Overexpression of Rice Monogalactosyldiacylglycerol Synthase OsMGD Leads to Enhanced Salt Tolerance in Rice
Abstract
1. Introduction
2. Materials and Methods
2.1. Plant Materials and Growth Conditions
2.2. Biomass and Ion Content Measurement
2.3. Chlorophyll Content Estimation
2.4. Photosynthesis Measurement
2.5. Chlorophyll Fluorescence Analysis
2.6. Determination of Electrolyte Leakage and Malondialdehyde
2.7. Lipid Analysis
2.8. Statistical Analyses
3. Results
3.1. Effects of Salt Stress on the Growth of OsMGD Transgenic Rice Seedlings
3.2. Effects of Salt Stress on Ion Content in OsMGD Transgenic Rice Seedlings
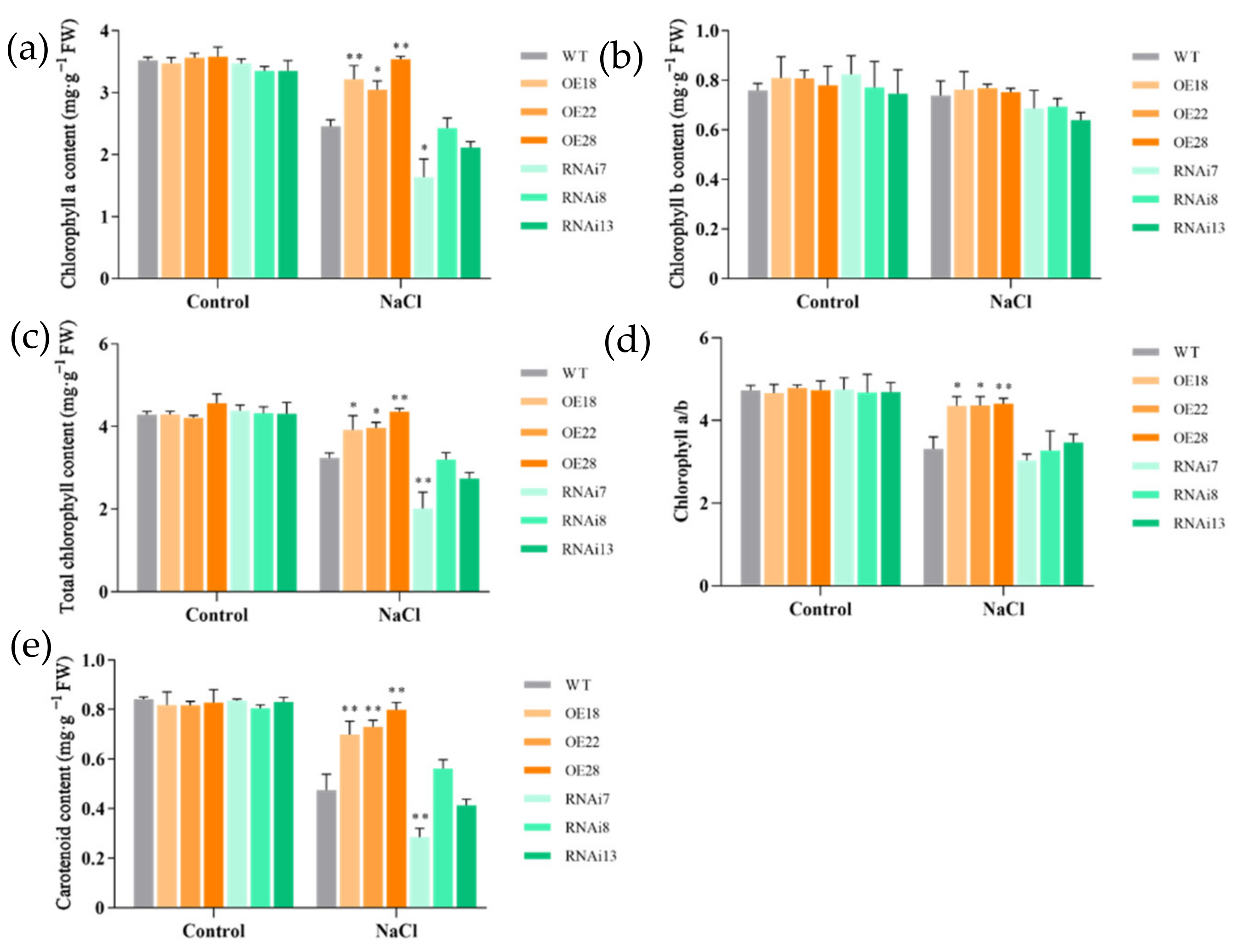
3.3. Effects of Salt Stress on Photosynthetic Pigment Content in OsMGD Transgenic Rice Seedlings
3.4. Effects of Salt Stress on Photosynthetic Characteristics of OsMGD Transgenic Rice Seedlings
3.5. Effects of Salt Stress on Chlorophyll Fluorescence of OsMGD Transgenic Rice Seedlings
3.6. Effects of Salt Stress on EL and MDA of OsMGD Transgenic Rice Seedlings
3.7. Effects of Salt Stress on Lipid and Fatty Acid Contents in Leaves of OsMGD Transgenic Rice Seedlings
4. Discussion
5. Conclusions
Author Contributions
Funding
Institutional Review Board Statement
Informed Consent Statement
Data Availability Statement
Conflicts of Interest
References
- Parihar, P.; Singh, S.; Singh, R.; Singh, V.P.; Prasad, S.M. Effect of salinity stress on plants and its tolerance strategies: A review. Environ. Sci. Pollut. Res. Int. 2015, 22, 4056–4075. [Google Scholar] [CrossRef]
- Munns, R.; Tester, M. Mechanisms of Salinity Tolerance. Annu. Rev. Plant Biol. 2008, 59, 651–681. [Google Scholar] [CrossRef] [PubMed]
- Arif, Y.; Singh, P.; Siddiqui, H.; Bajguz, A.; Hayat, S. Salinity induced physiological and biochemical changes in plants: An omic approach towards salt stress tolerance. Plant Physiol. Biochem. 2020, 156, 64–77. [Google Scholar] [CrossRef] [PubMed]
- van Zelm, E.; Zhang, Y.X.; Testerink, C. Salt Tolerance Mechanisms of Plants. Annu. Rev. Plant Biol. 2020, 71, 403–433. [Google Scholar] [CrossRef] [PubMed]
- Golldack, D.; Li, C.; Mohan, H.; Probst, N. Tolerance to drought and salt stress in plants: Unraveling the signaling networks. Front. Plant Sci. 2014, 5, 151. [Google Scholar] [CrossRef]
- Morton, M.J.L.; Awlia, M.; Al-Tamimi, N.; Saade, S.; Pailles, Y.; Negrao, S.; Tester, M. Salt stress under the scalpel—Dissecting the genetics of salt tolerance. Plant J. 2019, 97, 148–163. [Google Scholar] [CrossRef]
