Expression of AtAAP Gene Family and Endosperm-Specific Expression of AtAAP1 Gene Promotes Amino Acid Absorption in Arabidopsis thaliana and Maize
Abstract
1. Introduction
2. Materials and Methods
2.1. AtAAP1 Transgenic Arabidopsis thaliana and Maize
2.2. Measurement of Physiological Indices
2.2.1. Contents of Amino Acid and Total Nitrogen
2.2.2. Preparation of Murashige and Skoog (MS) Medium Containing Amino Acids
2.2.3. Amino acid Affinity in Transgenic Arabidopsis thaliana
2.3. Quantitative Expression Analysis
2.4. Data Analysis
3. Results
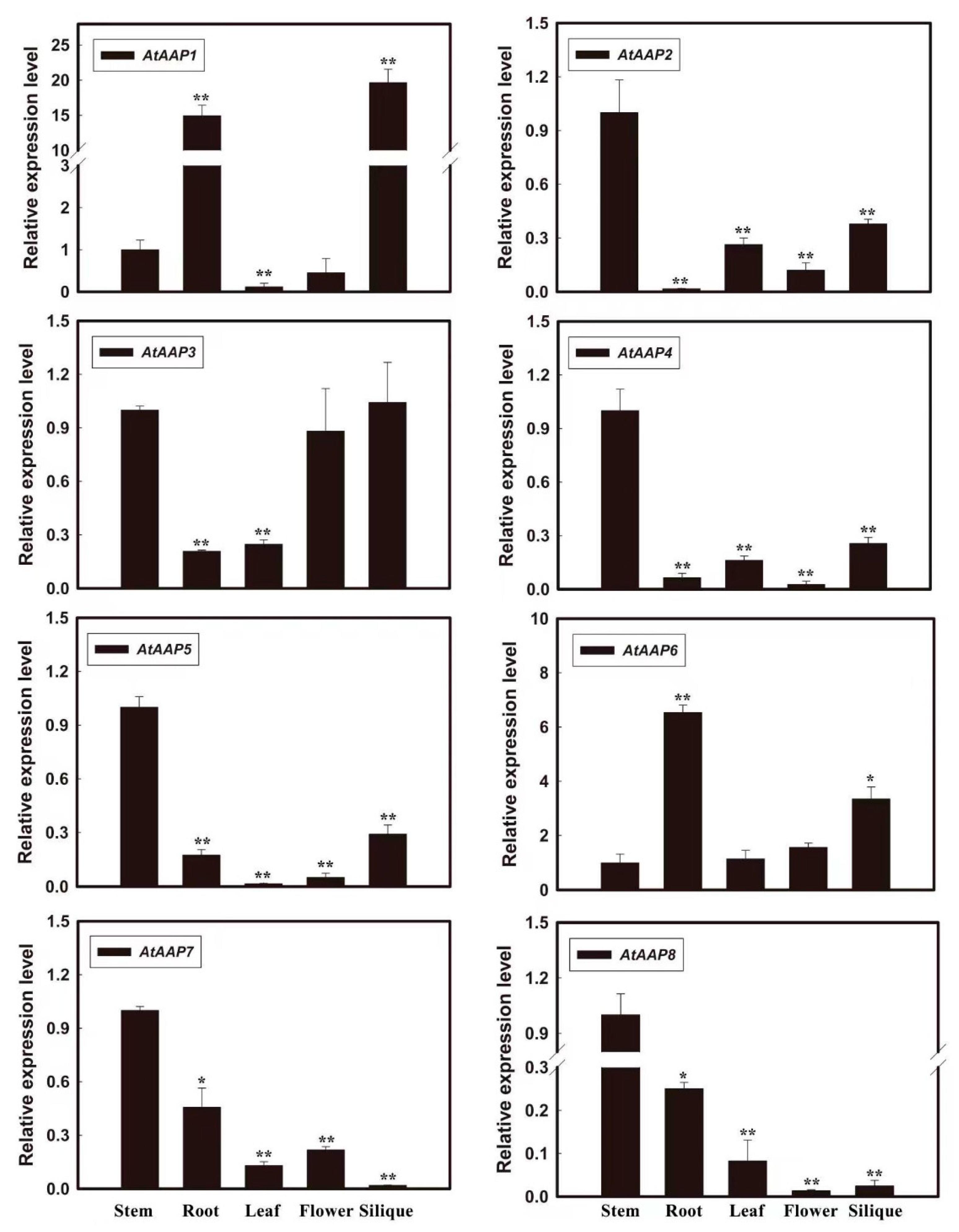
3.1. Expression Patterns of AtAAP Genes
3.2. Contents of Total Nitrogen and Free Amino Acids in Reproductive and Vegetative Organs in WT and Transgenic Plants of Arabidopsis thaliana with Overexpression of AtAAP1
3.3. Contents of Free Amino Acids in WT and Transgenic Plants of Arabidopsis thaliana with Overexpression of AtAAP1
3.4. Affinity of 20 Amino Acids in Transgenic Arabidopsis thaliana with Overexpression of AtAAP1
3.5. Gene Expresion of AtAAP1 in Transgenic Maize with the Endosperm-Specific Promoter
3.6. Contents of 20 Amino Acids in Different Tissues of Transgenic AtAAP1 Maize with the Endosperm-Specific Promoter
4. Discussion
5. Conclusions
Author Contributions
Funding
Acknowledgments
Conflicts of Interest
References
- Chen, K.E.; Chen, H.Y.; Tseng, C.S.; Tsay, Y.F. Improving nitrogen use efficiency by manipulating nitrate remobilization in plants. Nat. Plants 2020, 6, 1126–1135. [Google Scholar] [CrossRef]
- Walch, L.P.; Filleur, S.; Gan, Y.; Forde, B.G. Signaling mechanisms integrating root and shoot responses to changes in the nitrogen supply. Photosynth. Res. 2005, 83, 239–250. [Google Scholar] [CrossRef] [PubMed]
- Miller, A.J.; Shen, Q.; Xu, G. Freeways in the plant: Transporters for N, P and S and their regulation. Curr. Opin. Plant Biol. 2009, 12, 284–290. [Google Scholar] [CrossRef] [PubMed]
- Nunes, N.A.; Fernie, A.R.; Stitt, M. Metabolic and signaling aspects underpinning the regulation of plant carbon nitrogen interactions. Mol. Plant 2010, 3, 973–996. [Google Scholar] [CrossRef] [PubMed]
- Jack, D.L.; Yang, N.M.; Saier, M.H. The drug/metabolite transporter superfamily. Eur. J. Biochem. 2001, 268, 3620–3639. [Google Scholar] [CrossRef] [PubMed]
