Arthropod Community Responses Reveal Potential Predators and Prey of Entomopathogenic Nematodes in a Citrus Orchard
Abstract
1. Introduction
2. Materials and Methods
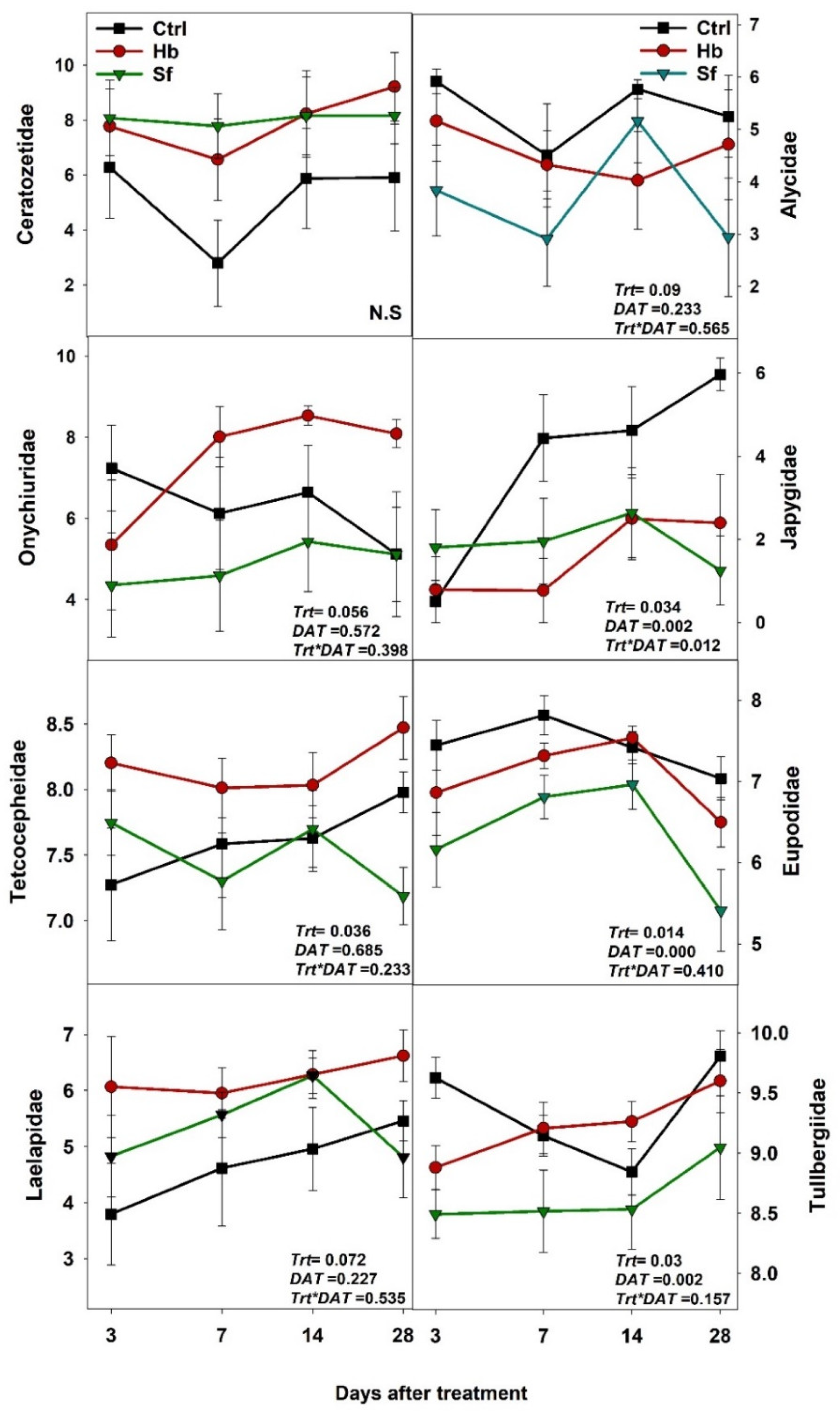
3. Results
4. Discussion
Supplementary Materials
Author Contributions
Funding
Institutional Review Board Statement
Informed Consent Statement
Data Availability Statement
Conflicts of Interest
References
- Steiner, G. Aplectana kraussei n. sp., eine in der Blattwespe Lyda sp. parasitierende Nematodenform, nebst Bemerkungen über das Seitenorgan der parasitischen Nematodenitle. Zentralblatt Bakteriol. Parasitenkd. Infekt. Krankheiten Hyg. 1923, 2, 14–18. [Google Scholar]
- Poinar, G.O.; Grewal, P.S. History of entomopathogenic nematology. J. Nematol. 2012, 44, 153–161. [Google Scholar] [PubMed]
- Stock, S.P. Diversity, Biology and Evolutionary Relationships. In Nematode Pathogenesis of Insects and Other Pests. Sustainability in Plant and Crop Protection; Campos-Herrera, R., Ed.; Springer: Cham, Switzerland, 2015. [Google Scholar] [CrossRef]
- Grewal, P.S.; Ehlers, R.U.; Shapiro-Ilan, D.I. Nematodes as Biocontrol Agent; Springer International Publishing: Cham, Switzerland, 2005; ISBN 0851990177. [Google Scholar]
- Parkman, J.P.; Hudson, W.G.; Frank, J.H.; Nguyen, K.B.; Smart, G.C. Establishment and Persistence of Steinernema scapterisci (Rhabditida: Steinernematidae) in Field Populations of Scapteriscus spp. Mole Crickets (Orthoptera: Gryllotalpidae). J. Entomol. Sci. 1993, 28, 182–190. [Google Scholar] [CrossRef]
- Lewis, E.E.; Campbell, J.F.; Gaugler, R. A conservation approach to using entomopathogenic nematodes in turf and landscapes. Conserv. Biol. Control 1998, 235–254. [Google Scholar] [CrossRef]
- Stuart, R.J.; El Borai, F.E.; Duncan, L.W. From Augmentation to Conservation of Entomopathogenic Nematodes: Trophic Cascades, Habitat Manipulation and Enhanced Biological Control of Diaprepes abbreviatus Root Weevils in Florida Citrus Groves. J. Nematol. 2008, 40, 73. [Google Scholar]
- Duncan, L.W.; Stuart, R.J.; El-Borai, F.E.; Campos-Herrera, R.; Pathak, E.; Giurcanu, M.; Graham, J.H. Modifying orchard planting sites conserves entomopathogenic nematodes, reduces weevil herbivory and increases citrus tree growth, survival and fruit yield. Biol. Control 2013, 64, 26–36. [Google Scholar] [CrossRef]
- Shields, E.J. Utilizing persistent entomopathogenic nematodes in a conservation or a more classical biological control approach. In Nematode Pathogenesis of Insects and Other Pests: Ecology and Applied Technologies for Sustainable Plant and Crop Protection; Springer International Publishing: Cham, Switzerland, 2015; pp. 165–184. ISBN 9783319182667. [Google Scholar]
- Hiltpold, I.; Toepfer, S.; Kuhlmann, U.; Turlings, T.C.J. How maize root volatiles affect the efficacy of entomopathogenic nematodes in controlling the western corn rootworm? Chemoecology 2010, 20, 155–162. [Google Scholar] [CrossRef]
