Non-Destructive Estimation of the Leaf Weight and Leaf Area in Common Bean
Abstract
1. Introduction
2. Materials and Methods
2.1. Plant Material and Experimental Design
2.2. Data Analysis
3. Results
3.1. Summary Measures of Morphometric Variables Evaluated in the Different Bean Lines
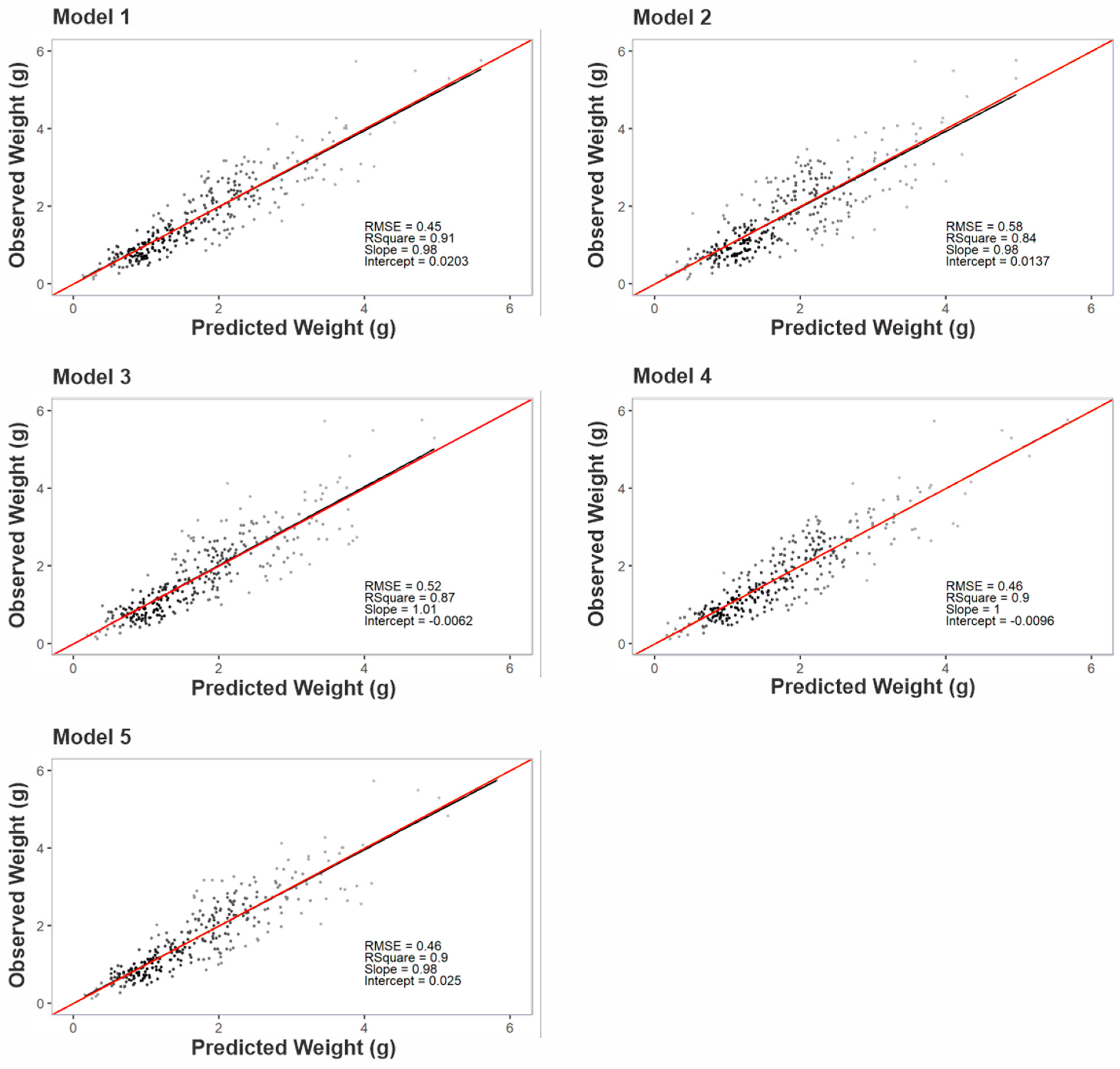
3.2. Regression Models
4. Discussion
5. Conclusions
Author Contributions
Funding
Institutional Review Board Statement
Informed Consent Statement
Data Availability Statement
Acknowledgments
Conflicts of Interest
References
- Zhang, C.; Zhang, J.; Zhang, H.; Zhao, J.; Wu, Q.; Zhao, Z.; Cai, T. Mechanisms for the relationships between water-use efficiency and carbon isotope composition and specific leaf area of maize (Zea mays L.) under water stress. Plant Growth Regul. 2015, 77, 233–243. Available online: https://link.springer.com/article/10.1007/s10725-015-0056-8 (accessed on 12 November 2021). [CrossRef]
- Sellin, A.; Õunapuu-Pikas, E.; Kaurilind, E.; Alber, M. Size-dependent variability of leaf and shoot hydraulic conductance in silver birch. Trees 2011, 26, 821–831. Available online: https://link.springer.com/content/pdf/10.1007/s00468-011-0656-5.pdf (accessed on 12 November 2021). [CrossRef]
- Bianco, S.; De Carvalho, L.B.; Bianco, M.S. Determination of alfalfa leaf area by non-destructive method. Commun. Plant Sci. 2011, 1, 17–20. Available online: https://www.researchgate.net/publication/224884475 (accessed on 12 November 2021). [CrossRef]
- Serdar, Ü.; Demirsoy, H. Non-destructive leaf area estimation in chestnut. Sci. Hortic. 2006, 108, 227–230. [Google Scholar] [CrossRef]
- Nahas, S.B.; Arce, O.E.A.; Ricci, M.; Romero, E.R. Leaf area estimation of individual leaf and whole plant of chickpea (Cicer arietinum L.) by means of regression methods. Rev. Agron. Noroeste Argent. 2019, 39, 99–106. Available online: https://www.researchgate.net/publication/338867825 (accessed on 12 November 2021).
- de Oliveira, R.L.L.; Moreira, A.R.; da Costa, A.V.A.; de Souza, L.C.; Lima, L.G.S.; da Silva, R.T.L. Modelos de determinação não destrutiva de área foliar de feijão caupi Vigna unguiculata (L.). Glob. Sci. Technol. 2015, 8, 17–27. [Google Scholar] [CrossRef]
- Erdoğan, C. A Leaf Area Estimation Model for Faba Bean (Vicia faba L.) Grown in the Mediterranean Type of Climate. SDU J. Fac. Agric. Ziraat Fakültesi Derg. 2012, 7, 58–63. [Google Scholar]