- Liang, W.; Ling, L.; Wang, M.; Du, B.; Guo, C.; Duan, Y.; Song, P.; Zhang, L.; Li, P.; Ma, J.; et al. Genome-wide identification and expression analysis of the AAAP family in Fragaria vesca. Biotechnol. Biotechnol. Eq. 2020, 34, 790–799. [Google Scholar] [CrossRef]
- Pratelli, R.; Pilot, G. Regulation of amino acid metabolic enzymes and transporters in plants. J. Exp. Bot. 2014, 65, 5535–5556. [Google Scholar] [CrossRef]
- Taylor, M.R.; Reinders, A.; Ward, J.M. Transport Function of Rice Amino Acid Permeases (AAPs). Plant Cell. Physiol. 2015, 56, 1355–1363. [Google Scholar] [CrossRef]
- Duan, Y.; Zhu, X.; Shen, J.; Xing, H.; Zou, Z.; Ma, Y.; Wang, Y.; Fang, W. Genome-wide identification, characterization and expression analysis of the amino acid permease gene family in tea plants (Camellia sinensis). Genomics 2020, 112, 2866–2874. [Google Scholar] [CrossRef]
- Zhang, L.; Garneau, M.G.; Majumdar, R.; Grant, J.; Tegeder, M. Improvement of pea biomass and seed productivity by simultaneous increase of phloem and embryo loading with amino acids. Plant J. 2015, 81, 134–146. [Google Scholar] [CrossRef]
- Boorer, K.J.; Fischer, W.N. Specificity and stoichiometry of the Arabidopsis H+/amino acid transporter AAP5. J. Biol. Chem. 1997, 272, 13040–13046. [Google Scholar] [CrossRef] [PubMed][Green Version]
- Boorer, K.J.; Frommer, W.B.; Bush, D.R.; Kreman, M.; Loo, D.D.; Wright, E.M. Kinetics and specificity of a H+/ amino acid transporter from Arabidopsis thaliana. J. Biol. Chem. 1996, 271, 2213–2220. [Google Scholar] [CrossRef] [PubMed]
- Frommer, W.B.; Hummel, S.; Riesmeier, J.W. Expression cloning in yeast of a cDNA encoding a broad specificity amino acid permease from Arabidopsis thaliana. Proc. Natl. Acad. Sci. USA 1993, 90, 5944–5948. [Google Scholar] [CrossRef] [PubMed]
- Koch, W.; Kwart, M.; Laubner, M.; Heineke, D.; Stransky, H.; Frommer, W.B.; Tegeder, M. Reduced amino acid content in transgenic potato tubers due to antisense inhibition of the leaf H+/amino acid symporter StAAP1. Plant J. 2003, 33, 211–220. [Google Scholar] [CrossRef]
- Elashry, A.; Okumoto, S.; Siddique, S.; Koch, W.; Kreil, D.P.; Bohlmann, H. The AAP gene family for amino acid permeases contributes to development of the cyst nematode Heterodera schachtii in roots of Arabidopsis. Plant Physiol. Biochem. 2013, 70, 379–386. [Google Scholar] [CrossRef]
- Joshi, V.; Joung, J.G.; Fei, Z.; Jander, G. Interdependence of threonine, methionine and isoleucine metabolism in plants: Accumulation and transcriptional regulation under abiotic stress. Amino Acids 2010, 39, 933–947. [Google Scholar] [CrossRef] [PubMed]
