two Plant Growth-Promoting Bacteria in Remediating Cadmium-Contaminated Soil Combined with Miscanthus floridulus (Lab.). Plants 2021, 10, 912. [Google Scholar] [CrossRef]
- Chen, Y.; Yang, W.; Chao, Y.; Wang, S.; Tang, Y.-T.; Qiu, R.-L. Metal-Tolerant Enterobacter sp. Strain EG16 Enhanced Phytoremediation Using Hibiscus cannabinus via Siderophore-Mediated Plant Growth Promotion under Metal Contamination. Plant Soil 2017, 413, 203–216. [Google Scholar] [CrossRef]
- Fiodor, A.; Singh, S.; Pranaw, K. The Contrivance of Plant Growth Promoting Microbes to Mitigate Climate Change Impact in Agriculture. Microorganisms 2021, 9, 1841. [Google Scholar] [CrossRef]
- Naseem, H.; Ahsan, M.; Shahid, M.A.; Khan, N. Exopolysaccharides Producing Rhizobacteria and Their Role in Plant Growth and Drought Tolerance. J. Basic Microbiol. 2018, 58, 1009–1022. [Google Scholar] [CrossRef]
- Grover, M.; Bodhankar, S.; Sharma, A.; Sharma, P.; Singh, J.; Nain, L. PGPR Mediated Alterations in Root Traits: Way Toward Sustainable Crop Production. Front. Sustain. Food Syst. 2021, 4, 287. [Google Scholar] [CrossRef]
- Chauhan, P.S.; Lata, C.; Tiwari, S.; Chauhan, A.S.; Mishra, S.K.; Agrawal, L.; Chakrabarty, D.; Nautiyal, C.S. Transcriptional Alterations Reveal Bacillus Amyloliquefaciens-Rice Cooperation under Salt Stress. Sci. Rep. 2019, 9, 11912. [Google Scholar] [CrossRef]
- Liu, J.; Fu, C.; Li, G.; Khan, M.N.; Wu, H. ROS Homeostasis and Plant Salt Tolerance: Plant Nanobiotechnology Updates. Sustainability 2021, 13, 3552. [Google Scholar] [CrossRef]
- Pranaw, K.; Pidlisnyuk, V.; Trögl, J.; Malinská, H. Bioprospecting of a Novel Plant Growth-Promoting Bacterium Bacillus altitudinis KP-14 for Enhancing Miscanthus × giganteus Growth in Metals Contaminated Soil. Biology 2020, 9, 305. [Google Scholar] [CrossRef]
- Zhao, X.; Liu, J.; Xia, X.; Chu, J.; Wei, Y.; Shi, S.; Chang, E.; Yin, W.; Jiang, Z. The Evaluation of Heavy Metal Accumulation and Application of a Comprehensive Bio-Concentration Index for Woody Species on Contaminated Sites in Hunan, China. Environ. Sci. Pollut. Res. 2014, 21, 5076–5085. [Google Scholar] [CrossRef]
- DSTU 4287:2004. Soil Quality. Sampling; DP “UkrNDNC”: Kyiv, Ukraine, 2005; p. 9. [Google Scholar]
- Pidlisnyuk, V.; Mamirova, A.; Pranaw, K.; Shapoval, P.Y.; Trögl, J.; Nurzhanova, A. Potential Role of Plant Growth-Promoting Bacteria in Miscanthus × giganteus Phytotechnology Applied to the Trace Elements Contaminated Soils. Int. Biodeterior. Biodegrad. 2020, 155, 105103. [Google Scholar] [CrossRef]
- Sonkar, M.; Kumar, V.; Dutt, D. Use of Paper Mill Sludge and Sewage Sludge Powder as Nitrogen and Phosphorus Sources with Bacterial Consortium for the Treatment of Paper Industry Wastewater. Biocatal. Agric. Biotechnol. 2020, 30, 101843. [Google Scholar] [CrossRef]
- DSTU ISO 11464:2007. Soil Quality. Pretreatment of Samples for Physicochemical Analyses; DP “UkrNDNC”: Kyiv, Ukraine, 2009; p. 12. [Google Scholar]
- Pidlisnyuk, V.V.; Shapoval, P.; Zgorelec, Z.; Stefanovska, T.; Zhukov, O. Multiyear Phytoremediation and Dynamic of Foliar Metal(Loid)s Concentration during Application of Miscanthus × giganteus Greef et Deu to Polluted Soil from Bakar, Croatia. Environ. Sci. Pollut. Res. 2020, 27, 31446–31457. [Google Scholar] [CrossRef]
- DSTU ISO 11465-2001. Soil Quality. Determination of Dry Matter and Moisture Content by Mass Gravimetric Method (ISO 11465:1993, IDT); A.N. Sokolovsky Institute of Soil Science and Agrochemistry Ukrainian Academy of Agrarian Sciences: Kyiv, Ukraine, 2003. [Google Scholar]