- Peksen, E. Non-destructive leaf area estimation model for faba bean (Vicia faba L.). Sci. Hortic. 2007, 113, 322–328. [Google Scholar] [CrossRef]
- Ma, L.; Gardner, F.P.; Selamat, A. Estimation of Leaf Area from Leaf and Total Mass Measurements in Peanut. Crop Sci. 1992, 32, 467–471. Available online: https://acsess.onlinelibrary.wiley.com/doi/full/10.2135/cropsci1992.0011183X003200020036x (accessed on 14 November 2021). [CrossRef]
- Kathirvelan, P.; Kalaiselvan, P. Groundnut (Arachis hypogaea L.) Leaf Area Estimation Using Allometric Model. Res. J. Agric. Biol. Sci. 2007, 3, 59–61. [Google Scholar]
- Pezzini, R.V.; Filho, A.C.; Alves, B.M.; Follmann, D.N.; Kleinpaul, J.A.; Wartha, C.A.; Silveira, D.L. Models for leaf area estimation in dwarf pigeon pea by leaf dimensions. Bragantia 2018, 77, 221–229. Available online: http://dx.doi.org/10.1590/1678-4499.2017106 (accessed on 19 November 2021). [CrossRef]
- Nehbandani, A.; Soltani, A.; Zeinali, E.; Raeisi, S.; Najafi, A. Allometric relationships between leaf area and vegetative characteristics in soybean. Int. J. Agric. Crop. Sci. 2013, 6, 1127–1136. [Google Scholar]
- Bakhshandeh, E.; Kamkar, B.; Tsialtas, J.T. Application of linear models for estimation of leaf area in soybean [Glycine max (L.) Merr]. Photosynth 2011, 49, 405. [Google Scholar] [CrossRef]
- Bakhshandeh, E.; Ghadiryan, R.; Kamkar, B. A rapid and non-destructive method to determine the leaflet, trifoliate and total leaf area of soybean. Aust. J. Plant Sci. Biotechnol. 2010, 4, 19–23. [Google Scholar]
- Lakitan, B. Statistical Design and Analysis for Intercropping Experiments. Annu. Rep. Bean. Improv. Coop. 1989, 32, 19–21. [Google Scholar]
- Muñoz, G.; Giraldo, G.; Fernández de Soto, J. Descriptores Varietales: Arroz, Fríjol, Maíz, Sorgo; Publication No. 177; Ciat: Cali, Colombia, 1993. [Google Scholar]
- Iamauti, M.T. Avaliação de Danos Causados por Uromyces appendiculatus No Feijoeiro. Ph.D. Thesis, Universidade de São Paulo, Piracicaba, Brazil, 1995. [Google Scholar]
- de Jesus, W.C.; Vale, F.X.R.D.; Coelho, R.R.; Costa, L.C. Comparison of two methods for estimating leaf area index on common bean. Agron. J. 2001, 93, 989–991. Available online: https://acsess.onlinelibrary.wiley.com/doi/full/10.2134/agronj2001.935989x (accessed on 1 November 2021). [CrossRef]
- da Silva Figueiredo, E.; dos Santos, M.E.; Garcia, A. Modelos de determinação não destrutivo da área foliar do feijoeiro comum (Phaseolus vulgaris L.). Nucleus 2012, 9, 79–84. Available online: https://dialnet.unirioja.es/servlet/articulo?codigo=3988133&info=resumen&idioma=POR (accessed on 19 November 2021). [CrossRef][Green Version]
