Physiological and Molecular Characterization of New Apricot Cultivars Grafted on Different Prunus Rootstocks
Abstract
:1. Introduction
2. Materials and Methods
2.1. Plant Material
2.2. Cytomorphological Characterization 42 DAG
2.3. Vegetative amd Molecular Characterization 3 Months after Grafting
2.4. Anatomical Observations One Year after Grafting
2.5. Statistical Analysis
3. Results
3.1. Graft Take Rates and Cytomorphological Characterization at 42 DAG
3.2. Vegetative Growth and Molecular Characterization 3 Months after Grafting
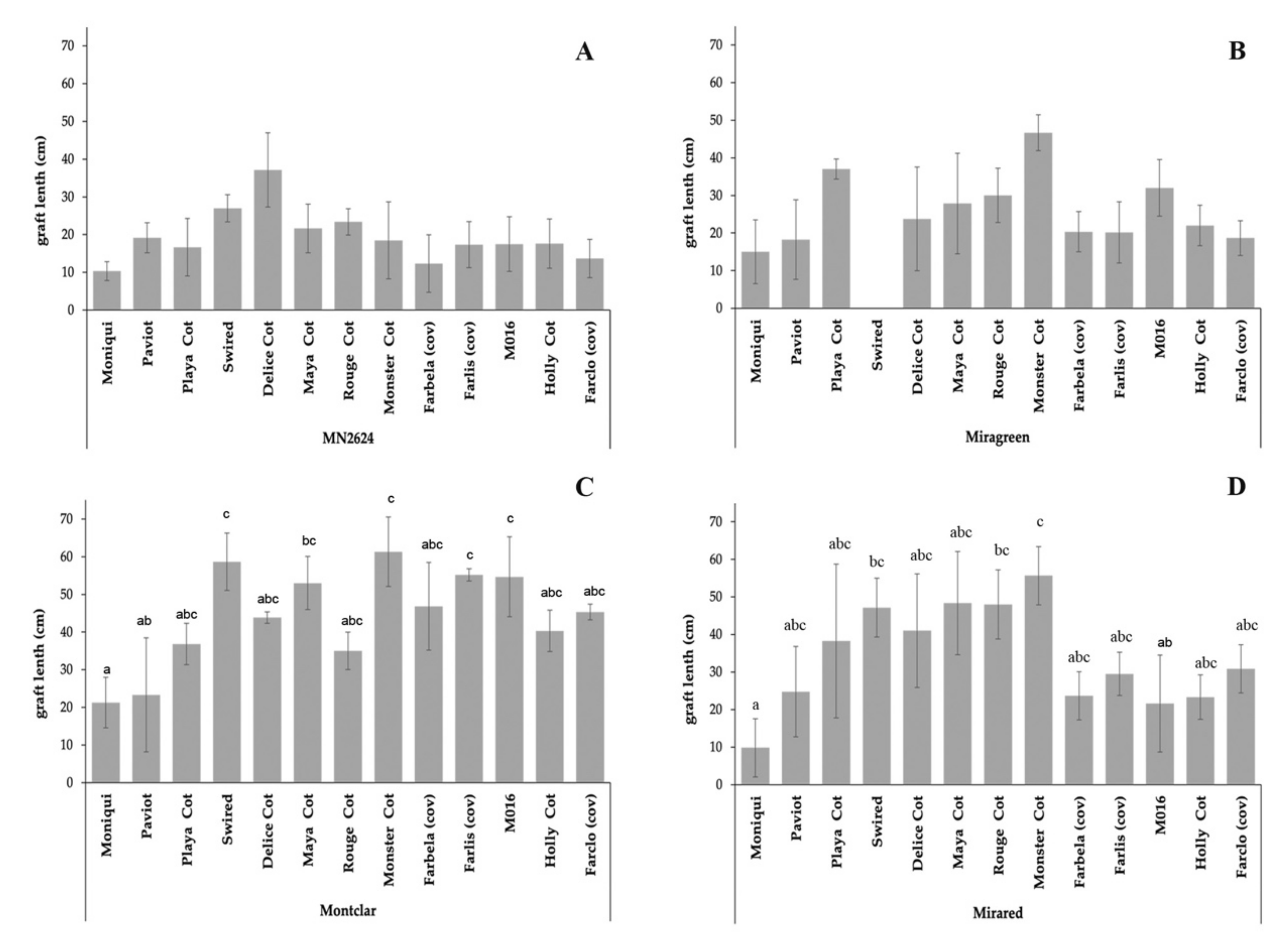
3.3. Plant Growth Related Variables and Anatomical Characterization One Year after Grafting
3.4. Correlation beetwen Traits and Pricipal Components Analysis (PCA)
4. Discussion
5. Conclusions
Supplementary Materials
Author Contributions
Funding
Institutional Review Board Statement
Informed Consent Statement
Data Availability Statement
Acknowledgments
Conflicts of Interest
References
- FAO Food and Agriculture Organization of the United Nations. Available online: http://www.fao.org/faostat/es/#data/QC (accessed on 12 February 2020).