- Campos-Herrera, R.; Blanco-Pérez, R.; Bueno-Pallero, F.Á.; Duarte, A.; Nolasco, G.; Sommer, R.J.; Rodríguez Martín, J.A. Vegetation drives assemblages of entomopathogenic nematodes and other soil organisms: Evidence from the Algarve, Portugal. Soil Biol. Biochem. 2019, 128, 150–163. [Google Scholar] [CrossRef]
- Smits, P.H. Post-application Persistence of Entomopathogenic Nematodes. Biocontrol Sci. Technol. 1996, 6, 379–388. [Google Scholar] [CrossRef]
- Griffin, C.T. Behaviour and population dynamics of entomopathogenic nematodes following application. In Nematode Pathogenesis of Insects and Other Pests: Ecology and Applied Technologies for Sustainable Plant and Crop Protection; Springer International Publishing: Cham, Switzerland, 2015; pp. 57–95. [Google Scholar] [CrossRef]
- Gaugler, R.; Bednarek, A.; Campbell, J.F. Ultraviolet inactivation of heterorhabditid and steinernematid nematodes. J. Invertebr. Pathol. 1992, 59, 155–160. [Google Scholar] [CrossRef]
- Campos-Herrera, R.; Pathak, E.; El-Borai, F.E.; Stuart, R.J.; Gutiérrez, C.; Rodríguez-Martín, J.A.; Graham, J.H.; Duncan, L.W. Geospatial patterns of soil properties and the biological control potential of entomopathogenic nematodes in Florida citrus groves. Soil Biol. Biochem. 2013, 66, 163–174. [Google Scholar] [CrossRef]
- Campos-Herrera, R.; El-Borai, F.E.; Rodríguez Martín, J.A.; Duncan, L.W. Entomopathogenic nematode food web assemblages in Florida natural areas. Soil Biol. Biochem. 2016, 93, 105–114. [Google Scholar] [CrossRef]
- Portillo-Aguilar, C.; Villani, M.G.; Tauber, M.J.; Tauber, C.A.; Nyrop, J.P. Entomopathogenic nematode (Rhabditida: Heterorhabditidae and steinernematidae) response to soil texture and bulk density. Environ. Entomol. 1999, 28, 1021–1035. [Google Scholar] [CrossRef]
- Kaspi, R.; Ross, A.; Hodson, A.K.; Stevens, G.N.; Kaya, H.K.; Lewis, E.E. Foraging efficacy of the entomopathogenic nematode Steinernema riobrave in different soil types from California citrus groves. Appl. Soil Ecol. 2010, 45, 243–253. [Google Scholar] [CrossRef]
- Campos-Herrera, R.; Stuart, R.J.; Pathak, E.; El-Borai, F.E.; Duncan, L.W. Temporal patterns of entomopathogenic nematodes in Florida citrus orchards: Evidence of natural regulation by microorganisms and nematode competitors. Soil Biol. Biochem. 2019, 128, 193–204. [Google Scholar] [CrossRef]
- Walter, D.E.; Ikonen, E.K. Species, guilds, and functional groups: Taxonomy and behavior in nematophagous arthropods. J. Nematol. 1989, 21, 315–327. [Google Scholar] [PubMed]
- Karagoz, M.; Gulcu, B.; Cakmak, I.; Kaya, H.K.; Hazir, S. Predation of entomopathogenic nematodes by Sancassania sp. (Acari: Acaridae). Exp. Appl. Acarol. 2007, 43, 85–95. [Google Scholar] [CrossRef]