- MEF Ministry of the Environment Finland. Government Decree on the Assessment of Soil Contamination and Remediation Needs (214/2007, 1 March 2007); Ministry of the Environment: Helsinki, Finland, 2007. [Google Scholar]
- MECR Ministry of the Environment of the Czech Republic. Decree Laying down Detailed Rules for the Protection of Quality of Agricultural Land and Amending Decree Specifying Some Details of Agricultural Land Resources Protection; Ministry of the Environment of the Czech Republic (MECR): Prague, Czech Republic, 2016. [Google Scholar]
- Yanqun, Z.; Yuan, L.; Jianjun, C.; Haiyan, C.; Li, Q.; Schvartz, C. Hyperaccumulation of Pb, Zn and Cd in Herbaceous Grown on Lead–Zinc Mining Area in Yunnan, China. Environ. Int. 2005, 31, 755–762. [Google Scholar] [CrossRef]
- Greger, M. Metal Availability and Bioconcentration in Plants. In Heavy Metal Stress in Plants: From Molecules to Ecosystems; Prasad, M.N.V., Ed.; Springer: Berlin/Heidelberg, Germay, 2004; pp. 1–27. ISBN 978-3-642-07268-0. [Google Scholar]
- Chorom, M.; Parnian, A.; Jaafarzadeh, N. Nickel Removal by the Aquatic Plant (Ceratophyllum demersum L.). Int. J. Environ. Sci. Dev. 2012, 3, 372. [Google Scholar] [CrossRef]
- Sessitsch, A.; Mitter, B. 21st Century Agriculture: Integration of Plant Microbiomes for Improved Crop Production and Food Security. Microb. Biotechnol. 2015, 8, 32–33. [Google Scholar] [CrossRef]
- Cardinale, M.; Ratering, S.; Suarez, C.; Zapata Montoya, A.M.; Geissler-Plaum, R.; Schnell, S. Paradox of Plant Growth Promotion Potential of Rhizobacteria and Their Actual Promotion Effect on Growth of Barley (Hordeum vulgare L.) under Salt Stress. Microbiol. Res. 2015, 181, 22–32. [Google Scholar] [CrossRef]
- Basu, A.; Prasad, P.; Das, S.N.; Kalam, S.; Sayyed, R.Z.; Reddy, M.S.; El Enshasy, H. Plant Growth Promoting Rhizobacteria (PGPR) as Green Bioinoculants: Recent Developments, Constraints, and Prospects. Sustainability 2021, 13, 1140. [Google Scholar] [CrossRef]
- Mazid, M.; Khan, T.A. Future of Bio-Fertilizers in Indian Agriculture: An Overview. Int. J. Agric. Food Res. 2015, 3, 10–23. [Google Scholar] [CrossRef]
- Pidlisnyuk, V.; Stefanovska, T.; Lewis, E.E.; Erickson, L.E.; Davis, L.C. Miscanthus as a Productive Biofuel Crop for Phytoremediation. Crit. Rev. Plant Sci. 2014, 33, 1–19. [Google Scholar] [CrossRef]
- Alasmary, Z. Laboratory- to Field-Scale Investigations to Evaluate Phosphate Amendments and Miscanthus for Phytostabilization of Lead-Contaminated Military Sites. Ph.D. Thesis, Kansas State University, Manhattan, KS, USA, 2020. [Google Scholar]
- Šestak, I.; Bilandžija, N.; Perčin, A.; Fadljević, I.; Hrelja, I.; Zgorelec, Ž. Assessment of the Impact of Soil Contamination with Cadmium and Mercury on Leaf Nitrogen Content and Miscanthus Yield Applying Proximal Spectroscopy. Agronomy 2022, 12, 255. [Google Scholar] [CrossRef]
- Mamirova, A.; Pidlisnyuk, V.; Amirbekov, A.; Ševců, A.; Nurzhanova, A. Phytoremediation Potential of Miscanthus sinensis And. in Organochlorine Pesticides Contaminated Soil Amended by Tween 20 and Activated Carbon. Environ. Sci. Pollut. Res. 2021, 28, 16092–16106. [Google Scholar] [CrossRef]
