Abstract
Fodder galega (Galega orientalis) is a perennial, wintering plant with great potential for agricultural development. The species has a large yield potential and exceptional adaptability to various environmental conditions. The sensitivity of G. orientalis to herbicides, however, as well as the photosynthetic performance of the species, are generally unknown. Our study aimed to evaluate the effects of the application of selected phenoxy herbicides (MCPA, MCPB) and the imidazoline family herbicide (IMA) on the parameters of primary photosynthetic processes as understood through fast chlorophyll fluorescence kinetics (OJIP). The effect of cultivation temperature was also investigated in the plants grown at 5, 18 and 25 °C. Time courses of OJIP-derived parameters describing photosystem II functioning after foliar application revealed that the plants showed negative responses to the herbicides in the order MCPB–MCPA–IMA within 24 h after the application. The application of herbicides decreased the values of maximum chlorophyll fluorescence (FM) and increased minimum fluorescence (F0), which led to a reduction in the maximal efficiency of PSII (FV/FM). Applications of MCPA and MCPB decreased variable chlorophyll fluorescence at 2 ms (VJ), 30 ms (VI) and VP, as well as the performance index (PIABS), which is considered a vitality proxy. The application increased absorption flux (ABS/RC), trapped energy flux (TRo/RC) and dissipated energy flux (DIo/RC). The effects were more pronounced in plants grown at 18 and 25 °C. The study revealed that the OJIP-derived parameters sensitively reflected an early response of G. orientalis to the foliar application of herbicides. Negative responses of PSII were more apparent in MCPA- and MCPB- exposed plants than IMA-exposed plants.
1. Introduction
The effects and plant responses to herbicide application depend on the mode of action, dose and plant species [1]. Negative effects of herbicides on plants have been reviewed and the compounds classified into three functional/action groups [2]: (1) those interacting directly with photosynthesis (inhibitors of photosystem I and II), (2) those inhibiting carotenoid synthesis and (3) those with mechanisms of action generating reactive oxygen species and lipid peroxidation (uncouplers and inhibitors of protoporphyrinogen oxidase). Some studies (e.g., [3]) also describe growth-inhibiting herbicides. They are growth regulator herbicides that consist of synthetic auxin and auxin transport inhibitor compounds. Phenoxyacetic acid-based chemicals (see below) belong to this group. For plants affected by any of these groups, induced chlorophyll fluorescence is a good biomarker capable of identifying certain herbicide modes and actions. Herbicide resistance to photosystem II inhibitors was reviewed in [4]. Photosystem II inhibitors are considered to inhibit the Qb-binding niche of the D1 protein in the photosystem II complex. Photosystem II inhibitors are further subclassified into numerous chemical classes.
In our study, we used two phenoxy herbicides (MCPA, MCPB) and IMA to investigate their effects on the photosynthetic apparatus of an experimental plant. MCPA (4-chloro-2-methyl-phenoxy acid) belongs to the group of phenoxy (auxin) herbicides that have the same metabolism as natural auxin IAA. Auxinic herbicides have an aromatic ring and a carboxylic acid moiety, as does IAA, and contain four major chemical groups, including quinolinecarboxylic acids (e.g., quinmerac and quinclorac), pyridinecarboxylic acids (e.g., picloram, clopyralid and triclopyr), a benzoic acid (e.g., dicamba) and phenoxyalknoic acids (e.g., 2,4-D and MCPA) [5]. The application of MCPA leads to the imbalance of plant hormones and stimulates the biosynthesis of ethylene (ET) and abscisic acid (see [6,7]). Negative effects of MCPA on chlorophyll and carotenoid content have been reported by Žaltauskaitė and Kišonaitė [8]. MCPB (4-(4-chloro-2-methylphenoxy) butanoic acid) is an herbicide used for post-emergence control of annual and perennial broad-leaved weeds [9]. Its mode of action is a negative effect on cell division in plant meristems which leads to leaf/stem deformations and consequently to plant death.
Imazethapyr (IMA) is used for weed control because IMA provides a high spectrum of action against weeds [10]. IMA is an herbicide from the imidazoline family and acts as an inhibitor of cell metabolism. The herbicides from the imidazoline family have been reported to inhibit the enzyme acetohydroxyacid synthase, which is involved in the synthesis of branched-chain amino acids in plants [11]. Negative effects of IMA application on plant growth were reported by Asad et al. [12].
The phytotoxic effects of phenoxy herbicides on photosynthetic processes are caused by high concentrations of biosynthesized abscisic acid leading to reduction of stomatal conductance. As a consequence, inhibition of transpiration and CO2 assimilation occurs [13]. These primary effects are followed by general leaf senescence with chloroplast damage and by the destruction of membrane and vascular system integrity and plant death [6]. Despite numerous studies focused on the use of the chlorophyll fluorescence method in detection of herbicides, there are negative effects on physiological processes, plant growth (e.g., [14]) and photosystem II functioning (e.g., see [15]), but the effects of phenoxy herbicides on primary photosynthetic processes have rarely been studied. In this study, therefore, we tested the effects of MCPA, MCPB and IMA on photosystem II of fodder galega (Galega orientalis Lam.), a fast-growing perennial forage legume. The species is a prospective plant for agriculture [16] because of its relatively high growth rate and its low nutritional requirements and positive effect on soil fertility [17,18]. Moreover, it has the potential for acquisition of inexpensive energy from its biomass and possible medicinal applications because of its high contents of antioxidants, such as phenolic acids and flavonoids [19]. In G. orientalis, the chlorophyll fluorescence technique has been used for the evaluation of in situ growth [19]. The studies focused on photosynthesis of the species as addressed through different aspects of leaf level, such as photosynthetic pigment [20] and antioxidative compound contents [21]. Photosynthetic activity of the species was investigated by Eryashev and Eryashev [22]. In our study, we used an approach involving fast chlorophyll fluorescence kinetics (OJIP) to detect the herbicide-induced stress of the photosynthetic apparatus of G. orientalis.