- Miranda, M.; Borisjuk, L.; Tewes, A.; Heim, U.; Sauer, N.; Wobus, U.; Weber, H. Amino acid permeases in developing seeds of Vicia faba L.: Expression precedes storage protein synthesis and is regulated by amino acid supply. Plant J. 2001, 28, 61–71. [Google Scholar] [CrossRef]
- Marella, H.H.; Nielsen, E.; Schachtman, D.P.; Taylor, C.G. The amino acid permeases AAP3 and AAP6 are involved in root-knot nematode parasitism of Arabidopsis. Mol. Plant Microbe Interact. 2013, 26, 44–54. [Google Scholar] [CrossRef]
- Hunt, E.; Gattolin, S.; Newbury, H.J.; Bale, J.S.; Tseng, H.M.; Barrett, D.A.; Pritchard, J. A mutation in amino acid permease AAP6 reduces the amino acid content of the Arabidopsis sieve elements but leaves aphid herbivores unaffected. J. Exp. Bot. 2010, 61, 55–64. [Google Scholar] [CrossRef]
- Okumoto, S.; Koch, W.; Tegeder, M.; Fischer, W.N.; Biehl, A.; Leister, D.; Stierhof, Y.D.; Frommer, W.B. Root phloem-specific expression of the plasma membrane amino acid proton co-transporter AAP3. J. Exp. Bot. 2004, 55, 2155–2168. [Google Scholar] [CrossRef]
- Rolletschek, H.; Hosein, F.; Miranda, M.; Heim, U.; Götz, K.P.; Schlereth, A.; Borisjuk, L.; Saalbach, I.; Wobus, U.; Weber, H. Ectopic expression of an amino acid transporter (VfAAP1) in seeds of Vicia narbonensis and pea increases storage proteins. Plant Physiol. 2005, 137, 1236–1249. [Google Scholar] [CrossRef]
- Tegeder, M.; Ward, J.M. Molecular evolution of plant AAP and LHT amino acid transporters. Front. Plant Sci. 2012, 3, 21. [Google Scholar] [CrossRef]
- Hirner, A.; Ladwig, F.; Stransky, H.; Okumoto, S.; Keinath, M.; Harms, A.; Frommer, W.B.; Koch, F. Arabidopsis LHT1 is a high-affinity transporter for cellular amino acid uptake in both root epidermis and leaf mesophyll. Plant Cell 2006, 18, 1931–1946. [Google Scholar] [CrossRef]
- Ji, Y.Y.; Huang, W.T.; Wu, B.W.; Fang, Z.M.; Wang, X.L. The amino acid transporter AAP1 mediates growth and grain yield by regulating neutral amino acid uptake and reallocation in Oryza sativa. J. Exp. Bot. 2020, 71, 4763–4777. [Google Scholar] [CrossRef]
- Tegeder, M.; Offler, C.E.; Frommer, W.B.; Patrick, J.W. Amino acid transporters are localized to transfer cells of developing pea seeds. Plant Physiol. 2000, 122, 319–325. [Google Scholar] [CrossRef] [PubMed]