- Oliveira, A.R.; De Moraes, G.J.; Ferraz, L.C.C.B. Consumption rate of phytonematodes by Pergalumna sp. (Acari: Oribatida: Galumnidae) under laboratory conditions determined by a new method. Exp. Appl. Acarol. 2007, 41, 183–189. [Google Scholar] [CrossRef]
- Denno, R.F.; Gruner, D.S.; Kaplan, I. Potential for entomopathogenic nematodes in biological control: A meta-analytical synthesis and insights from trophic cascade theory. J. Nematol. 2008, 40, 61–72. [Google Scholar]
- Wilson, M.; Gaugler, R. Factors limiting short-term persistence of entomopathogenic nematodes. J. Appl. Entomol. 2004, 128, 250–253. [Google Scholar] [CrossRef]
- Duncan, L.W.; Graham, J.H.; Zellers, J.; Bright, D.; Dunn, D.C.; El-Borai, F.E.; Porazinska, D.L. Food web responses to augmenting the entomopathogenic nematodes in bare and animal manure-mulched soil. J. Nematol. 2007, 39, 176–189. [Google Scholar]
- Greenwood, C.M.; Barbercheck, M.E.; Brownie, C. Short term response of soil microinvertebrates to application of entomopathogenic nematode-infected insects in two tillage systems. Pedobiologia (JENA) 2011, 54, 177–186. [Google Scholar] [CrossRef]
- Nermuť, J.; Zemek, R.; Mráček, Z.; Palevsky, E.; Půža, V. Entomopathogenic nematodes as natural enemies for control of Rhizoglyphus robini (Acari: Acaridae)? Biol. Control 2019, 128, 102–110. [Google Scholar] [CrossRef]
- Devi, G. Entomopathogenic Nematodes: Impacts on Non-target Invertebrates. Curr. J. Appl. Sci. Technol. 2022, 41, 1–12. [Google Scholar] [CrossRef]
- Timper, P.; Kaya, H.K.; Jaffee, B.A. Survival of entomogenous nematodes in soil infested with the nematode-parasitic fungus Hirsutella rhossiliensis (Deuteromycotina: Hyphomycetes). Biol. Control 1991, 1, 42–50. [Google Scholar] [CrossRef]
- Jaffee, B.A.; Strong, D.R. Strong bottom-up and weak top-down effects in soil: Nematode-parasitized insects and nematode-trapping fungi. Soil Biol. Biochem. 2005, 37, 1011–1021. [Google Scholar] [CrossRef]
- Jaffee, B.A.; Bastow, J.L.; Strong, D.R. Suppression of nematodes in a coastal grassland soil. Biol. Fertil. Soils 2007, 44, 19–26. [Google Scholar] [CrossRef]
- Pathak, E.; Campos–Herrera, R.; El–Borai, F.E.; Duncan, L.W. Spatial relationships between entomopathogenic nematodes and nematophagous fungi in Florida citrus orchards. J. Invertebr. Pathol. 2017, 144, 37–46. [Google Scholar] [CrossRef]
- El-Borai, F.E.; Duncan, L.W.; Preston, J.F. Bionomics of a Phoretic Association between Paenibacillus sp. and the Entomopathogenic Nematode Steinernema diaprepesi. J. Nematol. 2005, 37, 18–25. [Google Scholar]
- Enright, M.E.; McInerney, J.O.; Griffin, C.T. Characterization of endospore-forming bacteria associated with entomopathogenic nematodes, Heterorhabditis spp., and description of Paenibacillus nematophilus sp. nov. Int. J. Syst. Evol. Microbiol. 2003, 53, 435–441. [Google Scholar] [CrossRef]
