Dynamic and Migration Characteristics of Soil Free Amino Acids in Paddy Soil Applied with Milk Vetch
Abstract
1. Introduction
2. Materials and Methods
2.1. Experimental Site and Design
2.2. Soil Sampling
2.3. Analysis of Soil Chemical Properties
2.4. Analysis of Soil FAAs
2.5. Analysis of Soil Bacterial Biomass and Community
2.5.1. Quantitative Fluorescent-PCR
2.5.2. Analysis of Bacterial Community Structure
2.6. Structural Equation Modeling Analysis
2.7. Statistical Analysis
3. Results
3.1. Dynamics of FAAs Concentration
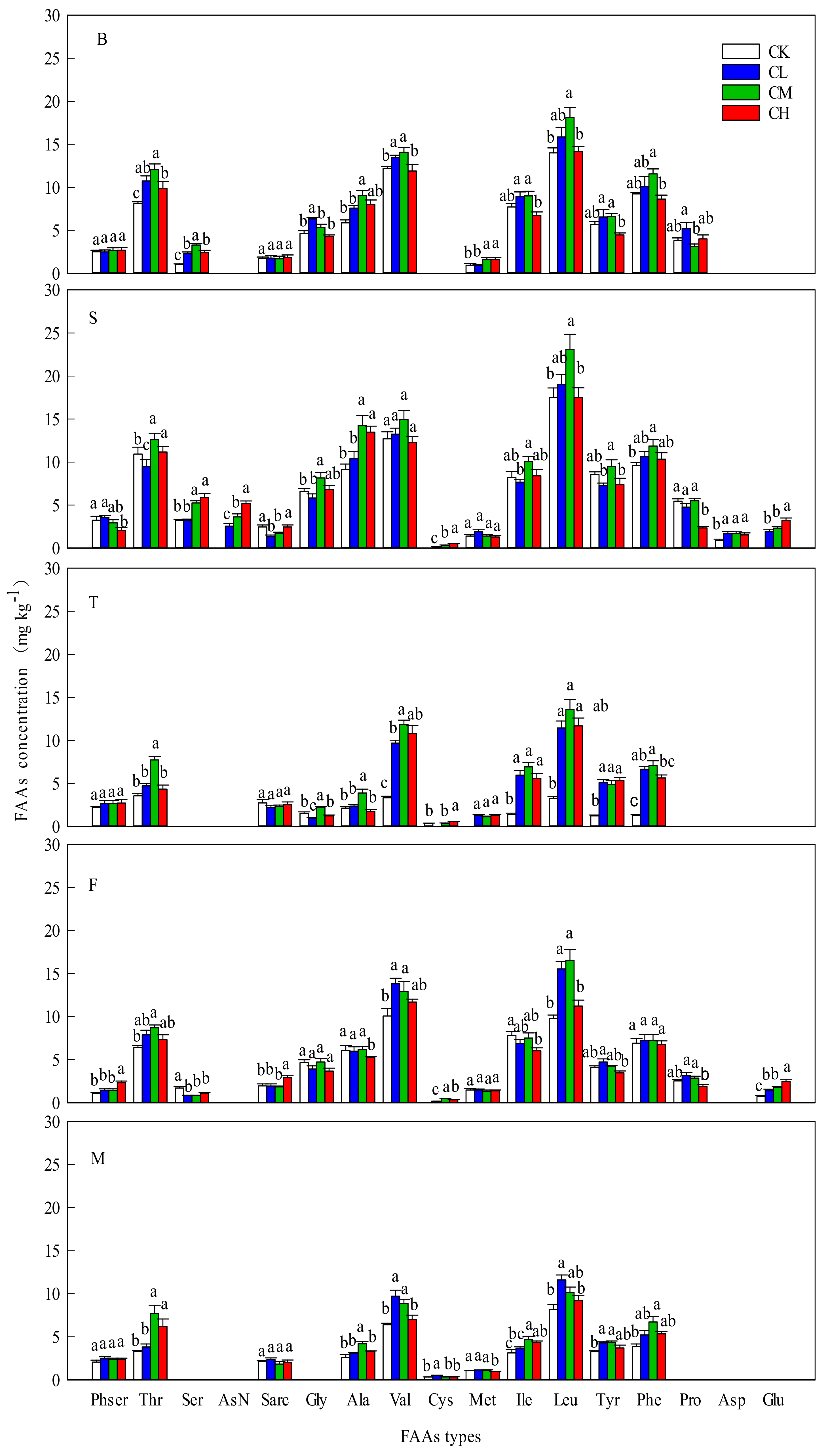
3.2. Dynamics of FAAs Composition
3.3. Profile Distribution of FAAs
3.4. Dynamics of Soil Bacterial Community during the Rice Growth Stage
3.4.1. Soil Bacterial Biomass and Diversity
3.4.2. Soil Bacterial Community Structure
3.5. Impact Factors of FAAs Dynamics during the Rice Growth Stage
3.5.1. Influence Factors and Paths of FAAs Dynamics
3.5.2. Key Bacterial Communities of FAAs Dynamics
4. Discussion
4.1. Effect of CMV Treatments on Soil FAAs Concentration Dynamics
4.2. Effect of CMV Treatments on Soil FAAs Composition Dynamics
4.3. Effect of CMV Treatments on Soil FAAs Migration
4.4. Factors Driving Soil FAAs Dynamics
5. Conclusions
Supplementary Materials
Author Contributions
Funding
Data Availability Statement
Acknowledgments
Conflicts of Interest
References
- Rovira, P.; Kurz-Besson, C.; Hernàndez, P.; Coûteaux, M.M.; Vallejo, V.R. Searching for an indicator of N evolution during organic matter decomposition based on amino acids behaviour: A study on litter layers of pine forests. Plant Soil 2008, 307, 149–166. [Google Scholar] [CrossRef]
- Gao, L.; Hill, P.W.; Jones, D.L.; Guo, Y.F.; Gao, F.; Cui, X.Y. Seasonality is more important than forest type in regulating the pool size and composition of soil soluble N in temperate forests. Biogeochemistry 2020, 150, 279–295. [Google Scholar] [CrossRef]
- Jan, M.T.; Roberts, P.; Tonheim, S.K.; Jones, D.L. Protein breakdown represents a major bottleneck in nitrogen cycling in grassland soils. Soil Biol. Biochem. 2009, 41, 2272–2282. [Google Scholar] [CrossRef]
- Feng, Y.L.; Wang, J.; Yuan, K.; Zong, W.Z.; Guo, D. Vegetation affects pool size and composition of amino acids in Tibetan alpine meadow soils. Geoderma 2018, 310, 44–52. [Google Scholar] [CrossRef]
- Hill, E.J.; Jones, D.L.; Paterson, E.; Hill, P.W. Hotspots and hot moments of amino acid N in soil: Real-time insights using continuous microdialysis sampling. Soil Biol. Biochem. 2019, 131, 40–43. [Google Scholar] [CrossRef]
- Harrison, K.A.; Bol, R.; Bardgett, R.D. Preferences for different nitrogen forms by coexisting plant species and soil microbes. Ecology 2007, 88, 989–999. [Google Scholar] [CrossRef]
