Abstract
A transformation towards sustainable food production requires improved circular nutrient management. Urban organic waste contains relevant nutrients and organic matter, yet only 4% of global urban nitrogen (N) and phosphorus (P) sources are presently recycled. One recycling approach is the composting of urban wastes for urban horticulture. We characterized compost from various urban waste fractions and assessed their fertilizer value in a pot trial with lettuce plants. Seven treatments were investigated: food waste vermicompost with coir and paperboard bedding material, thermophilic compost from green waste and human feces, two references with mineral fertilization and a sand control. The lettuce yield and total uptake of P, potassium (K), calcium (Ca), and magnesium (Mg) were highest in plants grown in coir-based vermicompost. The fecal compost led to the highest shoot P and K content, but the shoot uptake of Ca and Mg were lower than in the other treatments. All composts required additional N for lettuce growth. In conclusion, urban waste-derived vermicompost and fecal compost demonstrate a high delivery rate of plant-available Ca, Mg, P, and K. Research is needed on macronutrient availability and alternative N sources for the substitution of synthetic fertilization. These findings support the production of urban waste composts, furthering efforts in nutrient recycling.
1. Introduction
1.1. Background—Circular Food Production for a Sustainable Future
Feeding a growing population in a healthy and sustainable way is one of the most challenging societal and scientific issues today. On this topic, the EAT-Lancet Commission on Food, Planet, Health concludes that a ‘great food transformation’ is urgently needed and demands an ‘agricultural revolution’ regarding food production and consumption practices [1]. Gerten et al. [2] demonstrated that it is possible to feed ten billion people within the ‘planetary boundaries’ [3]. However, improved nutrient management and recycling practices, particularly of phosphorus (P) and nitrogen (N), is a key prerequisite for the required transformation towards more sustainable food production [2]. Circular economies and material cycling within agri-food systems are necessary to minimize food production’s environmental impact and to ensure long-term global food supply (e.g., [1,4,5,6,7]).
With regard to spatial allocation of food demand and nutrient recycling potentials, it is expected that, by 2050, nearly 70% of the global population will live in cities [8]. The potential for nutrient cycling is thus especially high in urbanized environments [9,10]. In addition, the recent development of ‘urban farming’ initiatives and businesses, as well as the popularity of community-based urban gardening (cf. [11]), may lead to an increasing demand for fertilizers and organic soil amendments in urban areas. Therefore, considering urban waste as a resource is essential, and the use of locally available waste for the production of organic recycling fertilizers and soil amendments is of particular economic and political interest [12]. Composting is a globally widespread method of producing organic recycled fertilizer from locally available biowaste. During composting, various organic residues mixed with mineral components are aerobically and biochemically decomposed by macro- and micro-organisms. This microbial process allows stabilization of the organic matter (OM) and effective sanitization of the product if controlled and appropriately monitored [13]. This well-established recycling process can, therefore, provide organic fertilizer for urban cropland. Shrestha et al. [14] showed, for example, that compost-based urban agriculture has a strong potential for P recovery and that careful compost application targeted to crop nutrient demands can maintain high yields and minimize nutrient losses.
In the following paragraphs we further elaborate on the total recovery potential and the fate of municipal organic waste; with particular focus on Germany, which is the regional context of this study. Thereafter, we introduce two safe treatment options for recycling nutrients within urban environments.
In 2016, about 0.9 Gt food and green waste was produced globally [15]. Against the backdrop of urbanization, this fact is associated with a significant potential to capture and recycle nutrients within urban areas. However, only 4% of global urban P and N sources are estimated to be recycled within agriculture [16], and hence, only a minor proportion of nutrients in urban biowaste is recaptured. In Germany, waste is typically collected by disposal companies and treated depending on its type. Easily degradable OM, such as food waste, is fermented in biogas plants and used for energy production. The resulting digestate can be directly used as fertilizer or, after further composting, as a soil amendment, with an overall positive environmental and economic impact [17]. Green waste from gardens, parks, and landscape management is processed in municipal or private composting plants to produce what is known as green compost [18]. According to the German Circular Economy Act (Kreislaufwirtschaftsgesetz-KrWG), all private households are obliged to collect the organic waste they produce separately from other waste streams (§11 (1) KrWG) and to transfer it to the local disposal sites (§17 KrWG) [19]. Exemptions are possible if a minimum of 25 m2 garden area per person is used to establish their own recycling processes, e.g., composting [20]. In 2017, 53.8 kg of organic food waste and 71.3 kg of garden waste per person were collected separately, representing just 48.4% of the potential amount [21,22]. This means that despite the regulation being in effect for several years, German organic waste collection remains insufficient. One explanation is that in cities and metropolitan areas, not all households have access to an organic waste bin. For Berlin (2016 data), the proportion of households with access to organic waste disposal facilities was 80% in inner-city districts and only 20–25% in suburban areas [23]. A large amount of organic waste ends up in the residual waste, which is then incinerated in waste-to-energy plants. The full potential for nutrient recycling is therefore not achieved.
Against this backdrop, decentralized organic waste recycling could serve as a good alternative or supplement for existing centralized systems in urban areas and help supply locally produced fertilizers of controlled quality to urban food producers. Two promising approaches to recycling urban nutrients on a local level include (i) small-scale vermicomposting of urban organic waste and (ii) composting of human excreta.
Small-scale vermicomposting is a low-odor, space-saving process that requires little effort and can therefore be carried out even in households lacking gardens [24]. Vermicomposting is a method whereby the stabilization process of organic waste is achieved with earthworms [25]. The worms (E. eugeniae, E. fetida, E. andrei, and P. excavatus) ingest and fragment the OM, simultaneously aerating and mixing it by moving through the substrate. Thus, they optimally prepare the OM for decomposition by micro-organisms, enhancing its microbial decomposition rate [26]. Vermicompost (VC) stimulates plant growth due to the nutrient supply [27], as well as the presence of growth-promoting substances in the vermicast, e.g., auxin and cytokinin [28] or humic acids [29]. Compared to thermophilic compost (TC), VC of the same input material results in a more homogeneous product with smaller particles and a higher content of nutrients [30,31].
Human excreta is an inevitable urban waste source, which is also seen as a key, but yet untapped, resource for ‘urban mining’ of nutrients, particularly P and N [32]. Human urine and feces contribute 70–80% of N and up to 60% of P as well as other macro- and micronutrients in urban municipal wastewater [33,34]. However, in the sewage system, these nutrients are often contaminated with heavy metals and microplastic from sources other than toilets. Due to this contamination, field fertilization with sewage sludge has been restricted or banned by many national governments, including Germany, due to the 2017 revised German Sewage Sludge Ordinance (Klärschlammverordnung-AbfKlärV) [35]. Currently, 65% of the sewage sludge produced in Germany is dried, incinerated, and deposited in landfills [36]. The most common processes that are studied and applied for recovery of nutrients from wastewater are mainly ones that focus on individual elements, e.g., wastewater P recovery by struvite precipitation or P extraction from sewage sludge ash [37]. However, removal of N from wastewater via aeration from combined nitrification and denitrification processes requires 50–80% of the electricity consumed by wastewater treatment plants and further leads to significant gaseous N losses due to nitrous oxide emissions from activated sludge processes [38]. On the other hand, it has been shown that human excreta can be treated and sanitized effectively by composting [39,40,41,42,43] and can improve crop productivity when used as a soil amendment (e.g., [41,44,45]). Most approaches for recycling-oriented sanitation services include the usage of waterless (or dry) toilets, which result in significantly less freshwater consumption than flush toilets [46,47,48]. These toilets either collect urine and feces together or separate them ‘at the source’ and treat them separately. The collected solid waste is thermally composted with added carbon from toilet paper, sawdust, or other additives such as green waste [39,40,41,42,43]. For successful sanitation of fecal compost, the World Health Organization recommends treatment at 55–60 °C for several days to one month, depending on conditions [49]. Longer periods are recommended, for example, when continuous temperature monitoring is not possible [ibid.]. Specific regulations for human excreta treatment are not yet in place in most countries, including Germany [50,51,52]. The EU fertilizer ordinance promotes bio-based recycled fertilizers, but does not explicitly mention (processed) human excreta—neither urine, nor feces [12]. Furthermore, in many European countries, the agricultural use of excreta is not yet covered by the national legal framework [48,50,51,52]. A paradigm shift with changes in policies is needed to integrate this resource into recycling-oriented waste management and fertilizer legislation at a European and national level. Further research is required to support these policies, including studies assessing the suitability of the recycled products from human excreta for use as fertilizer in horticulture and agriculture. Moreover, existing studies on the potential of compost from urban waste, including VC or fecal compost, often focus on N and P but not on other macronutrients (e.g., [27,53,54]. A comparative study of urban composts can help assess their potential for integration into urban food production, ultimately promoting a more sustainable regional nutrient cycling economy.
1.2. Objectives and Hypothesis of the Present Study
The objectives of this study were: (i) To characterize the physicochemical composition of different types of urban organic waste stream-derived compost, including green compost, VC and fecal compost, and (ii) to examine and assess the fertilization potential of these urban organic fertilizers when used as pot substrate for lettuce, with particular focus on plant growth and macronutrient availability. It was hypothesized that fertilization of lettuce with VC or fecal compost would lead to increased plant biomass, shoot mass and macronutrient uptake compared to thermophilic garden waste compost. The rationale behind this hypothesis was that green compost often contains high levels of carbon (C), resulting in a high C:N ratio, thus increasing the risk of N immobilization in the soil, whereas feedstocks rich in N and P, such as food waste or human excreta, can produce compost with lower C:N ratios and higher nutrient availability.
2. Materials and Methods
2.1. Experimental Design
2.1.1. General Set-Up
Between June and July 2019, a five-week pot experiment with lettuce was carried out under greenhouse conditions at the Leibniz Institute of Vegetable and Ornamental Crops (Großbeeren, Germany; 52°22′ N, 13°18′ E; alt. 40 m). Seeds were germinated on 23 May 2019, healthy seedlings were transplanted into cultivation trays on 11 June and into the treatment media ten days later (planting date, 24 June; defined as day 1 of the experiment). The complete plant biomass was harvested on 31 July. Each of the seven treatments had five replicates (n = 5; 35 pots in total), and the pots were set up in randomized positions on a table in a 60 m2 greenhouse.