- Ishibashi, N.; Kondo, E. Dynamics of the Entomogenous Nematode Steinernema feltiae Applied to Soil with and without Nematicide Treatment. J. Nematol. 1987, 19, 404–412. [Google Scholar] [PubMed]
- Duncan, L.W.; Graham, J.H.; Dunn, D.C.; Zellers, J.; McCoy, C.W.; Nguyen, K. Incidence of endemic entomopathogenic nematodes following application of Steinernema riobrave for control of Diaprepes abbreviatus. J. Nematol. 2003, 35, 178–186. [Google Scholar] [PubMed]
- Campos-Herrera, R.; Půža, V.; Jaffuel, G.; Blanco-Pérez, R.; Čepulyte-Rakauskiene, R.; Turlings, T.C.J. Unraveling the intraguild competition between Oscheius spp. nematodes and entomopathogenic nematodes: Implications for their natural distribution in Swiss agricultural soils. J. Invertebr. Pathol. 2015, 132, 216–227. [Google Scholar] [CrossRef] [PubMed]
- Torr, P.; Spiridonov, S.E.; Heritage, S.; Wilson, M.J. Habitat associations of two entomopathogenic nematodes: A quantitative study using real-time quantitative polymerase chain reactions. J. Anim. Ecol. 2007, 76, 238–245. [Google Scholar] [CrossRef]
- Campos-Herrera, R.; El-Borai, F.E.; Stuart, R.J.; Graham, J.H.; Duncan, L.W. Entomopathogenic nematodes, phoretic Paenibacillus spp., and the use of real time quantitative PCR to explore soil food webs in Florida citrus groves. J. Invertebr. Pathol. 2011, 108, 30–39. [Google Scholar] [CrossRef]
- Dritsoulas, A.; El-Borai, F.E.; Shehata, I.E.; Hammam, M.M.; El-Ashry, R.M.; Mohamed, M.M.; Abd-Elgawad, M.M.; Duncan, L.W. Reclaimed desert habitats favor entomopathogenic nematode and microarthropod abundance compared to ancient farmlands in the Nile Basin. J. Nematol. 2021, 53, 1–13. [Google Scholar] [CrossRef]
- Duncan, L.W.; McCoy, C.W.; Terranova, A.C. Estimating sample size and persistence of entomogenous nematodes in sandy soils and their efficacy against the larvae of diaprepes abbreviatus in Florida. J. Nematol. 1996, 28, 56–67. [Google Scholar]
- Campos-Herrera, R.; Barbercheck, M.; Hoy, C.W.; Stock, S.P. Entomopathogenic nematodes as a model system for advancing the frontiers of ecology. J. Nematol. 2012, 44, 162–176. [Google Scholar]
- Somasekhar, N.; Grewal, P.S.; De Nardo, E.A.B.; Stinner, B.R. Non-target effects of entomopathogenic nematodes on the soil nematode community. J. Appl. Ecol. 2002, 39, 735–744. [Google Scholar] [CrossRef]
- Jenkins, W.R.B. A rapid centrifugal-flotation technique for separating nematodes from soil. Plant Dis. Report. 1964, 48, 692. [Google Scholar]
- Curran, J.; Driver, F.; Ballard, J.W.O.; Milner, R.J. Phylogeny of Metarhizium: Analysis of ribosomal DNA sequence data. Mycol. Res. 1994, 98, 547–552. [Google Scholar] [CrossRef]