- Nie, S.A.; Zhao, L.X.; Lei, X.M.; Sarfraz, R.; Xing, S.H. Dissolved organic nitrogen distribution in differently fertilized paddy soil profiles: Implications for its potential loss. Agric. Ecosyst. Environ. 2018, 262, 58–64. [Google Scholar] [CrossRef]
- Jones, D.L.; Shannon, D.; Junvee-Fortune, T.; Farrar, J.F. Plant capture of free amino acids is maximized under high soil amino acid concentrations. Soil Biol. Biochem. 2005, 37, 179–181. [Google Scholar] [CrossRef]
- Werdin-Pfisterer, N.R.; Kielland, K.; Boone, R.D. Soil amino acid composition across a boreal forest successional sequence. Soil Biol. Biochem. 2009, 41, 1210–1220. [Google Scholar] [CrossRef]
- Gonzalez Perez, P.; Zhang, R.; Wang, X.; Ye, J.; Huang, D. Characterization of the amino acid composition of soils under organic and conventional management after addition of different fertilizers. J. Soil. Sediment. 2015, 15, 890–901. [Google Scholar] [CrossRef]
- El-Naggar, A.; Rasmussen, J.; Neergaard, A.; El-Araby, A.; Høgh-Jensen, H. Effect of plant species and temperature on amino acid release from plant material. Agron. Sustain. Dev. 2010, 30, 679–688. [Google Scholar] [CrossRef]
- Geisseler, D.; Horwath, W.R. Regulation of extracellular protease activity in soil in response to different sources and concentrations of nitrogen and carbon. Soil Biol. Biochem. 2008, 40, 3040–3048. [Google Scholar] [CrossRef]
- Chen, J.R.; Qin, W.J.; Chen, X.F.; Cao, W.D.; Qian, G.M.; Liu, J.; Xu, C.X. Application of Chinese milk vetch affects rice yield and soil productivity in a subtropical double-rice cropping system. J. Integr. Agric. 2020, 19, 2116–2126. [Google Scholar] [CrossRef]
- Schimel, J.; Bennett, J. Nitrogen mineralization: Challenges of a changing paradigm. Ecology 2004, 85, 591–602. [Google Scholar] [CrossRef]
- Weintraub, M.N.; Schimel, J.P. The seasonal dynamics of amino acids and other nutrients in Alaskan Arctic tundra soils. Biogeochemistry 2005, 73, 359–380. [Google Scholar] [CrossRef]
- Lipson, D.A.; Schmidt, S.K. Links between microbial population dynamics and nitrogen availability in an alpine ecosystem. Ecology 1999, 80, 1623–1631. [Google Scholar] [CrossRef]
- Warren, C.R.; Taranto, M.T. Temporal variation in pools of amino acids, inorganic and microbial N in a temperate grassland soil. Soil Biol. Biochem. 2010, 42, 353–359. [Google Scholar] [CrossRef]
- Lu, R.K. Methods of Soil Agricultural Chemical Analysis; China Agricultural Science and Technology Press: Beijing, China, 2000. (In Chinese) [Google Scholar]
- Guan, S.Y. Soil Enzyme and Research Methods for Soil Enzyme; Agricultural Press: Beijing, China, 1986. (In Chinese) [Google Scholar]
