Next Article in Journal
Modeling Soil Water Content and Crop-Growth Metrics in a Wheat Field in the North China Plain Using RZWQM2
Previous Article in Journal
Genetic Gain for Grain Micronutrients and Their Association with Phenology in Historical Wheat Cultivars Released between 1911 and 2016 in Pakistan
 
 
Font Type:
Arial Georgia Verdana
Font Size:
Aa Aa Aa
Line Spacing:
Column Width:
Background:
Article

Post-Harvest Enhancing and Botrytis cinerea Control of Strawberry Fruits Using Low Cost and Eco-Friendly Natural Oils

1
Department of Vegetable, Faculty of Agriculture (EL-Shatby), Alexandria University, Alexandria 21545, Egypt
2
Forestry and Wood Technology Department, Faculty of Agriculture (EL-Shatby), Alexandria University, Alexandria 21545, Egypt
3
Department of Plant Pathology, Faculty of Agriculture (El-Shatby), Alexandria University, Alexandria 21545, Egypt
4
Chair of Climate Change, Environmental Development and Vegetation Cover, Department of Botany and Microbiology, College of Science, King Saud University, Riyadh 11451, Saudi Arabia
5
City of Scientific Research and Technological Applications (SRTA), Alexandria 21934, Egypt
6
Department of Engineering, University of Exeter, Exeter EX4 4QF, UK
*
Authors to whom correspondence should be addressed.
Agronomy 2021, 11(6), 1246; https://doi.org/10.3390/agronomy11061246
Submission received: 12 May 2021 / Revised: 10 June 2021 / Accepted: 14 June 2021 / Published: 19 June 2021

Abstract

This work investigates an experimental study for using low-cost and eco-friendly oils to increase the shelf life of strawberry fruit. Three natural oils were used: (i) Eucalyptus camaldulensis var obtuse, (ii) Mentha piperita green aerial parts essential oils (EOs), and (iii) Moringa oleifera seeds n-hexane fixed oil (FO). Furthermore, a mixture of EOs from E. camaldulensis var obtusa and M. piperita (1/1 v/v) was used. The treated fruits were stored at 5 °C and 90% relative humidity (RH) for 18 days. HPLC was used to analyse the changes in phenolic compounds during the storage periods. The effects of biofumigation through a slow-release diffuser of EOs (E. camaldulensis var obtusa and M. piperita), or by coating with M. oleifera FO, were evaluated in terms of control of post-harvest visual and chemical quality of strawberry fruits. The post-harvest resistance of strawberry fruits to Botrytis cinerea fungal infection was also evaluated. As a result, the EO treatments significantly reduced the change in visual and chemical quality of strawberry fruit. Additionally, changes in the titratable acidity of moringa FO-coated strawberry fruits were delayed. EO treatments improved total soluble solids, total phenols, ascorbic acid, antioxidants and peroxidase. E. camaldulensis var obtusa and M. piperita (1/1 v/v) EO-vapour fruit exhibited a slower rate of deterioration, compared to other treatments in all tested, in two experiments. The lowest colour change (ΔE) was observed inthe fruit treated with E. camaldulensis var obtusa EO and M. oleifera FO. HPLC showed changes in phenolic compounds’ concentration, where p-coumaric acid, caffeic acid, gallic acid, ferulic acid and ellagic acid were mostly identified in the fruits treated with the oils. SEM examination confirmed the potential decrease in fungal growth as the fruits were treated with EOs. In conclusion, the treatment of EOs during different storage periods showed promising characterisations for strawberry fruit quality.

1. Introduction

The strawberry (Fragaria × ananassa) is a highly perishable small fruit in the temperate zone and is an important and commercial product [1,2]. The strawberry has a high content of bioactive compounds such as anthocyanin, phenolic acid, flavonoids, tannins and vitamin C [3,4]. The fruits’ perishability is attributed to the high rates of respiration, softening, and water loss [5,6]. Due to the high metabolism of the fruit during storage, the fruits start to spoil very rapidly, sometimes even before reaching consumers [7,8].
Maintenance of the strawberry’s quality during marketing is a challenge. Pathogen attack is an important problem in the spoilage of strawberries in storage. Grey mould fungi caused by Botrytis cinerea Pers.: Fr. is one of the most economically important pathogens of the strawberry [9,10]. Infection may occur in the flower, remain quiescent until the fruits mature, and then develop abundantly, causing fruit decay accompanied by profuse sporulation of the pathogen [11]. B. cinerea also causes enormous losses of quantity and quality of the fruits during shipping and marketing [12].
Therefore, it is required to manage strawberries appropriately in order to obtain a regulated market supply through post-harvest treatments to improve storage life. Due to consumer concerns over the safety of fruits containing synthetic chemicals, a lot of attention has been paid to naturally derived compounds or natural products [13,14,15]. Recently, the use of natural components such as natural extract or herbal oils has been one of the healthiest and safest methods to control post-harvest diseases; essential oils (EOs) include extensive secondary metabolites, which in most cases have antimicrobial, fungicidal antioxidant and bio-regulating properties [7,16].
Recently, some EOs have been reported to be effective in reducing decay, in quality maintenance and in the essential improvement of post-harvest life of many fruits (grape, strawberry, blueberry, raspberry, blackberry and fresh-cut fruit) [17]. In particular, aldehydes, phenols and ketones considerably inhibit pathogen growth [18,19,20,21,22]. Thymol, carvacrol and p-anisaldehyde have proven fungicidal activity and the EO rich in these components showed the highest inhibitory activity against many post-harvest pathogens, such as Botrytis spp. on peach and grey mould in eggplant, which are highly effective in controlling fungal pathogens [23,24]. EOs from a number of plants, including Eucalyptus (Eucalyptus camaldulensis), cinnamon (Cinnamomum ssp.) and cumin (Cuminum cyminum) could inhibit grey mould growth and increase the storage life and quality of strawberries [16,25,26,27] and Botrytis spp. on peach and B. cinerea in eggplant [28].
Moringa oleifera Lam. (Family Moringaceae) has several uses due to its composition of nutritional and bioactive compounds, including proteins, essential amino acids, carbohydrates, lipids, fibre, vitamins, minerals, fixed oil (FO), phenolic compounds, phytosterols and others [29,30,31,32]. The seeds are resistant to rancidity because they contain powerful antioxidants that act as natural preservatives [32]. The oil from the seeds can be used as a fertiliser in plantations to encourage the growth of other species [33], and it is also used as an edible coating to increase the shelf life of certain vegetables and fruit [34].
Therefore, the present investigation was designed with objectives to extend the marketable shelf life by evaluating the effectiveness of essential oils from the green aerial parts of Eucalyptus camaldulensis var obtusa and Mentha piperita as fumigation and Moringa oleifera seed fixed oil as a coating material, during a prolonged cold storage period and to assess the physico-chemical changes in strawberry fruits. Furthermore, chromatographic analyses, GC-MS, GC and HPLC were used to identify the chemical analysis of essential or fixed oils as well as the changes in polyphenolic compounds of treated strawberry fruits. Additionally, SEM examination was used to evaluate the antifungal activity of the oils and to show the extent of fungal growth on the treated fruits.

2. Materials and Methods

2.1. Experimental Location

In two successive experiments conducted during 2018 and 2019, fruits of strawberry (Fragaria × ananassa Duch.) cv. ‘Florida Fortuna’ were harvested at commercial maturity (red colour on 90% of fruit surface) at (30°35′34.5″ N, 30°42′58.4″ E), Behira Governorate, Egypt. Fortuna is an early season with high productivity, short day and semi-everbearing variety, and the fruit are mostly conical, firm yet juicy, glossy and bright to dark red in colour with a warm red interior and smooth appearance with stress tolerance, good setting, long self-life (LSL) and bright red fruits of 16–20 g [35]. Fruits selected for their homogeneity in colour, size and absence of defects were delivered on the same day to the laboratory of Alex Postharvest Center (APHC), Faculty of Agriculture, Alexandria University, then washed with fresh water, air dried, and used in the post-harvest treatments [26].

2.2. Preparation and Chemical Analyses of the Natural Oils

Green aerial parts from E. camaldulensis var obtusa and M. piperita were separately hydrodistillated for 3 h via a Clevenger unit to extract the essential oils (EOs) [33]. The obtained EOs were kept dry in Eppendorf tube and stored at 4 °C in a refrigerator. Seeds of M. oleifera were ground to powder and about 100 g was soaked in 150 mL of n-hexane for 24 h. After the extraction process, the materials were filtered through a cotton plug, then with Whatman No. 1 filter paper, to remove any residues [32] and the dissolved fixed oil (FO) was obtained in n-hexane solvent. The solvent was evaporated, and the FO was obtained and stored in a sealed brown bottle at 4 °C in a refrigerator until needed.
Chemical constituents of the EOs from the green aerial parts of E. camaldulensis var obtusa and M. piperita were performed using GC–MS by means of GC-TSQ Quantum mass spectrometer (Thermo Scientific, Austin, TX, USA) with a direct capillary column TG–5MS (30 m × 0.25 mm × 0.25 µm film thickness) apparatus. The column oven temperatures and the chemical separation and identification conditions can be found in previous studies [19,36]. The components were identified by comparison of their retention times and mass spectra with those of WILEY 09 and NIST 11 mass spectral database. Match factor with Xcalibur 3.0 data system of GC/MS, where the value ≥ 650 is acceptable to confirm the compounds [21,37,38,39], was measured. The chemical composition of M. oleifera seed FO was performed as shown in previous work [32].

2.3. Natural Oils’ Fruit Treatments

Fruits were placed into 1 L polystyrene containers with Snap-on lids loaded separately with E. camaldulensis var obtusa (1%), M. piperita (1%) and a mixt of E. camaldulensis var obtusa and M. piperita (0.5/0.5 v/v) EOs. These were applied using filter papers (Whatman, No. 1). The EOs were allowed to vaporise inside the containers spontaneously at room temperature for 8 h [25], and other group was coated by spraying with moringa FO for 30 sec [34]. The containers were then transferred to storage at 5 °C in a cold room. Control samples were handled similarly without treatments by EOs or FO. Four fruits were used for every treatments.