- Fan, B.; Liu, M.; Li, H.; Zhang, X.; Wang, X.; Cui, X. Bioinformatics analysis of AAP gene family in Arabidopsis thaliana. Chem. Life 2015, 35, 1–8. [Google Scholar]
- Sheng, L.; Deng, L.; Yan, H.; Zhao, Y.; Dong, Q.; Li, Q.; Li, X.; Cheng, B.; Jiang, H. A genome-wide analysis of the AAAP gene family in maize. J. Proteom. Bioform. 2014, 7, 23–33. [Google Scholar]
- Wu, M.; Wu, S.; Chen, Z.; Dong, Q.; Yan, H.; Xiang, Y. Genome-wide survey and expression analysis of the amino acid transporter gene family in poplar. Tree Genet. Genomes 2015, 11, 83. [Google Scholar] [CrossRef]
- Li, H.J. Functional Characterization of Arabidopsis Amino Acid Permease 1 (AtAAP1) in Transgenic Maize. MS Thesis, Jilin Agricultural University, Changchun, Jilin, China, 2017. [Google Scholar]
- Bates, L.S.; Waldren, R.P.; Teare, I.D. Rapid determination of free proline for water-stress studies. Plant Soil 1973, 39, 205–207. [Google Scholar] [CrossRef]
- Zhang, Q.F.; Qi, D.M.; Dong, X.B.; Li, X.X.; Cheng, L.Q.; Liu, H.; Chen, S.Y.; Rajora, O.P.; Li, X.Q.; Liu, G.S. Amino acid composition, protein content and accurate nitrogen-to-protein conversion factor for sheepgrass (Leymus chinensis). Botany 2020, 98, 137–146. [Google Scholar] [CrossRef]
- Bonner, C.A.; Jensen, R.A. Recognition of specific patterns of amino acid inhibition of growth in higher plants, uncomplicated by glutamine-reversible general amino acid inhibition. Plant Sci. 1997, 130, 133–143. [Google Scholar] [CrossRef]
- Voll, L.M.; Allaire, E.E.; Fiene, G.; Weber, A.P.M. The Arabidopsis phenylalanine insensitive growth mutant exhibits a deregulated amino acid metabolism. Plant Physiol. 2004, 136, 3058–3069. [Google Scholar] [CrossRef] [PubMed]
- Chen, Z.Y.; Fang, X.K.; Yuan, X.S.; Zhang, Y.Y.; Li, H.Y.; Zhou, Y.; Cui, X.Y. Overexpression of transcription factor GmTGA15 enhances drought tolerance in transgenic soybean hairy roots and Arabidopsis plants. Agronomy 2021, 11, 170. [Google Scholar] [CrossRef]
- Livak, K.J.; Schmittgen, T.D. Analysis of relative gene expression data using real-time quantitative PCR and the 2(-Delta Delta C(T)) method. Methods 2001, 25, 402–408. [Google Scholar] [CrossRef]
- Tang, Q.Y.; Zhang, C.X. Data processing system (DPS) software with experimental design, statistical analysis and data mining developed for use in entomological research. Insect Sci. 2012, 20, 254–260. [Google Scholar] [CrossRef] [PubMed]