- Leray, M.; Yang, J.Y.; Meyer, C.P.; Mills, S.C.; Agudelo, N.; Ranwez, V.; Boehm, J.T.; Machida, R.J. A new versatile primer set targeting a short fragment of the mitochondrial COI region for metabarcoding metazoan diversity: Application for characterizing coral reef fish gut contents. Front. Zool. 2013, 10, 34. [Google Scholar] [CrossRef] [PubMed]
- Geller, J.; Meyer, C.; Parker, M.; Hawk, H. Redesign of PCR primers for mitochondrial cytochrome c oxidase subunit I for marine invertebrates and application in all-taxa biotic surveys. Mol. Ecol. Resour. 2013, 13, 851–861. [Google Scholar] [CrossRef] [PubMed]
- Callahan, B.J.; McMurdie, P.J.; Rosen, M.J.; Han, A.W.; Johnson, A.J.A.; Holmes, S.P. DADA2: High-resolution sample inference from Illumina amplicon data. Nat. Methods 2016, 13, 581–583. [Google Scholar] [CrossRef]
- Mendiburu, F.; Yaseen, M. Agricolae: Statistical Procedures for Agricultural Research. R package version 1.4.0. 2020. Available online: https://myaseen208.github.io/agricolae/https://cran.r-project.org/package=agricolae.
- Ter Braak, C.J.F. Biometris--quantitative methods in the life and earth sciences. Plant Res. Int. Wageningen Univ. Res. Centre, Box 2009, 100, 6700. [Google Scholar]
- Strong, D.R. Populations of entomopathogenic nematodes in foodwebs. Entomopathog. Nematol. 2002, 225–240. [Google Scholar] [CrossRef]
- Bik, H.M.; Fournier, D.; Sung, W.; Bergeron, R.D.; Thomas, W.K. Intra-Genomic Variation in the Ribosomal Repeats of Nematodes. PLoS ONE 2013, 8, e78230. [Google Scholar] [CrossRef]
- Lopes, E.A.; Roberts, D.M.; Blok, V.C. Variable ITS-copy number at different developmental stages of Meloidogyne hapla and M. chitwoodi. Eur. J. Plant Pathol. 2019, 154, 843–848. [Google Scholar] [CrossRef]
- Millar, L.C.; Barbercheck, M.E. Interaction between Endemic and Introduced Entomopathogenic Nematodes in Conventional-Till and No-Till Corn. Biol. Control 2001, 22, 235–245. [Google Scholar] [CrossRef]
- Kenney, E.; Eleftherianos, I. Entomopathogenic and plant pathogenic nematodes as opposing forces in agriculture. Int. J. Parasitol. 2016, 46, 13–19. [Google Scholar] [CrossRef]
- Grewal, P.S.; Lewis, E.E.; Gaugler, R. Response of Infective Stage Parasites (Nematoda: Steinernematidae) to Volatile Cues from Infected Hosts. J. Chem. Ecol. 1997, 23, 503–515. [Google Scholar] [CrossRef]
- Pérez, E.E.; Lewis, E.E. Use of entomopathogenic nematodes to suppress Meloidogyne incognita on greenhouse tomatoes. J. Nematol. 2002, 34, 171–174. [Google Scholar] [PubMed]
- Jagdale, G.B.; Holladay, T.; Brannen, P.M.; Cline, W.O.; Agudelo, P.; Nyczepir, A.P.; Noe, J.P. Incidence and pathogenicity of plant-parasitic nematodes associated with blueberry (Vaccinium spp.) replant disease in Georgia and North Carolina. J. Nematol. 2013, 45, 92–98. [Google Scholar] [PubMed]