2.1.2. Growth Conditions
Seeds of lettuce (Lactuca sativa var. capitata) cultivar ‘Lucinde’ (Bingenheimer Saatgut AG, Echzell, Germany) were germinated in quartz sand and kept at 7 °C for the first 24 h to accelerate germination. ‘Lucinde’ cultivar was chosen for rapid shoot development and its suitability for year-round cultivation. At the three-leaf stage, the seedlings were pricked to a peat-filled cultivation tray and fertilized with 16 mg N, 4 mg P, 13 mg potassium (K), and 1 mg magnesium (Mg) per plant, using a solution of 3 g L−1 MANNA LIN M Spezial (Wilhelm Haug GmbH & Co KG, Germany). After ten days, the seedlings were transplanted into 35 prepared pots: 3.5 L plastic pots filled with a mixture of quartz sand as a base plus the test compost. Quartz sand was used as a neutral, non-reactive substrate that does not influence nutrient release through its chemical and microbiological properties. For consistent conditions in the substrate, the same amount of compost was added to all treatments by preparing a homogenous mixture of 100 g dry matter (DM) compost and 1.67 kg DM of washed quartz sand (grain size, 0.5–1.2 mm) for each, adding up to 2.2 L filling per pot. For the control pots, 1.93 kg DM (2.2 L) sand filling was added to compensate for the missing compost.
The greenhouse climate data were recorded continuously throughout the experiment (Figure A1). The average air temperature during the day was 26.6 °C (max, 43.3 °C; min, 15.1 °C) and 20.7 °C at night (38.9 °C max, 14.8 °C min); the average relative humidity was 57.9%. During the growth period, plants were irrigated with deionized water, maintaining a substrate water content of 60% of the maximum water holding capacity. Water was added each day according to the daily water loss due to evapotranspiration, which was determined gravimetrically several times per week. The applied water volume ranged from 50 to 350 mL per day, supplied either at once, or split into several doses, depending on the size of plants, the temperature and the evapotranspiration rate during the experiment (Figure A1). Irrigation was carried out close to maximum water-holding capacity to avoid phases of drought stress.
2.2. Fertilizer Trials
2.2.1. Treatments
In total, seven treatments were tested in this study, including six compost treatments and a fully synthetic control fertilizer (Figure 1). The studied compost treatments included two VCs and four TCs. The VC treatments differed in the bedding material used during vermicomposting; one was based on coir/coconut fiber (VC-C) and one on paperboard and soil (VC-P). The TC treatments differed in the main input material and included one based on fecal matter (TC-F) and one on green waste (TC-G). In addition, two TC-G treatments with increased levels of added mineral N (Nmin) (TC-G2 and TC-G3) were included to compare the nutrient contributions of the different composts. A synthetic mineral fertilizer without compost was included as a control (sand control; SC).
Figure 1.
Experimental design of the pot experiment. The green boxes refer to the seven tested treatments, including one SC as a reference and six different sand/compost mix treatments. The blue, red, and yellow boxes refer to the mineral fertilization solution added per pot: Blue, P and K; red, N; yellow, micronutrients. DM, dry matter; SC, sand control; TC-F, thermophilic compost from fecal matter; TC-G, thermophilic compost from green waste; TC-G2 and TC-G3, thermophilic compost from green waste with additional N fertilization; VC-C, vermicompost with coir bedding material; VC-P, vermicompost with paperboard bedding material.
2.2.2. Tested Composts
The two VCs tested in the present study were produced at Technische Universität (TU), Berlin for ten weeks between January and March 2019 in household-sized batch systems (10-l buckets) using Eisenia fetida earthworms. The bedding material was 1.5 kg wet coir per bucket for the VC-C, or a soil-paperboard mixture containing 1 kg soil (‘Einheitserde’, Einheitserde Werkverband e.V. Typ Classic) and 110 g corrugated paperboard for the VC-P. Twice a week, 1140 g fresh matter (FM) from the TU canteen kitchen waste was fed to the earthworms in each bucket. This material contained 16.5% coffee grounds and 83.5% fruit and vegetable peels, and other food preparation waste [55].
The TC-F was provided by the Birkenhof compost-producing company (Kompostier- und Lohnunternehmen Schulze-Kahleyß GmbH, Lindendorf, Germany). Its production involved a six-month process using ~40 t (~30 m3) residue from dry toilets mixed with 4.25 t (~10.2 m3) green cuttings and 0.7 t straw (~3 m3) as a structural material. To provide moisture, 650 L urine was added while preparing the composting windrows. The dry toilet waste was collected from more than 15 different festival sites in Northern Germany by three companies that rent and operate dry toilets for public events. The organic matter was a mix of human feces (~30% vol.), toilet paper (~13% vol.), straw used as drainage material (~7% vol.), and sawdust (~50% vol.). Sawdust was initially added immediately after use, and subsequently during storage and before delivery to the composting plant, to reduce odor. The dry toilets used a combined collection system for urine and feces, from which the liquid was subsequently drained. Hence, a certain amount of urine was mixed with the collected fecal matter. At the composting site, the material was mixed and arranged in two compost windrows. The temperature was monitored constantly at three locations inside the compost windrow and three on the surface; this remained at >55 °C for the first 42 days, and >40 °C for the remaining duration of the process. The bulk density of the final compost was determined to be 472.5 kg m−3.
The TC-G was a commercially available product from the local Berliner Stadtreinigung waste disposal company and consisted of green cuttings from park and landscape maintenance.
2.2.3. Nutrient Availability and Supplementation
The amount of compost applied per pot was calculated such that each plant would receive sufficient P and K to produce a per-head yield of 15 g DM or 250 g FM and a target content of 0.45% P and 4.2% K in the shoot DM, with an average of 6% DM content (see [56]). According to the calculated minimum P and K contents in the composts, 100 g DM compost was applied to each pot, ensuring the availability of a minimum of 0.07 g total P (Ptot) and 0.63 g total K (Ktot) per plant. As this quantity of compost would not cover the plant’s N demand, additional mineral N (Nmin) was supplied, so that the uptake of other elements (K, P, Mg and Ca) was not limited by N deficiency. Approximately 30% of N from organic fertilizers is accessible by plants in the first vegetation period after application [57]. Since the present study’s growth period was only five weeks, an availability of 10% was assumed. To calculate the amount of N available from the composts, the following formula was used:
To exclude micronutrient deficiency, the plants grown in compost treatments were supplied with a solution of essential nutrients (excluding P and K) on days 1 and 2 of the experiment (Table 1). The compost-free control treatment SC received complete mineral fertilization. An additional 188 mg NH4NO3-N was applied to each plant on day 21.
Table 1.
Total quantities of nutrient salts applied to each pot via a solution, split into three doses, supplied on days 1, 2, and 21 of the growth period. SC, sand control; TC-F, thermophilic compost from fecal matter; TC-G, thermophilic compost from green waste; TC-G2 and TC-G3, thermophilic compost from green waste with additional N fertilization; VC-C, vermicompost with coir bedding material; VC-P, vermicompost with paperboard bedding material. S was supplied through a range of salts, noted as s.a. = see above. P and K were solely supplied by the composts and only added to the SC treatment, noted as n.a. = not applied.
2.3. Analysis, Sampling and Harvesting
2.3.1. Compost Analysis
Unless otherwise stated, all compost analyses were based on national or international compost analysis standards. The chemical analysis of the VCs and the green compost were carried out at TU, Berlin. The samples were sieved to <11.2 mm to remove non-degraded plant parts and prepared using a sample splitter (Retsch GmbH, Haan, Germany) according to DIN 19747:2009 [58]. According to DIN EN 15933:2010 [59] the pH was measured in a suspension of 5 mL material in 25 mL CaCl2-solution (0.01 mol L−1). Electrical conductivity (EC) was measured in the fresh samples in a 1:25 (mDM/vol.) solution with ultrapure water according to the standard DIN CEN/TS 15937:2013 [60]. The gravimetric water content was determined after oven-drying for 24 h at 105 °C, and OM was determined through loss on ignition of the dry sample at 550 °C according to the standard DIN EN 15935:2012 [61]. Soluble nitrate (NO3−), ammonium (NH4+), and Mg were extracted in a 1:25 (mDM/vol.) solution of the samples with 0.0125 mol L−1 CaCl2 for 1 h (modified VDLUFA, 2012a Ch. A6.1.4.1, and Ch. A6.2.4.1). The solutions were analyzed for NO3−, NH4+ and Mg using ion chromatography (DX-500; Dionex Corporation Sunnyvale, CA, USA), flow injection for atomic spectroscopy (FIAStar 5000 System; Foss GmbH, Hamburg/Hilleroed, Denmark) and inductively coupled plasma optical emission spectrometry (ICP-OES; iCAP 6000 Series; Thermo Fisher Scientific GmbH, Dreieich, Germany), respectively. Calcium acetate/lactate (CAL)-extractable P (PCAL) and K (KCAL) were analyzed by ICP-OES using a 1:25 (mDM/vol.) CAL-solution according to the modified method from the VDLUFA methods book I, chapter A 6.2.1.1 [62]. To analyze the elements, composts were dried at 105 °C and ground to a particle size of <250 µm with a planetary ball mill (PM 400; Retsch, Haan, Germany) according to DIN EN 16179:2012 [63]. The samples were subjected to microwave-assisted aqua regia digestion following the standard DIN EN 16174:2012 [64] in a MARS 5 microwave (CEM GmbH, Kamp-Lintfort, Germany), followed by ICP-OES to determine the content of macronutrients Ca, K, Mg and P, micronutrients Cu, Fe, Mn, Zn and Na, and heavy metals As, Cd, Cr, Ni and Pb.