The aim of the study was to evaluate the effects of selected herbicides (MCPA, MCPB and IMA) on primary photosynthetic processes of G. orientalis and to find sensitive, fast-responding chlorophyll fluorescence parameters that could be used for the early indication of MCPA-, MCPB- and IMA-caused stress in G. orientalis. We focused on the identification of the target site in PSII, where the actions of MCPA, MCPB and IMA most negatively affect PSII functioning. We hypothesized that MCPA and MCPB would have more negative effects on the OJIP-derived parameters of photosynthetic processes in PSII than IMA because of their different modus of action. We also expected a more rapid negative response of the OJIP-derived parameters to MCPA and MCPB exposition than IMA exposition. Field application of the herbicides may occur under a wide variety of environmental conditions, but its success is focused on the interacting effect of air temperature with the herbicides effects. We thus hypothesized that at low temperatures (7 °C), in which stomatal conductance decreases and leaf gas exchange is limited, the negative effects of the herbicides on the photochemical photosynthesis would be less pronounced than at more favorable temperatures (18 and 25 °C used in this study) for plant physiology.
2. Materials and Methods
2.1. Plant Cultivation
Prior to sowing, the seeds were stratified for 96 h in the dark at 4 °C. Stratified seeds were sown in a peat-based growing substrate RS I (Agro profi, Říkov, Czech Republic) with the following composition: 70% white peat, 30% black peat, 20 kg m−3 bentonite. The chemical characteristics were as follows: pH (H2O) 5.5–6.5, N 190 ± 20 mg L−1, P2O5 200 ± 18 mg L−1, K2O of 220 ± 23 mg L−1.
The plants were cultivated in planters measuring 7 × 5 cm. G. orientalis plants were grown under the following conditions: (1) 16/8 day/night period and (2) photosynthetic active radion of 330–350 μmol m−2 s−1. Cultivation temperature differed for particular growth phases. It was 13/9 °C for germination and initial growth (31 days), then 15/11 and 18/13 °C for the next 11 and 13 days. The temperatures were set as close as possible to the field conditions for sowing to application of the herbicides.
Before the experiments, the potted plants of G. orientalis were cultivated in a greenhouse at three different temperatures, 7, 18 and 25 °C, for 10 days so that the interactive effects of temperature and exposure to herbicides could be evaluated in the follow-up experiments. During the cultivation, the plants were regularly watered and their vigor was regularly checked.
2.2. Application of Herbicides
Foliar applications of three herbicides (MCPA, MCPB and IMA) were carried out by spraying the plants under laboratory conditions. Before application, the experimental plants were allowed 6 h acclimation to room temperature and humidity. The herbicides were applied as an aerosol spray (application of 2 mL) in the following concentrations: 1.66 g L−1 (MCPA), 2.57 g L−1 (MCPB), and 66.8 mg L−1 (IMA). A DASH® (BASF) wetting agent at a concentration 1.7 g L−1 was added to all herbicide treatments and the control to enhance the intake of the herbicides into a leaf. The DASH® agent is a mixture of fatty acid methyl esters and phosphoric acid alkyl ester. Control plants were only sprayed by the wetting agent.
2.3. Chlorophyll Fluorescence Measurements
Fast Chla fluorescence induction kinetics (OJIP) were measured using a FluorPen fluorometer (Photon Systems Instruments, Drásov, Czech Republic). The OJIP were measured for the first mature upper leaves of untreated plants first (control) and then for plants on which the herbicides were applied (foliar application). Throughout the experiment, the OJIP measurements were carried out on the same leaves and spots on which the predarkening clips were placed (see below). Before the measurements, leaves were predarkened for 10 min (i.e., dark acclimation) in a darkening clip in order to fully oxidize reaction centers of photosystem II. Then OJIP were recorded for 2 s using a standard protocol of the FluorPen software. The measured values of chlorophyll fluorescence formed the polyphasic rise with typical well-distinguishable levels O-J-I-P. For the O-J-I-P levels, chlorophyll fluorescence was evaluated for particular times of the record by the software (in brackets); i.e., F0 (50 µs), FJ (2 ms), FI (30 ms) and Fp (1 s). The OJIP-derived parameters were calculated by the FluorPen software using the equations published in [23,24,25]. The OJIP-derived parameters of chlorophyll fluorescence were downloaded from the instrument. The parameters selected for this study are presented in Table 1. They were used for the construction of the time courses of particular parameters as dependent on a particular herbicide and temperature.
Table 1.
Overview and characteristics of the chlorophyll fluorescence parameters derived from the fast chlorophyll fluorescence kinetics (OJIP). Adopted from Stirbet et al. [26]. ABS—absorption, RC—reaction center, Mo—initial slope of the OJIPs, Phi_Po—maximum quantum yield of primary PS II photochemistry, Psi_Eo—efficiency (probability) of photosynthetic electron transport.
2.4. Statistical Analysis
If not stated otherwise, statistical analysis was done using STATISTICATM v. 14 (StatSoft, Hamburg, Germany) to determine the effects of particular herbicides and cultivation temperatures.
