Enhancing Sustainable Potato Production—A Case Study in Northern China
Abstract
:1. Introduction
2. Materials and Methods
2.1. General Description
2.2. Experimental Design and Data Collection
2.2.1. The 2017 Experiment
2.2.2. The 2018 Experiment
2.2.3. Soil Characteristics
2.3. Data Analysis
2.3.1. Yield and Quality
2.3.2. Resource Use Efficiencies
2.4. Farmer Interviews
3. Results
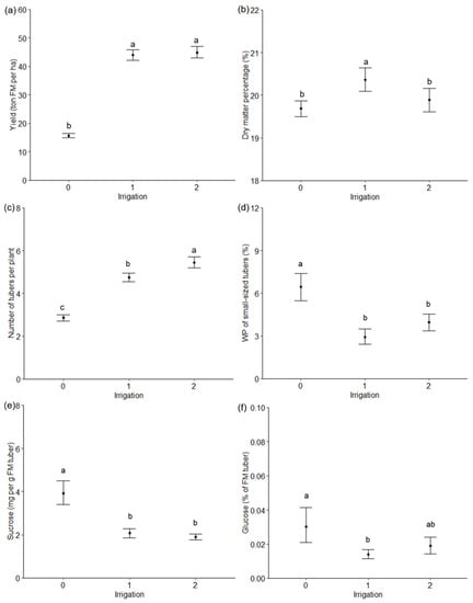
3.1. Yield and Quality in the 2017 Experiment
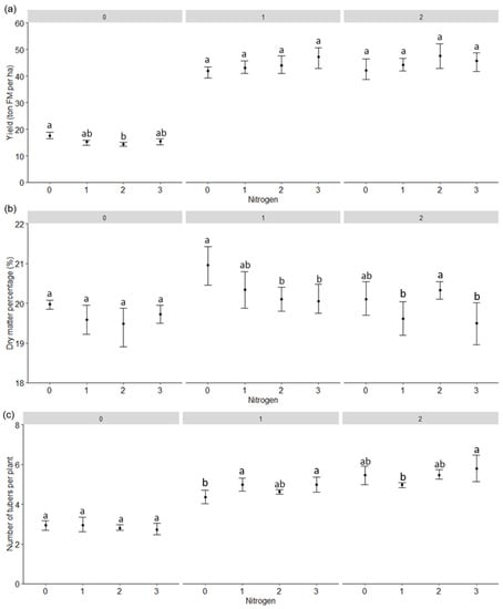
3.2. Yield and Quality in the 2018 Experiment
3.3. Resource Use Efficiencies
3.4. Farmer Interviews
4. Discussion
4.1. Sustainable Nitrogen Management
4.1.1. Experimental Results
4.1.2. Future Nitrogen Fertiliser Management
4.2. Sustainable Water Management
4.2.1. Experimental Results
4.2.2. Future Irrigation Management
5. Conclusions
Supplementary Materials
Author Contributions
Funding
Institutional Review Board Statement
Informed Consent Statement
Data Availability Statement
Acknowledgments
Conflicts of Interest
References
- Food and Agriculture Organization (FAO). FAOSTAT, Production Database. Available online: http://faostat3.fao.org/home/E (accessed on 1 February 2019).
- Chinese Ministry of Agriculture (MOA). Instructions on Promoting the Development of Potato Industry. 2016. Available online: http://www.moa.gov.cn/govpublic/ZZYGLS/201603/t20160301_5034313.htm (accessed on 1 February 2017). (In Chinese)
- Wang, N.; Reidsma, P.; Pronk, A.A.; de Wit, A.J.W.; van Ittersum, M.K. Can potato add to China’s food self-sufficiency? The scope for increasing potato production in China. Eur. J. Agron. 2018, 101, 20–29. [Google Scholar] [CrossRef]
- Van Ittersum, M.K.; Cassman, K.G.; Grassini, P.; Wolf, J.; Tittonell, P.; Hochman, Z. Yield gap analysis with local to global relevance—A review. Field Crops Res. 2013, 143, 4–17. [Google Scholar] [CrossRef] [Green Version]
- USDA. Potato and Potato Productions Annual Report. Peoples Republic of China; GAIN Report; USDA: Washington, DC, USA, 2018.