2.4. Weight Loss and Firmness of Fruit

Fruit weight loss (%) from four fruits for every treatment was measured during the storage, where all fruits from all treatments were weighed at 0, 4, 14 and 18 days of storage. The fruit weight loss percentage was calculated using the following formula: Weight loss % = (A − B)/(A × 100); where A indicates the fruit weight at the time of harvest, and B indicates the fruit weight after storage intervals [40].
The firmness of the strawberries after each treatment during the storage periods was measured using a TA-1000 firmness analyser instrument with a penetrating cylinder of 1 mm diameter, to a constant distance (3 and 5 mm) inside the pulp of fruits, and at a constant speed of 2 mm per sec. the peak resistance was recorded per N [41]. The firmness was determined after 0, 4, 9, 14 and 18 days of storage as the average from 4 fruits for each treatment.

2.5. Colour Change Measurements

The change in colour was measured on two sides of each fruit using a Hunter lab colorimeter (HunterLab Labscan 600 spectrocolorimeter, version 3.0; Hunter Associates Laboratory Inc., Reston, VA, USA), according to the following formula [42]:
Δ E = Δ L   2 + Δ a   2 + Δ b   2
where ΔE: The overall change in colour indices:
  • L index refers to black-to-white colour;
  • a index refers to green-to-red colour;
  • b index refers blue-to-yellow colour.

2.6. Fruit Chemical Parameters and Peroxidase Enzyme Activity

Total soluble solid (TSS %) as an average from 4 fruits from every each treatment was measured in the juice of the fruits using a portable digital refractometer (Atago Co. Ltd., model PR-1, Tokyo, Japan). Titratable acidity of fruits (TA) was analysed [40]. Ascorbic acid content (mg/100 g F.W.) was assessed using the 2,6-dichlorophenol indophenol titration method [40]. Fruit tissue (10 g) was homogenised with 90 mL of oxalic acid (3%) (Nice Chemicals Ltd., Kerala, India), the sample was then filtered using a filter paper (Whatman paper) and 25 mL of the filtrate was titrated by 2,6-dichlorophenol indophenol. Total phenolics content (TPC) was determined and expressed as mg GAE/Kg F.W. [43], while antioxidant activity was measured by using the free-radical scavenging activity of the 2,2-diphenyl-1-picrylhydrazyl (DPPH) method [44] and calculated as a percentage of inhibition according to the following formula: Inhibition (%) = [(Acontrol − Asample)/Acontrol] × 100, where Acontrol and Asample are the absorbance of the control fruits (without oil treatments) and fruits treated with oils, respectively. All previous characters were determined after 0, 4, 9, 14 and 18 days of storage. Peroxidase enzymes activity was determined by spectrophotometer according to the methods described by Hameda and Klein [45].

2.7. Fruit Extraction and HPLC Analysis of Phenolic Compounds of Treated Fruits

The extraction process was carried out on strawberry fruits treated or untreated with the natural oils (E. camaldulensis var obtusa EO, M. piperita EO, mixture of E. camaldulensis var obtusa and M. piperita EOs (1/1 v/v), and M. oleifera FO). Four fruits were taken from each treatment, and about 30 g from each treatment’s fruits was extracted by 60 mL methanol by soaking method for one week [46,47]. The extracts were then filtered through filter paper (Whatman No. 1) and then with a cotton plug. The extracts were concentrated and stored in brown vials for further analysis.
The phenolic compounds from the methanol extracts of each of the fruits treated with oils were identified by the Agilent ChemStation (HPLC- (Agilent, Santa Clara, CA, USA), which is composed of a quaternary pump and UV/Vis detector and C18 column (125 mm × 4.60 mm, 5 µm particle size). Chromatograms were obtained and analysed using HPLC. Phenolic compounds were separated by employing a mobile gradient phase of water/acetonitrile/glacial acetic acid (980/20/5, v/v/v, pH 2.68) and acetonitrile/glacial acetic acid (1000/5, v/v), operated at 30 °C with a flow rate of 1 mL/min and detected at 325 nm. All chemical standards (HPLC grade) were purchased from Sigma-Aldrich (St. Louis, MO, USA) [48].

2.8. Pathogen Inoculum Preparation

Botrytis cinerea was isolated from decayed strawberry fruits and maintained on potato dextrose agar (PDA) plates at 4 °C. Spore suspensions were prepared by removing the spores from the sporulation edges of a 10-day-old culture with a bacteriological loop and suspending them in sterile distilled water. Spore concentration was determined with a hemocytometer and adjusted to 1 × 105 spores/mL with sterile distilled water.

2.9. In Vitro Antifungal Activity

Antifungal assays of mint and camphor and their combination (1:1) and moringa were performed with the pour plate method. An amount of each oil was mixed with a sterilised, cooled PDA medium and poured into sterile Petri dishes (9 cm diameter) to obtain final concentrations of 0.05%. Then, a 5 mm plug of 7-day-old B. cinerea (from the margin of the plate) was placed in the centre of each Petri dish, mycelium side down. The dishes were sealed with parafilm and incubated at 25 °C for 7 days until the growth in the control plates (without the EOs) reached the edge of the plates. Control plates contained PDA without tested oil. Radial colony growth (cm) was registered three times: 2, 5 and 7 days after inoculation (DAI) and incubated at 25 °C for 7 days until the growth in the control plates (without any treatment) reached the edge of the plates. Then, the antifungal index (AI) of the treatments was calculated as follows [49]:
Antifungal index (%) = [(C − T)/C] × 100, where C and T are the radial growth (mm) of fungus in the control and treated plates, respectively.

2.10. Susceptibility of Strawberry Fruits to B. cinerea and SEM Examination

Artificially inoculated fruits were conserved in a perforated plastic box. Strawberries of the same maturity and without disease symptoms, as assessed visually, were collected for further assays to determine the antifungal activity of the EOs and FO on strawberry fruits [26,34]. After the fruits had been treated with essential oils, wounds (ø 3 mm, 3 mm depth) were made vertically in the centre of each strawberry fruit using a sterile needle. Later, the fruits were individually inoculated with 20 µL of conidial suspension (1 × 105 spores/mL) into each wound. The boxes were closed with perforated lids and subsequently transferred from ambient temperature to 5 °C for storage. Lesion diameter (mm) was measured at 7 and 9 DAI. Antifungal activity was calculated as mycelial growth inhibition using the following formula: mycelial growth inhibition (%) = [(dc − dt)/dc] × 100, where dc is the lesion diameter in the control (mm), while dt is the lesion diameter in the treated samples (mm). Each treatment had 3 replicates, and each replicate had 6 fruits.
The control and treated pathogen mycelium were picked up respectively, and the morphology of mycelium was observed under a scanning electron microscope at 10 DAI. The scanning electron microscope was equipped with energy-dispersive spectroscopy (SEM-EDS) (JSM-IT200 Series, JEOL, Tokyo, Japan), where the fruit blocks (2 mm diameters), taken from those 10-day old fruits infected with B. cinerea and treated with tested oil were observed. Samples were fixed in 25 mL/L glutaraldehyde for 24 h at room temperature, and each sample was washed with 0.1 mol/L phosphate-buffered saline (pH 7.2) three times, for 15 min each, then fixed for another 1 h in 1% Osmium tetroxide (OsO4) solution. Each sample was dehydrated in graded ethanol dehydration processes (30%, 50%, 70%) for 10 min and finally dehydrated with pure ethanol for 30 min and covered with a gold platinum layer using an ion coater. Finally, samples were observed and photographed by SEM at 20 KV.

2.11. Statistical Analysis

All data were tested for differences between treatments using the two-factor analysis of variance (ANOVA, general linear model) followed by Duncan multiple range test for p < 0.05 [50]. Data were subjected to statistical analysis for calculation of means, variance and standard error using CoStat Software Program Version 6.303 [51].

3. Results and Discussion

3.1. Chemical Characterisation of Oils

Table 1 presents the chemical composition of the essential oil (EO) from E. camaldulensis var obtusa and Mentha piperita green aerial parts, where the main compounds in E. camaldulensis var obtusa EO were eucalyptol (33.04%), spathulenol (21.15%), p-cymene (10.49%), γ-terpinene (6.55%), crypton (5.35%), phellandral (3.01%), thymol (2.69%) and terpinen-4-ol (2.45%), while the main compounds in M. piperita were pulegone (29.38%), isomenthone (17.23%), levomenthol (16.36%), eucalyptol or 1,8-cineole (7.46%), menthone (6.90%), aromadendrene (3.64%), endo-borneol (3.15%) and piperitone (3.02%). Previously, the EO from M. piperita leaves showed the presence of menthone, 1,8-cineole, menthyl acetate, caryophyllene, β-pinene and D-limonene as main compounds with values of 20.18, 15.48, 13.13, 4.82, 4.37 and 2.81%, respectively [19]. In addition, several studies reported that the EO from Mentha species were composed of different chemical compositions, with the abundant compounds menthol, eucalyptol, menthone, limonene, trans-carveol, pulegone, β-caryophyllene and pipertitinone oxide [52,53,54]. The Algerian Mentha plant EO showed the presence of menthol, menthone, and menthyl acetate as major constituents [55].
For the chemical composition of M. oleifera seeds fixed oil (FO), the full chemical analysis can be found in our previous work [32] as shown in Table 2, where the main compounds were oleic acid, β-sitosterol and α-tocopherol (vitamin E) with percentages of 59.7, 21.4 and 4.9%, respectively, as measured by GC-MS. After the methylation of fatty acids (FAs), the main fatty acid methyl esters (FAMEs) were oleic, palmitic, stearic, linolenic and arachidic, with values of 78.72%, 6.27, 5.63, 3.72 and 3.29%, respectively. The main FAMEs from M. oleifera oil were oleic and palmitic at percentages of 74.99 and 12.51%, respectively [56]. FAs of oleic, palmitic, stearic and linoleic with values 77.40, 12.97, 2.95 and 1.40%, respectively, were found in moringa seed FO [57].