3. Results
3.1. Chlorophyll Fluorescence Parameters
Basic chlorophyll fluorescence (F0) was affected by MCPA and MCPB to a great extent (Figure 1). It increased slightly after the application of herbicides (time 0–3 h) and then decreased with the time of exposure to the minimum values found after 24 and/or 48 h. Such a response was found in the plants treated at 18 and 25 °C. At a low temperature (7 °C), however, only a slight increase with the time of exposure to MCPA and MCPB appeared. For the IMA treatment, F0 remained more or less constant and showed only a slight decrease after 48 h of exposure.
Figure 1.
Background chlorophyll fluorescence (F0) as affected by MCPA, MCPB and IMA in G. orientalis cultivated at three different temperatures (7, 18 and 25 °C). Data points represent means of five replicates ± standard deviation. The replicates were five leaves, each on a different plant. The data related to the measurements taken after 48 h of exposition at 7 °C are missing because of a fatal error during the downloading of the data from a FluorPen instrument (data lost).
A similar response to the MCPA and MCPB applications was found for particular chlorophyll fluorescence signals (FJ, FI, FP) derived from OJIP. They decreased with time of exposure (Figure 2), apparently more in the plants treated at 18 and 25 °C. At the two temperatures, however, FJ, FI and FP did not show any initial increase but rather a continuous decrease from the very beginning of exposure. In the plants treated at 7 °C, either no change or a slight increase was seen for FJ, FI and FP (time 0–5 h), followed by a decrease. In IMA-exposed plants, a slight decrease with time was apparent but hardly distinguishable from the control, which decreased slightly as well.
Figure 2.
Chlorophyll fluorescence signals (absolute values of VJ, VI and VP) as affected by the exposure of G. orientalis plants to MCPA, MCPB and IMA. The plants were cultivated at three different temperatures (7, 18 and 25 °C). Data points represent means of five replicates ± standard deviation. The replicates were five leaves, each on a different plant.
The MCPA- and MCPB-induced decrease was apparent in the VJ and VI parameters. The decrease followed an S-curve in all temperature treatments and was more pronounced at 18 and 25 °C. The VJ, and VI parameters showed a less pronounced decrease with time, both in the control and IMA-exposed plants. This was more apparent in the plants cultivated at 7 than at 18 and 25 °C, respectively.
Negative effects of the MCPA and MCPB applications on the capacity of primary photosynthetic processes in photosystem II (FV/FM) were apparent and became more pronounced with the time of the herbicide application (Figure 3). The (FV/FM) values, however, showed some increase after 18 h, indicating acclimatory changes in PSII (see Section 4). FV/FM in IMA-exposed plants remained unaffected for the plants treated at 25 °C and stayed similar to untreated control. For the plants treated at 18/7 °C, an increase/decrease of FV/FM was apparent (compared to control) with time of exposition.
Figure 3.
Capacity of photochemical reactions of photosynthesis in PSII (FV/FM) as affected by MCPA, MCPB and IMA in G. orientalis cultivated at three different temperatures (7, 18 and 25 °C). Data points represent means of five replicates ± standard deviation. The replicates were five leaves, each on a different plant.
Effectivities of particular processes in PSII were affected mainly by the exposure to MCPA and MCPB. Apparent negative effects were found for FV/FM (for the maximum quantum yield of primary photochemical processes in PSII, see Figure 3) and for Phi_Pav for the exposure time longer than 5 h (Figure 4). Positive effects were found for Phi_Do (quantum yield of thermal dissipation), Psi_o (probability that trapped exciton moves electron to Quinone A) and Phi_Eo (quantum yield of photosynthetic electron transport). In the latter two, however, the response to the time of exposure to MCPA and MCPB was biphasic in the plants treated at 18 and 25 °C. The values showed a decrease in the period from 0–5 h, then an increase with the time of exposure. For all temperature treatments, the plants exposed to IMA did not exhibit significant differences in the time courses of Phi_Po, Phi_Pav, Phi_Do, Psi_o and Psi_Eo. The performance index (PI_abs), which reflects the overall vitality of PSII, decreased in the control and all herbicide treatments with the time of exposure (Figure 5). The most remarkable decreases were found in the plants with MCPA and MCPB applications, and they were apparently stronger in the 18 and 25 °C treatments. No temperature-related difference was found the PI_abs decrease in the IMA-exposed plants.
Figure 4.
Effective quantum yields of particular photosynthetic processes in PSII (Phi_Pav, Phi_Do, Phi_Eo and Psi_Eo) as affected by MCPA, MCPB and IMA in G. orientalis cultivated at three different temperatures (7, 18 and 25 °C). Data points represent means of five replicates ± standard deviation. The replicates were five leaves, each on a different plant.
Figure 5.
Time course of the performance index (PI_abs) after the application of herbicides (MCPA, MCPB and IMA) on Galea orientalis cultivated at three different temperatures (7, 18 and 25 °C).
The parameters related to the processes of absorbed energy conversion in PSII, i.e., absorption per reaction center (ABS/RC), trapping rate per reaction center (TRo/RC) and electron transport rate (ETo/RC), showed somewhat similar courses (Figure 6) with the time of exposure. The control plant showed almost identical response curves as the IMA-exposed ones. The responses typically showed almost constant values over the course of time, with a slight increase found after the 24 and 48 h exposure. In the MCPA- and MCPB-exposed plants, however, there was a remarkable increase in the ABS/RC, TRo/RC and ETo/RC parameters, starting typically after a 5 h exposure and increasing with following exposures. Thermal dissipation of absorbed light energy (DIo/RC) was affected positively by the MCPA and MCPB exposure. The increase in DIo/RC started after the 5 h exposure of plants to MCPA and MCPB. The increase stopped after 18–24 h and the DIo/RC values showed a decrease at the end of the exposure time.