- Zhebentyayeva, T.; Ledbetter, C.; Burgos, L.; Llácer, G. Apricot. In Fruit Breeding; Badenes, M.L., Byrne, D.H., Eds.; Springer: Boston, MA, USA, 2012; pp. 415–458. ISBN 978-1-4419-0762-2. [Google Scholar]
- Krška, B. Genetic Apricot Resources and their Utilisation in Breeding. In Breeding and Health Benefits of Fruit and Nut Crops; Soneji, J., Nageswara-Rao, M., Eds.; InTech: London, UK, 2018; Volume i, pp. 63–82. [Google Scholar] [CrossRef]
- Herrera, S.; Lora, J.; Hormaza, J.I.; Herrero, M.; Rodrigo, J. Optimizing Production in the New Generation of Apricot Cultivars: Self-incompatibility, S-RNase Allele Identification, and Incompatibility Group Assignment. Front. Plant Sci. 2018, 9, 1–12. [Google Scholar] [CrossRef] [PubMed] [Green Version]
- Krška, B.; Vachůn, Z. Apricot breeding at the Faculty of Horticulture in Lednice. Agronomy 2016, 6, 27. [Google Scholar] [CrossRef] [Green Version]
- Llácer, G. Problemática actual de la mejora genética de frutales en España. ITEA 2005, 101, 364–372. [Google Scholar]
- Egea, J.; Dicenta, F.; Burgos, L.; Martínez-Gómez, P.; Rubio, M.; Campoy, J.A.; Ortega, E.; Patiño, J.L.; Nortes, L.; Molina, A.; et al. New apricot cultivars from CEBAS-CSIC (Murcia, Spain) breeding programme. Acta Hortic. 2010, 862, 113–118. [Google Scholar] [CrossRef]
- Bassi, D.; Audergon, J.M. Apricot Breeding: Update and Perspectives. In Proceedings of the Acta Horticulturae, International Society for Horticultural Science (ISHS), XIIth Symposium on Apricot, Avignon, France, 10–14 September 2001; International Society for Horticultural Science: Leuven, Belgium, 2006; pp. 279–294. Available online: https://www.ishs.org/ishs-article/701_43 (accessed on 10 April 2021).