- Yang, J.; Nie, S.A.; Yang, W.H.; Chen, C.R.; Zhang, L.M.; Zhou, B.Q.; Xing, S.H. Effects of various influencing factors of soil soluble organic nitrogen components under different long-term fertilization treatments in paddy soil. Acta Pedol. Sinica 2018, 55, 955–966. (In Chinese) [Google Scholar] [CrossRef]
- Beach, N.K.; Noguera, D.R. Design and assessment of species-level qPCR primers targeting comammox. Front. Microbiol. 2019, 10, 36. [Google Scholar] [CrossRef]
- Peris, M.M.; Eissa, N.; Charles, N.B. Antepartum Antibiotic Treatment Increases Offspring Susceptibility to Experimental Colitis: A Role of the Gut Microbiotas. PLoS ONE 2015, 10, e0142536. [Google Scholar] [CrossRef]
- Edgar, R.C. UPARSE: Highly accurate OTU sequences from microbial amplicon readss. Nat. Methods 2013, 10, 996–998. [Google Scholar] [CrossRef] [PubMed]
- Liu, Y.; Pan, X.Z.; Wang, C.K.; Li, Y.L.; Shi, R.J. Can subsurface soil salinity be predicted from surface spectral information? -From the perspective of structural equation modelling. Biosyst. Eng. 2016, 152, 138–147. [Google Scholar] [CrossRef]
- Soliman, A.; Bellaj, T.; Khelifa, M. An integrative psychological model for radicalism: Evidence from structural equation modeling. Pers. Indiv. Differ. 2016, 95, 127–133. [Google Scholar] [CrossRef]
- Grace, J.B. Structural Equation Modeling and Natural Systems; Cambridge University Press: New York, NY, USA, 2006. [Google Scholar]
- Eisenhauer, N.; Bowker, M.A.; Grace, J.B.; Powell, J.R. From patterns to causal understanding: Structural equation modeling (SEM) in soil ecology. Pedobiologia 2015, 58, 65–72. [Google Scholar] [CrossRef]
- Yang, J.; Yang, W.H.; Wang, F.; Zhang, L.M.; Zhou, B.Q.; Sarfraz, R.; Xing, S.H. Driving factors of soluble organic nitrogen dynamics in paddy soils: Structure equation modeling analysis. Pedosphere 2020, 30, 801–809. [Google Scholar] [CrossRef]
- Zhu, B.; Yi, L.X.; Hu, Y.G.; Zeng, Z.H.; Lin, C.W.; Tang, H.M.; Yang, G.L.; Xiao, X.P. Nitrogen release from incorporated 15N-labelled Chinese milk vetch (Astragalus sinicus L.) residue and its dynamics in a double rice cropping system. Plant Soil 2013, 374, 331–344. [Google Scholar] [CrossRef]
- Kuzyakov, Y.; Friedel, J.K.; Stahr, K. Review of mechanisms and quantification of priming effects. Soil Biol. Biochem. 2000, 32, 1485–1498. [Google Scholar] [CrossRef]
- Ma, Q.X.; Wu, L.H.; Wang, J.; Ma, J.Z.; Zheng, N.G.; Hill, P.W.; Chadwick, D.R.; Jones, D.L. Fertilizer regime changes the competitive uptake of organic nitrogen by wheat and soil microorganisms: An in-situ uptake test using 13C, 15N labelling, and 13C-PLFA analysis. Soil Biol. Biochem. 2018, 125, 319–327. [Google Scholar] [CrossRef]