Figure 6.
OJIP-derived parameters (ABS/RC, TRo/RC, ETo/RC and DIo/DC) as affected by MCPA, MCPB and IMA in G. orientalis cultivated at three different temperatures (7, 18 and 25 °C). Data points represent means of five replicates ± standard deviation. The replicates were five leaves, each on a different plant.
3.2. Herbicide Effects on OJIP Shape
Exposure of plants to MCPA and MCPB had a more apparent negative effect on OJIP shape than the exposure to IMA. MCPA and MCPB caused a substantial decrease in chlorophyll fluorescence signal; this was demonstrated as a “flattening” of the OJIP curves with time of exposure (Figure 7, only data for 24 h exposition are shown; Figure 7 would be too complex and not as meaningful if we presented all mean OJIP curves recorded after 1/2/3/5/18/24/48 h of exposure time). The selected 24-h data demonstrate the phenomenon of the flattening of the OJIP in the MCPA- and MCPB-exposed plants. The decrease in the chlorophyll fluorescence signal became more pronounced with the increased time of exposure (see, e.g., the decrease in OJIP at 18 °C at time 0 and after 24 h exposure to MCPA and MCPB in Figure 7). Another phenomenon was the MCPA- and MCPB-induced increase in the relative chlorophyll fluorescence signal at points J and I, which can be clearly seen from the normalized OJIP curves (see Figure 8).
Figure 7.
Fast chlorophyll fluorescence kinetics (OJIP) in absolute values recorded before the application of herbicides (left panel) in the plants exposed for 24 h to MCPA, MCPB and IMA (right panel). The OJIP curves are means of five replicates and presented for the plants of G. orientalis cultivated at three different temperatures (7, 18 and 25 °C in the upper, middle and lower rows). Note the herbicide-induced “flattening” of the OJIP curves in MCPA- and MCPB-treated plants after 24 h exposure.
Figure 8.
Normalized expression of fast chlorophyll fluorescence kinetics (OJIP, VOP) recorded before the application of herbicides (left panel) in the plants exposed for 24 h to MCPA, MCPB and IMA (right panel). The arrows indicate an increase of chlorophyll fluorescence in point J (relative to point P) in MCPA- and MCPB-exposed plants. Data are presented for the G. orientalis cultivated at three different temperatures (7, 18 and 25 °C in the upper, middle and lower rows).
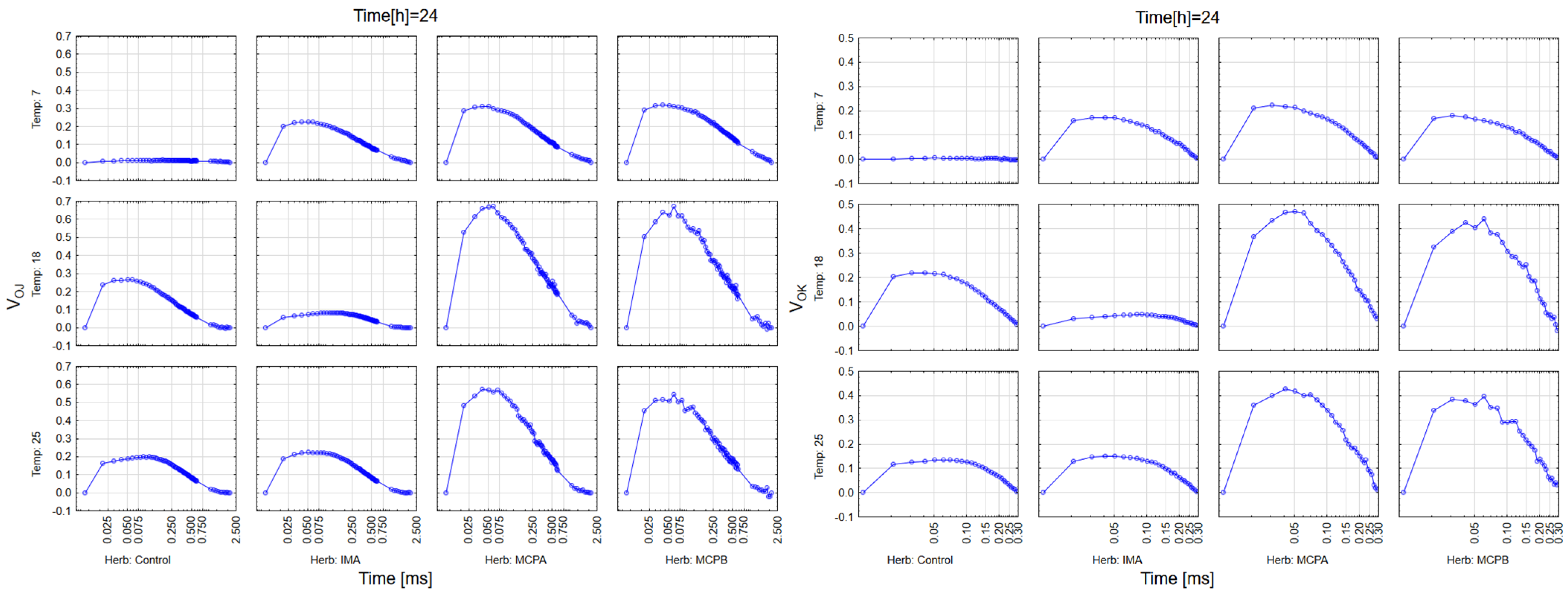
The effects of herbicide application and different cultivation temperatures on the presence of K- and L-bands (Figure 9) can be summarized as follows: (1) MCPA, MCPB and IMA caused the appearance of K-bands and (2) induction of K-bands was apparent at all cultivation temperatures. The values of the K-bands were significantly lower in IMA-exposed plants (cultivation temperatures of 18 and 25 °C) than in MCPA- and MCPB-exposed plants at the same temperatures. Similarly, the L-band was detected after all herbicide treatments, more so in MCPA- and MCPB-exposed plants. The K- and L-bands were, however, also found in untreated control plants after 24 h in a laboratory. In such cases, the values of the K- and L-bands were much lower than in the MCPA-, MCPB- and IMA-exposed plants.