- Rocha, J.; Nitenberg, M.; Girard-Egrot, A.; Jouhet, J.; Marechal, E.; Block, M.A.; Breton, C. Do Galactolipid Synthases Play a Key Role in the Biogenesis of Chloroplast Membranes of Higher Plants? Front. Plant Sci. 2018, 9, 126. [Google Scholar] [CrossRef]
- Hoelzl, G.; Doermann, P. Chloroplast Lipids and Their Biosynthesis. Annu. Rev. Plant Biol. 2019, 70, 51–81. [Google Scholar] [CrossRef]
- Awai, K.; Kakimoto, T.; Awai, C.; Kaneko, T.; Nakamura, Y.; Takamiya, K.; Wada, H.; Ohta, H. Comparative genomic analysis revealed a gene for monoglucosyldiacylglycerol synthase, an enzyme for photosynthetic membrane lipid synthesis in cyanobacteria. Plant Physiol. 2006, 141, 1120–1127. [Google Scholar] [CrossRef][Green Version]
- Kobayashi, K. Role of membrane glycerolipids in photosynthesis, thylakoid biogenesis and chloroplast development. J. Plant Res. 2016, 129, 565–580. [Google Scholar] [CrossRef]
- Kobayashi, K.; Kondo, M.; Fukuda, H.; Nishimura, M.; Ohta, H. Galactolipid synthesis in chloroplast inner envelope is essential for proper thylakoid biogenesis, photosynthesis, and embryogenesis. Proc. Natl. Acad. Sci. USA 2007, 104, 17216–17221. [Google Scholar] [CrossRef] [PubMed]
- Fujii, S.; Kobayashi, K.; Nakamura, Y.; Wada, H. Inducible knockdown of MONOGALACTOSYLDIACYLGLYCEROL SYNTHASE1 reveals roles of galactolipids in organelle differentiation in Arabidopsis cotyledons. Plant Physiol. 2014, 166, 1436–1449. [Google Scholar] [CrossRef] [PubMed]
- Basnet, R.; Zhang, J.; Hussain, N.; Shu, Q. Characterization and Mutational Analysis of a Monogalactosyldiacylglycerol Synthase Gene OsMGD2 in Rice. Front. Plant Sci. 2019, 10, 992. [Google Scholar] [CrossRef]
- Wang, S.W.; Uddin, M.I.; Tanaka, K.; Yin, L.N.; Shi, Z.H.; Qi, Y.H.; Mano, J.; Matsui, K.; Shimomura, N.; Sakaki, T.; et al. Maintenance of Chloroplast Structure and Function by Overexpression of the Rice MONOGALACTOSYLDIACYLGLYCEROL SYNTHASE Gene Leads to Enhanced Salt Tolerance in Tobacco. Plant Physiol. 2014, 165, 1144–1155. [Google Scholar] [CrossRef] [PubMed]
- Zhang, M.J.; Deng, X.P.; Yin, L.N.; Qi, L.Y.; Wang, X.Y.; Wang, S.W.; Li, H.B. Regulation of Galactolipid Biosynthesis by Overexpression of the Rice MGD Gene Contributes to Enhanced Aluminum Tolerance in Tobacco. Front. Plant Sci. 2016, 7, 337. [Google Scholar] [CrossRef] [PubMed]