- Ma, H.; Pei, G.T.; Gao, R.; Yin, Y.F. Mineralization of amino acids and its signs in nitrogen cycling of forest soil. Acta Ecol. Sinica 2017, 37, 60–63. [Google Scholar] [CrossRef]
- Zhou, Q.; Chen, J.; Xing, Y.; Xie, X.Y.; Wang, L.C. Influence of intercropping Chinese milk vetch on the soil microbial community in rhizosphere of rape. Plant Soil 2019, 440, 85–96. [Google Scholar] [CrossRef]
- Macias-Benitez, S.; Garcia-Martinez, A.M.; Jimenez, P.C.; Gonzalez, J.M.; Moral, M.T.; Rubio, J.P. Rhizospheric organic acids as biostimulants: Monitoring feedbacks on soil microorganisms and biochemical properties. Front. Plant Sci. 2020, 11, 633. [Google Scholar] [CrossRef] [PubMed]
- Liu, Y.; Lou, J.; Li, F.B.; Xu, J.M.; Yu, X.S.; Zhu, L.A.; Wang, F. Evaluating oxidation–reduction properties of dissolved organic matter from Chinese milk vetch (Astragalus sinicus L.): A comprehensive multi-parametric study. Environ. Technol. 2014, 35, 1916–1927. [Google Scholar] [CrossRef] [PubMed]
- Cheng, H.D.; Lu, Y.H.; Nie, J.; Zhu, Q.J.; Nie, X.; Cao, W.D.; Gao, Y.J.; Liao, Y.L. Effects of reducing chemical fertilizer combined with Chinese milk vetch on soil carbon and nitrogen in paddy fields. J. Agro-Environ. Sci. 2020, 39, 1259–1270. (In Chinese) [Google Scholar] [CrossRef]
- Cao, X.; Ma, Q.; Zhong, C.; Yang, X.; Zhu, L.; Zhang, J.; Jin, Q.Y.; Wu, L.H. Elevational variation in soil amino acid and inorganic nitrogen concentrations in Taibai Mountain, China. PLoS ONE 2016, 11, e0157979. [Google Scholar] [CrossRef]
- Guo, X.C.; Cao, Y.S.; Xing, S.H. Composition of soft free amino acid and its difference in three plantations in Southern China. J. Jiangxi Norm. Univ. 2013, 37, 310–315. (In Chinese) [Google Scholar] [CrossRef]
- Rae, I.C.M.; Castro, T.F. Root exudates of the rice plant in relation to akagare, a physiological disorder of rice. Plant Soil 1976, 26, 317–323. [Google Scholar] [CrossRef]
- Jämtgård, S.; Näsholm, T.; Huss-Danell, K. Nitrogen compounds in soil solutions of agricultural land. Soil Biol. Biochem. 2010, 42, 2325–2330. [Google Scholar] [CrossRef]
- Laudicina, V.; Palazzolo, E.; Badalucco, L. Natural Organic Compounds in Soil Solution: Potential Role as Soil Quality Indicators. Curr. Org. Chem. 2013, 17, 2991–2997. [Google Scholar] [CrossRef]
- Yu, Q.G.; Hu, X.; Ma, J.W.; Ye, J.; Sun, W.C.; Wang, Q.; Lin, H. Effects of long-term organic material applications on soil carbon and nitrogen fractions in paddy fields. Soil Tillage Res. 2020, 196, 104483. [Google Scholar] [CrossRef]
- Friedel, J.; Scheller, E. Composition of hydrolysable amino acids in soil organic matter and soil microbial biomass. Soil Biol. Biochem. 2002, 34, 315–325. [Google Scholar] [CrossRef]