- Kamali, S.; Javadmanesh, A.; Stelinski, L.L.; Kyndt, T.; Seifi, A.; Cheniany, M.; Zaki-Aghl, M.; Hosseini, M.; Heydarpour, M.; Asili, J.; et al. Beneficial worm allies warn plants of parasite attack below-ground and reduce above-ground herbivore preference and performance. Mol. Ecol. 2022, 31, 691–712. [Google Scholar] [CrossRef] [PubMed]
- Campos-herrera, R.; El-borai, F.E.; Duncan, L.W. Wide interguild relationships among entomopathogenic and free-living nematodes in soil as measured by real time qPCR. J. Invertebr. Pathol. 2012, 111, 126–135. [Google Scholar] [CrossRef]
- Blanco-Pérez, R.; Vicente-Díez, I.; Pou, A.; Pérez-Moreno, I.; Marco-Mancebón, V.S.; Campos-Herrera, R. Organic mulching modulated native populations of entomopathogenic nematode in vineyard soils differently depending on its potential to control outgrowth of their natural enemies. J. Invertebr. Pathol. 2022, 192, 107781. [Google Scholar] [CrossRef]
- Dillman, A.R.; Chaston, J.M.; Adams, B.J.; Ciche, T.A.; Goodrich-Blair, H.; Stock, S.P.; Sternberg, P.W. An entomopathogenic nematode by any other name. PLoS Pathog. 2012, 8, e1002527. [Google Scholar] [CrossRef]
- Epsky, N.D.; Walter, D.E.; Capinera, J.L. Potential Role of Nematophagous Microarthropods as Biotic Mortality Factors of Entomogenous Nematodes (Rhabditida: Steinernematidae, Heterorhabditidae). J. Econ. Entomol. 1988, 81, 821–825. [Google Scholar] [CrossRef]
- Joharchi, O.; Nazari, A.; Halliday, B.; Ostovan, H. Observations on predation of Rhizoglyphus robini (Acari: Acaridae) on the alfalfa stem nematode, Ditylenchus dipsaci (Nematoda). Persian J. Acarol. 2015, 4, 329–335. [Google Scholar] [CrossRef]
- Gilmore, S.K. Collembola predation on nematodes. Search Agric. Entomol. Limnol. 1970, 1, 1–12. [Google Scholar]
- Thimm, T.; Hoffmann, A.; Borkott, H.; Munch, J.C.; Tebbe, C.C. The gut of the soil microarthropod Folsomia candida (Collembola) is a frequently changeable but selective habitat and a vector for microorganisms. Appl. Environ. Microbiol. 1998, 64, 2660–2669. [Google Scholar] [CrossRef] [PubMed]
- Walter, D.E.; Stirling, G.R. Microarthropods in Australian sugarcane soils: A survey with emphasis on the mesostigmata as potential regulators of nematode populations. Acarologia 2018, 58, 673–682. [Google Scholar] [CrossRef]
- Pilliod, D.S.; Goldberg, C.S.; Arkle, R.S.; Waits, L.P. Factors influencing detection of eDNA from a stream-dwelling amphibian. Mol. Ecol. Resour. 2014, 14, 109–116. [Google Scholar] [CrossRef] [PubMed]
- Sasso, T.; Lopes, C.M.; Valentini, A.; Dejean, T.; Zamudio, K.R.; Haddad, C.F.B.; Martins, M. Environmental DNA characterization of amphibian communities in the Brazilian Atlantic forest: Potential application for conservation of a rich and threatened fauna. Biol. Conserv. 2017, 215, 225–232. [Google Scholar] [CrossRef]