Figure 9.
K-band (VOJ, left panel) and L-band (VOK, right panel) plots for G. orientalis plants exposed for 24 h to MCPA, MCPB and IMA. Data are means of five replicates.
4. Discussion
In this study, different herbicides were applied on Galega orientalis leaves in order to evaluate their negative effects on primary photosynthetic processes. Some of these herbicides (MCPA and MCPB) directly affected the PSII of G. orientalis. The effects were apparent both in the shape of the OJIP and in the OJIP-derived parameters of chlorophyll fluorescence.
4.1. Effects on OJIP Curve Shape
In MCPA- and MCPB-exposed plants, the OJIP curves were suppressed and, finally, showed a shape close to a straight line. Such phenomena, i.e., the flattening of OJIPs (Figure 7) and a relative increase of ChlF at the J point (Figure 8), are common effects of herbicide application; e.g., cyanazine [27], clodionafop [28] and dichloroacetic acid (DCA) [29]. An increase of relative chlorophyll fluorescence at the J and I points (see Figure 8) has been attributed to the inhibition of electron transfer between QA and QB [30,31]. A recent study by Battaglino et al. [32] focused on the effects of five different herbicides on OJIPs. It revealed, similarly to our study, an increased chlorophyll fluorescence at the J point as well as a gradual inhibition of the variable fluorescence depending on the herbicide concentration.
As shown in a recent study [15], the K-band is observed in plants exposed to selected herbicides as a consequence of the inactivation of the oxygen-evolving complex (OEC); i.e., the PSII donor side. Hassannjed et al. [15] reported significant effects of several herbicides (U46, Combi Fluid, Cruz and MR) on K-band appearance. The K-band has been attributed to an imbalance between the electron flow leaving the RC towards the acceptor side and the electron flow coming to the RC from the donor side; i.e., OEC and donor-side inhibition [25]. The L-band, which is found in the range of 0.10–0.15 ms, is associated with changes in the energetic connectivity in LHC. Our data revealed that the appearance of the K- and L-bands might be interpreted as herbicide-induced negative changes in LHCII functioning [33]. In our study, MCPA and MCPB had stronger effects on the appearance of K- and L-bands than IMA.
4.2. Effect on Chlorophyll Fluorescence Parameters
An increase in F0 is typically found in the early phases of stress action. It has been reported for herbicides as well (e.g., [34]). The F0 is associated with a decrease in the constant rate of energy trapped by RCs of PSII [35]. Such a response is a consequence of herbicide-induced damage to PSII. Accumulation of reduced plastoquinone (PQ) due to herbicide-induced limitation of PQ reoxidation is another reason for inhibited PSII functioning, which may induce LHCII phosphorylation and detachment and F0 increase, as shown by other stressors, such as high temperature [36].
The decrease in FV/FM with dose and duration of exposure to herbicide is a general plant response since the majority of herbicides have negative effects on PSII functioning; this is typically due to formation of reactive oxygen species in PSII [37] and a consecutive decrease in the effectivity of energy flow through PSII. Herbicide application-induced decrease in FV/FM is dose-dependent and becomes more pronounced with time [38]. Such a response is typical for those types of herbicides that are bound to the QB-binding site (see [39]). The sensitivity of PSII, therefore, differs between individual herbicides, as shown by [40,41]. In our study, the most negative effects on G. orientalis PSII were found after the application of MCPA followed by MCPB (see increase in F0 (Figure 1), decrease in FV/FM (Figure 3), changes in Phi_Pav and Phi_Do (Figure 4), increase in ABS/RC, TRo/RC, ETo/RC and DIo/DC (Figure 6) and the flattening of the OJIP curve (Figure 7)) The application of IMA affected only a limited number of chlorophyll fluorescence parameters. Therefore, IMA could be considered relatively harmless to PSII.
The application of herbicides leads to an interruption of the photosynthetic electron transport chain and consequently the inhibition of adenosine triphosphate (ATP) production and carbon fixation [42]. The effects of herbicides on primary photosynthetic processes related to PSII were demonstrated as a change of OJIP-derived parameters. Since MCPA and MCPB caused a substantial decrease in FV/FM and an increase in thermal dissipation of excess energy (DI0/RC), it might be concluded that inhibition of primary processes of photosynthesis was more severe than in the case of IMA. This conclusion might be supported by the fact that (φD0) increased in MCPA- and MCPB-treated plants with the time of exposure more than in IMA-treated ones. The overall decrease in primary photosynthetic processes in MCPA- and MCPB-treated plants was demonstrated by the fact that the OJIP-derived parameters related to three independent components of RC functioning [25,26] and decreased with the time from application: (1) RC/ABS (the density of active RCs per chlorophyll absorption), (2) maximal quantum yield of PSII photochemistry φP0 (FV/FM) and (3) electron transport at the beginning of illumination—ψE0.