- Rothstein, D.E. Effects of amino-acid chemistry and soil properties on the behavior of free amino acids in acidic forest soils. Soil Biol. Biochem. 2010, 42, 1743–1750. [Google Scholar] [CrossRef]
- Xie, Z.J.; Zhou, C.H.; Shah, F.; Lqbal, A.; Ni, G.R. The role of Chinese Milk Vetch as cover crop in complex soil nitrogen dynamics in rice rotation system of South China. Sci. Rep. 2018, 8, 12061. [Google Scholar] [CrossRef]
- Huang, C.C.; Liu, S.; Li, R.Z.; Sun, F.S.; Zhou, Y.Z.; Yu, G.H. Spectroscopic evidence of the improvement of reactive iron mineral content in red soil by long-term application of swine manure. PLoS ONE 2016, 11, e0146364. [Google Scholar] [CrossRef] [PubMed]
- Yang, S.H.; Peng, S.Z.; Xu, J.Z.; He, Y.P.; Wang, Y.J. Effects of water saving irrigation and controlled release nitrogen fertilizer managements on nitrogen losses from paddy fields. Paddy Water Environ. 2015, 1, 71–80. [Google Scholar] [CrossRef]
- Fischer, H.; Meyer, A.; Fischer, K.; Kuzyakov, Y. Carbohydrate and amino acid composition of dissolved organic matter leached from soil. Soil Biol. Biochem. 2007, 39, 2926–2935. [Google Scholar] [CrossRef]
- Zhu, C.; Wang, Q.; Huang, X.X.; Yun, J.N.; Hu, Q.L.; Yang, G. Adsorption of amino acids at clay surfaces and implication for biochemical reactions: Role and impact of surface charges. Colloids Surface B 2019, 183, 110458. [Google Scholar] [CrossRef]
- Islam, M.M.; Saey, T.; De Smedt, P.; Van De Vijver, E.; Delefortrie, S.; Van Meirvenne, M. Modeling within field variation of the compaction layer in a paddy rice field using a proximal soil sensing system. Soil Use Manag. 2014, 30, 99–108. [Google Scholar] [CrossRef]
- Hedges, J.I.; Hare, P.E. Amino acid adsorption by clay minerals in distilled water. Geochim. Cosmochim. Acta 1987, 51, 255–259. [Google Scholar] [CrossRef]
- Dashman, T.; Stotzky, G. Adsorption and binding of amino acids on homoionic montmorillonite and kaolinite. Soil Biol. Biochem. 1982, 14, 447–456. [Google Scholar] [CrossRef]
- Trevino, S.R.; Scholtz, J.M.; Pace, C.N. Amino Acid Contribution to Protein Solubility: Asp, Glu, and Ser Contribute more Favorably than the other Hydrophilic Amino Acids in RNase Sa. J. Mol. Biol. 2007, 366, 449–460. [Google Scholar] [CrossRef]
- Jensen, K.T.; Lobmann, K.; Rades, T.; Grohganz, H. Improving co-amorphous drug formulations by the addition of the highly water soluble amino Acid, proline. Pharmaceutics 2014, 6, 416–435. [Google Scholar] [CrossRef] [PubMed]
- Reeve, J.R.; Smith, J.L.; Carpenter-Boggs, L.; Reganold, J.P. Soil-based cycling and differential uptake of amino acids by three species of strawberry (Fragariaspp.) plants. Soil Biol. Biochem. 2008, 40, 2547–2552. [Google Scholar] [CrossRef]