For the fecal compost, analyses were carried out at the Helmholtz Centre for Environmental Research, Leipzig, Germany, for the following parameters: DM content following the standard DIN EN 12880-2001-02 [65]; pH and EC measured in the fresh samples in a 1:10 (mDM/vol.) solution with ultrapure water according to the standards EN 15933:2012 [59] and DIN CEN/TS 15937:2013 [60], respectively; and contents of NO3− according to the method from the VDLUFA methods book II.1 for organic fertilizers, chapter 3.4.2. [66] and of NH4+ according to the method described by Strach [67]. Ktot and Mgtot were measured at TU, where samples were digested as described above and analyzed by flame atomic absorption spectrometry (AAS 400; Perkin Elmer, Waltham, MA, USA). EC and amounts of Ptot, and Catot, were measured according to the standards DIN EN 13038:2011 [68], and DIN EN ISO 11885:2009 [69]. The fecal compost was further subject to microbiological testing at an external laboratory (LUFA Nord-West, Oldenburg, Germany), including counts of total aerobic bacteria and colonies of fecal coliforms Escherichia coli (E. coli), fecal enterococci and Salmonella spp. according to the methods C1 to C4 in chapter four of the methods book for organic fertilizers of the German Federal Compost Quality Association (Bundesgütegemeinschaft Kompost e.V.—BGK) [70]. In all compost types, Ctot and Ntot were measured using a vario EL III CHNS Elemental Analyzer (Elementar Analysensysteme GmbH, Langenselbold, Germany) and according to the standard DIN EN 15104:2011-04 [71].
The maximum water-holding capacity of the composts was determined using a modified version of the method described by Alef [72]. For this purpose, 0.5 L plastic pots were filled with the substrates in triplicate, saturated with water, and placed on a sand bed to drain for 1 h. The water content of what remained in the pot was then determined by the difference in weight before and after drying at 105 °C, corresponding to the maximum water absorption capacity, which was used to adjust the optimum irrigation volume per pot (see Section 2.1).
Measurement of pH was not performed on the pot substrates. As opposed to natural sandy soils, the quartz sand used was a mineral substrate and had, therefore, no pH-buffering capacity [73]. The tested compost additions would have a stronger effect on the pH in the sand substrate than in soil. Therefore, the pH in the pot substrate mix was likely close to the original pH values of the added compost.
2.3.2. Plant Harvest and Biomass Measurement
The lettuce shoots, including the stems, were harvested after a 37-day growth period. The roots were washed manually from the substrate, and the fresh weight of the roots and shoots was measured. Root and shoot samples were oven-dried at 60 °C until a constant weight was reached, and the dry weight was recorded as the total biomass. Subsequently, the samples were ground to <250 µm in a centrifugal mill (ZM 200 by Retsch, Haan, Germany) and homogenized for further analysis.
2.3.3. Plant Analysis
From the ground plant material, ~250-mg samples were digested with 5 mL nitric acid and 3 mL hydrogen peroxide according to the VDLUFA methods book III, chapter 10.8.1.2 [74] and subjected to pressure digestion with microwave heating (MARS 5 Xpress; CEM GmbH, Kamp-Lintfort, Germany). P, K, Ca, Mg and Na contents were determined by ICP-OES (iCAP7400; Thermo Fisher Scientific GmbH, Dreieich, Germany) at the following wavelengths: 178.284 nm (P), 766.490 nm (K), 315.877 nm (Ca), 279.553 nm (Mg), and 589.592 nm (Na). For N and C analyses, the samples were treated using the DUMAS dry combustion method at 950 °C in an oxygen-enriched He atmosphere in a combustion tube filled with W(VI) oxide (vario EL cube; Elementar Analysensysteme GmbH, Langenselbold, Germany), using a thermal conductivity detector according to the VDLUFA methods book I, chapter A 2.2.5 [75].
2.4. Statistical Analysis
The measured nutrient contents and DM and FM of the roots and shoots across the samples were analyzed for statistical significance. For this purpose, the mean values and standard deviations were calculated. Provided that the data met the condition of normal distribution (Shapiro-Wilk-Test), they were tested using one-way analysis of variance (one-way ANOVA; p < 0.05 was considered to denote statistically significant differences). The significance levels between groups were determined using Tukey honest significant difference (HSD) test with α = 0.05 and p < 0.05 was considered to denote statistical significance. Pearson correlation analysis was used to determine any association between the compost nutrients and the nutrient uptake or content in the shoots. To assess the effect of different Nmin levels, the correlation of N uptake or yield with supplied Nmin level was analyzed for all samples. All statistical methods were conducted using the STATISTICA version 13 software (StatSoft Inc., Tulsa, OK, USA) and SAS 9.4 (SAS Institute, Cary, NC, USA).
3. Results and Discussion
In this section, we present and discuss the results of our study. First, we describe the composition of the different types of studied compost derived from various urban organic waste sources (Section 3.1). Secondly, we present and discuss the results of examining and assessing the fertilization potential of these urban organic fertilizers when used as pot substrate for lettuce, with particular focus on plant growth and nutrient availability of macronutrients (Section 3.2). Finally, we discuss the suitability and relevance of the studied composts for P-recycling regarding practical applications in urban horticulture (Section 3.3).
3.1. Physicochemical Characteristics of the Urban Organic Waste-Derived Composts
3.1.1. Nutrient Composition
The nutrient composition of the tested composts is presented in Table 2. TC-F exhibited the highest content of N, P, Mg, and Ca. It also contained high amounts of K, but this was 2-fold higher in the VC-C. The contents of the above elements in TC-F were similar to those reported by Krause et al. [40] for fecal compost enriched with biochar. TC-G and VC-P appeared to have a similar composition, with numerically higher P and lower Na content in the former. The two types of VC exhibited very different N, P, K, Ca, Mg and Na contents. VC-C contained more N, P, and Mg and almost twice as much K and Na than VC-P. Only the Ca content was higher in the latter. These findings indicate that the bedding material significantly affects the compost quality in terms of nutrient content.
Table 2.
Physicochemical characteristics and composition of the studied composts. All values refer to DM contents. As 100 g DM of organic fertilizer were applied per pot, 1/10 of the values equals the nutrient supply per plant in this experiment. CAL denotes elements extracted by calcium acetate/lactate; DM, dry matter; EC, electric conductivity; FM, fresh matter; n.d., not determined; OM, organic matter.
The range of Ntot measured in the composts (10–19 g kg−1) was in agreement with the amount typically found in composts (12 g kg−1; [57]), and comparable to findings by Hernández et al. [76] on TCs and VCs (14–16 g kg−1) and Arancon et al. [77] on different VCs (10–19 g kg−1). The levels of Nmin were higher in VC-C and TC-F than in VC-P and TC-G. As thermophilic composting and vermicomposting are predominantly aerobic processes, Nmin was present mainly as NO3−, due to nitrification and a small proportion as NH4+. Only TC-F did not contain any NH4+, which can be related to its alkaline pH, whereby NH4+ presumably volatized as NH3 during composting [78]. The NO3− content in VC-C and TC-F were comparable to those reported by Hernández et al. [76]. The differences in Nmin and Ntot between the two VCs indicate that the bedding material affected microbial N mineralization during the composting process. Presumably, coconut fiber, with its high water-holding capacity comparable to peat [79], provided more balanced moisture and a more favorable oxygen level than paperboard; these characteristics are required for aerobic processes as microbial N mineralization. Furthermore, enhanced N mineralization in VCs was associated with the direct excretion of excess N by earthworms [80]. As the N input from food waste was similar for both VCs, it appeared that coir offered more favorable conditions for the earthworms. According to the estimated N availability (see Section 2.2), approximately 0.23 g kg−1 of N in VC-C and TC-F, and 0.1 g kg−1 in VC-P and TC-G, were assumed to be available per plant. Hence, none of the composts could provide sufficient N as pot substrate, and additional mineral N supply was therefore required.
Finally, a positive correlation was found between the contents of Ptot and extractable PCAL (r = 0.998). The highest proportion of PCAL in Ptot was found in TC-F (49%), followed by VC-C, TC-G (both 28%), and VC-P (14%), suggesting a higher P availability and value as a fertilizer in the fecal compost compared with the other composts. A correlation was also found between Ptot and Ca (r = 0.478) and between Ptot and Mg (r = 0.809), in agreement with the results of 17 different composts reported by Vandecasteele et al. [53]. In TC-F, with its alkaline pH, it can be assumed that Ca and Ptot were in the form of calcium phosphate (Ca3(PO4)2)—it is known that a large fraction of P in human feces is present as Ca3(PO4)2 and iron phosphates [81].
3.1.2. OM Content and Nutrient Ratios
Mature compost OM composition varies from 25 to 40% of DM, and should not fall below 25% [82]. All four tested composts were above this threshold; the proportion was particularly high in VC-C (>80%). Comparably high OM content was reported in substrates containing 100% coconut fiber [83]. Therefore, the notably higher OM share in VC-C is likely attributed to the coconut fiber used as bedding material. Furthermore, VC-C exhibited the highest C:P ratio among all tested composts. These characteristics indicate that this VC is a beneficial soil conditioner for humus reproduction, particularly suitable for the amendment of soils already high in P, consequently requiring soil amendments with reduced P content [53].
To minimize the priming effect of compost when applied to soil or potting substrate, the C:N ratio should not exceed a value of 18 for standard compost [82] and 22 for VC [84]. Three of the tested composts fulfilled these guidelines; however, the VC-C ratio exceeded the recommended threshold (C:N, 27).
The C:P ratio, which describes the relationship between C and P input [53], ranged between 75 and 264 in the studied composts. In this context, the C input may also refer to the application of OM in general. The two TCs exhibited lower C:P ratios (≤124) than the two VCs (≥229). The C:P ratios measured in TC-F and TC-G were comparable to those reported by [85] for composts based on vegetable, fruit, garden, or farm waste. McLaughlin et al. [86] argued that no C:P ratio could adequately describe P release from OM. Similarly, in the present study, no clear association between C:P ratio and P availability was detected by regression analysis.
The molar Ca:P ratio in composts has also been suggested as an indicator for P use efficiency [87]. All tested composts exhibited Ca:P > 2, which has been reported to favor apatite-like structures and, therefore, lower P availability [53]. Since all treatments received additional Nmin to adapt to the plant’s needs, the N:P ratio was not a focus of the present study.