The absorption flux per reaction center (ABS/RC) and trapped energy flux per reaction center (TRo/RC) (for equations, see Table 1) increased with the time of exposure to MCPA and MCPB, which might be attributable to the herbicide-induced decrease in a number of active RCs in PSII, similar to the way other stressors do; for example salt and drought stress [43] and water deficiency [44]. The decrease in the number of active RCs was a cause of the increase in ETo/RC in MCPA- and MCPB-treated plants as found in with exposure times longer than 5 h. An explanation is that MCPA and MCPB partly or fully inhibited less well functioning PSIIs (cf. reduced number of active RCs), while those which remained worked with sufficient efficiency to keep ETo/RC values high. Such a phenomenon was described recently for the low-temperature stress effect [45].
The fact that a decrease in PI_abs was more apparent for plants treated at 18 and 25 °C might be attributable to impaired light reactions in photosynthesis. Such herbicide-induced decreases relate to the negative changes in the density and functioning of RCs and LHCs in PSII and are attributable to the decrease in the maximum quantum yield for primary photochemistry and the quantum yield for electron transport [15]. In our data, however, even control plants showed somewhat decreased PI_abs during the post-application time. Therefore, follow-up studies must consider the complex character of the parameter. PI_abs includes three independent factors forming an integrative function of the photosynthetic apparatus: (a) the density of fully active RCs; (b) the efficiency of electron movement beyond the QA, i.e., into photosynthetic linear electron flow; and (c) the probability that an absorbed photon will be trapped by RCs. PI_abs, therefore, reflects the functionality of both photosystems I and II [25].
5. Concluding Remarks
Based on the experimental results, it can be concluded that—among the herbicides studied—the most negative effects on primary photosynthetic processes in PSII were found to be due to MCPA and MCPB. The sensitivity of the primary photosynthesis of Galega orientalis to IMA was much lower than to MCPA or MCPB. Moreover, our study revealed that the application of chlorophyll fluorescence measurements using fast chlorophyll fluorescence kinetics (OJIP) and the consequent analysis of OJIP-derived parameters is an efficient tool in the identification of early responses of G. orientalis photosynthesis to different herbicides after foliar application. In follow-up studies, attention should be focused on other aspects of the plant response, such as dose-dependent limitation of photosynthesis, growth rate and productivity, so that recommendations for agronomic practices can be provided.
Author Contributions
J.L.—experimental design, cultivation of plants and ChlF measurements; B.Z.—cultivation of plants and ChlF measurements; J.H.—herbicide application and ChlF measurements; M.B.—experimental design, data processing and manuscript writing; P.V.—data processing, statistical analysis and graphical outputs. All authors have read and agreed to the published version of the manuscript.
Funding
MZE-RO1721, MUNI/G/1540/2019 (ARCTOS MU).
Institutional Review Board Statement
Not applicable.
Informed Consent Statement
Not applicable.
Data Availability Statement
Data are available at the Research Institute for Fodder Crops, Troubsko (CZ), upon request to the first author.
Acknowledgments
The experiments were undertaken and the manuscript was prepared within the Framework of the Institutional Support for Long-Term Conceptual Development of a Research Organization (DKRVO), reg. no. MZE-RO1721, funded by the Ministry of Agriculture of the Czech Republic.
Conflicts of Interest
The authors declare no conflict of interest.
Abbreviations
ChlF—chlorophyll fluorescence, IMA—Imazanox herbicide, LHC—light-harvesting complex, MCPA—Agritox herbicide, MCPB—Butoxone herbicide, OJIP—fast chlorophyll fluorescence kinetics, PSII—photosystem II, QA—chinon A, QB—chinon B.
References
- Christensen, M.G.; Teicher, H.B.; Streibig, J.C. Linking fluorescence induction curve and biomass in herbicide screening. Pest Manag. Sci. 2003, 59, 1303–1310. [Google Scholar] [CrossRef]
- Dayan, F.E.; Zaccaro, M.L.M. Chlorophyll fluorescence as a marker for herbicide mechanisms of action. Pestic. Biochem. Physiol. 2012, 201, 189–197. [Google Scholar] [CrossRef]
- Jursík, M.; Soukup, J.; Holec, J.; Andr, J. Herbicide mode of actions and symptoms of plant injury by herbicides: Plant growth regulator herbicides (synthetic auxins). Listy Cukrov. Reparske 2011, 127, 88–92. [Google Scholar]
- Powles, S.B.; Yu, Q. Evolution in action: Plants resistant to herbicides. Ann. Rev. Plant Biol. 2010, 61, 317–347. [Google Scholar] [CrossRef] [Green Version]