3.2. Fruit Visual and Chemical Parameters

Figure 1 shows all the studied visual and chemical parameters of strawberry fruits treated with EOs and FO and different periods of storage. Significantly, there were different effects among natural oils and the storage days in all the studied parameters. The use of EOs observed the greatest effects in slowing down the weight loss, while moringa FO and the control sample showed the lowest effects. However, at the end of the storage period, a highly significant difference was found between treated and untreated strawberry samples after 18 days from the start of the storage period. The loss of weight in fresh fruit primarily reflects the respiration rate and moisture evaporation between the fruit tissue and surrounding air storage [58], which are influenced by post-harvest treatment and storage temperature [15]. Strawberry fruits are highly susceptible to a rapid loss of water due to the extremely thin skins of these fruits.
The effect of EO vapours could be associated with the formation of the fruit surface coating that modifies gas permeation and decreases respiration rate and water loss [59]. The EO fumigation was shown to decrease the dehydration process in fruit [60]. Our result was in agreement with a previous study on strawberries [26,41], cherries [13], grapes [61] and peaches [59] treated with eugenol, thymol, menthol and cinnamon vapours. Strawberry fruits’ firmness is a very important visual quality of fresh market fruit in determining their post-harvest quality and shelf life [41].
Generally, firmness decreased during storage conditions in both seasons. The EOs’ vapours also influenced the preservation of firmness of these fruits compared with untreated fruit (control) and fruit treated with moringa FO at 1%, which showed a significant decrease in firmness at 9, 14 and 18 days of storage, while vapour with mixed EOs from E. camaldulensis var obtusa and M. piperita (1/1 v/v) resulted in higher firmness than other treatments at the end of the storage period for both seasons.
Similar to our findings, EO vapours decreased the firmness losses during cold storage conditions in the strawberry [26]. Furthermore, strawberry firmness was amended when lemon or orange EOs were used at shelf life storage of the fruit [2]. The marked effect observed in previous studies might be related to storage. This was probably due to the selective permeability of the coating material to gas and water transmission, thus reducing respiration rates, enzyme activities and most of the metabolic changes, thereby delaying ripening and over softening of the strawberry [62,63,64,65].
Total soluble solids (TSS%) were increased by time passed from harvest day in all treatments. At the end of the storage period, the lowest TSS was observed in fruits treated with mix of E. camaldulensis var obtusa and M. piperita EOs (1/1 v/v). It seems that the increase in TSS was due to respiration during the storage period. EO fumigation reduced TSS consumption in strawberry fruits compared to control because of the decreased respiration as a result of reducing gas exchange [2,66,67]. Other reasons for the increase in TSS are degradation of carbohydrate, other material changes such as acids, increasing soluble pectin and fruit corruption [68,69]. Furthermore, it can be observed that the TSS increase is also correlated to the weight loss.
The percentage of titratable acidity (TA) value was decreased through the storage period and the lowest value was recorded in the last four days of the storage period, where all treatments had a reduced acidity value compared to the control treatment. The lowest value of acidity was obtained due to E. camaldulensis var obtusa and M. piperita mix EOs (1/1 v/v), while the highest value was obtained with the control treatment in both seasons.
TA is an important factor in maintaining the quality of fruits, which is directly related to the organic acid content present in the fruit [70,71], and the decrease in TA content could be due to the consumption of organic acids in fruits during respiration. In a similar study, treatments have a significant effect on the respiration process, which could result in reduction or delay of respiration and results in maintenance of TA content [58].
Ascorbic acid (AA) contents of all treated and untreated strawberry fruits were significantly decreased with the increase of storage periods from 0 to 18 days. This reduction could be related to its oxidation through superoxide and hydroxyl radicals in the strawberry fruits [72]. However, at the end of the storage period, the concentrations of AA were higher in fruits treated with oils compared to the control (untreated fruits). The maximum values of AA were observed in the strawberry fruits treated with the mix of E. camaldulensis var obtusa and M. piperita EOs (1/1 v/v) followed by E. camaldulensis var obtusa EO and M. piperita EO compared with untreated fruits (control). This result might be attributed to the antioxidant properties of the EOs, which reduce the diffusion of oxygen, decrease the rate of respiration and consequently reduce the AA oxidation [62].
Total phenolic content (TPC, mg GAE/kg) continuously increased in the fruits treated with oils until 9 days from the start of the storage period, at which point the trend slowed down gradually and peaked on day 18. Mahmoud et al. [73] found that the TPC of the Hollywood plum was increased during cold storage. Piljac-Žegarac and Šamec [74] reported that small fruits like strawberries, raspberries, cherries and sour cherries stored at 4 °C exhibited slightly higher antioxidant activity values. Moreover, significant correlations between antioxidant capacity (AOC) and phenolic components in different fruits were established [75,76]. AOC was reduced during the storage time but not between treatments, and the changing trend in the control was more than with other treatments of the fruit. The fruits treated with E. camaldulensis var obtusa and M. piperita mix EOs (1/1 v/v) and E. camaldulensis var obtusa EO retained a higher AOC, reinforcing this attribute in the fruit at the end of the storage period in both seasons. During the storage period, the reduction in this property at the end of the storage time could be due to senescence and decomposition [77]. In addition, AOC decreases due to cell protection against the damage caused by free radicals, where EOs decrease the respiration rate and free radical production by means of moisture maintenance and CO2 and O2 exchange control [2,25]. On the other hand, the AOC was maintained with a high percentage in the oil-treated fruits compared to the untreated fruits at 5 °C, with an increase in the storage period, whereas a previous report showed that the fruits stored at 10 °C had higher antioxidant enzyme activities and AOC than those stored at 0 or 5 °C [78].
The peroxidase enzyme activity in all fruits increased with the extension of storage periods, and peroxidase in treated fruits with different EOs showed a lower level compared to control fruits. At the end of the storage period, the lowest peroxidase enzyme was in strawberries treated with the mix of E. camaldulensis var obtusa and M. piperita EOs (1/1 v/v) followed by E. camaldulensis var obtusa and M. piperita EOs. Similar findings were reported by Badawy et al. [79], who observed that the use of EOs containing thymol (0.02%) or geraniol (0.04%) increased catalase (CAT) activity and reduced polyphenol oxidase (PPO) activity and peroxidase. These results suggested that the use of EOs improves the levels of oxyradical detoxification enzymes including CAT and decreases the PPO activity that prevents the oxidation damage and peroxidase, thus promoting prolongation of the shelf-life and preserving the quality of strawberries during storage.

3.3. Colour Measurements

The colour change measurements (Table 3) showed that the fruit samples treated with E. camaldulensis var obtusa EO and M. oleifera FO had the lowest ΔE. These lowest values of ΔE suggested that the treatments with those oils kept the fruits closest to their initial sample colour. Most other reports with other treatments showed that the treatments with EO significantly reduced the colour change in strawberry fruits [26,41].

3.4. Phenolic Compounds of Oil-Treated Fruits by HPLC

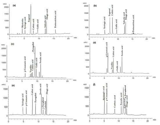
Figure 2 and Table 4 show the changes in phenolic compounds in the methanol extract (ME) from the oil-treated or untreated strawberry fruits stored at 5 °C for 18 days compared to the original fruit sample (not stored). Myricetin was found only in the ME from the original fruit sample. Syringic acid ranged from 8.12 to 13.30 µg/mL, p-coumaric acid from 8.09 to 25.51 µg/mL and eugenol was decreased from 35.16 µg/mL (original fruit) to 18.05 µg/mL (untreated fruit), but it was not detected in the ME from all the fruits treated with oils. Vanillin acid was detected only in the ME from fruits treated with the EOs from E. camaldulensis var obtusa and M. piperita. Caffeic acid was found in the ME of all fruit samples and ranged from 5.36 µg/mL (treated from with Moringa FO) to 19.63 µg/mL (treated fruits with the mixture of EOs from E. camaldulensis var obtusa and M. piperita (1/1 v/v)). p-Hydroxybenzoic acid was detected only in the ME from the fruits treated with E. camaldulensis var obtusa EO (7.12 µg/mL). Pyrogallol was detected in the ME from fruits treated with E. camaldulensis var obtusa EO (28.5 µg/mL) and a mix of E. camaldulensis var obtusa and M. piperita mix EOs (1/1 v/v) (14.51 µg/mL).
Gallic acid ranged from 5.12 to 12.66 µg/mL but was not detected in fruits treated with a mix of E. camaldulensis var obtusa and M. piperita (1/1 v/v)) EOs or moringa FO. Ferulic acid ranged from 6.12 µg/mL to 21.12 µg/mL in the ME from fruits treated with M. oleifera FO and the mix of E. camaldulensis var obtusa and M. piperita EOs (1/1 v/v), respectively. A high amount of α-tocopherol was detected in the ME of fruits treated with M. oleifera FO (22.01 µg/mL) and in the fruits treated with a mix of EOs from E. camaldulensis var obtusa and M. piperita EOs (1/1 v/v) (7.45 µg/mL) and was not detected in the ME from other fruits. Salicylic acid was not detected in the ME from the fruits treated with oils, but it was detected in the original fruit sample (9.12 µg/mL) and the untreated fruit (9.56 µg/mL). Catechol was identified in the ME from fruits treated with mix of E. camaldulensis var obtusa and M. piperita EOs (1/1 v/v) (5.18 µg/mL) and M. oleifera FO (6.23 µg/mL).
According to the above results concerning the HPLC analysis of the changes of phenolic compounds, there are differences in the concentrations of the identified compounds among the fruits treated with EOs or FO. Phenolic compounds such as quercetin and kaempferol glycosides, p-coumaric acid and ellagic acid were identified in strawberry fruits [80,81,82,83]. It was reported that ellagic acid was the most abundant phenolic compound in the strawberry [80,84], but it was found strictly as a compound or combined with glycosides and ellagitannins [85]. p-OH benzoic acid, p-coumaric acid glucoside, ferulic acid derivative and caffeic acid were identified in strawberry cultivars [86]. Phenolic compounds identified in strawberry fruits containing ellagic acid were reported to have a high antioxidant capacity [87].