- Elkahoui, S.; Smaoui, A.; Zarrouk, M.; Ghrir, R.; Limam, H. Salt-induced lipid changes in Catharanthus roseus cultured cell suspensions. Phytochemistry 2004, 65, 1911–1917. [Google Scholar] [CrossRef]
- Sui, N.; Li, M.; Li, K.; Song, J.; Wang, B.S. Increase in unsaturated fatty acids in membrane lipids of Suaeda salsa L. enhances protection of photosystem II under high salinity. Photosynthetica 2010, 48, 623–629. [Google Scholar] [CrossRef]
- Omoto, E.; Iwasaki, Y.; Miyake, H.; Taniguchi, M. Salinity induces membrane structure and lipid changes in maize mesophyll and bundle sheath chloroplasts. Physiol. Plant 2016, 157, 13–23. [Google Scholar] [CrossRef]
- Bejaoui, F.; Salas, J.J.; Nouairi, I.; Smaoui, A.; Abdelly, C.; Martinez-Force, E. Changes in chloroplast lipid contents and chloroplast ultrastructure in Sulla carnosa and Sulla coronaria leaves under salt stress. J. Plant Physiol. 2016, 198, 32–38. [Google Scholar] [CrossRef]
- Liu, S.S.; Wang, W.Q.; Li, M.; Wan, S.B.; Sui, N. Antioxidants and unsaturated fatty acids are involved in salt tolerance in peanut. Acta Physiol. Plant. 2017, 39, 207. [Google Scholar] [CrossRef]
- Liu, X.X.; Wang, X.Y.; Yin, L.N.; Deng, X.P.; Wang, S.W. Exogenous application of gibberellic acid participates in up-regulation of lipid biosynthesis under salt stress in rice. Theor. Exp. Plant Physiol. 2018, 30, 335–345. [Google Scholar] [CrossRef]
- Muthayya, S.; Sugimoto, J.D.; Montgomery, S.; Maberly, G.F. An overview of global rice production, supply, trade, and consumption. Tech. Consid. Rice Fortif. Public Health 2014, 1324, 7–14. [Google Scholar] [CrossRef] [PubMed]
- Gamborg, O.L.; Murashige, T.; Thorpe, T.A.; Vasil, I.K. Plant tissue culture media. In Vitro 1976, 12, 473–478. [Google Scholar] [CrossRef]
- Yoshida, S.; Fomo, D.A.; Cock, J.H.; Gomez, K.A. Laboratory Manual for Physiological Studies of Rice, 3rd ed.; International Rice Research Institute: Manila, Philippines, 1976. [Google Scholar]
- Wolf, B. A comprehensive system of leaf analyses and its use for diagnosing crop nutrient status. Commun. Soil Sci. Plant Anal. 1982, 13, 1035–1059. [Google Scholar] [CrossRef]
- Lichtenthaler, H.K. Chlorophylls and carotenoids.Pigments of photosynthetic membranes. Methods Enzym. 1987, 148, 350–383. [Google Scholar]
- Lutts, S.; Kinet, J.M.; Bouharmont, J. Changes in plant response to NaCl during development of rice (Oryza sativa L.) varieties differing in salinity resistance. J. Exp. Bot. 1995, 46, 1843–1852. [Google Scholar] [CrossRef]