- Rasool, A.; Mansoor, S.; Bhat, K.M.; Hassan, G.I.; Baba, T.R.; Alyemeni, M.N.; Alsahli, A.A.; El-Serehy, H.A.; Paray, B.A.; Ahmad, P. Mechanisms Underlying Graft Union Formation and Rootstock Scion Interaction in Horticultural Plants. Front. Plant Sci. 2020, 11. [Google Scholar] [CrossRef]
- Southwick, S.M.; Weis, K.G. Selecting and propagating rootstocks to produce apricots. Horttechnology 1998, 8, 164–170. [Google Scholar] [CrossRef] [Green Version]
- Warschefsky, E.J.; Klein, L.L.; Frank, M.H.; Chitwood, D.H.; Londo, J.P.; von Wettberg, E.J.B.; Miller, A.J. Rootstocks: Diversity, Domestication, and Impacts on Shoot Phenotypes. Trends Plant Sci. 2016, 21, 418–437. [Google Scholar] [CrossRef]
- Bassi, D.; Bartolini, S.; Viti, R. Recent Advances on enviromental and physiological challenges in apricot growing. Acta Hortic. 2006, 717, 23–31. [Google Scholar] [CrossRef]
- Reig, G.; Zarrouk, O.; Font i Forcada, C.; Moreno, M.Á. Anatomical graft compatibility study between apricot cultivars and different plum based rootstocks. Sci. Hortic. 2018, 237, 67–73. [Google Scholar] [CrossRef]
- Hartmann, H.T.; Kester, D.E.; Davies, F.T.; Geneve, R.L. Principles of grafting and budding. In Plant Propagation. Principles and Practices; Education, P., Ed.; Prentice Hall: New York, NY, USA, 2002; pp. 411–460. [Google Scholar]
- Pina, A.; Errea, P. A review of new advances in mechanism of graft compatibility–incompatibility. Sci. Hortic. 2005, 106, 1–11. [Google Scholar] [CrossRef]
- Aloni, B.; Cohen, R.; Karni, L.; Aktas, H.; Edelstein, M. Hormonal signaling in rootstock–scion interactions. Sci. Hortic. 2010, 127, 119–126. [Google Scholar] [CrossRef]
- Errea, P.; Felipe, A.J. Compatibilidad de injerto en albaricoquero (Prunus armeniaca). Investig. Agrar. Prod. Protección Veg. 1993, 8, 67–77. [Google Scholar]
- Lapins, K. Some symptoms of stock-scion incompatibility of apricot varieties on peach seedling rootstock. Can. J. Plant Sci. 1959, 39, 194–203. [Google Scholar] [CrossRef]
- Errea, P.; Felipe, A.J.; Herrero, M. Graft establishment between compatible and incompatible Prunnus spp. J. Exp. Bot. 1994, 45, 393–401. [Google Scholar] [CrossRef]
- Ermel, F.F.; Posëssel, J.L.; Faurobert, M.; Catessons, A.M. Early Scion/Stock Junction in Compatible and Incompatible Pear/Pear and Pear/Quince Grafts: A Histo-cytological Study. Ann. Bot. 1997, 79, 505–515. [Google Scholar] [CrossRef]
- Pina, A.; Cookson, S.; Calatayud, A.; Trinchera, A.; Errea, P. Physiological and molecular mechanisms underlying graft compatibility. In Vegetable Grafting: Principles and Practices; Colla, G., Perez-Alfocea, F., Schwarz, D., Eds.; CABI Publising: London, UK, 2017; pp. 132–154. ISBN 978-1-78064-897-2. [Google Scholar]
- Soumelidou, K.; Battey, N.H.; Jhon, P.; Barnett, J.R. The Anatomy of the developing bud union and its relationship to dwarfing in apple. Ann. Bot. 1994, 74, 605–611. [Google Scholar] [CrossRef]
- Pina, A.; Errea, P.; Schulz, A.; Martens, H.J. Cell-to-cell transport through plasmodesmata in tree callus cultures. Tree Physiol. 2009, 29, 809–818. [Google Scholar] [CrossRef] [Green Version]
- Errea, P.; Garay, L.; Marín, J.A. Early detection of graft incompatibility in apricot (Prunus armeniaca) using in vitro techniques. Physiol. Plant 2001, 112, 135–141. [Google Scholar] [CrossRef]