- Zhou, J.; Xia, B.; Treves, D.S.; Wu, L.Y.; Marsh, T.L.; O’Neill, R.V.; Palumbo, A.V.; Tiedje, J.M. Spatial and resource factors influencing high microbial diversity in soil. Appl. Environ. Microbiol. 2002, 68, 326–334. [Google Scholar] [CrossRef]
- Jaffuel, G.; Krishnamani, S.; Machado, R.A.R.; Campos-Herrera, R.; Turlings, T.C.J. Potent Ant Deterrents Emitted from Nematode-Infected Insect Cadavers. J. Chem. Ecol. 2022, 48, 71–78. [Google Scholar] [CrossRef]
- Poole, M.A. Survey and Control Efficacy of Endoparasites of Solenopsis Richteri Forel and Solenopsis Invicta Buren in Mississippi; Mississippi State University: Starkville, MA, USA, 1976. [Google Scholar]
- Jouvenaz, D.P.; Lofgren, C.S.; Miller, R.W. Steinernematid Nematode Drenches for Control of Fire Ants, Solenopsis invicta, in Florida. Florida Entomol. 1990, 73, 190–193. [Google Scholar] [CrossRef]
- Morris, J.R.; Stewart, K.W.; Hassage, R.L. Use of the Nematode Steinernema carpocapsae for Control of the Red Imported Fire Ant (Hymenoptera: Formicidae). Florida Entomol. 1990, 73, 675–677. [Google Scholar] [CrossRef]
- Helder, J.; Heuer, H. Let’s be inclusive - the time of looking at individual plant parasitic nematodes is over, and new technologies allow for it. In Integrated Nematode Management: State-of-the-Art and Visions for the Future; CABI: Wallingford, UK, 2022; pp. 403–407. [Google Scholar]
- Walter, D.E.; Proctor, H.C. Mites: Ecology, Evolution, and Behaviour; CABI: Wallingford, UK, 1999. [Google Scholar]
- Skoracka, A.; Magalhães, S.; Rector, B.G.; Kuczyński, L. Cryptic speciation in the Acari: A function of species lifestyles or our ability to separate species? Exp. Appl. Acarol. 2015, 67, 165–182. [Google Scholar] [CrossRef]






| Hb | Sf | |||
|---|---|---|---|---|
| Sampling Day | Mean | SE | Mean | SE |
| 3rd | 7135.82 | 2500.1 | 91,180.1 | 29,235.3 |
| 7th | 6085.63 | 1373.1 | 76,452.6 | 31,251.9 |
| 14th | 2244.35 | 616 | 81,742.2 | 49,325.8 |
| 28th | 3285.4 | 1373.5 | 57,997.7 | 26,907.1 |
| Ctrl | Hb | Sf | |||||||
|---|---|---|---|---|---|---|---|---|---|
| Group | Mean | Std Error | Mean | Std Error | Mean | Std Error | |||
| Microarthropods | 65.19 | 1.81 | ab | 65.53 | 1.98 | a | 59.63 | 1.88 | b |
| Mites | 53.88 | 1.74 | ab | 55.34 | 1.84 | a | 49.44 | 1.58 | b |
| Collembola | 5.75 | 0.25 | a | 5.44 | 0.22 | a | 5.31 | 0.24 | a |
| Insects | 32.59 | 1.07 | a | 30.44 | 1.20 | ab | 26.78 | 0.87 | b |
| Nematodes | 8.94 | 0.20 | a | 8.53 | 0.27 | ab | 7.94 | 0.22 | b |
| Accession | R2/R2(adj) | Treatment | Sampling Day | Interaction | Ctrl | Hb | Sf | Description | Family | Abundance | Freq in Trees | Total Freq | |||
|---|---|---|---|---|---|---|---|---|---|---|---|---|---|---|---|
| Microarthropods | |||||||||||||||
| JX836034.1 | 0.396/0.316 | 0.011 | 0.688 | 0.740 | 348.30 | b | 910.85 | a | 89.35 | b | Oppiidae sp. MYMCC093-11 voucher BIOUG01067-93 | Oppiidae | 43,152 | 0.75 | 0.43 |