- Inselsbacher, E.; Wanek, W. An unexpected source of nitrogen for root uptake: Positively charged amino acids dominate soil diffusive nitrogen fluxes. New Phytol. 2021, 30, 99–108. [Google Scholar] [CrossRef]
- Wang, Y.F.; Liu, X.M.; Butterly, C.; Tang, C.X.; Xu, J.M. pH change, carbon and nitrogen mineralization in paddy soils as affected by Chinese milk vetch addition and soil water regime. J. Soil Sediments 2013, 13, 654–663. [Google Scholar] [CrossRef]
- Chen, J.; Wu, Q.; Li, S.; Ge, J.; Liang, C.; Qin, H.; Xu, Q.; Fuhrmann, J.J. Diversity and function of soil bacterial communities in response to long-term intensive management in a subtropical bamboo forest. Geoderma 2019, 354, 113894. [Google Scholar] [CrossRef]
- Sinsabaugh, R.; Lauber, C.; Weintraub, M.; Ahmed, B.; Allison, S.; Crenshaw, C.; Contosta, A.; Cusack, D.; Frey, S.; Gallo, M.; et al. Stoichiometry of soil enzyme activity at global scale. Ecol. Lett. 2008, 11, 1252–1264. [Google Scholar] [CrossRef]
- Min, K.; Lehmeier, C.A.; Ballantyne, F.; Tatarko, A.; Billings, S.A. Differential effects of pH on temperature sensitivity of organic carbon and nitrogen decay. Soil Biol. Biochem. 2014, 76, 193–200. [Google Scholar] [CrossRef]
- Li, Z.L.; Tian, D.S.; Wang, B.X.; Wang, J.S.; Wang, S.; Chen, H.Y.H.; Xu, X.F.; Wang, C.h.; He, N.P.; Niu, S.L. Microbes drive global soil nitrogen mineralization and availability. Glob. Chang. Biol. 2019, 25, 1078–1088. [Google Scholar] [CrossRef]
- Hu, R.; Chen, K.W.; Song, K.L.; Yin, X.; Zhou, C.H.; Ni, G.R. Effects of Long-term Return of Milk Vetch (Astragalus sinicus) on Soil Nutrients and Microorganism Communities in Double-rice Cropping Field. Agric. Biotechnol. 2021, 10, 127–129, 133. [Google Scholar]
- Huang, Q.R.; Hu, F.; Huang, S.; Li, H.X.; Yuan, Y.H.; Pan, G.X.; Zhang, W.J. Effect of long-term fertilization on organic carbon and nitrogen in a subtropical paddy soil. Pedosphere 2009, 19, 727–734. [Google Scholar] [CrossRef]
- Kieloaho, A.J.; Pihlatie, M.; Dominguez Carrasco, M.; Kanerva, S.; Parshintsev, J.; Riekkola, M.L.; Pumpanen, J.; Heinonsalo, J. Stimulation of soil organic nitrogen pool: The effect of plant and soil organic matter degrading enzymes. Soil Biol. Biochem. 2016, 96, 97–106. [Google Scholar] [CrossRef]
- Cenini, V.L.; Fornara, D.A.; McMullan, G.; Ternan, N.; Carolan, R.; Crawley, M.J.; Clément, J.-C.; Lavorel, S. Linkages between extracellular enzyme activities and the carbon and nitrogen content of grassland soils. Soil Biol. Biochem. 2016, 96, 198–206. [Google Scholar] [CrossRef]
- Noll, L.; Zhang, S.S.; Zheng, Q.; Hu, Y.; Wanek, W. Wide-spread limitation of soil organic nitrogen transformations by substrate availability and not by extracellular enzyme content. Soil Biol. Biochem. 2019, 133, 37–49. [Google Scholar] [CrossRef] [PubMed]