- Trinchera, A.; Pandozy, G.; Rinaldi, S.; Crinò, P.; Temperini, O.; Rea, E. Graft union formation in artichoke grafting onto wild and cultivated cardoon: An anatomical study. J. Plant Physiol. 2013, 170, 1569–1578. [Google Scholar] [CrossRef]
- Irisarri, P.; Binczycki, P.; Errea, P.; Martens, H.J.; Pina, A. Oxidative stress associated with rootstock-scion interactions in pear/quince combinations during early stages of graft development. J. Plant Physiol. 2015, 176, 25–35. [Google Scholar] [CrossRef]
- Pina, A.; Errea, P. Influence of graft incompatibility on gene expression and enzymatic activity of UDP-glucose pyrophosphorylase. Plant Sci. 2008, 174, 502–509. [Google Scholar] [CrossRef]
- Aloni, B.; Karni, L.; Deventurero, G.; Levin, Z.; Cohen, R.; Katzir, N.; Lotan-Pompan, M.; Edelstein, M.; Aktas, H.; Turhan, E.; et al. Physiological and biochemical changes at the rootstock-scion interface in graft combinations between Cucurbita rootstocks and a melon scion. J. Hortic. Sci. Biotechnol. 2008, 83, 777–783. [Google Scholar] [CrossRef]
- Loupit, G.; Cookson, S.J. Identifying Molecular Markers of Successful Graft Union Formation and Compatibility. Front. Plant Sci. 2020, 11, 1–11. [Google Scholar] [CrossRef] [PubMed]
- Amri, R.; Font i Forcada, C.; Giménez, R.; Pina, A.; Moreno, M.Á. Biochemical Characterization and Differential Expression of PAL Genes Associated With “Translocated” Peach/Plum Graft-Incompatibility. Front. Plant Sci. 2021, 12. [Google Scholar] [CrossRef] [PubMed]
- Assunção, M.; Tedesco, S.; Fevereiro, P. Molecular Aspects of Grafting in Woody Plants. Annu. Plant Rev. 2021, 4. [Google Scholar] [CrossRef]
- Dos Santos Pereira, I.; Silva Messias, R.; Diniz Campos, Â.; Errea, P.; Corrêa Antunes, L.E.; Fachinello, J.C.; Pina, A. Growth characteristics and phenylalanine ammonia-lyase activity in peach grafted on different Prunus spp. Biol. Plant 2014, 58, 114–120. [Google Scholar] [CrossRef] [Green Version]
- Irisarri, P.; Zhebentyayeva, T.; Errea, P.; Pina, A. Differential expression of phenylalanine ammonia lyase (PAL) genes implies distinct roles in development of graft incompatibility symptoms in Prunus. Sci. Hortic. 2016, 204, 16–24. [Google Scholar] [CrossRef]
- Kao, Y.-Y.; Harding, S.A.; Tsai, C.-J. Differential expression of two distinct phenylalanine ammonia-lyase genes in condensed tannin-accumulating and lignifying cells of quaking aspen. Plant Physiol. 2002, 130, 796–807. [Google Scholar] [CrossRef] [Green Version]
- Kumar, A.; Ellis, B.E. The phenylalanine ammonia-lyase gene family in raspberry. Structure, expression, and evolution. Plant Physiol. 2001, 127, 230–239. [Google Scholar] [CrossRef] [Green Version]
- Lillo, C.; Lea, U.S.; Ruoff, P. Nutrient depletion as a key factor for manipulating gene expression and product formation in different branches of the flavonoid pathway. Plant. Cell Environ. 2008, 31, 587–601. [Google Scholar] [CrossRef] [PubMed]
- Errea, P. Implications of phenolic compounds in graft incompatibility in fruit tree species. Sci. Hortic. 1998, 74, 195–205. [Google Scholar] [CrossRef]
- Canas, S.; Assunção, M.; Brazão, J.; Zanol, G.; Eiras-Dias, J.E. Phenolic compounds involved in grafting incompatibility of vitis spp: Development and validation of an analytical method for their quantification. Phytochem. Anal. 2015, 26, 1–7. [Google Scholar] [CrossRef] [PubMed]
- Usenik, V.; Krška, B.; Vičan, M.; Štampar, F. Early detection of graft incompatibility in apricot (Prunus armeniaca L.) using phenol analyses. Sci. Hortic. 2006, 109, 332–338. [Google Scholar] [CrossRef]