- Toebe, M.; Filho, A.C.; Loose, L.H.; Heldwein, A.B.; Zanon, A. Área foliar de feijão-vagem (Phaseolus vulgaris L.) em função de dimensões foliares. Semin. Agrar. 2012, 33 (Suppl. S1), 2491–2500. Available online: https://www.researchgate.net/publication/278121722 (accessed on 19 November 2021). [CrossRef]
- Queiroga, J.L.; Romano, E.D.U.; Souza, J.R.P.; Miglioranza, É. Estimativa da área foliar do feijão-vagem (Phaseolus vulgaris L.) por meio da largura máxima do folíolo central. Hortic. Bras. 2003, 21, 64–68. [Google Scholar] [CrossRef][Green Version]
- Bhatt, M.; Chanda, S.V. Prediction of leaf area in Phaseolus vulgaris by non-destructive method. Bulg. J. Plant Physiol. 2003, 29, 96–100. [Google Scholar]
- Ramírez-Builes, V.H.; Porch, T.G.; Harmsen, E.W. Development of linear models for estimation of leaflet area in common bean (Phaseolus vulgahs L.). J. Agric. Univ. Puerto. Rico. 2008, 92, 171–182. Available online: https://pubag.nal.usda.gov/catalog/31098 (accessed on 22 November 2021).
- Hara, A.T.; Gonçalves, A.C.A.; Maller, A.; Hashiguti, H.T.; de Oliveira, J.M. Ajuste de modelo de predição de área foliar do feijoeiro em função de medidas lineares. Rev. Eng. Agric. 2019, 27, 179–186. Available online: https://www.researchgate.net/publication/332774019 (accessed on 4 November 2021). [CrossRef]
- Lakitan, B.; Widuri, L.I.; Meihana, M. Simplifying procedure for a non-destructive, inexpensive, yet accurate trifoliate leaf area estimation in snap bean (Phaseolus vulgaris). J. Appl. Hortic. 2017, 19, 15–21. Available online: http://horticultureresearch.net/jah/2017_19_1_15_21.PDF (accessed on 4 November 2021). [CrossRef]
- Ferreira, T.; Ferreira, T.; Rasb, W. ImageJ User Guide: IJ 1.46r. 2012. Available online: http://citeseerx.ist.psu.edu/viewdoc/summary?doi=10.1.1.731.215 (accessed on 19 November 2021).
- Suárez, J.C.; Melgarejo, L.M.; Durán Bautista, E.H.; Di Rienzo, J.A.; Casanoves, F. Non-destructive estimation of the leaf weight and leaf area in cacao (Theobroma cacao L.). Sci. Hortic. 2018, 229, 19–24. [Google Scholar] [CrossRef]
- Di Rienzo, J.; Casanoves, F.; Balzarini, M.; Gonzalez, L.; Tablada, M.; Robledo, C.W. InfoStat versión 2021. Grupo InfoStat, FCA, Universidad Nacional de Córdoba, Argentina. Available online: http://www.infostat.com.ar.2021 (accessed on 10 November 2021).