3.1.3. Additional Compost Characteristics Relevant for Plant Nutrition—pH, EC and Salt Content
The compost pH values were close to neutral for VC-P and TC-G, whereas VC-C was slightly acidic (Table 2). The pH of all three composts was within the range of 5.5–8.0, considered adequate for plant growth in potting media or soils [88]. TC-F, however, exhibited an alkaline pH, comparable to that reported for VCs and composts produced from farmyard or cattle manure (e.g., [76,89]. Vandecasteele et al. [53] noted a substantial decrease of readily available P in composts when the pH (measured in H2O) was >8.5. Given that pH measured in CaCl2 usually provides a value lower than that measured in H2O, TC-F with pH>8.5 (measured in CaCl2) may be affected by restricted P availability.
The EC in compost is related to the amount of ions (mostly Na+, K +, Ca2+, Mg 2+, Cl−, SO42+, CO32−, HCO3−, NO3−), also referred to as soluble salts [90]. Thus, EC reflects on nutrient concentration, which may be governed by essential plant nutrients (Ca2+, K+) or Na+ and Cl− [ibid.] and explaining the high EC of VC-C and TC-F. Soil is considered saline at an EC > 4000 µS cm−1 [91]. As high soluble salt contents in soil amendments (with high share of Na+ and Cl−) can induce salt stress in plants, the EC of such material should not exceed 1000–2000 µS cm−1 [88]. This criterion was fulfilled by all four composts (Table 2): the EC was <1000 µS cm−1 in all samples, except TC-F, in which it was close to 2000 µS cm−1. By comparison, Papathanasiou et al. [92] reported an EC of 2650 µS cm−1 for VCs from cattle manure, whereas Coria-Cayupán et al. [93] found the EC of VCs from urban food waste to range from 400 to 500 µS cm−1, similar to that of VC-P and VC-C of the present study.
Furthermore, VCs are generally low in Na, because, for successful vermicomposting, only substrates with low NaCl content should be used. Earthworms cannot survive under conditions of Na content >5 g kg−1 in the mixture of feeding and bedding material, resulting in a failed composting process and no product [88]. Since human nutrition, and therefore human excreta, often contain relatively high table salt content (i.e., NaCl), the level of Na in TC-F was two to seven times higher than in the other composts (Table 2), leading to high EC. A strong positive correlation was found between Na concentration and EC among composts (r = 0.97). Higher amounts of Na were also found in VC from cattle manure in the study by Arancon et al. [94]. However, those results and our findings herein indicate that the higher Na content in fecal compost is still within a range suitable for plant cultivation.
3.1.4. Heavy Metal Content
The content of heavy metals As, Cd, Cr, Cu, Ni, Zn, and Pb (Table 2) in all investigated composts met the quality criteria for composts according to the German Federal Compost Quality Association BGK [95], and the value limits for organic fertilizers according to the German Fertilizer Ordinance (Düngemittelverordnung) and European regulations (EU 2019/1009) (see Table A1). The content of heavy metals, except for As, was highest in the TC-G. This is likely due to large-scale waste collection systems being susceptible to contamination from misthrows and impurities which are difficult to avoid. Furthermore, cross-contamination is possible due to ‘urban dust’ (e.g., tire wear) collected with green cutting wastes from landscape maintenance or other sources, e.g., tools used for conveying or transportation of green cutting wastes [96,97].
3.2. Fertilizing Potential of the Studied Composts
3.2.1. Plant Growth Parameters for Lettuce
The compost type appeared to affect the FM yield of the lettuce heads. Overall, our results agreed with those reported by Rubatzky & Yamaguchi [98], who found that lettuce yields can vary from 100 to 400 g FM per plant under greenhouse conditions. All compost treatments improved the marketable yield compared with the synthetic SC treatment (Table 3).
Table 3.
Marketable yield of lettuce heads (FM per plant), shoot and root (DM per plant), and root:shoot ratio of lettuce plants. Values represent mean±standard deviation (n = 5). Different letters reflect that means significantly differ from one another (HSD, Tukey test, α = 0.05; n = 5). * Marketable yield (shoot FM) was not normally distributed; therefore, no indications of statistically significant differences are included here. DM, dry matter; FM, fresh matter; SC, sand control; TC-F, thermophilic compost from fecal matter; TC-G, thermophilic compost from green waste; TC-G2 and TC-G3, thermophilic compost from green waste with additional N fertilization; VC-C, vermicompost with coir bedding material; VC-P, vermicompost with paperboard bedding material.
Shoot FM yield per plant was observed to follow the descending order VC-C>TC-F>TC-G≥VC-P. No difference was observed between TC-G2 and TC-G3, despite TC-G3 receiving more Nmin fertilization. The marketable yield was similar to that reported by León et al. [99], in VC added to silty loam. The shoot DM was also higher in VC-C, followed by TC-F (bc) and then SC, VC-P and TC-G (c), which resulted in similar shoot DM biomass production.
The root DM in the VC-C treatment was significantly higher than the others. For the four compost treatments that had received the same Nmin addition, the root:shoot ratios were comparable, but the VC treatments ratios were significantly different from those of TC-G2, TC-G3, and SC. Kang & van Iersel [100] demonstrated that root:shoot ratios can decrease with increasing N supply, as shoot growth is enhanced more than that of the root. It is also known that root mass can be increased by deficiency of N or P in particular (e.g., [101,102]). Although the shoot N content and uptake were relatively low in VC-C, a substantial nutrient deficiency was unlikely to cause the increased root growth. The higher root DM of VC-C was presumably related to the significantly faster shoot DM growth. This can be corroborated by the comparable root:shoot ratios among VC-C, VC-P, TC-F, and TC-G. It should be noted that the limited volume within the pots could have suppressed root growth in general.
3.2.2. Plant Nutrient Uptake
The total uptake of macronutrients by the lettuce plants (in mg per plant DM) is listed in Table 4, and nutrient contents in the lettuce shoots (in mg kg−1 of DM) are presented in Figure 2 (exact numbers see Table A2). In the following paragraphs, we discuss the availability of each nutrient in the studied treatments.
Table 4.
Uptake of macronutrients N, P, K, Mg, Ca, and Na in lettuce shoots, expressed as mg per plant shoot (dry matter) (mean ± standard deviation, n = 5). Different letters reflect that means significantly differ from one another (HSD, Tukey test, α = 0.05; n = 5). SC, sand control; TC-F, thermophilic compost from fecal matter; TC-G, thermophilic compost from green waste; TC-G2 and TC-G3, thermophilic compost from green waste with additional N fertilization; VC-C, vermicompost with coir bedding material; VC-P, vermicompost with paperboard bedding material.
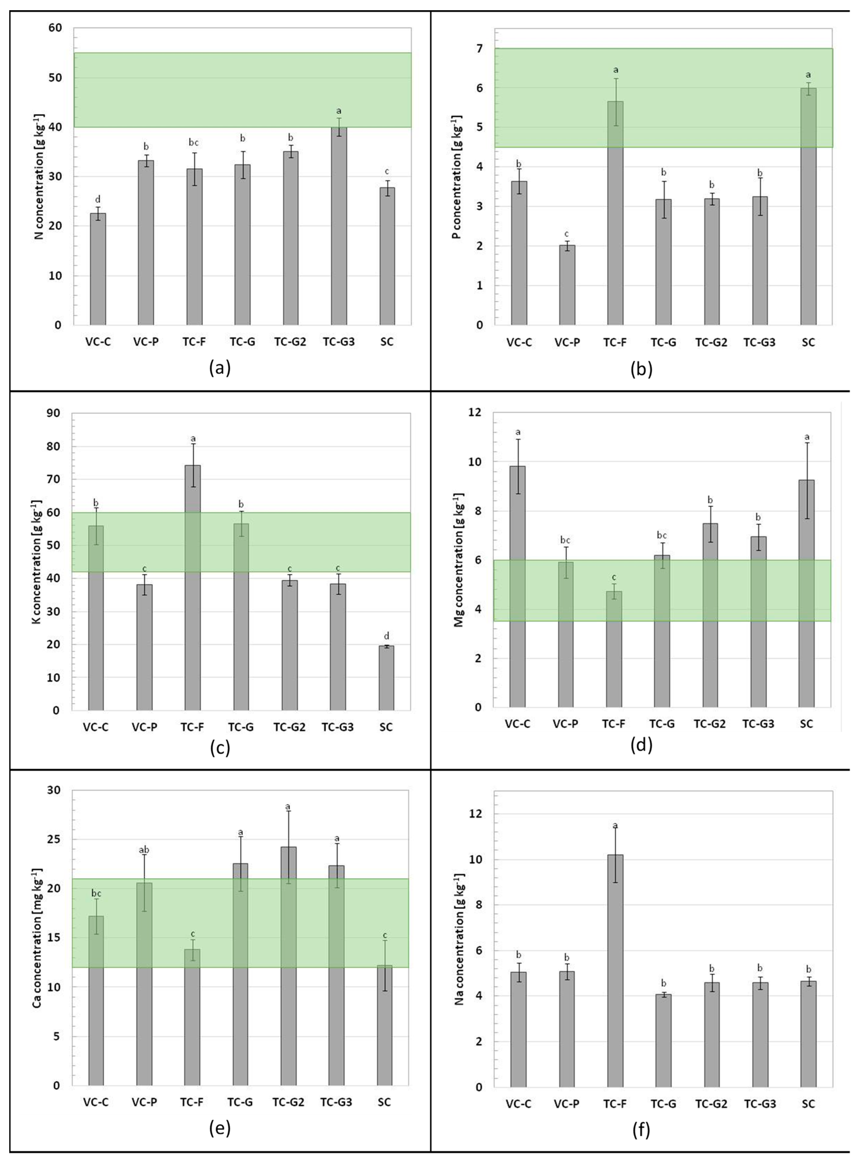
Figure 2.
Contents of nutrient (a) N, (b) P, (c) K, (d) Mg, (e) Ca and (f) Na in lettuce shoots grown in all tested treatments (n = 5). Error bars indicate standard deviation. Different letters reflect that means significantly differ from one another (HSD, Tukey test, α = 0.05; n = 5). The area highlighted in green represents the optimum range of contents, according to Bergmann [40]. SC, sand control; TC-F, thermophilic compost from fecal matter; TC-G, thermophilic compost from green waste; TC-G2 and TC-G3, thermophilic compost from green waste with additional N fertilization; VC-C, vermicompost with coir bedding material; VC-P, vermicompost with paperboard bedding material.