- Zhao, F.Y.; Guo, S.L.; Zhang, H.; Zhao, Y.X. Expression of yeast SOD2 in transgenic rice results in increased salt tolerance. Plant Sci. 2006, 170, 216–224. [Google Scholar] [CrossRef]
- Bligh, E.G.; Dyer, W.J. A rapid method of total lipid extraction and purification. Can. J. Biochem. Physiol. 1959, 37, 8. [Google Scholar] [CrossRef]
- Wewer, V.; Dörmann, P.; Hölzl, G. Analysis and quantification of plant membrane lipids by thin-layer chromatography and gas chromatography. Methods Mol. Biol. 2013, 1009, 69–78. [Google Scholar]
- Wang, Z.; Benning, C. Arabidopsis thaliana Polar Glycerolipid Profiling by Thin Layer Chromatography (TLC) Coupled with Gas-Liquid Chromatography (GLC). JoVE-J. Vis. Exp. 2011, 49, e2518. [Google Scholar] [CrossRef]
- Weng, X.Y.; Xu, H.X.; Jiang, D.A. Characteristics of gas exchange, chlorophyll fluorescence and expression of key enzymes in photosynthesis during leaf senescence in rice plants. J. Integr. Plant Biol. 2005, 47, 560–566. [Google Scholar] [CrossRef]
- Rosso, D.; Bode, R.; Li, W.Z.; Krol, M.; Saccon, D.; Wang, S.; Schillaci, L.A.; Rodermel, S.R.; Maxwell, D.P.; Huner, N.P.A. Photosynthetic Redox Imbalance Governs Leaf Sectoring in the Arabidopsis thaliana Variegation Mutants immutans, spotty, var1, and var2. Plant Cell 2009, 21, 3473–3492. [Google Scholar] [CrossRef] [PubMed]
- Herschbach, C.; Rizzini, L.; Mult, S.; Hartmann, T.; Busch, F.; Peuke, A.D.; Kopriva, S.; Ensminger, I. Over-expression of bacterial gamma-glutamylcysteine synthetase (GSH1) in plastids affects photosynthesis, growth and sulphur metabolism in poplar (Populus tremula × Populus alba) dependent on the resulting gamma-glutamylcysteine and glutathione levels. Plant Cell Environ. 2010, 33, 1138–1151. [Google Scholar] [PubMed]
- He, M.; Ding, N.Z. Plant Unsaturated Fatty Acids: Multiple Roles in Stress Response. Front. Plant Sci. 2020, 11, 562785. [Google Scholar] [CrossRef]
- Ganie, S.A.; Molla, K.A.; Henry, R.J.; Bhat, K.V.; Mondal, T.K. Advances in understanding salt tolerance in rice. Appl. Genet. 2019, 132, 851–870. [Google Scholar] [CrossRef] [PubMed]
- Zheng, C.K.; Zhou, J.J.; Zhang, F.; Yin, J.J.; Zhou, G.H.; Li, Y.P.; Chen, F.; Xie, X.Z. OsABAR1, a novel GRAM domain-containing protein, confers drought and salt tolerance via an ABA-dependent pathway in rice. Plant Physiol. Biochem. 2020, 152, 138–146. [Google Scholar] [CrossRef]