- Hudina, M.; Primoz, O.; Jakopic, J.; Stampar, F. The phenolic content and its involvement in the graft incompatibility process of various pear rootstocks (Pyrus communis L.). J. Plant Physiol. 2014, 171, 76–84. [Google Scholar] [CrossRef] [PubMed]
- Zheng, B.S.; Chu, H.L.; Jin, S.H.; Huang, Y.J.; Wang, Z.J.; Chen, M.; Huang, J.Q. cDNA-AFLP analysis of gene expression in hickory (Carya cathayensis) during graft process. Tree Physiol. 2010, 30, 297–303. [Google Scholar] [CrossRef] [Green Version]
- Cookson, S.J.; Clemente Moreno, M.J.; Hevin, C.; Nyamba Mendome, L.Z.; Delrot, S.; Trossat-Magnin, C.; Ollat, N. Graft union formation in grapevine induces transcriptional changes related to cell wall modification, wounding, hormone signalling, and secondary metabolism. J. Exp. Bot. 2013, 64, 2997–3008. [Google Scholar] [CrossRef]
- Pina, A.; Irisarri, P.; Errea, P.; Zhebentyayeva, T. Mapping Quantitative Trait Loci Associated With Graft (In) Compatibility in Apricot (Prunus armeniaca L.). Front. Plant Sci. 2021, 12. [Google Scholar] [CrossRef] [PubMed]
- Williams, J.H.; Friedman, W.E.; Arnold, M.L. Developmental selection within the angiosperm style: Using gamete DNA to visualize interspecific pollen competition. Proc. Natl. Acad. Sci. USA 1999, 96, 9201–9206. [Google Scholar] [CrossRef] [PubMed] [Green Version]
- Irisarri, P.; Zhebentyayeva, T.; Errea, P.; Pina, A. Inheritance of self- and graft-incompatibility traits in an F1 apricot progeny. PLoS ONE 2019, 14, e0216371. [Google Scholar] [CrossRef] [PubMed] [Green Version]
- Meisel, L.; Fonseca, B.; González, S.; Baeza-Yates, R.; Cambiazo, V.; Campos, R.; Gonzalez, M.; Orelana, A.; Retameles, J.; Silva, H. A Rapid and Efficient Method for Purifying High Quality Total RNA from Peaches (Prunus persica) for Funtional Genomics Analyses. Biol. Res. 2005, 38, 83–88. [Google Scholar] [CrossRef] [Green Version]
- Ruijter, J.M.; Ramakers, C.; Hoogaars, W.M.H.; Karlen, Y.; Bakker, O.; van den Hoff, M.J.B.; Moorman, A.F.M. Amplification efficiency: Linking baseline and bias in the analysis of quantitative PCR data. Nucleic Acids. Res. 2009, 37, e45. [Google Scholar] [CrossRef] [PubMed] [Green Version]
- Schefe, J.H.; Lehmann, K.E.; Buschmann, I.R.; Unger, T.; Funke-Kaiser, H. Quantitative real-time RT-PCR data analysis: Current concepts and the novel “gene expression’s CT difference” formula. J. Mol. Med. 2006, 84, 901–910. [Google Scholar] [CrossRef] [PubMed]
- Jiménez, S.; Li, Z.; Reighard, G.L.; Bielenberg, D.G. Identification of genes associated with growth cessation and bud dormancy entrance using a dormancy-incapable tree mutant. BMC Plant Biol. 2010, 10, 25. [Google Scholar] [CrossRef] [Green Version]
- Katabuchi, M. LeafArea: An R package for rapid digital image analysis of leaf area. Ecol. Res. 2015, 30, 1073–1077. [Google Scholar] [CrossRef]
- Herrero, J. Studies of compatible and incompatible graft combinations with special reference to hardy fruti trees. J. Hort. Sci. 1951, 26, 186–237. [Google Scholar] [CrossRef] [Green Version]
- R Core Team. R Core Team. R: A Language and Enviroment for Statistical Computing, Vienna, Austria. 2019. Available online: https://www.scirp.org/(S(lz5mqp453edsnp55rrgjct55))/reference/ReferencesPapers.aspx?ReferenceID=2631126 (accessed on 10 April 2021).