3.5. Inoculation and Infection Process

Firstly, after 18 days from the storage period of the treated fruits with the natural oils, it was observed a fungal growth over untreated fruits, and treated fruits with E. camaldulensis var obtusa EO and M. oleifera FO (Figure 3).
Therefore, we conducted the primary in vitro experiment of the antifungal activity of the tested oils examined at 0.05% concentration as shown in Table 5 and Figure 4. All tested oils had different degrees of antifungal activity against B. cinerea in terms of the radial colony growth (cm) as measured at 2, 4 and 7 days from incubation. No radial growth from the M. piperita and the E. camaldulensis var obtusa and M. piperita (1/1 v/v) EOs in Petri dishes were noted throughout the experimental period.
The highest antifungal activity was recorded for M. piperita EO and E. camaldulensis var obtusa and M. piperita mix EOs (1/1 v/v) with an antifungal index of 100%, while E. camaldulensis var obtusa EO showed a low to moderate effect on the radial growth of B. cinerea with antifungal indices of 76.67, 63.7 and 31.1% at 2, 4 and 7 DAI, respectively (Table 6). On the other hand, moringa FO demonstrated that reduction in mycelial growth of B. cinerea was very weak and reached 4.97 and 13.42% at 2 and 4 DAI, with no difference being observed in radial growth from the non-amended oil control at day 7 (Table 6). The application of EOs is a very attractive and eco-friendly method to control post-harvest diseases.
The infection rate (%) of strawberry fruits caused by B. cinerea is shown in Table 7, where it increased from 7 to 10 days after the infection, but the lowest value was observed in fruits treated with M. piperita EO and the mix EOs after 10 days with percentages of 18% and 20%, respectively, compared to the control (87%). The lowest lesion diameters (cm) were also found in the fruits treated with M. piperita EO and the mix EOs (Table 8). The mycelial growth inhibition of B. cinerea (%) in the fruits treated with M. piperita EO and the mix EOs was 38.78 and 46.94 %, respectively (Table 9).
The visual observation of the fruits inoculated with B. cinerea 10 days after inoculation is shown in Figure 5. The mycelial morphology of B. cinerea grown on strawberry fruit treated with the studied oils is observed by SEM at 10 days (Figure 5). There were regular, uniform and complete mycelia with smooth surfaces, relatively strong and with high spore production in the control (Figure 5a). The fungal mycelial growth of B. cinerea was decreased after 10 days in the fruits treated with E. camaldulensis var obtusa EO (Figure 5b), but fungus hyphae are shown in dense growth. Fruit surfaces treated with M. piperita EO (Figure 5c) and the combined E. camaldulensis var obtusa + M. piperita EOs (Figure 5d) showed great morphological changes, including irregular growth of the mycelium, formation of verrucous surface, shrinkage, collapse and hollowing of hyphae. The morphology of mycelium B. cinerea grown on strawberry fruit surfaces treated with moringa FO (Figure 5e) was abnormal growth, lysis, shrinkage, reduced hyphal length and diameters with lower production of conidia compared to the control treatment. Recently, our group and various publications have documented the antifungal activity of EOs and plant extracts including rosemary, peppermint, bay, basil, tea tree, celery seed fennel and Cinnamomum camphora [2,16,41,88]. The in vitro result showed that the EOs could be candidates for a natural antifungal in food preservation technology.
The beneficial effect of EO from M. peperita against B. cinerea was achieved after 15 days of storage by immersing cherry tomato fruits into this oil [89]. Medicinal and aromatic plants (MAPs) are very important in various fields, such as the pharmaceutical, perfumery and cosmetic industries [90]. In the last few years, the food industry has primarily used EOs as flavorings, and they represent an interesting source of natural antimicrobials for food preservation [91]. Carvacrol, cymene and γ-terpinene, the main chemical compounds from several EOs, showed potential antifungal activity against selected fungi including B. cinerea [92,93]. Their findings are in agreement with the results of this study, where GC–MS analysis showed that an EO mixture of Eucalyptus and M. peperita (1/1 v/v) exhibited the strongest antifungal activity.
The antimicrobial activity of EOs has been investigated against a large number of fungi [94,95]. E. citriodora, EO was found to exhibit B. cinerea fungitoxicity on grapes, with 100% growth inhibition [96]. Thyme and lemongrass have revealed great potential in post-harvest disease control [60].

4. Conclusions

This study aimed to determine the post-harvest changes occurring in CV Florida Fortuna strawberries exposed to three natural oils and to determine the proper natural oil for post-harvest quality studies. The present findings show both the mix of E. camaldulensis var obtusa and M. piperita (1/1 v/v) and M. piperita reduced decay symptoms and inhibited the mycelium growth of post-harvest pathogen B cinerea. In general, the essential oil treatments proved to be the most effective in improving post-harvest life, as evidenced by the values of the parameters assessed in this research. E. camaldulensis var obtusa and M. piperita (1/1 v/v) treatment reduced weight loss % and firmness loss and preserved the chemical quality of the strawberry during the storage period, while the lowest amount of colour change was achieved when E. camaldulensis var obtusa EO and M. oleifera FO were applied. Results from the present study show that natural oil treatments on strawberry fruit could constitute a safe and natural fungicide and could be used to prevent infection of strawberries during cold storage. This would extend shelf life over the minimum period required to transit strawberries abroad without notable adverse effects on the quality of the fruit. In the future, a new study will be performed to increase the post-harvest life using a combination of some essential oils which may affect as a fungicide. The application of natural oils represents a promising tool for reducing post-harvest losses and preserving quality in strawberries.

Author Contributions

Conceptualization, methodology and formal analysis, D.Y.A.-E., H.S.H., M.Z.M.S. and D.A.K.; validation, D.Y.A.-E., M.Z.M.S., D.A.K., A.A.A.-H., H.M.A. and H.S.H., designed the experiment, D.Y.A.-E., M.Z.M.S., D.A.K., A.A.A.-H., H.M.A. and H.S.H., conducted laboratory analyses, D.Y.A.-E., M.Z.M.S., D.A.K., A.A.A.-H., H.M.A. and H.S.H.; funding, A.A.A.-H. and H.M.A.; wrote parts of the manuscript and interpreted the results, D.Y.A.-E., M.Z.M.S., D.A.K., A.H.S., M.A. and H.S.H.; contributed reagents and materials, D.Y.A.-E., M.Z.M.S., D.A.K., A.A.A.-H., H.M.A. and H.S.H. All authors have read and agreed to the published version of the manuscript.

Funding

This research was funded by the Deanship of Scientific Research, King Saud University, for funding through the Vice Deanship of Scientific Research Chairs.

Institutional Review Board Statement

Not applicable.

Informed Consent Statement

Not applicable.

Data Availability Statement

Not applicable.

Acknowledgments

The authors are grateful to the Deanship of Scientific Research, King Saud University, for funding through the Vice Deanship of Scientific Research Chairs.

Conflicts of Interest

The authors declare no conflict of interest.