- Grossmann, K.; Kwiatkowski, J.; Tresch, S. Auxin herbicides induce H2O2 overproduction and tissue damage in cleavers (Galium aparine L.). J. Exp. Bot. 2001, 52, 1811–1816. [Google Scholar] [CrossRef] [Green Version]
- Grossmann, K. Mode of action of auxin herbicides: A new ending to a long, drawn out story. Trends Plant Sci. 2000, 5, 506–508. [Google Scholar] [CrossRef]
- Hansen, K.; Grossmann, K. Auxin-induced ethylene triggers abscisic acid biosynthesis and growth inhibition. Plant Physiol. 2000, 124, 1437–1448. [Google Scholar] [CrossRef] [PubMed] [Green Version]
- Žaltauskaitė, J.; Kišonaitė, G. The effects of phenoxy herbicide MCPA on non-target vegetation in spring wheat (Triticum aestivum L.) culture. Biologija 2014, 60, 148–154. [Google Scholar] [CrossRef]
- Lewis, K.A.; Tzilivakis, J.; Warner, D.; Green, A. An international database for pesticide risk assessments and management. Hum. Ecol. Risk Assess. 2016, 22, 1050–1064. [Google Scholar] [CrossRef] [Green Version]
- Norsworthy, J.K.; Ward, S.; Shaw, D.; Llewellyn, R.; Nichols, R.; Webster, T.; Barrett, M. Reducing the risks of herbicide resistance: Best management practices and recommendations. Weed Sci. 2012, 60, 31–62. [Google Scholar] [CrossRef] [Green Version]
- Tan, S.; Evans, R.R.; Dahmer, M.L.; Singh, B.K.; Shaner, D.L. Imidazolinone-tolerant crops: History, current status and future. Pest Manag. Sci. 2005, 61, 246–257. [Google Scholar] [CrossRef] [PubMed]
- Asad, M.A.U.; Lavoie, M.; Song, H.; Jin, Y.; Fu, Z.; Qian, H. Interaction of chiral herbicides with soil microorganisms, algae and vascular plants. Sci. Total Environ. 2017, 580, 1287–1299, ISSN 0048-9697. [Google Scholar] [CrossRef]
- Fedtke, C.; Duke, S.O. Herbicides. In Plant Toxicology; Hock, B., Elstner, E.F., Eds.; Marcel Dekker: New York, NY, USA, 2005; p. 648. [Google Scholar]
- Wang, H. A Method of high throughput monitoring crop physiology using chlorophyll fluorescence and multispectral imaging. Front. Plant Sci. 2018, 9, 407. [Google Scholar] [CrossRef] [Green Version]
- Hassannejad, S.; Lotfi, R.; Ghafarbi, S.P.; Oukarroum, A.; Abbasi, A.; Kalaji, H.M.; Rastogi, A. Early identification of herbicide modes of action by the use of chlorophyll fluorescence measurements. Plants 2020, 9, 529. [Google Scholar] [CrossRef] [PubMed]
- Dubis, B.; Jankowski, K.J.; Mikołaj Sokólski, M.M.; Załuski, D.; Bórawski, P.; Szempliński, W. Biomass yield and energy balance of fodder galega in different production technologies: An 11-year field experiment in a large-area farm in Poland. Renew. Energy 2020, 154, 813–825. [Google Scholar] [CrossRef]
- Adamovich, A. Productivity and yield quality of fodder galega (Galega orientalis Lam.)—Grass mixed swards. Plant Nutrition. Dev. Plant Soil Sci. 2001, 92, 1008–1009. [Google Scholar]
- Żarczyński, P.J.; Sienkiewicz, S.; Wierzbowska, J.; Krzebietke, S.J. Fodder galega—A versatile plant. Agronomy 2021, 11, 1797. [Google Scholar] [CrossRef]
- Vergun, O.; Shymanska, O.; Rakhmetov, D.; Grygorieva, O.; Ivanišová, E.; Brindza, J. Parameters of antioxidant activity of Galega officinalis L. and Galega orientalis Lam. (Fabaceae Lindl.) plant raw material. Slovak J. Food Sci. 2020, 14, 125–134. [Google Scholar]
- Baležentienė, L. Šiuliauskienė, D. Chlorophyll fluor escence estimation of fodder galega (Galega orientalis Lam.) in situ and dependence on different leaf rank and cultivars. Agron. Res. 2007, 5, 3–12. [Google Scholar]
- Shymanska, O.; Vergun, O.; Rakhmetov, J.; Fishchenko, V. The content of photosynthetic pigments in the leaves of Galega officinalis L. and Galega orientalis Lam. cultivars. In Agrobiodiversity for Improving Nutrition, Health and Life Quality; Slovak University of Agriculture: Nitra, Slovakia, 2017; pp. 398–403. [Google Scholar]
- Eryashev, A.P.; Eryashev, P.A. influence of pesticides and albite on the photosynthetic activity and seed yield of eastern galega (Galega orientalis). J. Pharm. Sci. Res. 2018, 10, 3422–3425. [Google Scholar]
- Strasser, B.J.; Strasser, R.J. Measuring fast fluorescence transients to address environmental questions: The JIP test. In Photosynthesis: From Light to Biosphere; Mathis, P., Ed.; Kluwer Academic Publisher: Dordrecht, The Netherlands, 1995; Volume 5, pp. 977–980. [Google Scholar]
- Strasser, R.J.; Srivastava, A.; Tsimilli-Michael, M. The fluorescence transient as a tool to characterize and screen photosynthetic samples. In Probing Photosynthesis: Mechanisms, Regulation and Adaptation; Yunus, M., Pathre, U., Mohanty, P., Eds.; Taylor & Francis: London, UK, 2000; pp. 445–483. [Google Scholar]
- Strasser, R.J.; Tsimilli-Michael, M.; Srivastava, A. Analysis of the fluorescence transient. In Chlorophyll Fluorescence: A Signature of Photosynthesis; Papageorgiou, G., Govinjee, G., Eds.; Springer: Dordrecht, The Netherlands, 2004; pp. 321–362. [Google Scholar]