- Pina, A.; Errea, P. Differential induction of phenylalanine ammonia-lyase gene expression in response to in vitro callus unions of Prunus spp. J. Plant Physiol. 2008, 165, 705–714. [Google Scholar] [CrossRef]
- Zarrouk, O.; Testillano, P.S.; Risueño, M.C.; Moreno, M.Á.; Gogorcena, Y. Changes in Cell/Tissue Organization and Peroxidase Activity as Markers for Early Detection of Graft Incompatibility in Peach/Plum Combinations. J. Am. Soc. Hortic. Sci. 2010, 135, 9–17. [Google Scholar] [CrossRef]
- Espen, L.; Cocucci, M.; Sacchi, G.A. Differentiation and functional connection of vascular elements in compatible and incompatible pear/quince internode micrografts. Tree Physiol. 2005, 25, 1419–1425. [Google Scholar] [CrossRef] [Green Version]
- Pina, A.; Errea, P.; Martens, H.J. Graft union formation and cell-to-cell communication via plasmodesmata in compatible and incompatible stem unions of Prunus spp. Sci. Hortic. 2012, 143, 144–150. [Google Scholar] [CrossRef]
- Miller, H.; Barnett, J.R. The structure and composition of bead-like projections on Sitka spruce callus cells formed during grafting and in culture. Ann. Bot. 1993, 72, 441–448. [Google Scholar] [CrossRef]
- Wulf, K.E.; Reid, J.B.; Foo, E. What drives interspecies graft union success? Exploring the role of phylogenetic relatedness and stem anatomy. Physiol. Plant 2020, 170, 132–147. [Google Scholar] [CrossRef] [PubMed]
- Hartman, H.T.; Kester, D.E.; Davies, F.T.; Geneve, R.G. Principles of grafting and budding. In Hartmann and Kester’s Plant Propagation: Principles and Practices; Prentice Hall: Upper Saddle River, NJ, USA, 2011; pp. 415–463. [Google Scholar]
- Mudge, K.; Janick, J.; Scofield, S.; Goldschmidt, E.E. A History of Grafting. In Horticultural Reviews; 2009; Volume 35, pp. 437–493. ISBN 9780470593776. [Google Scholar]
- Moreno, M.A.; Adrada, R.; Aparicio, J.; BetráN, S. Performance of ‘Sunburst’ sweet cherry grafted on different rootstocks. J. Hortic. Sci. Biotechnol. 2001, 76, 167–173. [Google Scholar] [CrossRef]
- Vachun, Z. Rootstocks for apricot—The current situation and main problems. Acta Hortic. 1995, 384, 459–465. [Google Scholar] [CrossRef]
- Martínez-Ballesta, M.C.; Alcaraz-López, C.; Muries, B.; Mota-Cadenas, C.; Carvajal, M. Physiological aspects of rootstock–scion interactions. Sci. Hortic. 2010, 127, 112–118. [Google Scholar] [CrossRef]
- Albacete, A.; MartÍnez-AndÚjar, C.; Ghanem, M.E.; Acosta, M.; SÁnchez-Bravo, J.; Asins, M.J.; Cuartero, J.; Lutts, S.; Dodd, I.C.; PÉrez-Alfocea, F. Rootstock-mediated changes in xylem ionic and hormonal status are correlated with delayed leaf senescence, and increased leaf area and crop productivity in salinized tomato. Plant Cell Environ. 2009, 32, 928–938. [Google Scholar] [CrossRef]








| Cultivars | Origin | Breeding Program | Bloom | |
|---|---|---|---|---|
| Season | Fertility | |||
| Moniqui | Spain | Traditional | early | sterile |
| Paviot | France | Traditional | late | self fertile |
| Playa Cot | France | COT international | late | self fertile |
| Swired | SUISSE | COT international and STAR FRUITS | semi early | self fertile |