References

  1. Rahman, M.M.; Moniruzzaman, M.; Ahmad, M.R.; Sarker, B.C.; Alam, M.K. Maturity stages affect the postharvest quality and shelf-life of fruits of strawberry genotypes growing in subtropical regions. J. Saudi Soc. Agric. Sci. 2016, 15, 28–37. [Google Scholar] [CrossRef]
  2. Abdi, S.; Roein, Z.; Erfanimoghadam, J.; Aziznia, S. Application of pectin coating containing essential oil for increasing quality of strawberry fruit. J. Postharvest Technol. 2017, 5, 83–94. [Google Scholar]
  3. Do Nascimento Nunes, M.C. Impact of environmental conditions on fruit and vegetable quality. Stewart Postharvest Rev. 2008, 4, 1–14. [Google Scholar] [CrossRef]
  4. Da Silva Pinto, M.; de Carvalho, J.E.; Lajolo, F.M.; Genovese, M.I.; Shetty, K. Evaluation of antiproliferative, anti-type 2 diabetes, and antihypertension potentials of ellagitannins from strawberries (Fragaria × ananassa Duch.) using in vitro models. J. Med. Food 2010, 13, 1027–1035. [Google Scholar] [CrossRef]
  5. Balogh, A.; Koncz, T.; Tisza, V.; Kiss, E.; Heszky, L. The effect of 1-MCP on the expression of several ripening-related genes in strawberries. HortScience 2005, 40, 2088–2090. [Google Scholar] [CrossRef]
  6. Macnish, A.J.; Padda, M.S.; Pupin, F.; Tsouvaltzis, P.I.; Deltsidis, A.I.; Sims, C.A.; Brecht, J.K.; Mitcham, E.J. Comparison of pallet cover systems to maintain strawberry fruit quality during transport. HortTechnology 2012, 22, 493–501. [Google Scholar] [CrossRef]
  7. Zamani-Zadeh, M.; Soleimanian-Zad, S.; Sheikh-Zeinoddin, M. Biocontrol of gray mold disease on strawberry fruit by integration of Lactobacillus plantarum A7 with ajwain and cinnamon essential oils. J. Food Sci. 2013, 78, M1582–M1588. [Google Scholar] [CrossRef]
  8. Martínez, K.; Ortiz, M.; Albis, A.; Gilma Gutiérrez Castañeda, C.; Valencia, M.E.; Grande Tovar, C.D. The effect of edible chitosan coatings incorporated with Thymus capitatus essential oil on the shelf-life of strawberry (Fragaria × ananassa) during cold storage. Biomolecules 2018, 8, 155. [Google Scholar] [CrossRef]
  9. Wszelaki, A.L.; Mitcham, E.J. Effect of combinations of hot water dips, biological control and controlled atmospheres for control of gray mold on harvested strawberries. Postharvest Biol. Technol. 2003, 27, 246–255. [Google Scholar] [CrossRef]
  10. Petrasch, S.; Knapp, S.J.; Vankan, J.A.L.; Blanco-Ulate, B. Grey mould of strawberry, a devastating disease caused by the ubiquitous necrotrophic fungal pathogen Botrytis cinerea. Mol. Plant Pathol. 2019, 20, 877–892. [Google Scholar] [CrossRef]
  11. Kovach, J.; Etzoldt, R.P.; Harman, G.E. Use of honey bees and bumble bees to disseminate Trichoderma harzianum 1295-22 to strawberries for botrytis control. Biol. Cont. 2000, 18, 235–242. [Google Scholar] [CrossRef]
  12. Ceponis, M.J.; Cappellini, R.A.; Lightner, G.W. Disorders in sweet cherry and strawberry shipments to the New York market, 1972–1984. Plant Dis. 1987, 71, 427–475. [Google Scholar]
  13. Serrano, M.; Martinez-Romero, D.; Castillo, S.; Guillén, F.; Valero, D. The use of the natural antifungal compounds improves the beneficial effect of MAP in sweet cherry storage. Innov. Food Sci. Emerg. Technol. 2005, 6, 115–123. [Google Scholar] [CrossRef]
  14. Vicente, A.R.; Costa, M.L.; Martínez, G.A.; Chaves, A.R.; Civello, P.M. Effect of heat treatments on cell wall degradation and softening in strawberry fruit. Postharvest Biol. Technol. 2005, 38, 213–222. [Google Scholar] [CrossRef]
  15. Petriccione, M.; Mastrobuoni, F.; Pasquariello, M.S.; Zampella, L.; Nobis, E.; Capriolo, G.; Scortichini, M. Effect of chitosan coating on the postharvest quality and antioxidant enzyme system response of strawberry fruit during cold storage. Foods 2015, 4, 501–523. [Google Scholar] [CrossRef]
  16. Ding, P.; Lee, Y.L. Use of essential oils for prolonging postharvest life of fresh fruits and vegetables. Int. Food Res. J. 2019, 26, 363–366. [Google Scholar]
  17. Romanazzi, G.; Smilanick, J.L.; Feliziani, E.; Droby, S. Integrated management of postharvest gray mold on fruit crops. Postharvest Biol. Technol. 2016, 113, 69–76. [Google Scholar] [CrossRef]
  18. Salem, M.Z.M.; Ashmawy, N.A.; Elansary, H.O.; El-Settawy, A.A. Chemotyping of diverse Eucalyptus species grown in Egypt and antioxidant and antibacterial activities of its respective essential oils. Nat. Prod. Res. 2015, 29, 681–685. [Google Scholar] [CrossRef]
  19. Elansary, H.O.; Salem, M.Z.M.; Ashmawy, N.A.; Yessoufou, K.; El-Settawy, A.A. In vitro antibacterial, antifungal and antioxidant activities of Eucalyptus spp. leaf extracts related to phenolic composition. Nat. Prod. Res. 2017, 31, 2927–2930. [Google Scholar] [CrossRef] [PubMed]
  20. Mackled, M.I.; EL-Hefny, M.; Bin-Jumah, M.; Wahba, T.F.; Allam, A.A. Assessment of the toxicity of natural oils from Mentha piperita, Pinus roxburghii, and Rosa spp. against three stored product insects. Processes 2019, 7, 861. [Google Scholar] [CrossRef]
  21. Abdelkhalek, A.; Salem, M.Z.M.; Hafez, E.; Behiry, S.I.; Qari, S.H. The Phytochemical, Antifungal, and First Report of the Antiviral Properties of Egyptian Haplophyllum tuberculatum Extract. Biology 2020, 9, 248. [Google Scholar] [CrossRef] [PubMed]
  22. Abo Elgat, W.A.A.; Kordy, A.M.; Böhm, M.; Černý, R.; Abdel-Megeed, A.; Salem, M.Z.M. Eucalyptus camaldulensis, Citrus aurantium and Citrus sinensis Essential Oils as Antifungal Activity against Aspergillus flavus, Aspergillus niger, Aspergillus terreus, and Fusarium culmorum. Processes 2020, 8, 1003. [Google Scholar] [CrossRef]
  23. Stavropoulou, A.; Loulakakis, K.; Magan, N.; Tzortzakis, N. Origanum dictamnus oil vapour suppresses the development of grey mould in eggplant fruit in vitro. BioMed Res. Int. 2014, 2014, 1–11. [Google Scholar] [CrossRef]
  24. Liu, S.; Shao, X.; Wei, Y.; Li, Y.; Xu, F.; Wang, H. Solidago canadensis L. essential oil vapor effectively inhibits Botrytis cinerea growth and preserves postharvest quality of strawberry as a food model system. Front. Microbiol. 2016, 7, 1179. [Google Scholar] [CrossRef]
  25. Tzortzakis, N.G. Maintaining postharvest quality of fresh produce with volatile compounds. Innov. Food Sci. Emerg. Technol. 2007, 8, 111–116. [Google Scholar] [CrossRef]
  26. Marjanlo, A.A.; Mostofi, Y.; Shoeibi, S.; Fattahi, M. Effect of cumin essential oil on postharvest decay and some quality factors of strawberry. J. Med. Plants 2009, 8, 25–43. [Google Scholar]
  27. Sernaite, L.; Rasiukeviciute, N.; Dambrauskiene, E.; Viskelis, P.; Valiuskaite, A. Biocontrol of strawberry pathogen Botrytis cinerea using plant extracts and essential oils. Zemdirb. Agric. 2020, 107, 147–152. [Google Scholar] [CrossRef]
  28. Hou, H.; Zhang, X.; Zhao, T.; Zhou, L. Effects of Origanum vulgare essential oil and its two main components carvacrol and thymol on the plant pathogen Botrytis cinerea. Peer J. 2020, 8, e9626. [Google Scholar] [CrossRef]
  29. Yousef, A.R.M.; El-Moniem, E.A.A.A.; Saleh, M.M.S. The effect of some natural products on storability and fruit properties of Fuertes avocado. Int. J. ChemTech Res. 2015, 8, 1454–1462. [Google Scholar]
  30. Irokanulo, E.O.; Egbezien, I.L.; Owa, S.O. Use of Moringa oleifera in the Preservation of Fresh Tomatoes. J. Agric. Veter. Sci. 2015, 8, 127–132. [Google Scholar]
  31. Mosa, W.F.A.; Salem, M.Z.M.; Ali, H.M.; Al-Huqail, A.A. Application of Glycine, Folic Acid, and Moringa Extract as Bio-stimulants for Enhancing the Production of ‘Flame Seedless’ Grape Cultivar. Bioresources 2021, 16, 3391–3410. [Google Scholar] [CrossRef]
  32. Abbassy, M.M.S.; Salem, M.Z.M.; Rashad, N.M.; Afify, S.M.; Salem, A.Z.M. Nutritive and biocidal properties of agroforestry trees of Moringa oleifera Lam., Cassia fistula L., and Ceratonia siliqua L. as non-conventional edible vegetable oils. Agrofor. Syst. 2020, 94, 1567–1579. [Google Scholar] [CrossRef]
  33. Milla, P.G.; Peñalver, R.; Nieto, G. Health Benefits of Uses and Applications of Moringa oleifera in Bakery Products. Plants 2021, 10, 318. [Google Scholar] [CrossRef] [PubMed]
  34. Adetunji, C.O.; Fawole, O.B.; Arowora, K.A.; Nwaubani, S.I.; Oloke, J.K.; Adetunji, J.B.; Ajani, A.O. Postharvest quality and safety maintenance of (Daucus carota L.) fruits by name oil and moringa oil treatment. Agrosearch 2013, 13, 131–141. [Google Scholar] [CrossRef][Green Version]
  35. El Oualkadi, A.; Mouhib, M.; Hajjaj, B. Study of Radio-Sensitivity of Strawberry Runners cv. Fortuna under Moroccan Conditions. Am. J. Plant Sci. 2019, 10, 1921–1931. [Google Scholar] [CrossRef][Green Version]
  36. Okla, M.K.; Alamri, S.A.; Salem, M.Z.M.; Ali, H.M.; Behiry, S.I.; Nasser, R.A.; Alaraidh, I.A.; Al-Ghtani, S.M.; Soufan, W. Yield, phytochemical constituents, and antibacterial activity of essential oils from the leaves/twigs, branches, branch wood, and branch bark of Sour Orange (Citrus aurantium L.). Processes 2019, 7, 363. [Google Scholar] [CrossRef]
  37. Salem, M.Z.M.; Behiry, S.I.; EL-Hefny, M. Inhibition of Fusarium culmorum, Penicillium chrysogenum and Rhizoctonia solani by n-hexane characterized extracts of three plant species as a wood-treated oil-fungicide model. J. Appl. Microbiol. 2019, 126, 1683–1699. [Google Scholar] [CrossRef]
  38. Mohamed, A.A.; Behiry, S.I.; Ali, H.M.; EL-Hefny, M.; Salem, M.Z.M.; Ashmawy, N.A. Phytochemical Compounds of Branches from P. halepensis Oily Liquid Extract and S. terebinthifolius Essential Oil and Their Potential Antifungal Activity. Processes 2020, 8, 330. [Google Scholar] [CrossRef]
  39. Mohamed, A.A.; El-Hefny, M.; El-Shanhorey, N.A.; Ali, H.M. Foliar Application of Bio-Stimulants Enhancing the Production and the Toxicity of Origanum majorana Essential Oils Against Four Rice Seed-Borne Fungi. Molecules 2020, 25, 2363. [Google Scholar] [CrossRef]
  40. The Association of Official Analytical Chemists. Official Methods of Analysis, 17th ed.; The Association of Official Analytical Chemists: Gaithersburg, MD, USA, 2000. [Google Scholar]
  41. Shehata, S.A.; Abdeldaym, E.A.; Ali, M.R.; Mohamed, R.M.; Bob, R.I.; Abdelgawad, K.F. Effect of some citrus essential oils on post-harvest shelf life and physicochemical quality of strawberries during cold storage. Agronomy 2020, 10, 1466. [Google Scholar] [CrossRef]
  42. Granato, D.; Masson, M.L. Instrumental color and sensory acceptance of soy-based emulsions: A response surface approach. Ciência Tecnol. Aliment. 2010, 30, 1090–1096. [Google Scholar] [CrossRef]
  43. Salem, M.Z.M.; Ali, H.M.; El-Shanhorey, N.A.; Abdel-Megeed, A. Evaluation of extracts and essential oil from Callistemon viminalis leaves: Antibacterial and antioxidant activities, total phenolic and flavonoid contents. Asian Pac. J. Trop. Med. 2013, 6, 785–791. [Google Scholar] [CrossRef]
  44. Salem, M.Z.M.; Ali, H.M.; Basalah, M.O. Essential oils from wood, bark, and needles of Pinus roxburghii Sarg. from Alexandria, Egypt: Antibacterial and antioxidant activities. BioResources 2014, 9, 7454–7466. [Google Scholar] [CrossRef]
  45. Hameda, H.M.; Klein, B.P. Effects of naturally occurring antioxidants on peroxidase activity of vegetable extracts. J. Food Sci. 1990, 55, 184–187. [Google Scholar] [CrossRef]
  46. Ashmawy, N.A.; Behiry, S.I.; Al-Huqail, A.A.; Ali, H.M.; Salem, M.Z.M. Bioactivity of Selected Phenolic Acids and Hexane Extracts from Bougainvilla spectabilis and Citharexylum spinosum on the Growth of Pectobacterium carotovorum and Dickeya solani Bacteria: An Opportunity to Save the Environment. Processes 2020, 8, 482. [Google Scholar] [CrossRef]
  47. Salem, M.Z.M.; Mansour, M.M.A.; Elansary, H.O. Evaluation of the effect of inner and outer bark extracts of sugar maple (Acer saccharum var. saccharum) in combination with citric acid against the growth of three common molds. J. Wood Chem. Technol. 2019, 39, 136–147. [Google Scholar] [CrossRef]