- Stirbet, A.; Lazár, D.; Kromdijk, J.; Govindjee, G. Chlorophyll a fluorescence induction: Can just a one-second measurement be used to quantify abiotic stress responses? Photosynthetica 2018, 56, 86–104. [Google Scholar] [CrossRef]
- Matoušková, M.; Nauš, J.; Flašarová, M. A long-term response of chlorophyll fluorescence induction to one-shot application of cyanazine on barley plants and its relation to crop yield. Photosynthetica 1999, 37, 281–294. [Google Scholar] [CrossRef]
- Abbaspoor, M.; Streibig, J. Clodinafop changes the chlorophyll fluorescence induction curve. Weed Sci. 2005, 53, 1–9. [Google Scholar] [CrossRef]
- Li, H.; Ma, Y.; Hu, H.; Song, X.; Ma, Y.; Yan, H. Novel ammonium dichloroacetates with enhanced herbicidal activity for weed control. RSC Adv. 2020, 10, 44512–44521. [Google Scholar] [CrossRef]
- Hess, F.D. Light-dependent herbicides: An overview. Weed Sci. 2000, 48, 160–170. [Google Scholar] [CrossRef]
- Ikeda, Y.; Ohki, S.; Koizumi, K.; Tanaka, A.; Watanabe, H.; Kohno, H.; Van Rensen, J.J.S.; Böger, P.; Wakabayashi, K. Binding site of novel 2-benzylamino-4-methyl-6-trifluoromethyl-1,3,5-triazine herbicides in the D1 protein of Photosystem II. Photosynth. Res. 2003, 77, 35–43. [Google Scholar] [CrossRef] [PubMed]
- Battaglino, B.; Grinzato, A.; Pagliano, C. Binding properties of photosynthetic herbicides with the QB Site of the D1 protein in plant photosystem II: A combined functional and molecular docking study. Plants 2021, 10, 1501. [Google Scholar] [CrossRef]
- Stirbet, A.; Riznichenko, G.; Rubin, A.B. Govindjee. Modeling chlorophyll a fluorescence transient: Relation to photosynthesis. Biochemistry 2014, 79, 291–323. [Google Scholar]
- Porheidar, G.S.; Rahimian, M.H.; Alizadeh, H.; Hassannejad, S. Effect of different herbicides and salicylic acid treatment on the photosynthetic efficiency of corn cultivars using chlorophyll a fluorescence transient curve. J. Plant Physiol. Breed. 2017, 7, 21–40. [Google Scholar]
- Havaux, M. Characterization of thermal damage to the photosynthetic electron transport system in potato leaves. Plant Sci. 1993, 94, 19–33. [Google Scholar] [CrossRef]
- Yamane, Y.; Shikanai, T.; Kashino, Y.; Koike, H.; Satoh, K. Reduction of QA in the dark: Another cause of fluorescence Fo increases by high temperatures in higher plants. Photosynth. Res. 2000, 63, 23–34. [Google Scholar] [CrossRef]
- Fufezan, C.; Rutherford, A.W.; Krieger-Liszkay, A. Singlet oxygen production in herbicide-treated photosystem II. FEBS Lett. 2002, 532, 407–410. [Google Scholar] [CrossRef] [Green Version]
- Silva, F.; Costa, A.; Pereira Alves, R.; Megguer, C. Chlorophyll fluorescence as an indicator of cellular damage by glyphosate herbicide in Raphanus sativus L. plants. Am. J. Plant Sci. 2014, 5, 2509–2519. [Google Scholar] [CrossRef] [Green Version]
- Hiraki, M.; Rensen, J.J.S.V.; Vredenberg, W.J.; Wakabayashi, K. Characterization of the alterations of the chlorophyll a fluorescence induction curve after addition of photosystem II inhibiting herbicides. Photosynth. Res. 2003, 78, 35–46. [Google Scholar] [CrossRef]
- Barbagallo, R.P.; Oxborough, K.; Pallett, K.E.; Baker, N.R. Rapid, Noninvasive screening for perturbations of metabolism and plant growth using chlorophyll fluorescence imaging. Plant Physiol. 2003, 132, 485–493. [Google Scholar] [CrossRef] [Green Version]
- Kalkhoran, E.S.; Alebrahim, M.T.; Abad, H.R.M.C.; Streibig, J.C.; Ghavidel, A.; Tseng, T.-M.P. The joint action of some broadleaf herbicides on potato (Solanum tuberosum L.) weeds and photosynthetic performance of potato. Agriculture 2021, 11, 1103. [Google Scholar] [CrossRef]
- Zhang, C.J.; Lim, S.H.; Kim, J.W.; Nah, G.; Fischer, A.; Kim, D.S. Leaf chlorophyll fluorescence discriminates herbicide resistance in Echinochloa species. Weed Res. 2016, 56, 424–433. [Google Scholar] [CrossRef]
- Killi, D.; Haworth, M. Diffusive and metabolic constraints to photosynthesis in quinoa during drought and salt stress. Plants 2017, 6, 49. [Google Scholar] [CrossRef] [PubMed] [Green Version]
- Haworth, M.; Marino, G.; Brunetti, C.; Killi, D.; De Carlo, A.; Centritto, M. The impact of heat stress and water deficit on the photosynthetic and stomatal physiology of olive (Olea europaea L.)—A case study of the heat wave. Plants 2018, 7, 76. [Google Scholar] [CrossRef] [PubMed] [Green Version]
- Bednaříková, M.; Váczi, P.; Lazár, D.; Barták, M. Photosynthetic performance of Antarctic lichen Dermatocarpon polyphyllizum when affected by desiccation and low temperatures. Photosynth. Res. 2020, 145, 159–177. [Google Scholar] [CrossRef]
Publisher’s Note: MDPI stays neutral with regard to jurisdictional claims in published maps and institutional affiliations. |
© 2021 by the authors. Licensee MDPI, Basel, Switzerland. This article is an open access article distributed under the terms and conditions of the Creative Commons Attribution (CC BY) license (https://creativecommons.org/licenses/by/4.0/).