| Delice Cot | France | COT international | semi-late | self fertile |
| Maya Cot | France | COT international | early | sterile |
| Rouge Cot | France | COT international | semi late | self fertile |
| Monster Cot | EEUU | SMS UNLIMITED-USA California COT international | medium | self sterile |
| Farbela (cov) | France | Newcot (International Plant Selection) | early | self fertile |
| Farlis (cov) | France | Newcot (International Plant Selection) | late | self fertile |
| M016 | Advanced selection | Advanced selection | Advanced selection | Advanced selection |
| Holly Cot | France | COT international | early | self sterile |
| Farclo (cov) | France | Newcot (International Plant Selection) | medium | self fertile |
| Primer Name | Primer Sequences (5′–3′) | Tm (°C) | Amplicon Size (pb) | RT-qPCR Efficiency 1 | R2 * |
|---|---|---|---|---|---|
| PAL1 (forward) | ATGAGGTGAAGCGCATGGTG | 62 | 85 | 1.941 | 0.9994 |
| PAL1 (reverse) | CTATGGCAGCCACTTGGGAA | 62 | |||
| PAL2 (forward) | AGGTCAAACGGATGGTCAAC | 58 | 85 | 1.974 | 0.9995 |
| PAL2 (reverse) | ATTGCAGCCACCTGAGCTAT | 60 | |||
| Actin (forward) | TGAGGCTCCTCTCAACCCTA | 62 | 82 | 1.978 | 0.9987 |
| Actin (reverse) | ATACATGGCAGGCACATTGA | 58 |
| Cultivar | Graft Take (%) | ||||
|---|---|---|---|---|---|
| ‘MN2624’ | ‘Miragreen’ | ‘Mirared’ | ‘Montclar’ | ||
| Moniqui | 67 | 50 | 67 | 44 | 57 |
| Paviot | 50 | 42 | 58 | 58 | 52 |
| Playa Cot | 67 | 100 | 100 | 75 | 85 |
| Swired | 83 | 25 | 92 | 83 | 71 |
| Delice Cot | 83 | 75 | 92 | 92 | 85 |
| Maya Cot | 67 | 58 | 83 | 67 | 69 |
| Rouge Cot | 100 | 75 | 92 | 67 | 83 |
| Monster Cot | 100 | 75 | 83 | 100 | 90 |
| Farbela (cov) | 83 | 50 | 67 | 75 | 69 |
| Farlis (cov) | 83 | 67 | 58 | 83 | 73 |
| M016 | 100 | 67 | 83 | 100 | 88 |
| Holly Cot | 92 | 67 | 38 | 92 | 72 |
| Farclo (cov) | 83 | 58 | 75 | 83 | 75 |
| 81 | 62 | 75 | 78 | ||
Publisher’s Note: MDPI stays neutral with regard to jurisdictional claims in published maps and institutional affiliations. |
© 2021 by the authors. Licensee MDPI, Basel, Switzerland. This article is an open access article distributed under the terms and conditions of the Creative Commons Attribution (CC BY) license (https://creativecommons.org/licenses/by/4.0/).
Share and Cite
Irisarri, P.; Errea, P.; Pina, A. Physiological and Molecular Characterization of New Apricot Cultivars Grafted on Different Prunus Rootstocks. Agronomy 2021, 11, 1464. https://doi.org/10.3390/agronomy11081464
Irisarri P, Errea P, Pina A. Physiological and Molecular Characterization of New Apricot Cultivars Grafted on Different Prunus Rootstocks. Agronomy. 2021; 11(8):1464. https://doi.org/10.3390/agronomy11081464
Chicago/Turabian StyleIrisarri, Patricia, Pilar Errea, and Ana Pina. 2021. "Physiological and Molecular Characterization of New Apricot Cultivars Grafted on Different Prunus Rootstocks" Agronomy 11, no. 8: 1464. https://doi.org/10.3390/agronomy11081464
APA StyleIrisarri, P., Errea, P., & Pina, A. (2021). Physiological and Molecular Characterization of New Apricot Cultivars Grafted on Different Prunus Rootstocks. Agronomy, 11(8), 1464. https://doi.org/10.3390/agronomy11081464