  48. Mosa, W.F.A.; El-Shehawi, A.M.; Mackled, M.I.; Salem, M.Z.M.; Ghareeb, R.Y.; Hafez, E.E.; Behiry, S.I.; Abdelsalam, N.R. Productivity performance of peach trees, insecticidal and antibacterial bioactivities of leaf extracts as affected by nanofertilizers foliar application. Sci. Rep. 2021, 11, 10205. [Google Scholar] [CrossRef]
  49. Hassan, S.M.; El-Bebany, A.F.; Salem, M.Z.M.; Komeil, D.A. Productivity and Post-Harvest Fungal Resistance of Hot Pepper as Affected by Potassium Silicate, Clove Extract Foliar Spray and Nitrogen Application. Plants 2021, 10, 662. [Google Scholar] [CrossRef]
  50. Snedecor, G.W.; Cochran, W.G. Statistical Methods, 8th ed.; Iowa State University Press: Ames, IA, USA, 1989. [Google Scholar]
  51. CoStat, Version 6, 303 Copyright (1998–2004); CoHort Software 798, PMB 320; CoStat: Monterey, CA, USA, 1999.
  52. Ciobanu, A.; Mallard, I.; Landy, D.; Brabie, G.; Nistor, D.; Fourmentin, S. Retention of aroma compounds from Mentha piperita essential oil by cyclodextrins and crosslinked cyclodextrin polymers. Food Chem. 2013, 138, 291–297. [Google Scholar] [CrossRef]
  53. Maffei, M.; Camusso, W.; Sacco, S. Effect of Mentha × piperita essential oil and monoterpenes on cucumber root membrane potential. Phytochemistry 2001, 58, 703–707. [Google Scholar] [CrossRef]
  54. Yadegarinia, D.; Gachkar, L.; Rezaei, M.B.; Taghizadeh, M.; Astaneh, S.A.; Rasooli, I. Biochemical activities of Iranian Mentha piperita L. and Myrtus communis L. essential oils. Phytochemistry 2006, 67, 1249–1255. [Google Scholar] [CrossRef] [PubMed]
  55. Djenane, D.; Aïder, M.; Yangüela, J.; Idir, L.; Gómez, D.; Roncalés, P. Antioxidant and antibacterial effects of Lavandula and Mentha essential oils in minced beef inoculated with E. coli O157:H7 and S. aureus during storage at abuse refrigeration temperature. Meat Sci. 2012, 92, 667–674. [Google Scholar] [CrossRef] [PubMed]
  56. Ashraf, F.; Gilani, S.R. Fatty acids in Moringa oleifera oil. J. Chem. Soc. Pak. 2007, 29, 343–345. [Google Scholar]
  57. Lalas, S.; Tsaknis, J. Characterization of Moringa oleifera seed oil variety Periyakulam 1. J. Food Compos. Anal. 2002, 15, 65–78. [Google Scholar] [CrossRef]
  58. Dhital, R.; Mora, N.B.; Watson, D.G.; Kohli, P.; Choudhary, R. Efficacy of limonene nano coatings on post-harvest shelf life of strawberries. LWT Food Sci. Technol. 2018, 97, 124–134. [Google Scholar] [CrossRef]
  59. Santoro, K.; Maghenzani, M.; Chiabrando, V.; Bosio, P.; Gullino, M.L.; Spadaro, D.; Giacalone, G. Thyme and savory essential oil vapor treatments control brown rot and improve the storage quality of peaches and nectarines, but could favor gray mold. Foods 2018, 7, 7. [Google Scholar] [CrossRef]
  60. Sivakumar, D.; Bautista-Baños, S. A review on the use of essential oils for postharvest decay control and maintenance of fruit quality during storage. Crop Prot. 2014, 64, 27–37. [Google Scholar] [CrossRef]
  61. Valero, D.; Valverde, J.M.; Martínez-Romero, D.; Guillén, F.; Castillo, S.; Serrano, M. The combination of modified atmosphere packaging with eugenol or thymol to maintain quality, safety and functional properties of table grapes. Posthar. Biol. Technol. 2006, 41, 17–327. [Google Scholar] [CrossRef]
  62. Janjarasskul, T.; Krochta, J.M. Edible packaging materials. Annu. Rev. Food Sci. Technol. 2010, 1, 415–448. [Google Scholar] [CrossRef]
  63. Velickova, E.; Winkelhausen, E.; Kuzmanova, S.; Alves, V.D.; Moldão-Martins, M. Impact of chitosan-beeswax edible coatings on the quality of fresh strawberries (Fragaria ananassa cv Camarosa) under commercial storage conditions. LWT Food Sci. Technol. 2013, 52, 80–92. [Google Scholar] [CrossRef]
  64. Tesfay, S.Z.; Magwaza, L.S.; Mbili, N.; Mditshwa, A. Carboxyl methylcellulose (CMC) containing moringa plant extracts as new postharvest organic edible coating for Avocado (Persea americana Mill.) fruit. Sci. Hortic. 2017, 226, 201–207. [Google Scholar] [CrossRef]
  65. Saleh, M.A.; Zaied, N.S.; Maksoud, M.A.; Hafez, O.M. Application of Arabic gum and essential oils as the postharvest treatments of Le Conte pear fruits during cold storage. Asian J. Agric. Hortic. Res. 2019, 3, 1–11. [Google Scholar] [CrossRef]
  66. Pelayo, C.; Ebeler, S.E.; Kader, A.A. Postharvest life and flavor quality of three strawberry cultivars kept at 5 °C in air or air +20 kPa CO2. Posthar. Biol. Technol. 2003, 27, 171–183. [Google Scholar] [CrossRef]
  67. Koyuncu, M.A. Quality changes of three strawberry cultivars during the cold storage. Europ. J. Hort. Sci. 2004, 69, 1611–4426. [Google Scholar]
  68. Guerreiro, A.C.; Gago, C.M.; Faleiro, M.L.; Miguel, M.G.; Antunes, M.D. Raspberry fresh fruit quality as affected by pectin-and alginate-based edible coatings enriched with essential oils. Sci. Hortic. 2015, 194, 138–146. [Google Scholar] [CrossRef]
  69. Treviño-Garza, M.Z.; García, S.; del Socorro Flores-González, M.; Arévalo-Niño, K. Edible active coatings based on pectin, pullulan, and chitosan increase quality and shelf life of strawberries (Fragaria ananassa). J. Food Sci. 2015, 80, M1823–M1830. [Google Scholar] [CrossRef]
  70. Khosroshahi, M.R.Z.; Esna-Ashari, M.; Ershadi, A. Effect of exogenous putrescine on post-harvest life of strawberry (Fragaria ananassa Duch.) fruit, cultivar Selva. Sci. Hortic. 2007, 114, 27–32. [Google Scholar] [CrossRef]
  71. Ishaq, S.; Rathore, H.A.; Majeed, S.; Awan, S.; Zulfiqar-Ali-Shah, S. The studies on the physico-chemical and organoleptic characteristics of apricot (Prunus armeniaca L.) produced in Rawalakot, Azad Jammu and Kashmir during storage. Pak. J. Nutr. 2009, 8, 856–860. [Google Scholar] [CrossRef]
  72. Marín, I.; Sayas-Barberá, E.; Viuda-Martos, M.; Navarro, C.; Sendra, E. Chemical composition, antioxidant and antimicrobial activity of essential oils from organic fennel, parsley, and lavender from Spain. Foods 2016, 5, 18. [Google Scholar] [CrossRef]
  73. Mahmoud, T.S.; Shaaban, F.K.; El-Hadidy, G. Enhancement of antioxidant and storability of Hollywood plum cultivar by preharvest treatments with moringa leaf extract and some nutrients. Bull. Nati. Res.Cent. 2020, 44, 1–11. [Google Scholar] [CrossRef]
  74. Piljac-Žegarac, J.; Šamec, D. Antioxidant stability of small fruits in postharvest storage at room and refrigerator temperatures. Food Res Int. 2011, 44, 345–350. [Google Scholar] [CrossRef]
  75. Grace, M.H.; Yousef, G.G.; Gustafson, S.J.; Truong, V.D.; Yencho, G.C.; Lila, M.A. Phytochemical changes in phenolics, anthocyanins, ascorbic acid, and carotenoids associated with sweetpotato storage and impacts on bioactive properties. Food Chem. 2004, 145, 717–724. [Google Scholar] [CrossRef]
  76. Galani, Y.J.H.; Mankad, M.P.; Shah, A.K.; Patel, N.J.; Acharya, R.R.; Talati, J.G. Effect of storage temperature on vitamin C, total phenolics, UPLC phenolic acids profile and antioxidant capacity of eleven Potato (Solanum tuberosum L.) Varieties. Hortic. Plant J. 2017, 3, 73–89. [Google Scholar] [CrossRef]
  77. Thanaa, S.M.; Kassim, N.E.; AbouRayya, M.S.; Abdalla, A.M. Influence of foliar application with moringa (Moringa oleifera L.) leaf extract on yield and fruit quality of Hollywood plum cultivar. J. Hortic. 2017, 4, 1–7. [Google Scholar]
  78. Jin, P.; Wang, S.Y.; Wang, C.Y.; Zheng, Y. Effect of cultural system and storage temperature on antioxidant capacity and phenolic compounds in strawberries. Food Chem. 2011, 124, 262–270. [Google Scholar] [CrossRef]
  79. Badawy, M.E.I.; Rabea, E.I.; El-Nouby, M.; Ismail, R.I.A.; Taktak, N.E.M. Strawberry shelf life, composition, and enzymes activity in response to edible chitosan coatings. Int. J. Fruit Sci. 2016, 17, 1–20. [Google Scholar] [CrossRef]
  80. Aaby, K.; Skrede, G.; Wrolstad, R.W. Phenolic Composition and Antioxidant Activities in Flesh and Achenes of Strawberries (Fragaria ananassa). J. Agric. Food Chem. 2005, 53, 4032–4040. [Google Scholar] [CrossRef] [PubMed]
  81. Buendia, B.; Gil, M.I.; Tudela, J.A.; Gady, A.L.; Medina, J.J.; Soria, C.; Lopez, J.M.; Tomas-Barberan, A. HPLC–MS analysis of proanthocyanidin oligomers and other phenolics in 15 strawberry cultivars. J. Agric. Food Chem. 2010, 58, 3916–3926. [Google Scholar] [CrossRef]
  82. Määttä-Riihinen, K.R.; Kamal-Eldin, A.; Törrönen, A.R. Identification and quantification of phenolic compounds in berries of Fragaria and Rubus species (Family Rosaceae). J. Agric. Food Chem. 2004, 52, 6178–6187. [Google Scholar] [CrossRef]
  83. Aaby, K.; Mazur, S.; Nes, A.; Skrede, G. Phenolic compounds in strawberry (Fragaria × ananassa Duch.) fruits: Composition in 27 cultivars and changes during ripening. Food Chem. 2012, 132, 86–97. [Google Scholar] [CrossRef]
  84. Kosińska-Cagnazzo, A.; Diering, S.; Prim, D.; Andlauer, W. Identification of bioaccessible and uptaken phenolic compounds from strawberry fruits in in vitro digestion/Caco-2 absorption model. Food Chem. 2015, 170, 288–294. [Google Scholar] [CrossRef]
  85. Oszmiański, J.; Wojdylo, A. Comparative Study of Phenolic Content and Antioxidant Activity of Strawberry Puree, Clear, and Cloudy Juices. Eur. Food Res. Technol. 2009, 228, 623–631. [Google Scholar] [CrossRef]
  86. Kelebek, H.; Selli, S. Characterization of phenolic compounds in strawberry fruits by RP-HPLC-DAD and investigation of their antioxidant capacity. J. Liq. Chrom. Relat. Technol. 2011, 34, 2495–2504. [Google Scholar] [CrossRef]
  87. Aaby, K.; Ekeberg, D.; Skrede, G. Characterization of phenolic compounds in strawberry (Fragaria × ananassa) fruits by different HPLC detectors and contribution of individual compounds to total antioxidant capacity. J. Agric. Food Chem. 2007, 55, 4395–4406. [Google Scholar] [CrossRef]
  88. Oliveira Filho, J.G.; Silva, G.C.; Aguiar, A.C.; Cipriano, L.; Azeredo, H.M.; Junior, S.B.; Ferreira, M.D. Chemical composition and antifungal activity of essential oils and their combinations against Botrytis cinerea in strawberries. J. Food Meas. Charact. 2021, 15, 1815–1825. [Google Scholar] [CrossRef]
  89. Raafat, S.M.; Abou-Zaid, M.I.; Tohamy, M.R.; Arisha, H.E. Impact of some plant essential oil treatments on controlling cherry tomatoes spoilage, improvement shelf life and quality attributes during storage. Zagazig J. Agric. Res. 2016, 43, 785–813. [Google Scholar] [CrossRef]
  90. Mendez-Vilas, A. (Ed.) Use of Essential Oils in Food Preservation. In Antimicrobial Research-Novel Bioknowledge and Educational Programs; Mendez-Vilas, A. (Ed.) Formatex Research Center: Badajoz, Spain, 2017. [Google Scholar]
  91. Hyldgaard, M.; Mygind, T.; Meyer, R.L. Essential oils in food preservation: Mode of action, synergies, and interactions with food matrix components. Front Microbiol. 2012, 25, 12. [Google Scholar] [CrossRef]
  92. Camele, I.; Altieri, L.; de Martino, L.; de Feo, V.; Mancini, E.; Rana, G.L. In vitro control of post-harvest fruit rot fungi by some plant essential oil components. Int. J. Mol. Sci. 2012, 13, 2290–2300. [Google Scholar] [CrossRef]
  93. Yilmaz, A.; Ermis, E.; Boyraz, N. Investigation of in vitro and in vivo antifungal activities of different plant essential oils against postharvest apple rot diseases-Colletotrichum gloeosporioides, Botrytis cinerea and Penicillium expansum. Arch. Lebensm. 2016, 67, 122–131. [Google Scholar]
  94. Diao, W.R.; Zhang, L.L.; Feng, S.S.; Xu, J.G. Chemical composition, antibacterial activity, and mechanism of action of the essential oil from Amomum kravanh. J. Food Prot. 2014, 77, 1740–1746. [Google Scholar] [CrossRef] [PubMed]