- Liu, S.; Wang, D.; Mei, Y.; Xia, T.; Xu, W.; Zhang, Y.; You, X.; Zhang, X.; Li, L.; Ning, N. Overexpression of GmAAP6a enhances tolerance to low nitrogen and improves seed nitrogen status by optimizing amino acid partitioning in soybean. Plant Biotechnol. J. 2020, 8, 1749–1762. [Google Scholar] [CrossRef]
- Tegeder, M.; Tan, Q.; Grennan, A.K.; Patrick, J.W. Amino acid transporter expression and localisation studies in pea (Pisum sativum). Funct. Plant Biol. 2007, 34, 1019–1028. [Google Scholar] [CrossRef] [PubMed]
- Zhou, T.; Yue, C.; Huang, J.; Cui, J.; Liu, Y.; Wang, W.; Tian, C.; Hua, Y. Genome-wide identification of the amino acid permease genes and molecular characterization of their transcriptional responses to various nutrient stresses in allotetraploid rapeseed. BMC Plant Biol. 2020, 20, 151. [Google Scholar] [CrossRef]
- Lee, Y.H.; Foster, J.; Chen, J.; Voll, L.M.; Weber, A.P.M.; Tegeder, M. AAP1 transports uncharged amino acids into roots of Arabidopsis. Plant J. 2007, 50, 305–319. [Google Scholar] [CrossRef]
- Sanders, A.; Collier, R.; Trethewy, A.; Gould, G.; Sieker, R.; Tegeder, M. AAP1 regulates import of amino acids into developing Arabidopsis embryos. Plant J. 2009, 59, 540–552. [Google Scholar] [CrossRef]
- Dinkeloo, K.; Boyd, S.; Pilot, G. Update on amino acid transporter functions and on possible amino acid sensing mechanisms in plants. Semin. Cell Dev. Biol. 2018, 74, 105–113. [Google Scholar] [CrossRef] [PubMed]
- Couturier, J.; De, F.E.; Fitz, M.; Wipf, D.; Blaudez, D.; Chalot, M. PtAAP11, a high affinity amino acid transporter specifically expressed in differentiating xylem cells of poplar. J. Exp. Bot. 2010, 61, 1671–1682. [Google Scholar] [CrossRef]
- Hirner, B.; Fischer, W.N.; Rentsch, D.; Kwart, M.; Frommer, W.B. Developmental control of H+/amino acid permease gene expression during seed development of Arabidopsis. Plant J. 1998, 14, 535–544. [Google Scholar] [CrossRef]
- Okumoto, S.; Pilot, G. Amino acid export in plants: A missing link in nitrogen cycling. Mol. Plant 2011, 4, 453–463. [Google Scholar] [CrossRef]
- Perchlik, M.; Tegeder, M. Improving plant nitrogen use efficiency through alteration of amino acid transport processes. Plant Physiol. 2017, 175, 235–247. [Google Scholar] [CrossRef]
- Garneau, M.G.; Tian, Q.; Tegeder, M. Function of pea amino acid permease AAP6 in nodule nitrogen metabolism and export, and plant nutrition. J. Exp. Bot. 2018, 69, 5205–5219. [Google Scholar] [CrossRef] [PubMed]