The P content in lettuce shoots grown in TC-F and SC was within the range of 4.5–7.0 g kg−1, within Bergmann’s recommendations [56] (Figure 2). All other treatments resulted in P contents below the optimal nutritional level, the lowest measured in VC-P. Furthermore, P levels in the shoots from VC-C, TC-F, and SC were comparable, all significantly higher than those in the TC-G/G2/G3 and VC-P plants (Table 4). The higher N levels in TC-G2 and TC-G3 compared with TC-G, increased shoot growth and resulted in a higher P uptake. TC-F resulted in the highest shoot P content and total P uptake by the plants, suggesting that this compost type had the most value as a P fertilizer. VC-C led to a similar P uptake as TC-F, but lower P contents in the shoot due to a dilution effect induced by an increased shoot growth. Compost P content was correlated with shoot uptake (r = 0.746, p = 0.002) and shoot content (r = 0.931, p < 0.001), as was the amount of extractable PCAL from the composts (r = 0.718, p = 0.004 and r = 0.919, p < 0.001, respectively).
According to Fricke [103], 30–50% of P in compost is used up by crops within the first vegetation period after compost application. However, the P availability measured in the composts (described by PCAL) included in this experiment was much lower than expected, at only 16–35%. Three of the four tested types of compost could not supply P to the lettuce plants sufficiently under the given conditions. Furthermore, the proportion of compost Ptot that the plants took up decreased as the pH value increased (r = −0.842, p < 0.001). Lower P availability in more alkaline conditions is well described in the literature [104,105]. Different solubilities of P-salts at different pH values create competition with hydroxyl ions, and the predominant presence of phosphate ions as poorly available HPO42− [57,106,107]. Frossard et al. [108] studied several urban waste-derived composts. They found that, in those with alkaline pH, a range of Ca-P compounds with low solubility were present, such as apatites or octacalcium phosphates. These forms of P result in a relatively low plant availability, particularly in alkaline soils [ibid.], also accounting for the compost/sand mixture. The high P uptakes and share of PCAL on Ptot in TC-F suggest that available P species were present, despite a pH of 8.8. Generally, the optimum range of pH for P availability is around 6.0–6.5 [57], suggesting that lowering the substrate pH could further enhance this availability in TC-F. Moreover, Vanden Nest et al. [87] reported that, in organic fertilizers, P-use efficiency decreases with increased amounts of Ca, which could be noted by the molar Ca:P ratio. Due to the different P-application amounts by compost addition, the P-use efficiency for the tested composts could not be determined. Nevertheless, the percentage of P uptake from applied Ptot can be used as an indicator for available P. This revealed a strong negative correlation with the Ca:P ratio of the composts (r = −0.946, p < 0.001).
Regarding N uptake, the shoot tissues’ contents were broadly consistent among most experimental groups (Figure 2). VC-C resulted in a shoot N content significantly lower than the other treatments, including SC, indicating a dilution effect due to the higher shoot DM yield. The highest N content was measured in plants grown in TC-G3, which had the maximum N fertilization. It was the only treatment with sufficient N levels to supply the lettuce plants, according to Bergmann [56], being within the range of 40–55 g kg−1. Despite the shoots not achieving the N contents within Bergmann’s recommended nutritional range, the lettuce heads did not show visual signs of N deficiency—the inner and outer leaves were homogeneously green in color (Figure A2). The total shoot N uptake measured in the plants grown in the tested treatments was observed in the following descending order: TC-G3>TC-G2>VC-C=VC-P=TC-F≥TC-G≥SC (Table 4), and a correlation was found between that and the treatment Nmin supply (i.e., Nmin of the compost plus mineral supplementation; r = 0.946, p < 0.001). By contrast, no correlation was found with yield, despite that the amount of N fertilization is often directly associated with plant growth [108]. The shoot N uptake between the VCs and TC-F was comparable but was significantly higher for VC-C than for TC-G. VC-P and TC-G demonstrated N-uptake levels comparable to that of SC, suggesting a minimal N supply by these composts. Increased N uptake can be associated with higher NH4NO3 fertilization levels, supported by the fact that the treatments with added N (TC-G2 and TC-G3) resulted in a significantly higher N uptake compared with the other treatments.
The calculated amount of available N in the composts (see Section 2.2) did not have a detectable effect on N uptake in the lettuce shoots. None of the plant shoots took up more N than that supplied by the mineral fertilization (Table 2 and Table 4). The mean N-uptake values were in the range of 305–354 mg, whereas 376 mg Nmin as synthetic fertilizer was applied. Furthermore, SC resulted in an N uptake lower than the Nmin supply (298 mg), presumably due to the growth achieved in sand being limited compared to that in compost.
The fact that TC-G3 led to a significantly higher shoot N content, but not yield (FM and DM) nor content of other macronutrients indicates that the available N in TC-G3 exceeded the plants’ demand. Hence, the maximum N fertilizer effect was already reached in TC-G2. High N content in plant tissue is associated with high NO3− content, which can be toxic to humans if consumed [92,99]. McCall & Willumsen [107] found that reducing the applied Nmin to lettuce plants to a certain amount did not affect yield but significantly decreased leaf NO3−-N content. However, the leaf NO3−-N content was not measured in the present study; therefore, the effect of Nmin fertilization on plant NO3−-N content could not be assessed.
Concerning K levels, the shoot content was highest in plants grown in TC-F; those from VC-C and TC-G were comparable (Figure 2, Table A2). Plants from these three treatments met (VC-C and TC-G) or exceeded (TC-F) the target shoot K content recommended by Bergmann [56], which ranges 42–60 g kg−1. Lower K content resulted from VC-P, TC-G2, and TC-G3, which gave comparable measurements. Shoot K uptake per plant (Table 4) ranged from 513 to 534 mg for all three TC-G treatments (p ≥ 0.05), indicating a limited availability of K at a higher growth rate. The higher DM gain at higher N levels (TC-G2 and TC-G3) compared with TC-G was not linked with increased K uptake from the green waste compost. The K content in the shoot tissue was much lower at higher N levels, while the total shoot K uptake remained comparable. This indicates a limited availability of K from the green waste compost, which TC-G already exploited. A significantly lower K uptake per plant was observed for SC than the compost treatments, not having fully exploited the mineral fertilizer application of 304 mg K per pot. In the lettuce plants grown in SC, leaf tip necrosis, necrotic dots, and necrotic tissue spreading over large parts of the older leaves were observed (Figure A3), and this was attributed to K deficiency. Since K supply influences yield, K deficiency was considered as a critical factor in treatment comparison. It can be presumed that SC was supplied with insufficient K, thus resulting in plant growth limitation. When comparing SC and VC-P, which produced comparable shoot DM biomass, VC-P had a K uptake of ~172 mg more than SC and still resulted in tissue K content below the optimum levels. Therefore, the addition of K fertilizer to SC was insufficient. The uptake of 60–83% of K observed in the present study agrees with the 50–80% of K from compost reported being potentially available to plants within the first vegetation period after application [103]. The availabilities determined for K were higher than expected, in contrast to those for P.
Ca and Mg were supplied in an amount sufficient to achieve the optimal content ranges of 12–21 and 3.5–6.0 g kg−1, respectively, by all treatments (Figure 2, Table A2). The highest shoot Ca content was observed in the plants from VC-P and the three TC-G treatments. The lower contents from VC-C, TC-F and SC were comparable. The Ca uptake rates among treatments followed a similar trend as the tissue contents. Mg content was significantly higher in VC-C and SC than in the other groups, at 9.82 and 9.24 g kg−1, respectively, exceeding the optimal content by ~3 g kg−1. The remaining compost treatments demonstrated generally comparable content. The uptake of Mg was below the level of mineral fertilization in most treatments, only slightly exceeded in TC-G2 and TC-G3 (Table 4). Uptake in the SC plants was similar to that observed for TC-G2, whereas the mineral Mg fertilization was twice as high in SC. On the other hand, Mg uptake in plants grown in VC-C (Table 4) exceeded the Mg input by mineral fertilization (Table 1) by 200%. Therefore, at least 50% of the Mg in lettuce grown in VC-C was compost-derived, whereas no clear conclusion can be made for the other treatments. The differences in Mg uptake rates among the composts VC-C, VC-P, and TC-G match those for the contents of available MgCAL (Table 2).
The lowest Mg and Ca contents in shoots were measured in plants grown in TC-F, despite this compost containing the highest amounts of both nutrients. The high K contents could have had antagonistic effects on Mg and Ca uptake by the plants, as reported by Rietra et al. [109] or Jakobsen [110]. Furthermore, as mentioned above for P availability, the pH can be a major influencing factor on Ca availability from the substrate, if it is present as Ca3(PO4)2. The uptake of Ca was found to be negatively correlated with compost pH (r = −0.831, p < 0.001), exhibiting a similar trend to P uptake. Additionally, Vandecasteele et al. [53] reported that high compost Ca content and pH (measured in H2O) >8.5 were associated with reduced P availability. The compost with the highest Ca content was TC-F, yet it resulted in the lowest shoot tissue content and uptake. However, shoot Ca content for this compost was still sufficient, though on the lower end of the optimum range.
Finally, regarding Na content, most treatments did not result in significantly different content (Figure 2), except TC-F, which led to a markedly higher value. The Na content resulting from the four compost treatments revealed a relatively strong correlation with shoot Na uptake (r = 0.956, p < 0.001). Na is recognized as an element beneficial to plants, an essential nutrient for certain (halophytic) species [111]. However, a high Na content in plant tissue can inhibit the uptake of other cations, mainly Ca, and can negatively affect yield if a critical content of >20 g kg−1 is exceeded [56]. This critical content was not reached in any of the tested treatments; however, in TC-F, the high Na content may have exerted antagonistic effects on Ca uptake, as TC-F resulted in the lowest shoot Ca content (Figure 2). This assumption is supported by the negative correlation between Na and Ca content in the shoot tissues (r = −0.845, p < 0.001) in the compost treatments.