- Gupta, B.; Huang, B. Mechanism of salinity tolerance in plants: Physiological, biochemical, and molecular characterization. Int. J. Genom. 2014, 2014, 701596. [Google Scholar] [CrossRef]
- El Mahi, H.; Pérez-Hormaeche, J.; De Luca, A.; Villalta, I.; Espartero, J.; Gámez-Arjona, F.; Fernández, J.L.; Bundó, M.; Mendoza, I.; Mieulet, D.; et al. A Critical Role of Sodium Flux via the Plasma Membrane Na+/H+ Exchanger SOS1 in the Salt Tolerance of Rice. Plant Physiol. 2019, 180, 1046–1065. [Google Scholar] [CrossRef]
- Gao, Y.L.; Li, M.N.; Zhang, X.X.; Yang, Q.C.; Huang, B.R. Up-regulation of lipid metabolism and glycine betaine synthesis are associated with choline-induced salt tolerance in halophytic seashore paspalum. Plant Cell Environ. 2020, 43, 159–173. [Google Scholar] [CrossRef]
- Shah, T.; Latif, S.; Saeed, F.; Ali, I.; Ullah, S.; Alsahli, A.A.; Jan, S.; Ahmad, P. Seed priming with titanium dioxide nanoparticles enhances seed vigor, leaf water status, and antioxidant enzyme activities in maize (Zea mays L.) under salinity stress. J. King Saud Univ. Sci. 2021, 33, 101207. [Google Scholar] [CrossRef]
- Campo, S.; Baldrich, P.; Messeguer, J.; Lalanne, E.; Coca, M.; San Segundo, B. Overexpression of a Calcium-Dependent Protein Kinase Confers Salt and Drought Tolerance in Rice by Preventing Membrane Lipid Peroxidation. Plant Physiol. 2014, 165, 688–704. [Google Scholar] [CrossRef] [PubMed]
- Ahanger, M.A.; Mir, R.A.; Alyemeni, M.N.; Ahmad, P. Combined effects of brassinosteroid and kinetin mitigates salinity stress in tomato through the modulation of antioxidant and osmolyte metabolism. Plant Physiol. Biochem. 2020, 147, 31–42. [Google Scholar] [CrossRef] [PubMed]
- Yang, Z.; Li, J.L.; Liu, L.N.; Xie, Q.; Sui, N. Photosynthetic Regulation Under Salt Stress and Salt-Tolerance Mechanism of Sweet Sorghum. Front. Plant Sci. 2020, 10, 1722. [Google Scholar] [CrossRef] [PubMed]
- Rasouli, F.; Kiani-Pouya, A.; Tahir, A.; Shabala, L.; Chen, Z.H.; Shabala, S. A comparative analysis of stomatal traits and photosynthetic responses in closely related halophytic and glycophytic species under saline conditions. Environ. Exp. Bot. 2021, 181, 104300. [Google Scholar] [CrossRef]
- Liu, Z.F.; Yan, H.C.; Wang, K.B.; Kuang, T.Y.; Zhang, J.P.; Gui, L.L.; An, X.M.; Chang, W.R. Crystal structure of spinach major light-harvesting complex at 2.72 A resolution. Nature 2004, 428, 287–292. [Google Scholar] [CrossRef]