- Li, Y.; Zhang, W.; Ma, L.; Huang, G.; Oenema, O.; Zhang, F.; Dou, Z. An analysis of China’s fertilizer policies: Impacts on the industry, food security, and the environment. J. Environ. Qual. 2013, 42, 972–981. [Google Scholar] [CrossRef]
- Zhang, C.; Ju, X.; Powlson, D.S.; Oenema, O.; Smith, P. Nitrogen surplus benchmarks for controlling N pollution in the main cropping systems of China. Environ. Sci. Technol. 2019, 53, 6678–6687. [Google Scholar] [CrossRef] [PubMed]
- Wang, N.; Reidsma, P.; Van Ittersum, M.K. Scope and strategies for sustainable intensification of potato production in northern China. J. Agron. 2020, 112, 3591–3604. [Google Scholar] [CrossRef]
- De Wit, C.D. Resource use efficiency in agriculture. Agric. Syst. 1992, 40, 125–151. [Google Scholar] [CrossRef]
- Storey, R.M.J.; Davies, H.V. Tuber quality. In The Potato Crop; Springer: Dordrecht, The Netherlands, 1992; pp. 507–569. [Google Scholar]
- Duan, Y.; Tuo, D.B.; Zhao, P.Y.; Li, H.C.; Li, S. Response of potato to fertilizer application and nutrient use efficiency in Inner Mongolia. Better Crops 2013, 97, 24–26. [Google Scholar]
- Li, S.; Jin, J. 4R Nutrient Management Practices for Potato Production in China. Better Crops Plant Food 2012, 96, 20–23. [Google Scholar]
- Li, S.; Jin, J.; Duan, Y.; Chen, Z.; Guo, T.; Li, Y.; Tong, Y.A. Agronomic Evaluation of Nutrient Management for Potato in Northwest China. 2009. Available online: http://china.ipni.net/article/CNP-3021 (accessed on 1 March 2019).
- COWI. Groundwater in China. Part 1 Occurrence and Use. Nature Agency, Ministry of the Environment. 2013. Available online: https://ecoinnovation.dk/media/mst/94641/130618%20Groundwater%20in%20China_Part%201_Occurrence%20and%20Use.pdf (accessed on 1 March 2018).
- Jia, L.; Qin, Y.; Chen, Y.; Fan, M. Fertigation improves potato production in Inner Mongolia (China). J. Crop Improv. 2018, 32, 648–656. [Google Scholar] [CrossRef]
- Tang, J.; Wang, J.; Fang, Q.; Wang, E.; Yin, H.; Pan, X. Optimizing planting date and supplemental irrigation for potato across the agro-pastoral ecotone in North China. Eur. J. Agron. 2018, 98, 82–94. [Google Scholar] [CrossRef]
- Li, S.; Duan, Y.; Guo, T.; Zhang, Y. Demonstrating a link between nutrient use and water management to improve crop yields and nutrient use efficiency in arid Northwest China. Better Crops Plant Food 2011, 95, 20–22. [Google Scholar]
- Shock, C.C.; Wang, F.; Flock, R.; Eldredge, E.; Pereira, A.; Klauzer, J. Drip irrigation guide for potatoes. Sustainable Agriculture Techniques EM8912. Oregon State University Extension Service. Available online: http://ir.Library.oregonstate.edu/xmlui/bitstream/handle/1957/43803/em8912 (accessed on 1 March 2017).
- King, B.A.; Stark, J.C. Potato Irrigation Management (No. 789); University of Idaho, Cooperative Extension System, College of Agriculture: Moscow, ID, USA, 1997. [Google Scholar]
- Wang, N.; Reidsma, P.; Wang, Z.Q.; van Ittersum, M.K. Synergy or trade-off? A framework and application to benchmark yield, quality and revenue of potato production. Field Crops Res. 2019, 240, 116–124. [Google Scholar] [CrossRef]
- Beukema, H.P.; van der Zaag, D.E. Introduction to Potato Production; No. 633.491 B4; Wageningen UR: Wageningen, The Netherlands, 1990. [Google Scholar]
- Neeteson, J.J. Assessment of Fertilizer Nitrogen Requirement of Potatoes and Sugar Beet. Ph.D. Thesis, Landbouwuniversiteit Wageningen, Wageningen, The Netherlands, 1989; pp. 71–80. [Google Scholar]
- United States Department of Agriculture (USDA). Natural Resources Conservation Service Soils. Available online: https://www.nrcs.usda.gov/wps/portal/nrcs/detail/soils/survey/?cid=nrcs142p2_054167 (accessed on 1 March 2019).