3.3. Practical Applications of the Studied Composts in Urban Horticulture
3.3.1. Substrate Suitability
Among all tested treatments, VC-C resulted in the highest yield in marketable lettuce shoot FM and DM yield. One of the main factors influencing this could be the high availability of macronutrients P, K, Mg and Ca, compared to the other treatments. Furthermore, in lettuce grown in VC-C, the tissue content of all nutrients, except P, was within a suitable range. In addition to nutrient supply, the high OM content of VC-C may have further stimulated the plant growth. The amount of OM in soils is a critical parameter influencing soil productivity since it improves physical and chemical properties and enhances soil microbial activity [112]. This can accelerate plant growth, e.g., by the production of plant growth-promoting substances [88]. Ruiz & Del Carmen Salas [83] reported beneficial physicochemical substrate properties that increased enzyme activity when combining VC with coconut fiber mixture.
The lower yield of lettuce grown in VC-P or TC-G was likely caused by the compost’s lower nutrient content. Neither treatment could supply sufficient P to the plants, and VC-P was also unable to provide sufficient K. All treatments enhanced plant growth compared with SC. However, additional K fertilization in SC may have yielded different results since the plant tissue P, Mg, and Ca levels were sufficient. As the content per compost DM of almost all examined macronutrients was lower in VC-P and TC-G composts, compared with the other composts, application of higher quantities of these organic fertilizers may be able to compensate for the lower nutrient availability.
TC-F was the only one of the four tested composts that produced lettuce shoots with suitable contents of macronutrients K, P, Mg and Ca. Moreover, the resulting P and K uptake were among the highest. The high potential for fecal compost as a nutrient resource in horticultural production systems, particularly P, has been reported by Krause et al. [44] and Sangare et al. [113], among others. Although sufficient P and Ca contents were found in the plant tissue, the full fertilizing potential of the TC-F treatment as a fecal compost may have been hampered. TC-F contained the highest P and Ca contents but led to the lowest proportion of P uptake per applied P and the lowest Ca uptake of all four compost treatments. Reasons for this could include its high pH, leading to the chemical bonding of P and Ca as insoluble Ca3(PO4)2, as well as possible Ca and Na cation antagonism.
Overall, as hypothesized, the VC-C and TC-F treatments led to a higher plant yield than TC-G, but VC-P did not. Regarding the shoot nutrient uptake and status, P and K supply were significantly higher for VC-C-and TC-F, whereas Mg supply was higher for VC-C. For Ca, our hypothesis was disproved, as TC-G achieved a higher shoot content than the VCs and TC-F. Finally, none of the treatments were able to supply sufficient N to the lettuce plants.
Overall, the results of this study clearly show the suitability of the tested composts produced from urban waste as organic fertilizers for horticultural production, as demonstrated with the example of lettuce. Hence, these findings highlight the need to support recycling optimization and policy development to integrate hitherto-untapped resources, such as source-separated human excreta (i.e., urine diversion), for the purpose driving a sustainable circular economy with nutrient recycling.
3.3.2. Urban Potential of Compost Production and P Recycling, Using the Example of Berlin
Lastly, we estimated the recycling potential of urban compost and the contained P, using Berlin as an example. We focused on composts with the most promising fertilizing potential: VC-C and TC-F. On average, 81 kg food waste [22] and 80 kg feces [114] are produced in Germany per person annually (wet mass). In Berlin, a considerable proportion of the population do not have access to organic waste collection (see Introduction). Small-scale vermicomposting, however, is, in principle, feasible for most urban citizens, as little money and space are required. Assuming that 10% of the city’s 3.7 million inhabitants [115] establish a vermicomposting system in their household, nearly 25,000 t FM of coir-based VC could be produced every year. From this, ~1.7 t PCAL or 7.8 t Ptot could be recycled annually from kitchen waste used for vermicomposting, if the P input of the coir itself is excluded (Table A3).
The recycling of P from feces collected in inner-city apartments is not as quickly applicable as most household toilets are connected to the central sewage system. In allotment gardens, on the other hand, human excreta are disposed of via water closets into garden pits that are emptied regularly by pump trucks. Here, dry toilets could be implemented, and subsequent recycling could be carried out, e.g., through the establishment of professional composting hubs. Assuming such a technological (and legal) realization, a total of 5.5 t PCAL or 11 t Ptot could be recycled from human excreta. For this estimation, we assumed that each of the 70,000 allotment gardens existing in Berlin is used by two people for ~25% of the year. Given this usage, a total of ~2800 t FM feces could be collected to produce ~5620 t FM fecal compost (Table A4).
4. Conclusions
Our results demonstrate that the composts TC-F, TC-G, and VC-C fulfilled the requirements for organic NK-fertilizer according to the German Fertilizer Ordinance DüMV. All tested composts met the quality criteria of the German Federal Compost Quality Association BGK. All tested composts supported plant growth to a certain extent, despite the nutrient content in the plant shoots not reaching sufficient values in all cases. VC-C and TC-F showed the most fertilizing potential in terms of plant growth and nutrient supply. Additionally, VC-C offered a higher OM input per applied P (indicated by the C:P ratio), hence demonstrating even more beneficial soil conditioner properties than the fecal-based compost. Using paperboard instead of coir as bedding material for vermicomposting lowered the VC product nutritional value and substrate quality. However, since coir is a byproduct of coconut production, it is not a regional product nor a locally available resource. Future research could, therefore, focus on adequate substitutes for coconut fiber to be used in vermicomposting. Promising alternatives could include biochar, miscanthus, or hemp fiber.
Furthermore, none of the tested composts provided sufficient N for horticultural production. Further research on alternative N sources for the substitution of synthetic fertilizer with compost is needed. In the long term, this is critical to achieve a complete circular economy system by utilizing urban nutrient sources for urban farming. For this purpose, the combination of fecal compost with (processed) urine may prove efficient in terms of short- and long-term P availability and ensure an improved N supply. The addition of nitrified or acidified urine would increase available N and lower the pH of the fecal compost substrate to a more suitable range. However, the combination and optimum mixture of urine and fecal compost in pot culture for urban horticulture require further study.
In conclusion, our finding of the adequacy of the studied composts as substrates for urban farming supports urban waste processing in decentralized units or facilities and the creation of regional inner-urban nutrient cycling. Small-scale compost systems, such as vermicomposting units, can supplement the existing centralized organic waste recycling systems. In small-scale or household-based systems, maintenance of high-quality input material can be incentivized by direct use of the waste to produce recycling fertilizers, such as VCs. In addition, traffic and emissions related with the collection and transportation of organic waste within the cities can be reduced. Such cycling concepts for urban horticultural systems that use urban waste to produce compost for urban farming can directly contribute to several of the United Nations Sustainable Development Goals (SDG). Cycling economies ensure an efficient, resource-conserving, and responsible production of plant-based food (SDG 12), which includes sustainable production in peri-urban and urban areas (SDG 11). Moreover, circular food-production systems that achieve nutrient recycling and C recovery reduce nutrient and energy imbalances and, in doing so, promote the sustainable use of terrestrial ecosystems (SDG 15) with a smaller negative impact on the climate (SDG 13).
Author Contributions
Conceptualization, C.S., F.H., O.C.L. and A.K.; methodology, C.S., F.H. and A.K.; software, C.S.; validation, C.S., F.H. and A.K.; formal analysis, C.S.; investigation, C.S., F.H. and A.K.; resources, A.K. and F.H.; data curation, C.S.; writing—original draft preparation, C.S.; writing—review and editing, C.S., F.H., O.C.L. and A.K.; visualization, C.S.; supervision, F.H., O.C.L. and A.K.; project administration, A.K.; funding acquisition, A.K. All authors have read and agreed to the published version of the manuscript.
Funding
This project has received funding from the European Union’s Horizon 2020 research and innovation programme under grant agreement No 774233. We further acknowledge support by the German Research Foundation and the Open Access Publication Fund of TU Berlin.
Data Availability Statement
Data supporting reported results can be requested from the corresponding author.
Acknowledgments
The provision of vermicompost fertilizers was made possible by Esther Felgentreff’s and Paula Braun’s bachelor thesis projects at TU Berlin. The authors want to thank the team of gardeners at IGZ for their regular plant care and support during the experiment. Also, our gratitude to the various people at IGZ and TU Berlin doing the lab analysis. Special thanks also to our colleagues who helped us with the harvesting work: Aladdin Halbert-Howard, Oscar Rodrigo Monzon, Anja Müller, Farina Sempel, Stefan Karlowsky. We also acknowledge Eckhard George’s supervision, who gave valuable advice for the fertilizing strategy, analysis of plant nutritional status, and data analysis in general.
Conflicts of Interest
The authors declare that they have no material financial interests related to the research described in this paper. Regarding non-financial interests, the basis of this article was the master thesis of Corinna Schröder. The thesis was therefore thoroughly revised, modified, and edited. The funders had no role in the design of the study; in the collection, analyses, or interpretation of data, in the writing of the manuscript, or in the decision to publish the results.
Appendix A
Table A1.
Limit values for heavy metals and trace nutrients according to the German Fertilizer Ordinance (Düngemittelverordnung, DüMV) [116] and EU 2019/1009 regulation [12]; quality criteria for the certification of compost according to the German Federal Compost Quality Association (Bundesgütegemeinschaft Kompost e.V., BGK) [95]; * labeling threshold acc. to DüMV.
Table A1.
Limit values for heavy metals and trace nutrients according to the German Fertilizer Ordinance (Düngemittelverordnung, DüMV) [116] and EU 2019/1009 regulation [12]; quality criteria for the certification of compost according to the German Federal Compost Quality Association (Bundesgütegemeinschaft Kompost e.V., BGK) [95]; * labeling threshold acc. to DüMV.
| Cu | Zn | As | Cd | Cr | Cr(VI) | Ni | Pb | |
|---|---|---|---|---|---|---|---|---|
| mg kg−1 DM | ||||||||
| DüMV | 500 * | 1000 * | 40 (20 *) | 1.5 (1.0 *) | 2 | 80 (40 *) | 150 (100 *) | |
| EU 2019/1009 | 300 | 800 | 40 | 1.5 | 2 | 50 | 120 | |
| BGK | 100 | 400 | 40 | 1.5 | 100 | 50 | 150 | |
Table A2.
Nutrient content in the lettuce shoots for the different treatments and optimum nutrient levels for lettuce leaves, according to Bergmann [56]. Treatments: VC-C (coir + kitchen waste vermicompost), VC-P (paperboard + kitchen waste vermicompost), TC-F (fecal compost), TC-G (green waste compost), TC-G2 and TC-G3 (green waste compost with additional N fertilization), SC (sand control).