- Pan, X.; Hasan, M.M.; Li, Y.; Liao, C.; Zheng, H.; Liu, R.; Li, X. Asymmetric transcriptomic signatures between the cob and florets in the maize ear under optimal- and low-nitrogen conditions at silking, and functional characterization of amino acid transporters ZmAAP4 and ZmVAAT3. J. Exp. Bot. 2015, 66, 6149–6166. [Google Scholar] [CrossRef]
- Tan, Q.; Grennan, A.K.; Pélissier, H.C.; Rentsch, D.; Tegeder, M. Characterization and expression of French bean amino acid transporter PvAAP1. Plant Sci. 2008, 174, 348–356. [Google Scholar] [CrossRef]
- Tilsner, J.; Kassner, N.; Struck, C.; Lohaus, G. Amino acid contents and transport in oilseed rape (Brassica napus L.) under different nitrogen conditions. Planta 2005, 221, 328–338. [Google Scholar] [CrossRef]
- Fischer, W.N.; André, B.; Rentsch, D.; Krolkiewicz, S.; Tegeder, M.; Breitkreuz, K.; Frommer, W.B. Amino acid transport in plants. Trends Plant Sci. 1998, 5, 188–195. [Google Scholar] [CrossRef]
- Fischer, W.N.; Kwart, M.; Hummel, S.; Frommer, W.B. Substrate specificity and expression profile of amino acid transporters (AAPs) in Arabidopsis. J. Biol. Chem. 1995, 270, 16315–16320. [Google Scholar] [CrossRef]
- Ren, Z.; Chen, Z.; Luo, X.; Su, J.; Yao, G.; Xu, H.; Lin, F. Overexpression of AtAAP1 increased the uptake of an alanine-chlorantraniliprole conjugate in Arabidopsis thaliana. Environ. Sci. Pollut. Res. Int. 2019, 26, 36680–36687. [Google Scholar] [CrossRef] [PubMed]
- Guo, M.J. Molecular and Genomic Analysis of Nitrogen Regulation of Amino Acid Permease I (AAP1) in Arabidopsis. Ph.D. Thesis, University of Illinois at Urbana-Champaign, Urbana, IL, USA, 2004. [Google Scholar]
- Schmidt, R.; Stransky, H.; Koch, W. The amino acid permease AAP8 is important for early seed development in Arabidopsis thaliana. Planta 2007, 226, 805–813. [Google Scholar] [CrossRef] [PubMed]
- Liu, X.; Zhang, C.; Wang, X.; Liu, Q.; Yuan, D.; Pan, G.; Sun, S.S.M.; Tu, J. Development of high-lysine rice via endosperm-specific expression of a foreign LYSINE RICH PROTEIN gene. BMC Plant Biol. 2016, 16, 147. [Google Scholar] [CrossRef]
- Manoela, M.; Ljudmilla, B.; Annegret, T.; Daniela, D.; Doris, R.; Hans, W.; Ulrich, W. Peptide and amino acid transporters are differentially regulated during seed development and germination in faba bean. Plant Physiol. 2003, 132, 1950–1960. [Google Scholar]