- R Development Core Team. R: The R Project for Statistical Computing. Foundation for Statistical Computing, V., Austria. 2021. Available online: https://www.r-project.org/ (accessed on 9 November 2021).
- Blanco, F.F.; Folegatti, M.V. Leaf area for greenhouse cucumber under salinity and grafting. Sci. Agric. 2005, 62, 305–309. [Google Scholar] [CrossRef]
- De Swart, E.A.M.; Groenwold, R.; Kanne, H.J.; Stam, P.; Marcelis, L.F.M.; Voorrips, R.E. Non-destructive estimation of leaf area for different plant ages and accessions of Capsicum annuum L. J. Hortic. Sci. Biotechnol. 2004, 79, 764–770. Available online: https://www.tandfonline.com/doi/abs/10.1080/14620316.2004.11511840 (accessed on 19 November 2021). [CrossRef]
- Rouphael, Y.; Rivera, C.M.; Cardarelli, M.; Fanasca, S.; Colla, G. Leaf area estimation from linear measurements in zucchini plants of different ages. J. Hortic. Sci. Biotechnol. 2006, 81, 238–241. Available online: https://www.tandfonline.com/doi/abs/10.1080/14620316.2006.11512056 (accessed on 19 November 2021). [CrossRef]
- Lizaso, J.I.; Batchelor, W.D.; Westgate, M.E. A leaf area model to simulate cultivar-specific expansion and senescence of maize leaves. Field Crops Res. 2003, 80, 1–17. [Google Scholar] [CrossRef]
- Silva NFDa Ferreira, F.A.; Fontes, P.C.R.; Cardoso, A.A. Modelos para estimas a área foliar de abóbora por meio de medidas lineares. Revista Ceres. 1998, 45, 287–291. Available online: http://www.ceres.ufv.br/ojs/index.php/ceres/article/download/2488/482 (accessed on 19 November 2021).
- Draper, N.R.; Smith, H. Applied Regression Analysis Applied Regression Analysis; John Wiley & Sons, Inc.: Hoboken, NJ, USA, 2014; pp. 1–716. Available online: https://books.google.es/books?hl=es&lr=&id=d6NsDwAAQBAJ&oi=fnd&pg=PR13&dq=DRAPER,+N.+R.%3B+SMITH,+H.+A.+Applied+regression+analysis.+3.+ed.+New+York:+Wiley,+1998.+736+p&ots=Byo8lbj2PR&sig=z3y9N4qbsQqWP5OLAFfLXjtQ1Gg (accessed on 19 November 2021).
- Balzarini, M.; Di Rienzo, J.; Tablada, M.; Gonzalez, L.; Bruno, C.; Córdoba, M.; Casanoves, F. Estadística y Biometrías. Ilustraciones del Uso de Infostat en Problemas de Agronomía; Segunda Edición; Editorial Brujas: Córdoba, Argentina, 2012; 380p. [Google Scholar]
- Marshall, J.K. Methods for leaf area maeasurement of large and small leaf samples. Photosynthetica 1968, 2, 41–47. [Google Scholar]
- Chanda, S.; Joshi, A.; Vaishnav, P.; Singh, Y. Leaf area determination in pearl millet using linear measurements-area and matter-area relationships. Photosynthetica 1985, 19, 424–427. [Google Scholar]
- Pompelli, M.F.; Antunes, W.C.; Ferreira, D.T.R.G.; Cavalcante, P.G.S.; Wanderley-Filho, H.C.L.; Endres, L. Allometric models for non-destructive leaf area estimation of Jatropha curcas. Biomass Bioenergy 2012, 36, 77–85. [Google Scholar] [CrossRef]