Table A2.
Nutrient content in the lettuce shoots for the different treatments and optimum nutrient levels for lettuce leaves, according to Bergmann [56]. Treatments: VC-C (coir + kitchen waste vermicompost), VC-P (paperboard + kitchen waste vermicompost), TC-F (fecal compost), TC-G (green waste compost), TC-G2 and TC-G3 (green waste compost with additional N fertilization), SC (sand control).
| Compost Treatment | Ntot [g kg−1] | Ptot [g kg−1] | Ktot [g kg−1] | Mgtot [g kg−1] | Catot [g kg−1] | Natot [g kg−1] |
|---|---|---|---|---|---|---|
| VC-C | 22.6 ± 1.4 d | 3.7 ± 0.3 b | 55.9 ± 5.6 b | 9.8 ± 1.1 a | 17.2 ± 1.8 bc | 5.0 ± 0.4 b |
| VC-P | 33.2 ± 1.2 b | 2.0 ± 0.1 c | 38.2 ± 3.1 c | 5.9 ± 0.6 bc | 20.6 ± 2.9 ab | 5.1 ± 0.4 b |
| TC-F | 31.5 ± 3.3 bc | 5.7 ± 0.6 a | 74.4 ± 6.6 a | 4.7 ± 0.3 c | 13.8 ± 1.1 c | 10.2 ± 1.2 a |
| TC-G | 32.3 ± 2.7 b | 3.2 ± 0.5 b | 56.6 ± 3.7 b | 6.2 ± 0.5 bc | 22.6 ± 2.8 a | 4.1 ± 0.1 b |
| TC-G2 | 35.1 ± 1.3 b | 3.2 ± 0.2 b | 39.5 ± 1.6 c | 7.5 ± 0.7 b | 24.2 ± 3.7 a | 4.6 ± 0.4 b |
| TC-G3 | 40.0 ± 1.8 a | 3.3 ± 0.5 b | 38.4 ± 3.1 c | 6.9 ± 0.5 b | 22.4 ± 2.3 a | 4.6 ± 0.3 b |
| SC | 27.7 ± 1.5 c | 6.0 ± 0.2 a | 19.6 ± 0.4 d | 9.2 ± 1.5 a | 12.2 ± 2.6 c | 4.6 ± 0.2 b |
| Bergmann | 40–55 | 4.5–7.0 | 42–60 | 3.5–6.0 | 12–21 | - |
Table A3.
Calculation of the P recycling potential for the TC-F composting process in the city of Berlin, Germany.
Table A3.
Calculation of the P recycling potential for the TC-F composting process in the city of Berlin, Germany.
| Parameter | Value | Unit | Source or Calculation |
|---|---|---|---|
| Feces potential | |||
| Feces produced per person | 0.22 | kg FM day−1 | [114] |
| or | 80.3 | kg FM year−1 | |
| Installation potential of dry toilets in Berlin | |||
| Number of allotment gardens | 70,000 | [117] | |
| No. of people per garden | 2 | Assumption | |
| Time of usage of gardens | 25 | % of the year | Assumption |
| Fecal mass obtainable per year | 2,810,500 | kg FM | |
| Mass calculation of fecal compost processing TC-F | |||
| Total input mass of feces | 2,810,500 | kg FM | Calculation |
| Share of feces in fecal compost | 25–30 | % | Practitioner information |
| Total compost input material * | 936,833 | kg FM | |
| Weight loss during composting process | 40 | % | Practitioner information; [118] |
| Finished compost product mass | 5,621,000 | kg FM | |
| Dry matter content of finished compost | 49.5 | % DM | Measured; [119] |
| Total dry mass of fecal compost TC-F | 2,782,395 | kg DM | |
| Ptot content of fecal compost | 0.00398 | kg Ptot kg−1 DM | Measured |
| Psol content of fecal compost | 0.001986 | kg Psol kg−1 DM | Measured |
| Ptot mass recycled per year | 11,074 | kg Ptot year−1 | |
| Psol mass recycled per year | 5526 | kg Psol year−1 | |
* for composition see Section 2.2 Material & Methods—Fertilizer treatments
Table A4.
Calculation of the P recycling potential for the VC-C vermicomposting process in the city of Berlin, Germany.
Table A4.
Calculation of the P recycling potential for the VC-C vermicomposting process in the city of Berlin, Germany.
| Parameter | Value | Unit | Source or Calculation |
|---|---|---|---|
| Food waste potential in Berlin | |||
| Food waste produced per person and year | 81 | kg FM | [22] |
| Percentage of food waste digestible by compost worms | 80 | % | Practitioner information |
| No. of inhabitants in Berlin | 3,669,500 | [115] | |
| Share of inhabitants starting VC | 10 | % | Assumption |
| Usable food waste per year in Berlin | 23,778,360 | kg | |
| Vermicomposting process for VC-C | |||
| Total input mass of food waste | 23,778,360 | kg | Calculation |
| Share of food waste | 39.2 | % | [55] |
| Share of bedding material coconut fiber | 60.8 | % | [55] |
| Total mass of input material | 60,659,082 | kg FM | |
| Weight loss during the composting process | 22.8 | % | [55] |
| Finished compost product mass | 46,828,811 | kg FM | |
| DM of processed compost | 12 | % | Measured |
| Total dry mass of vermicompost VC-C | 5,619,457 | kg DM | |
| Ptot content of vermicompost | 0.001646 | kg Ptot kg−1 DM | Measured |
| Ptot mass from VC-C per year | 9250 | kg | |
| Psol content of vermicompost | 0.000462 | kg Psol kg−1 DM | Measured |
| Psol mass from VC-C per year | 2596 | kg | |
| Subtraction of P input from coconut fiber | |||
| total input mass coconut fiber | 36,880,722 | kg FM | Calculation (Total input mass—food waste input mass) |
| DM of coconut fiber | 13.5 | % | [55] |
| total dry input mass of coconut fiber | 4,978,897 | ||
| Ptot content of coconut fiber | 0.000291 | kg Ptot kg−1 DM | [55] |
| Ptot mass input from coconut fiber | 1449 | kg | DMcoconut fiber * c(Ptot) |
| Psol content of coconut fiber | 0.00017 | kg Psol kg−1 DM | [55] |
| Psol mass input from coconut fiber | 846 | kg | DMcoconut fiber * c(Psol) |
| Ptot mass recycled per year | 7801 | kg Ptot year−1 | |
| Psol mass recycled per year | 1750 | kg Psol year−1 | |
Figure A1.
Evapotranspiration of the lettuce plants and climate chamber temperature data. The lower y-axis shows the evapotranspiration of the treatments in g per plant and day for the different treatments (measured and interpolated). The upper y-axis shows the temperature [°C] in the climate chamber during the experiment. The lower and upper lines indicate the daily minimum and the daily maximum temperature. The middle line indicates the daily mean temperature. The average air temperature during the whole experimental period was 26.6 °C at day and 20.7 °C at night, and the average relative humidity was 57.9%.
Figure A1.
Evapotranspiration of the lettuce plants and climate chamber temperature data. The lower y-axis shows the evapotranspiration of the treatments in g per plant and day for the different treatments (measured and interpolated). The upper y-axis shows the temperature [°C] in the climate chamber during the experiment. The lower and upper lines indicate the daily minimum and the daily maximum temperature. The middle line indicates the daily mean temperature. The average air temperature during the whole experimental period was 26.6 °C at day and 20.7 °C at night, and the average relative humidity was 57.9%.

Figure A2.
Lettuce shoots on day 13 (a) and day 37 (b) of the experiment. The inner and outer leaves were homogeneously green in color. Some of the lettuce shoots suffered from leaf tip necrosis (see also Figure A3) or drought stress, the latter indicated by light brown dry leaves.
Figure A2.
Lettuce shoots on day 13 (a) and day 37 (b) of the experiment. The inner and outer leaves were homogeneously green in color. Some of the lettuce shoots suffered from leaf tip necrosis (see also Figure A3) or drought stress, the latter indicated by light brown dry leaves.

Figure A3.
Leaf tip necrosis on the SC lettuce shoots (a) documentation of symptoms on several shoots, (b) detailed view of leaves; pictures were taken on day 35 of the experiment.
Figure A3.
Leaf tip necrosis on the SC lettuce shoots (a) documentation of symptoms on several shoots, (b) detailed view of leaves; pictures were taken on day 35 of the experiment.

References
- Willett, W.; Rockström, J.; Loken, B.; Springmann, M.; Lang, T.; Vermeulen, S.; Garnett, T.; Tilman, D.; DeClerck, F.; Wood, A.; et al. Food in the Anthropocene: The EAT–Lancet Commission on healthy diets from sustainable food systems. Lancet 2019, 393, 447–492. [Google Scholar] [CrossRef]
- Gerten, D.; Heck, V.; Jägermeyr, J.; Bodirsky, B.L.; Fetzer, I.; Jalava, M.; Kummu, M.; Lucht, W.; Rockström, J.; Schaphoff, S.; et al. Feeding ten billion people is possible within four terrestrial planetary boundaries. Nat. Sustain. 2020, 3, 200–208. [Google Scholar] [CrossRef]
- Rockström, J.; Steffen, W.; Noone, K.; Persson, Å.; Chapin, F.S.; Lambin, E.F.; Lenton, T.M.; Scheffer, M.; Folke, C.; Schellnhuber, H.J.; et al. A safe operating space for humanity. Nature 2009, 461, 472–475. [Google Scholar] [CrossRef]
- Springmann, M.; Clark, M.; Mason-D’Croz, D.; Wiebe, K.; Bodirsky, B.L.; Lassaletta, L.; de Vries, W.; Vermeulen, S.J.; Herrero, M.; Carlson, K.M.; et al. Options for keeping the food system within environmental limits. Nature 2018, 562, 519–525. [Google Scholar] [CrossRef] [PubMed]
- FAO—Food and Agriculture Organization of the United Nations. Agriculture Must Change; FAO: Rome, Italy, 2015. [Google Scholar]
- IAASTD International Assessment of Agricultural Knowledge, Science and Technology for Development. Synthesis Report; McIntyre, B.D., Herren, H.R., Wakhungu, J., Watson, R.T., Eds.; IAASTD: Washington, DC, USA, 2009. [Google Scholar]
- De Schutter, O. Agroecology and the Right to Food. In Report presented at the 16th Session of the United Nations Human Rights Council [A/HRC/16/49]; UN Special Rapporteur on the right to food: Geneva, Switzerland, 2010; Available online: http://www.srfood.org/images/stories/pdf/officialreports/20110308_a-hrc-16-49_agroecology_en.pdf (accessed on 7 June 2021).