- Tanaka, R.; Tanaka, A. Chlorophyll cycle regulates the construction and destruction of the light-harvesting complexes. Biochim. Biophys. Acta-Bioenerg. 2011, 1807, 968–976. [Google Scholar] [CrossRef]
- Croce, R.; van Amerongen, H. Natural strategies for photosynthetic light harvesting. Nat. Chem. Biol. 2014, 10, 492–501. [Google Scholar] [CrossRef]
- Paiva, A.L.S.; Passaia, G.; Lobo, A.K.M.; Jardim-Messeder, D.; Silveira, J.A.G.; Margis-Pinheiro, M. Mitochondrial glutathione peroxidase (OsGPX3) has a crucial role in rice protection against salt stress. Environ. Exp. Bot. 2019, 158, 12–21. [Google Scholar] [CrossRef]
- Latef, A.A.H.A.; Abu Alhmad, M.F.; Kordrostami, M.; Abo-Baker, A.B.A.; Zakir, A. Inoculation with Azospirillum lipoferum or Azotobacter chroococcum Reinforces Maize Growth by Improving Physiological Activities Under Saline Conditions. J. Plant Growth Regul. 2020, 39, 1293–1306. [Google Scholar] [CrossRef]
- Zhang, Y.Q.; Kaiser, E.; Marcelis, L.F.M.; Yang, Q.C.; Li, T. Salt stress and fluctuating light have separate effects on photosynthetic acclimation, but interactively affect biomass. Plant Cell Environ. 2020, 43, 2192–2206. [Google Scholar] [CrossRef]
- Latef, A.A.H.A.; Abu Alhmad, M.F.; Abdelfattah, K.E. The Possible Roles of Priming with ZnO Nanoparticles in Mitigation of Salinity Stress in Lupine (Lupinus termis) Plants. J. Plant Growth Regul. 2017, 36, 60–70. [Google Scholar] [CrossRef]
- Abdelaal, K.A.A.; Mazrou, Y.S.A.; Hafez, Y.M. Silicon Foliar Application Mitigates Salt Stress in Sweet Pepper Plants by Enhancing Water Status, Photosynthesis, Antioxidant Enzyme Activity and Fruit Yield. Plants 2020, 9, 733. [Google Scholar] [CrossRef] [PubMed]
- Gitelson, A.A.; Anatoly, A.; Zur, Y.; Chivkunova, O.B.; Merzlyak, M.N. Assessing carotenoid content in plant leaves with reflectance spectroscopy. Photochem. Photobiol. 2002, 75, 272–281. [Google Scholar] [CrossRef]
- Ogawa, T.; Sonoike, K. Screening of mutants using chlorophyll fluorescence. J. Plant Res. 2021, 134, 653–664. [Google Scholar] [CrossRef] [PubMed]
- Faseela, P.; Sinisha, A.K.; Brestic, M.; Puthur, J.T. Chlorophyll a fluorescence parameters as indicators of a particular abiotic stress in rice. Photosynthetica 2020, 58, 293–300. [Google Scholar] [CrossRef]