- Zaffaroni, E. Estimativa da área foliar em feijão macassar (Vigna unguiculata (L.) Walp) a partir de medidas dos folíolos. Agropecuária Técnica 1981, 2, 80–85. [Google Scholar]
- Bianco, S.; Pitelli, R.; Pavani, M.; Silva, R. Estimativa da área foliar de plantas daninhas. XIII-Amaranthus retroflexus L. Ecossistema 1995, 20, 5–9. [Google Scholar]




| Variable | Leaflet | Mean | Std. Dev | Minimum | Maximum |
|---|---|---|---|---|---|
| Area (cm2) | Right | 38.24 | 20.62 | 1.70 | 132.78 |
| Central | 39.65 | 20.09 | 2.33 | 132.76 | |
| Left | 39.50 | 20.58 | 2.48 | 146.99 | |
| Total | 117.40 | 59.34 | 8.94 | 412.53 | |
| Weight (g) | Right | 0.57 | 0.35 | 0.02 | 2.17 |
| Central | 0.60 | 0.35 | 0.03 | 2.13 | |
| Left | 0.58 | 0.34 | 0.03 | 2.28 | |
| Total | 1.75 | 1.01 | 0.09 | 6.58 | |
| Length (cm) | Right | 8.77 | 2.30 | 2.51 | 16.84 |
| Central | 9.13 | 2.31 | 2.53 | 17.88 | |
| Left | 8.91 | 2.34 | 2.40 | 17.14 | |
| Mean | 8.93 | 2.21 | 2.48 | 16.94 | |
| Width (cm) | Right | 6.27 | 1.89 | 1.02 | 12.86 |
| Central | 6.59 | 1.95 | 1.18 | 12.65 | |
| Left | 6.40 | 1.93 | 1.03 | 13.34 | |
| Mean | 6.42 | 1.84 | 1.20 | 12.95 |
| Leaf Area | Leaf Weight | ||||||
|---|---|---|---|---|---|---|---|
| Parameter | Coefficient | t | p-Value | Coefficient | t | p-Value | Model |
| β0 | 1.360385 | 0.39 | 0.6958 | 0.1151 | 0.71 | 0.4752 | 1. All the leaflets’ measures |
| β1 cL | −1.217674 | −0.78 | 0.4375 | −0.0025 | −0.03 | 0.9730 | |
| β2 cW | −1.851119 | −1.14 | 0.2540 | 0.0310 | 0.41 | 0.6800 | |
| β3 cLL | 0.192913 | 2.48 | 0.0134 | −0.0004 | −0.11 | 0.9114 | |
| β4 cWW | 0.719912 | 6.67 | 0.0000 | 0.0044 | 0.87 | 0.3828 | |
| β5 lL | 2.264534 | 1.33 | 0.1848 | −0.1135 | −1.44 | 0.1512 | |
| β6 lW | 1.858530 | 0.99 | 0.3209 | 0.1704 | 1.97 | 0.0496 | |
| β7 lLL | 0.057770 | 0.66 | 0.5113 | 0.0081 | 2.00 | 0.0460 | |
| β8 lWW | 0.351000 | 2.68 | 0.0075 | −0.0050 | −0.82 | 0.4113 | |
| β9 rL | 1.732512 | 0.97 | 0.3303 | −0.0600 | −0.73 | 0.4670 | |
| β10 rW | −3.661254 | −1.92 | 0.0553 | 0.0144 | 0.16 | 0.8706 | |
| β11 rLL | 0.095602 | 1.03 | 0.3039 | 0.0077 | 1.79 | 0.0736 | |
| β12 rWW | 0.845674 | 6.17 | 0.0000 | 0.0128 | 2.02 | 0.0439 | |
| R2 | 0.9781 | 0.8205 | |||||
| PMSE | 90.9593 | 0.2033 | |||||
| AIC | 8447.72 | 1492.26 | |||||
| BIC | 8518.09 | 1562.63 | |||||
| β0 | 13.614836 | 2.16 | 0.0313 | 0.2187 | 1.20 | 0.2317 | 2. Only central leaflet |
| β1 cL | −6.117789 | −2.63 | 0.0087 | −0.1971 | −2.93 | 0.0035 | |
| β2 cW | 6.701626 | 2.59 | 0.0097 | 0.2465 | 3.29 | 0.0010 | |
| β3 cLL | 0.866885 | 7.51 | 0.0000 | 0.0175 | 5.23 | 0.0000 | |
| β4 cWW | 0.837329 | 4.71 | 0.0000 | 0.0036 | 0.70 | 0.4834 | |
| R2 | 0.9164 | 0.6988 | |||||
| PMSE | 345.6574 | 0.3412 | |||||
| AIC | 9930.04 | 1944.81 | |||||