| Amino Acid | Concentration (mmol/L) |
|---|---|
| Phe, Trp, Tyr, Lys | 1 |
| Gly | 1.5 |
| Met, Ile, Leu, Ser, Thr | 2 |
| His | 2.5 |
| Val | 4 |
| Cys, Asn, Arg | 5 |
| Ala | 10 |
| Gln, Asp | 20 |
| Pro, Glu | 30 |
| Gene | GenBank Accession | Forward (F) and Reverse (R) Primers 5′-3′ |
|---|---|---|
| AtAAP1 | NM_104616 | F: GTGGGAAAGTGGGTAAGACG R: GATGAGAACCGTGGCATAAG |
| AtAAP2 | NM_120958 | F: ATAACCACCGTCACCACCAC R: GGTCCAAACAGTCCCAGTTC |
| AtAAP3 | NM_106387 | F: CGCCGTTATGTCCTTCACTT R: TGCTCCTATGCTAATCCCAGT |
| AtAAP4 | NM_125780 | F: CCCATCTTCGCCTTTATTGA R: CACAAACCCGCTTCGGTA |
| AtAAP5 | NM_103536 | F: GATTGGTTGGATTGGTGGTC R: CCGAGGTTGGAGTGAATAGC |
| AtAAP6 | NM_124341 | F: GCAAACGCAACTACACCTACA R: GACCTCTTCACTGCCACCAT |
| AtAAP7 | NM_122286 | F: ACGGGAGTGGCAGTGATGT R: ACAGACGAGCAAGCACACAA |
| AtAAP8 | NM_100875 | F: ATGGCCTCAAAGCAATTTCA R: GCATGTCCTCCAAACCAGTC |
| actin | NM_180280 | F: TGCCAATCTACGAGGGTTTC R: GCTCTGCTGTTGTGGTGAAC |
| Amino Acid | Roots (μg/mg) | Leaves (μg/mg) | Seeds (μg/mg) |
|---|---|---|---|
| Arg | 0.16 ± 0.01/0.21 ± 0.01 * | 0.01 ± 0.00/0.01 ± 0.00 | 0.73 ± 0.01/0.71 ± 0.04 |
| Lys | 0.21 ± 0.01/0.47 ± 0.02 ** | 0.40 ± 0.02/0.22 ± 0.01 * | 1.46 ± 0.05/1.51 ± 0.02 |
| His | 0.02 ± 0.00/0.03 ± 0.00 | 0.02 ± 0.00/0.02 ± 0.00 | 0.12 ± 0.00/0.15 ± 0.01 * |
| Asp | 0.19 ± 0.01/0.22 ± 0.01 | 0.16 ± 0.00/0.10 ± 0.00 * | 1.02 ± 0.03/1.02 ± 0.03 |
| Glu | 0.12 ± 0.00/0.18 ± 0.09 * | 0.46 ± 0.01/0.19 ± 0.01 * | 1.02 ± 0.03/1.08 ± 0.04 |
| Phe | 0.04 ± 0.01/0.06 ± 0.00 | 0.09 ± 0.01/0.05 ± 0.00 * | 0.18 ± 0.01/0.25 ± 0.01 * |
| Cys | 0.01 ± 0.00/0.01 ± 0.00 | 0.01 ± 0.00/0.01 ± 0.00 | 0.02 ± 0.00/0.02 ± 0.00 |
| Gln | 0.16 ± 0.00/0.18 ± 0.01 | 0.49 ± 0.02/0.19 ± 0.01 ** | 0.82 ± 0.03/0.74 ± 0.01 |
| Asn | 0.11 ± 0.01/0.08 ± 0.01 | 0.06 ± 0.01/0.03 ± 0.00 * | 0.49 ± 0.01/0.45 ± 0.01 |
| Gly | 0.10 ± 0.00/0.08 ± 0.01 | 0.07 ± 0.00/0.05 ± 0.00 | 0.35 ± 0.02/0.37 ± 0.02 |
| Ala | 0.15 ± 0.00/0.18 ± 0.01 | 1.14 ± 0.06/0.51 ± 0.02 ** | 3.26 ± 0.08/3.49 ± 0.14 |
| Ile | 0.02 ± 0.00/0.06 ± 0.00 * | 0.06 ± 0.00/0.03 ± 0.00 * | 0.16 ± 0.00/0.29 ± 0.01 * |
| Leu | 0.09 ± 0.01/0.14 ± 0.03 * | 0.19 ± 0.09/0.10 ± 0.00 * | 0.26 ± 0.01/0.29 ± 0.01 |
| Met | 0.01 ± 0.00/0.02 ± 0.00 * | 0.02 ± 0.00/0.01 ± 0.00 | 0.13 ± 0.00/0.11 ± 0.01 |
| Pro | 0.05 ± 0.00/0.06 ± 0.01 | 0.13 ± 0.01/0.08 ± 0.03 * | 1.28 ± 0.03/1.38 ± 0.04 |