- Nebeská, D.; Auer Malinská, H.; Erol, A.; Pidlisnyuk, V.; Kuráň, P.; Medžová, A.; Smaha, M.; Trögl, J. Stress Response of Miscanthus Plants and Soil Microbial Communities: A Case Study in Metals and Hydrocarbons Contaminated Soils. Appl. Sci. 2021, 11, 1866. [Google Scholar] [CrossRef]
- Guo, M.; Song, W.; Tian, J. Biochar-Facilitated Soil Remediation: Mechanisms and Efficacy Variations. Front. Environ. Sci. 2020, 8, 512512. [Google Scholar] [CrossRef]
- Alasmary, Z.; Hettiarachchi, G.M.; Roozeboom, K.L.; Davis, L.C.; Erickson, L.E.; Pidlisnyuk, V.; Stefanovska, T.; Trögl, J. Phytostabilization of a Contaminated Military Site Using Miscanthus and Soil Amendments. J. Environ. Qual. 2021, 50, 1220–1232. [Google Scholar] [CrossRef]
- Han, Y.; Zhang, L.; Gu, J.; Zhao, J.; Fu, J. Citric Acid and EDTA on the Growth, Photosynthetic Properties and Heavy Metal Accumulation of Iris halophila Pall. Cultivated in Pb Mine Tailings. Int. Biodeterior. Biodegrad. 2018, 128, 15–21. [Google Scholar] [CrossRef]
- Damodaran, D.; Vidya Shetty, K.; Raj Mohan, B. Effect of Chelaters on Bioaccumulation of Cd (II), Cu (II), Cr (VI), Pb (II) and Zn (II) in Galerina vittiformis from Soil. Int. Biodeterior. Biodegrad. 2013, 85, 182–188. [Google Scholar] [CrossRef]
- Katelevsky, V. Efficiency of Influence of Foliar Treatment by Plant Growth Regulators on the Parameters of Miscanthus Biomass. Agrology 2020, 3, 19–24. [Google Scholar] [CrossRef]
- Ponomarenko, S.P.; Terek, O.I.; Grytsaenko, Z.M.; Babayants, O.V.; Moiseeva, T.V.; Wenxiu, H. Bioregulation of growth and development of plants: Plant growth regulators in crop science. In Bioregulation of Microbial-Plant Systems; Ponomarenko, S.P., Lutynska, H.O., Eds.; Nichlava: Kiev, Ukraine, 2010; pp. 251–291. [Google Scholar]
- Khan, W.-D.; Ramzani, P.M.A.; Anjum, S.; Abbas, F.; Iqbal, M.; Yasar, A.; Ihsan, M.Z.; Anwar, M.N.; Baqar, M.; Tauqeer, H.M.; et al. Potential of Miscanthus Biochar to Improve Sandy Soil Health, in Situ Nickel Immobilization in Soil and Nutritional Quality of Spinach. Chemosphere 2017, 185, 1144–1156. [Google Scholar] [CrossRef]
- Malinská, H.; Pidlisnyuk, V.; Nebeská, D.; Erol, A.; Medžová, A.; Trögl, J. Physiological Response of Miscanthus × giganteus to Plant Growth Regulators in Nutritionally Poor Soil. Plants 2020, 9, 194. [Google Scholar] [CrossRef] [PubMed] [Green Version]
- Hassan, T.U.; Bano, A.; Naz, I. Alleviation of Heavy Metals Toxicity by the Application of Plant Growth Promoting Rhizobacteria and Effects on Wheat Grown in Saline Sodic Field. Int. J. Phytoremediation 2017, 19, 522–529. [Google Scholar] [CrossRef] [PubMed]
- Oves, M.; Khan, M.S.; Zaidi, A. Chromium Reducing and Plant Growth Promoting Novel Strain Pseudomonas aeruginosa OSG41 Enhance Chickpea Growth in Chromium Amended Soils. Eur. J. Soil Biol. 2013, 56, 72–83. [Google Scholar] [CrossRef]
- Parihar, M.; Rakshit, A.; Chitara, M.K.; Jatav, H.S.; Rajput, V.D.; Singh, A.K.; Rana, K.; Jatav, S.S.; Anjum, M.; Minkina, T. Role of Plant-Associated Microbes in Phytoremediation of Heavy Metal Polluted Soils. In Heavy Metal Toxicity in Plants: Physiological and Molecular Adaptations; Aftab, T., Hakeem, K.R., Eds.; CRC Press: Boca Raton, FL, USA, 2021; pp. 157–169. ISBN 978-0-367-72507-5. [Google Scholar]
- Ghimire, B.; Hulbert, S.H.; Steber, C.M.; Garland-Campbell, K.; Sanguinet, K.A. Characterization of Root Traits for Improvement of Spring Wheat in the Pacific Northwest. Agron. J. 2020, 112, 228–240. [Google Scholar] [CrossRef]