  95. Xueuan, R.; Dandan, S.; Zhuo, L.; Qingjun, K. Effect of mint oil against Botrytis cinerea on table grapes and its possible mechanism of action. Eur. J. Plant Pathol. 2018, 151, 321–328. [Google Scholar] [CrossRef]
  96. Tripathi, P.; Dubey, N.K.; Shukla, A.K. Use of some essential oils as post-harvest botanical fungicides in the management of grey mould of grapes caused by Botrytis cinerea. World J. Microbiol. Biotechnol. 2008, 24, 39–46. [Google Scholar] [CrossRef]
Figure 1. Visual and chemical parameters (means ± S.E) of strawberry fruits stored at 5 °C as affected by the application of natural oils at different storage durations in both seasons 2018 and 2019. Fruits treated with Control: without oils; E.C.: E. camaldulensis var obtusa EO; M.P.: M. piperita EO; E.C.+ M.P.: mix of E. camaldulensis var obtusa and M. piperita EOs (1/1 v/v); Oil 4: M. oleifera FO. Letters (a-l) in figures explain that, means ± S.E of treatments with the same letter/s are not significant difference according to Duncan multiple range test for p < 0.05.
Figure 1. Visual and chemical parameters (means ± S.E) of strawberry fruits stored at 5 °C as affected by the application of natural oils at different storage durations in both seasons 2018 and 2019. Fruits treated with Control: without oils; E.C.: E. camaldulensis var obtusa EO; M.P.: M. piperita EO; E.C.+ M.P.: mix of E. camaldulensis var obtusa and M. piperita EOs (1/1 v/v); Oil 4: M. oleifera FO. Letters (a-l) in figures explain that, means ± S.E of treatments with the same letter/s are not significant difference according to Duncan multiple range test for p < 0.05.
Agronomy 11 01246 g001aAgronomy 11 01246 g001bAgronomy 11 01246 g001c
Figure 2. HPLC chromatograms of polyphenolic compounds detected in the methanol extracts of strawberry fruits from (a) the original fruit sample; (b) untreated fruits; and treated fruits with (c) E. camaldulensis var obtusa EO; (d) M. piperita EO; (e) E. camaldulensis var obtusa and M. piperita mix EOs (1/1 v/v) and (f) M. oleifera FO.
Figure 2. HPLC chromatograms of polyphenolic compounds detected in the methanol extracts of strawberry fruits from (a) the original fruit sample; (b) untreated fruits; and treated fruits with (c) E. camaldulensis var obtusa EO; (d) M. piperita EO; (e) E. camaldulensis var obtusa and M. piperita mix EOs (1/1 v/v) and (f) M. oleifera FO.
Agronomy 11 01246 g002
Figure 3. Visual observation of the treated fruits with oils after 18 days of storage at 5 °C. (a) untreated fruits; and treated fruits with (b) E. camaldulensis var obtusa EO; (c) M. piperita EO; (d) E. camaldulensis var obtusa and M. piperita mix EOs (1/1 v/v) and (e) M. oleifera FO.
Figure 3. Visual observation of the treated fruits with oils after 18 days of storage at 5 °C. (a) untreated fruits; and treated fruits with (b) E. camaldulensis var obtusa EO; (c) M. piperita EO; (d) E. camaldulensis var obtusa and M. piperita mix EOs (1/1 v/v) and (e) M. oleifera FO.
Agronomy 11 01246 g003
Figure 4. In vitro antifungal activity of the tested oils against B. cinerea. (a) control; (b) moringa FO; (c) E. camaldulensis var obtusa EO; (d) M. piperita EO; (e) combination of E. camaldulensis var obtuseM. piperita (1/1 v/v) EOs.
Figure 4. In vitro antifungal activity of the tested oils against B. cinerea. (a) control; (b) moringa FO; (c) E. camaldulensis var obtusa EO; (d) M. piperita EO; (e) combination of E. camaldulensis var obtuseM. piperita (1/1 v/v) EOs.
Agronomy 11 01246 g004
Figure 5. Visual observation and SEM photos of the treated and untreated fruits with oils after 10 days from the fungal inoculation and storage at 5 °C. (a) Untreated fruits and treated fruits with (b) E. camaldulensis var obtusa EO, (c) M. piperita EO, (d) mixture of E. camaldulensis var obtusa and M. piperita EOs (1/1 v/v) and (e) M. oleifera FO.
Figure 5. Visual observation and SEM photos of the treated and untreated fruits with oils after 10 days from the fungal inoculation and storage at 5 °C. (a) Untreated fruits and treated fruits with (b) E. camaldulensis var obtusa EO, (c) M. piperita EO, (d) mixture of E. camaldulensis var obtusa and M. piperita EOs (1/1 v/v) and (e) M. oleifera FO.
Agronomy 11 01246 g005
Table 1. Percentages of phytochemical constituents of the essential oils from green aerial parts of E. camaldulensis var obtusa and M. piperita by GC-MS.
Table 1. Percentages of phytochemical constituents of the essential oils from green aerial parts of E. camaldulensis var obtusa and M. piperita by GC-MS.
Chemical CompoundE. camaldulensis var obtusaM. piperita
β-Pinene0.39 (915) *-
α-Phellandrene0.8 (928)-
Eucalyptol or 1,8-Cineole33.04 (715)7.46 (839)
Linalool-0.86 (879)
Sabinene0.3 (918)-
p-Cymene10.49 (792)-
endo-Borneol-3.15 (944)
γ-Terpinene6.55 (856)-
Isoterpinolene0.28 (910)-
Terpinen-4-ol2.45 (875)-
trans-3(10)-Caren-2-ol0.39 (769)
α-Terpineol0.6 (908)1.71 (907)
2-Undecanone-0.78 (864)
Menthone-6.90 (901)
Levomenthol-16.36 (873)
Isomenthone-17.23 (896)
Pulegone-29.38 (937)
β-Guaiene-0.98 (796)
Cubenol-0.37 (905)
Piperitone0.2 (894)3.02 (935)
p-Cymen-8-ol0.16 (903)-
Crypton5.35 (879)-
3-Isopropyl phenol0.2 (950)-
Nerolidol-1.14 (943)
α-Copaene-1.76 (959)
Cuminaldehyde1.87 (893)-
Phellandral3.01 (894)-
2-Caren-10-al0.1 (841)-
Carvacrol0.17 (846)-
Thymol2.69 (885)-
Cuminyl alcohol0.88 (892)-
β-Elemene-1.17 (928)
trans-α-Bergamotene-0.60 (897)
Aromadendrene1.11 (909)3.64 (918)
Cubenol-1.33 (928)
3-Methylenehexahydro-1-benzofuran-2(3H)-one0.09 (718)-
Dehydroaromadendrene0.1 (746)-
1,5-Dimethyltetralin0.98 (741)-
Ascaridol0.18 (832)-
Spathulenol21.15 (794)-
Isoaromadendrene epoxide0.5 (775)-
β-Eudesmol-1.10 (910)
7-Epi-cis-sesquisabinene hydrate-0.55 (853)
4-(6,6-Dimethyl-2-methylenecyclohex-3-enylidene)pentan-2-ol0.65 (731)-
β-Caryophyllene oxide-0.82 (833)
β-Longipinene0.16 (848)-
α-Vetivol0.12 (803)-
Ledene oxide-(II)0.69 (914)-
α-Sinensal0.1 (823)-
Ylangenal1.69 (802)-
* Vlues are precentge of the compound (match factor, MF).
Table 2. Chemical composition of the fixed oil from M. oleifera seeds *.
Table 2. Chemical composition of the fixed oil from M. oleifera seeds *.
Chemical GroupChemical CompoundsPercentage in the Oil (%)
Fatty acidsOleic acid59.7
cis-Vaccenic acid1.95
6-Octadecenoic acid1.03
9-Octadecenoic acid2.77
Palmitoleic acid0.68
Erucic acid0.97
α-Ketostearic acid0.06
Terpenoids3-Carene0.24
Humulene0.15
α-Copaene0.12
Caryophyllene1.06
Estragole0.29
SteroidsStigmasterol0.35
β-Sitosterol21.4
Esters2-Chloropropionic acid, octadecyl ester0.47
Fumaric acid, 3-heptyl tridecyl ester0.32
Vitamin Eα-Tocopherol4.9
β-Tocopherol0.62
γ-Tocopherol1.5
* Data from Abbassy et al. [32].
Table 3. Chromatic parameters measured in the L*, a* and b* color system of strawberry fruits as affected by the application of natural oils after 18 days of the storage at 5 °C.
Table 3. Chromatic parameters measured in the L*, a* and b* color system of strawberry fruits as affected by the application of natural oils after 18 days of the storage at 5 °C.
OilsSeason 2018Season 2019
L*a*b*ΔEL*a*b*ΔE
Initial sample color40.0040.4924.25-40.6840.0225.10-
ControlUntreated fruits34.1934.12 15.4012.6336.6934.6912.8913.90
E.C.E. camaldulensis var obtusa EO37.8836.8922.644.6237.2836.3626.515.19
M.P.M. piperita EO35.5331.5520.2610.9030.5635.8321.8711.41
E.C. + M.P.E. camaldulensis var obtusa + M. piperita EOs (1/1 v/v)33.2736.5120.089.0433.9431.5822.1611.19
M.O.M. oleifera FO36.7936.3223.545.3739.9436.4821.684.97
Table 4. HPLC analysis of polyphenolic compounds in strawberry fruits treated with natural oils after 18 from the storage period.
Table 4. HPLC analysis of polyphenolic compounds in strawberry fruits treated with natural oils after 18 from the storage period.
RT (min)CompoundPhenolic Compounds (µg/mL) in Methanol Extract of Strawberry Fruits Treated with *
0 Day * ControlE.C.M.P.E.C. + M.P.M.O.
4.5Myricetin10.33NDNDNDNDND
5.1Syringic acid9.148.12NDND9.2213.30
6.0p-Coumaric acidNDND8.2325.519.688.09
7.0Eugenol35.1618.05NDNDNDND
7.8VanillinNDND7.555.42NDND
8.0Caffeic acid6.4716.266.9818.8719.635.36
8.5p-Hydroxybenzoic acidNDND7.12NDNDND
9.02PyrogallolNDND28.5ND14.51ND
9.8Gallic acid8.167.1412.665.12NDND
11.0Ferulic acidNDND18.0920.1121.126.12
11.5α-TocopherolNDNDNDND7.4522.01
12.0Salicylic acid9.129.56NDNDNDND
12.5CatecholNDNDNDND5.186.23
13.0Ellagic acid17.368.49NDND18.335.14
15.6Protocatchuic acid10.682.21NDNDNDND
ND: not detected; * 0 day: the orginal fruit sample; Control: Untreated fruits; E.C.: E. camaldulensis var obtusa EO; M.P.: M. piperita EO; E.C. + M.P.: mixt of E. camaldulensis var obtusa and M. piperita EOs (1/1 v/v), and M.O.: M. oleifera FO.
Table 5. Radial colony growth (cm) on potato dextrose agar medium with oils for Botrytis cinerea isolated from strawberry fruits.
Table 5. Radial colony growth (cm) on potato dextrose agar medium with oils for Botrytis cinerea isolated from strawberry fruits.
TreatmentRadial Colony Growth (cm)
2 DAI4 DAI7 DAI
ControlUntreated5.23 * a7.08 a9.00 a
E.C.E. camaldulensis var obtusa EO1.22 b2.57 c2.57 c
M.P.M. piperita EO0.00 c0.00 d0.00 c
E.C. + M.P.E. camaldulensis var obtusa + M. piperita EOs (1/1 v/v)0.00 c0.00 d0.00 c
M.O.Moringa FO4.97 a6.13 b9.00 a
DAI: days after inoculation; * Means with the same letter within the same column indicate non-significant differences among treatments (p < 0.05) at 2, 4 and 7 DAI.
Table 6. Antifungal activity of M. piperita, E. camaldulensis var obtuse and their combination and moringa oils against B. cinerea.
Table 6. Antifungal activity of M. piperita, E. camaldulensis var obtuse and their combination and moringa oils against B. cinerea.
TreatmentAntifungal Index (%)
2 DAI4 DAI7 DAI
E.C.E. camaldulensis var obtusa EO76.6763.7031.11
M.P.M. piperita EO100.00100.00100.00
E.C. + M.P.E. camaldulensis var obtuse + M. piperita EOs (1/1 v/v)100.00100.00100.00
M.O.Moringa FO4.9713.420.00
Table 7. Infection rate (%) of strawberry fruits caused by Botrytis cinerea after treatment with different oils.
Table 7. Infection rate (%) of strawberry fruits caused by Botrytis cinerea after treatment with different oils.
TreatmentsInfection Rate (%)
7 DAI10 DAI
ControlUntreated53 a87 a
E.C.E. camaldulensis var obtusa EO24 c52 b
M.P.M. piperita EO12 d18 c
E.C. + M.P.E. camaldulensis var obtusa + M. piperita EOs (1/1 v/v)15 d20 c
M.O.Moringa FO40 b80 a
DAI—days after inoculation; the same letter within the same column indicates non-significant differences among treatments (p < 0.05) at 7 and 10 DAI.
Table 8. Rot caused by Botrytis cinerea. Lesion diameter (cm) on strawberry fruits after treatment with different oils.
Table 8. Rot caused by Botrytis cinerea. Lesion diameter (cm) on strawberry fruits after treatment with different oils.
TreatmentsLession Diameter (cm)
7 DAI10 DAI
ControlUntreated1.4 a2.45 a
E.C.E. camaldulensis var obtusa EO0.66 c2.00 b
M.P.M. piperita EO0.65 c1.5 c
E.C. + M.P.E. camaldulensis var obtusa + M. piperita EOs (1/1 v/v)0.55 c1.3 c
M.O.Moringa FO1.25 b2.35 a
DAI—days after inoculation; the same letters within the same column indicate non-significant differences among treatments (p < 0.05) at 7 and 10 DAI.
Table 9. Mycelial growth inhibition determined according to the diameters of the lesions for different treatments at 7 and 10 DAI.
Table 9. Mycelial growth inhibition determined according to the diameters of the lesions for different treatments at 7 and 10 DAI.
TreatmentsInhibition of B. cinerea (%)
7 DAI10 DAI
ControlUntreated--
E.C.E. camaldulensis var obtusa EO52.8618.37
M.P.M. piperita EO53.5738.78
E.C. + M.P.E. camaldulensis var obtusa + M. piperita EOs (1/1 v/v)60.7146.94
M.O.Moringa FO10.714.08
Publisher’s Note: MDPI stays neutral with regard to jurisdictional claims in published maps and institutional affiliations.