| MG316849.1 | 0.368/0.284 | 0.029 | 0.386 | 0.131 | 227.54 | a | 105.87 | ab | 50.25 | b | Eupodidae sp. BIOUG25723-A11 | Eupodidae | 12,277 | 0.96 | 0.68 |
| MG320390.1 | 0.472/0.403 | 0.034 | 0.008 | 0.640 | 783.33 | ab | 933.56 | a | 597.27 | b | Tydeidae sp. BIOUG25166-E03 | Tydeidae | 74,053 | 1.00 | 0.89 |
| MN349530.1 | 0.282/0.188 | 0.034 | 0.150 | 0.292 | 525.53 | a | 721.48 | a | 304.87 | b | Eupodidae sp. BIOUG23551-E05 | Eupodidae | 49,660 | 1.00 | 0.96 |
| MG321080.1 | 0.323/234 | 0.046 | 0.095 | 0.821 | 34.77 | a | 20.82 | ab | 12.66 | b | Eupodidae sp. BIOUG25167-C10 | Eupodidae | 2184 | 0.75 | 0.36 |
| MG317718.1 | 0.475/0.407 | 0.022 | 0.555 | 0.083 | 74.90 | ab | 98.40 | a | 10.90 | b | Tydeidae sp. BIOUG26106-F03 | Tydeidae | 6851 | 0.71 | 0.33 |
| Insects | |||||||||||||||
| GQ255183.1 | 0.472/0.403 | 0.017 | 0.576 | 0.244 | 6417.96 | a | 4665.52 | ab | 1819.52 | b | Myrmica semiparasitica voucher GJ533 | Formicidae | 82,665 | 1 | 0.96 |
| HM906951.1 | 0.393/0.314 | 0.021 | 0.127 | 0.715 | 908.27 | b | 2067.97 | a | 871.40 | ab | Stamnodes affiliata voucher BIOUG<CAN>:CCGBOLD00082 | Geometridae | 26,988 | 1 | 0.98 |
| Nematodes | |||||||||||||||
| NA | 0.360/0.276 | 0.003 | 0.601 | 0.973 | 410.9 | a | 262.4 | a | 140.5 | b | Acrobeles complexus | Cephalobidae | 26,039 | 1.00 | 0.94 |
| NA | 0.648/0.601 | 0.065 | 0.564 | 0.038 | 1862.0 | a | 1672.2 | ab | 482.9 | b | Acrobeloides saeedi | Cephalobidae | 128,546.02 | 1.00 | 0.99 |
Publisher’s Note: MDPI stays neutral with regard to jurisdictional claims in published maps and institutional affiliations. |
© 2022 by the authors. Licensee MDPI, Basel, Switzerland. This article is an open access article distributed under the terms and conditions of the Creative Commons Attribution (CC BY) license (https://creativecommons.org/licenses/by/4.0/).
Share and Cite
Dritsoulas, A.; Wu, S.-Y.; Regmi, H.; Duncan, L.W. Arthropod Community Responses Reveal Potential Predators and Prey of Entomopathogenic Nematodes in a Citrus Orchard. Agronomy 2022, 12, 2502. https://doi.org/10.3390/agronomy12102502
Dritsoulas A, Wu S-Y, Regmi H, Duncan LW. Arthropod Community Responses Reveal Potential Predators and Prey of Entomopathogenic Nematodes in a Citrus Orchard. Agronomy. 2022; 12(10):2502. https://doi.org/10.3390/agronomy12102502
Chicago/Turabian StyleDritsoulas, Alexandros, Sheng-Yen Wu, Homan Regmi, and Larry W. Duncan. 2022. "Arthropod Community Responses Reveal Potential Predators and Prey of Entomopathogenic Nematodes in a Citrus Orchard" Agronomy 12, no. 10: 2502. https://doi.org/10.3390/agronomy12102502
APA StyleDritsoulas, A., Wu, S.-Y., Regmi, H., & Duncan, L. W. (2022). Arthropod Community Responses Reveal Potential Predators and Prey of Entomopathogenic Nematodes in a Citrus Orchard. Agronomy, 12(10), 2502. https://doi.org/10.3390/agronomy12102502