- Poorter, H.; Bühler, J.; van Dusschoten, D.; Climent, J.; Postma, J.A.; Poorter, H.; Bühler, J.; van Dusschoten, D.; Climent, J.; Postma, J.A. Pot Size Matters: A Meta-Analysis of the Effects of Rooting Volume on Plant Growth. Funct. Plant Biol. 2012, 39, 839–850. [Google Scholar] [CrossRef] [Green Version]
- Huang, X.-D.; El-Alawi, Y.; Penrose, D.M.; Glick, B.R.; Greenberg, B.M. Responses of Three Grass Species to Creosote during Phytoremediation. Environ. Pollut. 2004, 130, 453–463. [Google Scholar] [CrossRef]
- Zainab, N.; Khan, A.A.; Azeem, M.A.; Ali, B.; Wang, T.; Shi, F.; Alghanem, S.M.; Hussain Munis, M.F.; Hashem, M.; Chaudhary, H.J. PGPR-Mediated Plant Growth Attributes and Metal Extraction Ability of Sesbania sesban L. in Industrially Contaminated Soils. Agronomy 2021, 11, 1820. [Google Scholar] [CrossRef]
- Pidlisnyuk, V.; Stefanovska, T.; Barbash, V.; Zelenchuk, T. Characteristics of Pulp Obtained from Miscanthus × giganteus Biomass Produced in Lead-Contaminated Soil. Cellul. Chem. Technol. 2021, 55, 271–280. [Google Scholar] [CrossRef]





| PGP Characteristics | Stenotrophomonas maltophilia KP-13 | Bacillus altitudinis KP-14 | Pseudomonas fluorescens KP-16 |
|---|---|---|---|
| Qualitative estimation, cm | |||
| P solubilization | 1.9 | 3.7 | 1.8 |
| K solubilization | 2.0 | 0.0 | 0.8 |
| Zn solubilization | 0.0 | 0.0 | 0.9 |
| 1-Aminocyclopropane-1-Carboxylate Deaminase activity | + | + | + |
| Ammonia (NH4) | + | + | + |
| Siderophore | + | + | + |
| Hydrogen cyanide (HCN) | − | + | + |
| Antifungal activity | |||
| Fusarium culmorum (CCF-1745) | − | + | − |
| Botrytis cinerea (CCF-2361) | − | + | + |
| Quantitative estimation, µg mL−1 | |||
| P solubilization | 88.4 ± 0.8 | 130.0 ± 3.2 | 96.9 ± 0.4 |
| Indole acetic acid (IAA) | 13.8 ± 0.4 | 27.8 ± 0.8 | 18.1 ± 0.2 |
Publisher’s Note: MDPI stays neutral with regard to jurisdictional claims in published maps and institutional affiliations. |
© 2022 by the authors. Licensee MDPI, Basel, Switzerland. This article is an open access article distributed under the terms and conditions of the Creative Commons Attribution (CC BY) license (https://creativecommons.org/licenses/by/4.0/).
Share and Cite
Pidlisnyuk, V.; Mamirova, A.; Pranaw, K.; Stadnik, V.; Kuráň, P.; Trögl, J.; Shapoval, P. Miscanthus × giganteus Phytoremediation of Soil Contaminated with Trace Elements as Influenced by the Presence of Plant Growth-Promoting Bacteria. Agronomy 2022, 12, 771. https://doi.org/10.3390/agronomy12040771
Pidlisnyuk V, Mamirova A, Pranaw K, Stadnik V, Kuráň P, Trögl J, Shapoval P. Miscanthus × giganteus Phytoremediation of Soil Contaminated with Trace Elements as Influenced by the Presence of Plant Growth-Promoting Bacteria. Agronomy. 2022; 12(4):771. https://doi.org/10.3390/agronomy12040771
Chicago/Turabian StylePidlisnyuk, Valentina, Aigerim Mamirova, Kumar Pranaw, Vitalii Stadnik, Pavel Kuráň, Josef Trögl, and Pavlo Shapoval. 2022. "Miscanthus × giganteus Phytoremediation of Soil Contaminated with Trace Elements as Influenced by the Presence of Plant Growth-Promoting Bacteria" Agronomy 12, no. 4: 771. https://doi.org/10.3390/agronomy12040771
APA StylePidlisnyuk, V., Mamirova, A., Pranaw, K., Stadnik, V., Kuráň, P., Trögl, J., & Shapoval, P. (2022). Miscanthus × giganteus Phytoremediation of Soil Contaminated with Trace Elements as Influenced by the Presence of Plant Growth-Promoting Bacteria. Agronomy, 12(4), 771. https://doi.org/10.3390/agronomy12040771