Share and Cite

MDPI and ACS Style

Abd-Elkader, D.Y.; Salem, M.Z.M.; Komeil, D.A.; Al-Huqail, A.A.; Ali, H.M.; Salah, A.H.; Akrami, M.; Hassan, H.S. Post-Harvest Enhancing and Botrytis cinerea Control of Strawberry Fruits Using Low Cost and Eco-Friendly Natural Oils. Agronomy 2021, 11, 1246. https://doi.org/10.3390/agronomy11061246

AMA Style

Abd-Elkader DY, Salem MZM, Komeil DA, Al-Huqail AA, Ali HM, Salah AH, Akrami M, Hassan HS. Post-Harvest Enhancing and Botrytis cinerea Control of Strawberry Fruits Using Low Cost and Eco-Friendly Natural Oils. Agronomy. 2021; 11(6):1246. https://doi.org/10.3390/agronomy11061246

Chicago/Turabian Style

Abd-Elkader, Doaa Y., Mohamed Z. M. Salem, Doaa A. Komeil, Asma A. Al-Huqail, Hayssam M. Ali, Alaa H. Salah, Mohammad Akrami, and Hanaa S. Hassan. 2021. "Post-Harvest Enhancing and Botrytis cinerea Control of Strawberry Fruits Using Low Cost and Eco-Friendly Natural Oils" Agronomy 11, no. 6: 1246. https://doi.org/10.3390/agronomy11061246

APA Style

Abd-Elkader, D. Y., Salem, M. Z. M., Komeil, D. A., Al-Huqail, A. A., Ali, H. M., Salah, A. H., Akrami, M., & Hassan, H. S. (2021). Post-Harvest Enhancing and Botrytis cinerea Control of Strawberry Fruits Using Low Cost and Eco-Friendly Natural Oils. Agronomy, 11(6), 1246. https://doi.org/10.3390/agronomy11061246

Note that from the first issue of 2016, this journal uses article numbers instead of page numbers. See further details here.

Article Metrics

Back to TopTop