- EU Nitrogen Expert Panel. Nitrogen Use Efficiency (NUE) an Indicator for the Utilization of Nitrogen in Food Systems; Wageningen University: Wageningen, The Netherlands, 2015. [Google Scholar]
- Quemada, M.; Lassaletta, L.; Jensen, L.S.; Godinot, O.; Brentrup, F.; Buckley, C.; Foray, S.; Hvid, S.K.; Oenema, J.; Richards, K.G.; et al. Exploring nitrogen indicators of farm performance among farm types across several European case studies. Agric. Syst. 2020, 177, 102689. [Google Scholar] [CrossRef]
- Xu, W.; Luo, X.S.; Pan, Y.P.; Zhang, L.; Tang, A.H.; Shen, J.L.; Zhang, Y.; Li, K.H.; Wu, Q.H.; Yang, D.W.; et al. Quantifying atmospheric nitrogen deposition through a nationwide monitoring network across China. Atmos. Chem. Phys. 2015, 15, 12345–12360. [Google Scholar] [CrossRef] [Green Version]
- Gregory, P.J.; Simmonds, L.P. Water relations and growth of potatoes. In The Potato Crop; Springer: Dordrecht, The Netherlands, 1992; pp. 214–246. [Google Scholar]
- Liebscher, G. Untersuchungen über die Bestimmung des Düngerbedürfnisses der Ackerböden und Kulturpflanzen. J. Für Landwirtsch. 1895, 43, 49–125. [Google Scholar]
- Harris, P.M. The Potato Crop; Mineral Nutrition; Springer: Dordrecht, The Netherlands, 1992; pp. 162–213. [Google Scholar]
- Perrenoud, S. Potato: Fertilizers for yield and quality. Int. Potash Inst. Bull. 1983, 8, 84. [Google Scholar]
- Ten Berge, H.F.M.; Hijbeek, R.; van Loon, M.P.; Rurinda, J.; Tesfaye, K.; Zingore, S.; Craufurd, P.; van Heerwaarden, J.; Brentrup, F.; Schröder, J.J.; et al. Maize crop nutrient input requirements for food security in sub-Saharan Africa. Glob. Food Sec. 2019, 23, 9–21. [Google Scholar] [CrossRef]
- Ministry of Agriculture and Rural Affairs of the People’s Republic of China (MOA). National Agricultural Sustainable Development Plan (2015–2030); MOA: Beijing, China, 2015. (In Chinese)
- Charkowski, A.; Sharma, K.; Parker, M.L.; Secor, G.A.; Elphinstone, J. The Potato Crop; Bacterial Diseases of Potato; Springer: Cham, Switzerland, 2020; pp. 351–388. [Google Scholar]
- Choudhary, D.K.; Nabi, S.U.; Dar, M.S.; Khan, K.A. Ralstonia solanacearum: A wide spread and global bacterial plant wilt pathogen. J. Pharmacogn. Phytochem. 2018, 7, 85–90. [Google Scholar]
- MacKerron, D.K.L.; Jefferies, R.A. The influence of early soil moisture stress on tuber numbers in potato. Potato Res. 1986, 29, 299–312. [Google Scholar] [CrossRef]
- MacKerron, D.K.L. Timing of irrigation in relation to yield and quality of potatoes. In Irrigating Potatoes, UK Irrigation Association Technical Monograph 2; Carr, M.K.V., Hamer, P.J.C., Eds.; Cranfield Press: Silsoe, Bedfordshire, UK, 1990; pp. 54–60. [Google Scholar]
- Van Loon, C.D. Effect of water stress on potato growth, development and yield. Am. Potato J. 1981, 58, 51–69. [Google Scholar] [CrossRef]
- MacKerron, D.K.L.; Jefferies, R.A. The distributions of tuber sizes in droughted and irrigated crops of potato. I. Observations on the effect of water stress on graded yields from differing cultivars. Potato Res. 1988, 31, 269–278. [Google Scholar] [CrossRef]