- Murchie, E.H.; Ruban, A.V. Dynamic non-photochemical quenching in plants: From molecular mechanism to productivity. Plant J. 2020, 101, 885–896. [Google Scholar] [CrossRef]
- Tsai, Y.C.; Chen, K.C.; Cheng, T.S.; Lee, C.; Lin, S.H.; Tung, C.W. Chlorophyll fluorescence analysis in diverse rice varieties reveals the positive correlation between the seedlings salt tolerance and photosynthetic efficiency. BMC Plant Biol. 2019, 19, 403. [Google Scholar] [CrossRef]
- Miller, G.; Suzuki, N.; Ciftci-Yilmaz, S.; Mittler, R. Reactive oxygen species homeostasis and signaling during drought and salinity stresses. Plant Cell Environ. 2010, 33, 453–467. [Google Scholar] [CrossRef]
- Liu, X.X.; Ma, D.K.; Zhang, Z.Y.; Wang, S.W.; Du, S.; Deng, X.P.; Yin, L.N. Plant lipid remodeling in response to abiotic stresses. Environ. Exp. Bot. 2019, 165, 174–184. [Google Scholar] [CrossRef]
- Gogna, M.; Choudhary, A.; Mishra, G.; Kapoor, R.; Bhatla, S.C. Changes in lipid composition in response to salt stress and its possible interaction with intracellular Na+-K+ ratio in sunflower (Helianthus annuus L.). Environ. Exp. Bot. 2020, 178, 104147. [Google Scholar] [CrossRef]
- Sui, N.; Wang, Y.; Liu, S.S.; Yang, Z.; Wang, F.; Wan, S.B. Transcriptomic and Physiological Evidence for the Relationship between Unsaturated Fatty Acid and Salt Stress in Peanut. Front. Plant Sci. 2018, 9, 7. [Google Scholar] [CrossRef] [PubMed]







| Seedling Lines | NaCl mM | C16:0 mol% | C16:1 mol% | C16:2 mol% | C16:3 mol% | C18:0 mol% | C18:1 mol% | C18:2 mol% | C18:3 mol% | DBI |
|---|---|---|---|---|---|---|---|---|---|---|
| WT | 0 | 17.4 ± 0.09 | 3.2 ± 0.04 | 0.5 ± 0.01 | 0.6 ± 0.04 | 1.1 ± 0.07 | 1.2 ± 0.05 | 9.5 ± 0.43 | 67.2 ± 0.17 | 2.26 ± 0.01 |
| 100 | 21.4 ± 1.04 | 3.3 ± 0.06 | 0.7 ± 0.02 | 0.6 ± 0.02 | 1.6 ± 0.23 | 0.9 ± 0.07 | 7.5 ± 0.45 | 60.8 ± 0.42 | 2.06 ± 0.01 | |
| OE18 | 0 | 17.7 ± 0.77 | 3.1 ± 0.11 | 0.5 ± 0.04 | 0.4 ± 0.03 * | 1.3 ± 0.04 | 1.2 ± 0.06 | 9.0 ± 0.10 | 66.7 ± 0.85 | 2.25 ± 0.01 |
| 100 | 18.6 ± 1.67 | 3.3 ± 0.10 | 0.7 ± 0.03 | 0.3 ± 0.09 ** | 1.6 ± 0.37 | 0.9 ± 0.11 | 8.3 ± 0.16 | 65.6 ± 2.47 * | 2.22 ± 0.01 * | |
| OE22 | 0 | 17.9 ± 0.22 | 3.1 ± 0.09 | 0.5 ± 0.02 | 0.5 ± 0.05 | 1.3 ± 0.21 | 1.2 ± 0.06 | 9.3 ± 0.26 | 66.2 ± 0.61 | 2.24 ± 0.01 |
| 100 | 16.9 ± 1.50 ** | 3.3 ± 0.12 | 0.6 ± 0.02 * | 0.5 ± 0.02 | 1.2 ± 0.06 | 0.8 ± 0.04 | 8.5 ± 0.15 * | 68.7 ± 1.31 ** | 2.29 ± 0.04 ** | |