| Ser | 0.15 ± 0.01/0.15 ± 0.01 | 0.26 ± 0.01/0.08 ± 0.01 ** | 0.73 ± 0.01/0.70 ± 0.01 |
| Thr | 0.06 ± 0.01/0.08 ± 0.01 * | 0.12 ± 0.00/0.08 ± 0.01 | 0.39 ± 0.02/0.44 ± 0.01 |
| Trp | 0.03 ± 0.00/0.02 ± 0.00 | 0.03 ± 0.00/0.05 ± 0.00 | 0.04 ± 0.00/0.06 ± 0.00 * |
| Tyr | 0.02 ± 0.00/0.03 ± 0.00 | 0.04 ± 0.00/0.02 ± 0.00 | 0.09 ± 0.01/0.20 ± 0.09 ** |
| Val | 0.06 ± 0.01/0.09 ± 0.00 * | 0.15 ± 0.01/0.08 ± 0.01 * | 0.34 ± 0.02/0.45 ± 0.01 * |
| Basic amino acid | 0.39 ± 0.02/0.71 ± 0.02 ** | 0.43 ± 0.02/0.25 ± 0.01 ** | 2.31 ± 0.09/2.37 ± 0.07 |
| Acidic amino acid | 0.31 ± 0.02/0.40 ± 0.02 * | 0.62 ± 0.03/0.29 ± 0.01 ** | 2.04 ± 0.05/2.10 ± 0.09 |
| Neutral amino acid | 1.06 ± 0.03/1.24 ± 0.03 * | 2.86 ± 0.09/1.37 ± 0.03 ** | 8.54 ± 0.26/9.24 ± 0.18 * |
| Total amino acid | 1.76 ± 0.05/2.35 ± 0.12 ** | 3.91 ± 0.08/1.91 ± 0.06 ** | 12.89 ± 0.39/13.71 ± 0.21 * |
Publisher’s Note: MDPI stays neutral with regard to jurisdictional claims in published maps and institutional affiliations. |
© 2021 by the authors. Licensee MDPI, Basel, Switzerland. This article is an open access article distributed under the terms and conditions of the Creative Commons Attribution (CC BY) license (https://creativecommons.org/licenses/by/4.0/).
Share and Cite
Chen, Z.; Zhang, Y.; Zhang, J.; Fan, B.; Zhou, Y.; Cui, X. Expression of AtAAP Gene Family and Endosperm-Specific Expression of AtAAP1 Gene Promotes Amino Acid Absorption in Arabidopsis thaliana and Maize. Agronomy 2021, 11, 1668. https://doi.org/10.3390/agronomy11081668
Chen Z, Zhang Y, Zhang J, Fan B, Zhou Y, Cui X. Expression of AtAAP Gene Family and Endosperm-Specific Expression of AtAAP1 Gene Promotes Amino Acid Absorption in Arabidopsis thaliana and Maize. Agronomy. 2021; 11(8):1668. https://doi.org/10.3390/agronomy11081668
Chicago/Turabian StyleChen, Zhanyu, Yingying Zhang, Jiating Zhang, Bei Fan, Ying Zhou, and Xiyan Cui. 2021. "Expression of AtAAP Gene Family and Endosperm-Specific Expression of AtAAP1 Gene Promotes Amino Acid Absorption in Arabidopsis thaliana and Maize" Agronomy 11, no. 8: 1668. https://doi.org/10.3390/agronomy11081668
APA StyleChen, Z., Zhang, Y., Zhang, J., Fan, B., Zhou, Y., & Cui, X. (2021). Expression of AtAAP Gene Family and Endosperm-Specific Expression of AtAAP1 Gene Promotes Amino Acid Absorption in Arabidopsis thaliana and Maize. Agronomy, 11(8), 1668. https://doi.org/10.3390/agronomy11081668