- Moorby, J.; Munns, R.; Walcott, J. Effect of water deficit on photosynthesis and tuber metabolism in potatoes. Aust. J. Plant. Physiol. 1975, 2, 323–333. [Google Scholar] [CrossRef]
- Penman, H.L. Evaporation: An introductory survey. NJAS Wagening. J. Life Sci. 1956, 4, 9–29. [Google Scholar]




| Year | Farm No. | Location | N Treatment | Fertiliser N (kg ha−1) | Fertiliser P2O5 (kg ha−1) | Fertiliser K2O (kg ha−1) |
|---|---|---|---|---|---|---|
| 2017 | Hailer | N0 | 0 | 296 | 321 | |
| N1 | 184 | 296 | 321 | |||
| N2 | 225 | 296 | 321 | |||
| N3 | 267 | 296 | 321 | |||
| 2018 | 1 | Chenqi | N_low | 81 (0) | 48 (0) | 240 (0) |
| N_medium | 181 (100) | 48 (0) | 240 (0) | |||
| N_high | 234 (234) | 223 (223) | 404 (404) | |||
| 2 | Xiertala | N_low | 56 (0) | 12 (0) | 255 (0) | |
| N_medium | 156 (100) | 12 (0) | 255 (0) | |||
| N_high | 228 (228) | 155 (155) | 480 (480) | |||
| 3 | Xiertala | N_low | 56 (0) | 12 (0) | 255 (0) | |
| N_medium | 156 (100) | 12 (0) | 255 (0) | |||
| N_high | 224 (224) | 204 (204) | 435 (435) | |||
| 4 | Hailer | N_low | 9 (0) | 0 (0) | 11 (0) | |
| N_medium | 109 (100) | 0 (0) | 11 (0) | |||
| N_high | 189 (189) | 204 (204) | 359 (359) | |||
| 5 | Hailer | N_low | 117 (0) | 0 (0) | 115 (0) | |
| N_medium | 217 (100) | 0 (0) | 115 (0) | |||
| N_high | 252 (252) | 230 (230) | 426 (426) |
| Years | Farm No. | Field No. | Experiments | Farmer-Perceived Field Condition | Soil Organic Matter (%) | Soil pH | Alkali-Hydrolysable N (kg ha−1) | Plant Available P2O5 (mg P kg−1) | Plant Available K2O (mg K kg−1) |
|---|---|---|---|---|---|---|---|---|---|
| 2017 | N and irrigation | 2.2 | 6.5 | 636 | 42 | 159 | |||
| 2018 | 1 | 1 | N | Good | 3.9 | 6.3 | 708 | 28 | 170 |
| 2018 | 1 | 2 | N | Poor | 3.5 | 6.6 | 598 | 32 | 144 |
| 2018 | 2 | 3 | N | Good | 5.7 | 7.6 | 1036 | 26 | 171 |
| 2018 | 2 | 4 | N | Poor | 5.9 | 7.3 | 1043 | 28 | 206 |
| 2018 | 3 | 5 | N | Good | 4.2 | 6.3 | 755 | 43 | 190 |
| 2018 | 3 | 6 | N | Poor | 5.0 | 6.6 | 908 | 42 | 177 |
| 2018 | 4 | 7 | N | Good | 2.4 | 6.3 | 408 | 37 | 131 |
| 2018 | 4 | 8 | N | Poor | 2.5 | 6.4 | 579 | 37 | 173 |
| 2018 | 5 | 9 | N | Good | 2.7 | 5.9 | 464 | 58 | 150 |
| 2018 | 5 | 10 | N | Poor | 3.2 | 5.9 | 643 | 48 | 191 |
| 2018 | 1 | 11 | Irrigation | 3.6 | 6.4 | 642 | 30 | 151 |
| Farm No. | Field No. | Farmer-Perceived Field Conditions | Upper Target Yield | Lower Target Yield | Farmers’ Yield | Experimental Yield N_Low | Experimental Yield N_Medium | Experimental Yield N_High | Percentage of Yield Increase (N_Medium vs. N_Low) | Percentage of Yield Increase (N_High vs. N_Low) |
|---|---|---|---|---|---|---|---|---|---|---|
| 1 | 1 | Good | 48.9 | 37.5 | 46.5 | 39.2 | 39.6 | 48.9 | 1% | 20% |
| 1 | 2 | Poor | 48.9 | 37.5 | 40.2 | 47.0 | 52.7 | 48.5 | 11% | 3% |
| 2 | 3 | Good | 48.9 | 37.5 | 38.2 | 34.4 | 47.5 | 50.3 | 28% | 32% |