- Tang, H.M.; Xiao, X.P.; Tang, W.G.; Lin, Y.C.; Wang, K.; Yang, G.L. Effects of winter cover crops residue returning on soil enzyme activities and soil microbial community in double-cropping rice fields. PLoS ONE 2014, 9, e100443. [Google Scholar] [CrossRef]
- Mishra, S.; Di, H.; Cameron, K.; Monaghan, R.; Carran, A. Gross Nitrogen Mineralisation Rates in Pastural Soils and Their Relationships with Organic Nitrogen Fractions, Microbial Biomass and Protease Activity under Glasshouse Conditions. Biol. Fertil. Soils 2005, 42, 45–53. [Google Scholar] [CrossRef]
- Noll, L.; Zhang, S.S.; Wanek, W. Novel high-throughput approach to determine key processes of soil organic nitrogen cycling: Gross protein depolymerization and microbial amino acid uptake. Soil Biol. Biochem. 2019, 130, 73–81. [Google Scholar] [CrossRef]
- Reiskind, J.B.; Lavoie, M.; Mack, M.C. Kinetic studies of proteolytic enzyme activity of arctic soils under varying toluene concentrations. Soil Biol. Biochem. 2011, 43, 70–77. [Google Scholar] [CrossRef]
- Yang, Z.P.; Zheng, S.X.; Nie, J.; Liao, Y.L.; Xie, J. Effects of Long-Term Winter Planted Green Manure on Distribution and Storage of Organic Carbon and Nitrogen in Water-Stable Aggregates of Reddish Paddy Soil Under a Double-Rice Cropping System. J. Integr. Agric. 2014, 13, 1772–1781. [Google Scholar] [CrossRef]
- Tao, J.M.; Liu, X.D.; Liang, Y.L.; Niu, J.J.; Xiao, Y.H.; Gu, Y.B.; Ma, L.Y.; Meng, D.L.; Zhang, Y.G.; Huang, W.K. Maize growth responses to soil microbes and soil properties after fertilization with different green manures. Appl. Microbiol. Biotechnol. 2017, 101, 1289–1299. [Google Scholar] [CrossRef]
- Qualls, R.G.; Haines, B.L.; Swank, W.T.; Tyler, S.W. Retention of soluble organic nutrients by a forested ecosystem. Biogeochemistry 2002, 61, 135–171. [Google Scholar] [CrossRef]
- Hossain, M.Z.; Sugiyama, S.i. Relative importance of soil microbes and litter quality on decomposition and nitrogen cycling in grasslands. Ecol. Res. 2020, 35, 912–924. [Google Scholar] [CrossRef]
- Miltner, A.; Kindler, R.; Knicker, H.; Richnow, H.H.; Kästner, M. Fate of microbial biomass-derived amino acids in soil and their contribution to soil organic matter. Org. Geochem. 2009, 40, 978–985. [Google Scholar] [CrossRef]
- Pan, J.H.; Wang, J.; Zhuang, S.Y. Amino acid nitrogen trends in paddy soils under long-term rice cultivation in southeast coast of China. Catena 2022, 212, 106044. [Google Scholar] [CrossRef]
- Hofmockel, K.S.; Fierer, N.; Colman, B.P.; Jackson, R.B. Amino acid abundance and proteolytic potential in North American soils. Oecologia 2010, 163, 1069–1078. [Google Scholar] [CrossRef]