| OE28 | 0 | 17.8 ± 0.29 | 3.0 ± 0.00 | 0.5 ± 0.02 | 0.4 ± 0.02 * | 1.2 ± 0.05 | 1.0 ± 0.03 * | 9.3 ± 0.13 | 67.3 ± 0.07 | 2.27 ± 0.03 |
| 100 | 19.0 ± 0.19 | 3.3 ± 0.04 | 0.6 ± 0.03 | 0.5 ± 0.02 | 1.2 ± 0.04 | 0.8 ± 0.02 | 8.6 ± 0.21 * | 66.0 ± 0.25 ** | 2.07 ± 0.09 | |
| RNAi7 | 0 | 17.9 ± 0.08 | 3.2 ± 0.01 | 0.4 ± 0.01 | 0.4 ± 0.01 * | 1.1 ± 0.01 | 1.1 ± 0.02 | 9.3 ± 0.05 | 66.6 ± 0.13 | 2.25 ± 0.00 |
| 100 | 24.8 ± 0.69 * | 3.8 ± 0.04 ** | 1.0 ± 0.01 ** | 0.5 ± 0.01 | 1.6 ± 0.07 | 0.8 ± 0.00 | 9.6 ± 0.36 ** | 59.0 ± 0.66 | 2.00 ± 0.03 | |
| RNAi8 | 0 | 21.7 ± 0.05 ** | 2.9 ± 0.04 * | 0.5 ± 0.01 | 0.4 ± 0.02 ** | 2.3 ± 0.52 ** | 1.2 ± 0.05 | 8.7 ± 0.45 | 61.5 ± 0.47 ** | 2.08 ± 0.01 ** |
| 100 | 20.4 ± 0.22 | 3.5 ± 0.01 | 0.7 ± 0.01 | 0.5 ± 0.01 | 1.4 ± 0.00 | 0.7 ± 0.03 * | 9.7 ± 0.19 ** | 63.1 ± 0.35 | 2.16 ± 0.01 | |
| RNAi13 | 0 | 17.2 ± 1.49 | 3.0 ± 0.10 | 0.6 ± 0.05 | 0.3 ± 0.09 ** | 1.4 ± 0.04 | 1.3 ± 0.07 | 10.3 ± 0.02 | 65.9 ± 1.51 | 2.25 ± 0.04 |
| 100 | 23.5 ± 0.63 | 3.9 ± 0.05 ** | 0.8 ± 0.03 ** | 0.5 ± 0.02 | 1.5 ± 0.05 | 0.6 ± 0.02 ** | 7.8 ± 0.16 | 61.0 ± 0.96 | 2.07 ± 0.02 |
Publisher’s Note: MDPI stays neutral with regard to jurisdictional claims in published maps and institutional affiliations. |
© 2022 by the authors. Licensee MDPI, Basel, Switzerland. This article is an open access article distributed under the terms and conditions of the Creative Commons Attribution (CC BY) license (https://creativecommons.org/licenses/by/4.0/).
Share and Cite
Hui, L.; Liu, D.; Wang, Y.; Li, S.; Yin, L.; Wang, S. Overexpression of Rice Monogalactosyldiacylglycerol Synthase OsMGD Leads to Enhanced Salt Tolerance in Rice. Agronomy 2022, 12, 568. https://doi.org/10.3390/agronomy12030568
Hui L, Liu D, Wang Y, Li S, Yin L, Wang S. Overexpression of Rice Monogalactosyldiacylglycerol Synthase OsMGD Leads to Enhanced Salt Tolerance in Rice. Agronomy. 2022; 12(3):568. https://doi.org/10.3390/agronomy12030568
Chicago/Turabian StyleHui, Lei, Dan Liu, Yi Wang, Shasha Li, Lina Yin, and Shiwen Wang. 2022. "Overexpression of Rice Monogalactosyldiacylglycerol Synthase OsMGD Leads to Enhanced Salt Tolerance in Rice" Agronomy 12, no. 3: 568. https://doi.org/10.3390/agronomy12030568
APA StyleHui, L., Liu, D., Wang, Y., Li, S., Yin, L., & Wang, S. (2022). Overexpression of Rice Monogalactosyldiacylglycerol Synthase OsMGD Leads to Enhanced Salt Tolerance in Rice. Agronomy, 12(3), 568. https://doi.org/10.3390/agronomy12030568