| BIC | 9960.20 | 1974.97 | |||||
| β0 | −3.350078 | −0.52 | 0.6007 | 0.0972 | 0.57 | 0.5669 | 3. Only left leaflet |
| β1 lL | 2.210764 | 0.82 | 0.4139 | −0.1692 | −2.36 | 0.0185 | |
| β2 lW | 2.094504 | 0.67 | 0.5002 | 0.2575 | 3.12 | 0.0018 | |
| β3 lLL | 0.319671 | 2.28 | 0.0230 | 0.0149 | 4.01 | 0.0001 | |
| β4 lWW | 1.364022 | 6.09 | 0.0000 | 0.0056 | 0.95 | 0.3434 | |
| R2 | 0.9153 | 0.7545 | |||||
| PMSE | 350.0354 | 0.2784 | |||||
| AIC | 10,045.55 | 1858.97 | |||||
| BIC | 10,075.51 | 1889.13 | |||||
| β0 | −8.177508 | −1.42 | 0.1562 | −0.0085 | −0.05 | 0.9570 | 4. Only right leaflet |
| β1 rL | 5.809652 | 2.39 | 0.0170 | −0.0901 | −1.36 | 0.1734 | |
| β2 rW | −1.468532 | −0.54 | 0.5879 | 0.1679 | 2.28 | 0.0229 | |
| β3 rLL | 0.152891 | 1.19 | 0.2348 | 0.0114 | 3.25 | 0.0012 | |
| β4 rWW | 1.676578 | 8.44 | 0.0000 | 0.0133 | 2.46 | 0.0140 | |
| R2 | 0.9108 | 0.8092 | |||||
| PMSE | 368.1351 | 0.2160 | |||||
| AIC | 9755.55 | 1616.08 | |||||
| BIC | 9785.71 | 1646.24 | |||||
| β0 | 7.928129 | −7.16 | 0.0000 | −0.0813 | −4.67 | 0.0000 | 5. All the leaflets width |
| β1 cW | 1.895257 | 3.54 | 0.0004 | 0.0458 | 2.47 | 0.0136 | |
| β2 rW | −3.845477 | 0.57 | 0.5674 | −0.0339 | 0.54 | 0.5915 | |
| β3 lW | 2.634387 | 2.14 | 0.0326 | 0.0507 | 0.71 | 0.4752 | |
| β4 cWW | 0.543651 | 10.16 | 0.0000 | 0.0022 | −0.10 | 0.9212 | |
| β5 rWW | 1.212421 | 11.62 | 0.0000 | 0.0230 | 6.21 | 0.0000 | |
| β6 lWW | 0.608981 | 9.14 | 0.0000 | 0.0076 | 2.92 | 0.0035 | |
| R2 | 0.9571 | 0.8109 | |||||
| PMSE | 177.72 | 0.2142 | |||||
| AIC | 9001.98 | 1556.72 | |||||
| BIC | 9042.19 | 1596.93 | |||||
Publisher’s Note: MDPI stays neutral with regard to jurisdictional claims in published maps and institutional affiliations. |
© 2022 by the authors. Licensee MDPI, Basel, Switzerland. This article is an open access article distributed under the terms and conditions of the Creative Commons Attribution (CC BY) license (https://creativecommons.org/licenses/by/4.0/).
Share and Cite
Suárez, J.C.; Casanoves, F.; Di Rienzo, J. Non-Destructive Estimation of the Leaf Weight and Leaf Area in Common Bean. Agronomy 2022, 12, 711. https://doi.org/10.3390/agronomy12030711
Suárez JC, Casanoves F, Di Rienzo J. Non-Destructive Estimation of the Leaf Weight and Leaf Area in Common Bean. Agronomy. 2022; 12(3):711. https://doi.org/10.3390/agronomy12030711
Chicago/Turabian StyleSuárez, Juan Carlos, Fernando Casanoves, and Julio Di Rienzo. 2022. "Non-Destructive Estimation of the Leaf Weight and Leaf Area in Common Bean" Agronomy 12, no. 3: 711. https://doi.org/10.3390/agronomy12030711
APA StyleSuárez, J. C., Casanoves, F., & Di Rienzo, J. (2022). Non-Destructive Estimation of the Leaf Weight and Leaf Area in Common Bean. Agronomy, 12(3), 711. https://doi.org/10.3390/agronomy12030711