| 2 | 4 | Poor | 48.9 | 37.5 | 41.8 | 45.9 | 48.5 | 48.2 | 5% | 5% |
| 3 | 5 | Good | 48.9 | 37.5 | 43.0 | 56.0 | 46.4 | 62.5 | −21% | 10% |
| 3 | 6 | Poor | 48.9 | 37.5 | 44.3 | 47.6 | 39.1 | 41.3 | −22% | −15% |
| 4 | 7 | Good | 48.9 | 37.5 | 45.4 | 41.4 | 53.1 | 50.2 | 22% | 18% |
| 4 | 8 | Poor | 48.9 | 37.5 | 45.8 | 44.7 | 46.5 | 54.0 | 4% | 17% |
| 5 | 9 | Good | 48.9 | 37.5 | 48.9 | 47.3 | 48.9 | 51.3 | 3% | 8% |
| 5 | 10 | Poor | 48.9 | 37.5 | 53.4 | 47.7 | 48.1 | 45.4 | 1% | −5% |
| Average | Good | 48.9 | 37.5 | 44.4 | 43.7 (a) | 47.1 (ab) | 52.6 (b) | 7% | 18% | |
| Poor | 48.9 | 37.5 | 45.1 | 46.6 (a) | 47.0 (a) | 47.5 (a) | 0% | 1% | ||
| Both | 48.9 | 37.5 | 44.8 | 45.1 | 47.1 | 50.1 | 3% | 9% | ||
| Year | Irrigation Treatments | Water (mm) | Yield (ton FM ha−1) | Water Use Efficiency (WUE, kg DM ha−1 mm−1) | ||||||
|---|---|---|---|---|---|---|---|---|---|---|
| Irrigation Amount | Rainfall | Total Water Input | Evapotranspiration (ET) | Water Surplus | Experimental Yield | Upper Target Yield | Percentage of Yield Increase (Compared to the No-Irrigation) | |||
| 2017 | No-irrigation | 0 | 154 | 154 | 180 | −26 | 15.7 (a) | 50.4 | 0 | 21.6 (a) |
| Farmer’s irrigation | 235 | 154 | 389 | 288 | 101 | 44.2 (b) | 50.4 | 64% | 23.5 (a) | |
| Full irrigation | 280 | 154 | 434 | 294 | 140 | 45.0 (b) | 50.4 | 65% | 21.6 (a) | |
| 2018 | No-irrigation | 0 | 269 | 269 | 276 | −7 | 34.1 (a) | 48.9 | 0 | 26.3 (a) |
| 60% field capacity (FC) | 69 | 269 | 338 | 269 | 69 | 41.2 (b) | 48.9 | 17% | 25.2 (a) | |
| 80% field capacity (FC) | 128 | 269 | 397 | 272 | 125 | 47.0 (c) | 48.9 | 28% | 24.6 (a) | |
Publisher’s Note: MDPI stays neutral with regard to jurisdictional claims in published maps and institutional affiliations. |
© 2021 by the authors. Licensee MDPI, Basel, Switzerland. This article is an open access article distributed under the terms and conditions of the Creative Commons Attribution (CC BY) license (https://creativecommons.org/licenses/by/4.0/).
Share and Cite
Wang, N.; Reidsma, P.; Wang, Z.; Zhou, X.; Kempenaar, C.; Lv, D.; van Ittersum, M.K. Enhancing Sustainable Potato Production—A Case Study in Northern China. Agronomy 2021, 11, 1322. https://doi.org/10.3390/agronomy11071322
Wang N, Reidsma P, Wang Z, Zhou X, Kempenaar C, Lv D, van Ittersum MK. Enhancing Sustainable Potato Production—A Case Study in Northern China. Agronomy. 2021; 11(7):1322. https://doi.org/10.3390/agronomy11071322
Chicago/Turabian StyleWang, Na, Pytrik Reidsma, Ziquan Wang, Xiaohan Zhou, Corné Kempenaar, Dianqiu Lv, and Martin K. van Ittersum. 2021. "Enhancing Sustainable Potato Production—A Case Study in Northern China" Agronomy 11, no. 7: 1322. https://doi.org/10.3390/agronomy11071322
APA StyleWang, N., Reidsma, P., Wang, Z., Zhou, X., Kempenaar, C., Lv, D., & van Ittersum, M. K. (2021). Enhancing Sustainable Potato Production—A Case Study in Northern China. Agronomy, 11(7), 1322. https://doi.org/10.3390/agronomy11071322