- Xu, Z.w.; Yu, G.R.; Zhang, X.Y.; Ge, J.P.; He, N.P.; Wang, Q.F.; Wang, D. The variations in soil microbial communities, enzyme activities and their relationships with soil organic matter decomposition along the northern slope of Changbai Mountain. Appl. Soil Ecol. 2015, 86, 19–29. [Google Scholar] [CrossRef]
- Gao, S.J.; Cao, W.D.; Zhou, G.P.; Rees, R.M. Bacterial communities in paddy soils changed by milk vetch as green manure: A study conducted across six provinces in South China. Pedosphere 2021, 31, 521–530. [Google Scholar] [CrossRef]
- Philben, M.; Billings, S.A.; Edwards, K.A.; Podrebarac, F.A.; van Biesen, G.; Ziegler, S.E. Amino acid δ15N indicates lack of N isotope fractionation during soil organic nitrogen decomposition. Biogeochemistry 2018, 138, 69–83. [Google Scholar] [CrossRef]
- Moe, L.A. Amino acids in the rhizosphere: From plants to microbes. Am. J. Bot. 2013, 100, 1692–1705. [Google Scholar] [CrossRef]
- Daims, H.; Wagner, M. Nitrospira. Trends Microbiol. 2018, 26, 462–463. [Google Scholar]
- Bach, H.J.; Munch, J.C. Identification of bacterial sources of soil peptidases. Biol. Fertill. Soils 2000, 31, 219–224. [Google Scholar] [CrossRef]
- Watanabe, K.; Hayano, K. Source of soil protease based on the splitting sites of a polypeptide. Soil Sci. Plant Nutr. 1994, 40, 697–701. [Google Scholar] [CrossRef]









Publisher’s Note: MDPI stays neutral with regard to jurisdictional claims in published maps and institutional affiliations. |
© 2022 by the authors. Licensee MDPI, Basel, Switzerland. This article is an open access article distributed under the terms and conditions of the Creative Commons Attribution (CC BY) license (https://creativecommons.org/licenses/by/4.0/).
Share and Cite
Yang, J.; Lin, Y.; Rensing, C.; Zhang, L.; Zhou, B.; Xing, S.; Yang, W. Dynamic and Migration Characteristics of Soil Free Amino Acids in Paddy Soil Applied with Milk Vetch. Agronomy 2022, 12, 2621. https://doi.org/10.3390/agronomy12112621
Yang J, Lin Y, Rensing C, Zhang L, Zhou B, Xing S, Yang W. Dynamic and Migration Characteristics of Soil Free Amino Acids in Paddy Soil Applied with Milk Vetch. Agronomy. 2022; 12(11):2621. https://doi.org/10.3390/agronomy12112621
Chicago/Turabian StyleYang, Jing, Yi Lin, Christopher Rensing, Liming Zhang, Biqing Zhou, Shihe Xing, and Wenhao Yang. 2022. "Dynamic and Migration Characteristics of Soil Free Amino Acids in Paddy Soil Applied with Milk Vetch" Agronomy 12, no. 11: 2621. https://doi.org/10.3390/agronomy12112621
APA StyleYang, J., Lin, Y., Rensing, C., Zhang, L., Zhou, B., Xing, S., & Yang, W. (2022). Dynamic and Migration Characteristics of Soil Free Amino Acids in Paddy Soil Applied with Milk Vetch. Agronomy, 12(11), 2621. https://doi.org/10.3390/agronomy12112621