- United Nations. World Urbanization Prospects: The 2018 Revision—Key Facts; United Nations: New York, NY, USA, 2018. [Google Scholar]
- Weidner, T.; Yang, A. The potential of urban agriculture in combination with organic waste valorization: Assessment of resource flows and emissions for two european cities. J. Clean. Prod. 2020, 244, 118490. [Google Scholar] [CrossRef]
- Akram, U.; Quttineh, N.-H.; Wennergren, U.; Tonderski, K.; Metson, G.S. Enhancing nutrient recycling from excreta to meet crop nutrient needs in Sweden—A spatial analysis. Sci. Rep. 2019, 9, 10264. [Google Scholar] [CrossRef] [PubMed]
- Zasada, I.; Schmutz, U.; Wascher, D.; Kneafsey, M.; Corsi, S.; Mazzocchi, C.; Monaco, F.; Boyce, P.; Doernberg, A.; Sali, G.; et al. Food beyond the city—Analysing foodsheds and self-sufficiency for different food system scenarios in European metropolitan regions. City Cult. Soc. 2019, 16. [Google Scholar] [CrossRef]
- European Parliament and European Council. Regulation (EU) 2019/1009 of the European Parliament and of the Council of 5 June 2019 Laying Down Rules on the Making Available on the Market of EU Fertilising Products and Amending Regulations (EC) No 1069/2009 and (EC) No 1107/2009 and Repealing Regula 2019; European Parliament and European Council: Luxembourg, 2019; pp. 1–114.
- Insam, H.; Bertoldi, M. Microbiology of the Composting Process. In Compost Science and Technology; Waste Management Series; Diaz, L.F., Bertoldi, M., Bidlingmaier, W., Eds.; Elsevier: Boston, MA, USA, 2007; pp. 26–48. ISBN 9780080545981. [Google Scholar]
- Shrestha, P.; Small, G.E.; Kay, A. Quantifying nutrient recovery efficiency and loss from compost-based urban agriculture. PLoS ONE 2020, 15. [Google Scholar] [CrossRef]
- Kaza, S.; Yao, L.C.; Bhada-Tata, P.; Van Woerden, F. What a Waste 2.0: A Global Snapshot of Solid Waste Management to 2050; World Bank Publications: Washington, DC, USA, 2018. [Google Scholar]
- Morée, A.L.; Beusen, A.H.W.; Bouwman, A.F.; Willems, W.J. Exploring global nitrogen and phosphorus flows in urban wastes during the twentieth century. Glob. Biogeochem. Cycles 2013, 27, 836–846. [Google Scholar] [CrossRef]
- Mayer, F.; Bhandari, R.; Gäth, S.A.; Himanshu, H.; Stobernack, N. Economic and environmental life cycle assessment of organic waste treatment by means of incineration and biogasification. Is source segregation of biowaste justified in Germany? Sci. Total Environ. 2020, 721, 137731. [Google Scholar] [CrossRef]
- Hermann, T.; Weiss, V.; Bannick, C.G.; Claussen, U. Bioabfallkomposte und -gärreste in der Landwirtschaft; Position Paper; Umweltbundesamt: Dessau-Roßlau, Germany, 2017. Available online: https://www.umweltbundesamt.de/sites/default/files/medien/377/publikationen/170131_uba_pos_bioabfall_bf.pdf (accessed on 7 June 2021).
- Bundesrepublik Deutschland. Gesetz zur Förderung der Kreislaufwirtschaft und Sicherung der umweltverträglichen Bewirtschaftung von Abfällen (Kreislaufwirtschaftsgesetz–KrWG ); Published 24 February 2012, revised 23 October 2020; Bundesministeriums der Justiz und für Verbraucherschutz und Bundesamts für Justiz, 2012; pp. 1–54. Available online: www.gesetze-im-internet.de (accessed on 7 June 2021).
- Ernst, F.; Worlitzer, R. BSR-Entsorgungsbilanz 2017. Available online: https://www.bsr.de/faq-zur-biosammlung-25276.php (accessed on 2 February 2020).
- Destatis. Abfallbilanz (Abfallaufkommen/-Verbleib, Abfallintensität, Abfallaufkommen nach Wirtschaftszweigen)—2017; Statistisches Bundesamt: Wiesbaden, Germany, 2019.
- Krause, P.; Oetjen-Dehne, R.; Dehne, I.; Dehnen, D.; Erchinger, H. Verpflichtende Umsetzung der Getrenntsammlung von Bioabfällen; Umweltbundesamt: Dessau-Roßlau, Germany, 2014.
- Abgeordnetenhaus Berlin. Schriftliche Anfrage des Abgeordneten Georg Kössler (GRÜNE) vom 15. März 2017 und Antwort Vision Zero Waste I—Bioabfallsammlung Verbessern; Abgeordnetenhaus: Berlin, Germany, 2017.
- Sherman, R.L.; Appelhof, M. Small-Scale and Domestic Vermicomposting Systems. In Vermiculture Technology: Eathworms, Organic Wastes, and Environmental Management; Edwards, C.A., Arancon, N.Q., Sherman, R., Eds.; CRC Press Taylor & Francis Group: Boca Raton, FL, USA; London, UK; New York, NY, USA, 2011; pp. 67–78. [Google Scholar]
- Dominguez, J. State-of-the-Art and New Perspectives on Vermicomposting Research. In Earthworm Ecology, 2nd ed.; Edwards, C.A., Ed.; CRC Press: Boca Raton, FL, USA, 2004; pp. 401–424. [Google Scholar]
- Lim, S.L.; Lee, L.H.; Wu, T.Y. Sustainability of using composting and vermicomposting technologies for organic solid waste biotransformation: Recent overview, greenhouse gases emissions and economic analysis. J. Clean. Prod. 2016, 111, 262–278. [Google Scholar] [CrossRef]
- Tognetti, C.; Laos, F.; Mazzarino, M.J.; Hernández, M.T. Composting vs. Vermicomposting: A Comparison of End Product Quality. Compost Sci. Util. 2005, 13, 6–13. [Google Scholar] [CrossRef]
- Krishnamoorthy, R.V.; Vajranabhaiah, S.N. Biological activity of earthworm casts: An assessment of plant growth promotor levels in the casts. Proc. Anim. Sci. 1986, 95, 341–351. [Google Scholar] [CrossRef]
- Canellas, L.P.; Olivares, F.L.; Okorokova-Façanha, A.L.; Façanha, A.R. Humic acids isolated from earthworm compost enhance root elongation, lateral root emergence, and plasma membrane H+-ATPase activity in maize roots. Plant Physiol. 2002, 130, 1951–1957. [Google Scholar] [CrossRef] [PubMed]
- Pattnaik, S.; Reddy, M.V. Nutrient Status of Vermicompost of Urban Green Waste Processed by Three Earthworm Species— Eisenia fetida, Eudrilus eugeniae, and Perionyx excavatus. Appl. Environ. Soil Sci. 2010, 2010, 1–13. [Google Scholar] [CrossRef]
- Hanc, A.; Dreslova, M. Effect of composting and vermicomposting on properties of particle size fractions. Bioresour. Technol. 2016, 217, 186–189. [Google Scholar] [CrossRef] [PubMed]
- Chowdhury, R.B.; Moore, G.A.; Weatherley, A.J.; Arora, M. A review of recent substance flow analyses of phosphorus to identify priority management areas at different geographical scales. Resour. Conserv. Recycl. 2014, 83, 213–228. [Google Scholar] [CrossRef]
- Herrmann, T.; Klaus, U. Fluxes of nutrients in urban drainage systems: Assessment of sources, pathways and treatment techniques. Water Sci. Technol. 1997, 36, 167–172. [Google Scholar] [CrossRef]
- Simha, P.; Ganesapillai, M. Ecological Sanitation and nutrient recovery from human urine: How far have we come? A review. Sustain. Environ. Res. 2017, 27, 107–116. [Google Scholar] [CrossRef]
- Bundesrepublik Deutschland. Verordnung über die Verwertung von Klärschlamm, Klärschlammgemisch und Klärschlammkompost (Klärschlammverordnung—AbfKlärV); Bundesministeriums der Justiz und für Verbraucherschutz und Bundesamts für Justiz: Berlin, Germany, 2020. Available online: www.gesetze-im-internet.de (accessed on 7 June 2021).
- Roskosch, A.; Heidecke, P. Klärschlamm Entsorgung in der Bundesrepublik Deutschland; Umweltbundesamt: Dessau-Roßlau, Germany, 2018.
- Kraus, F.; Zamzow, M.; Conzelmann, L.; Remy, C.; Kleyböcker, A.; Seis, W.; Miehe, U.; Hermann, L.; Hermann, R.; Kabbe, C. Ökobilanzieller Vergleich der P-Rückgewinnung aus dem Abwasserstrom mit der Düngemittel-Produktion aus Rohphosphaten unter Einbeziehung von Umweltfolgeschäden und deren Vermeidung—Abschlussbericht; TEXTE 13/2019; Umweltbundesamt: Dessau-Roßlau, Germany, 2019.
- Fricke, K. Energieeffizienz Kommunaler Kläranlagen; Umweltbundesamt: Dessau-Roßlau, Germany, 2009; p. 10.
- Vinnerås, B. Comparison of composting, storage and urea treatment for sanitising of faecal matter and manure. Bioresour. Technol. 2007, 98, 3317–3321. [Google Scholar] [CrossRef]
- Krause, A.; Kaupenjohann, M.; George, E.; Koeppel, J. Nutrient recycling from sanitation and energy systems to the agroecosystem-Ecological research on case studies in Karagwe, Tanzania. Afric. J. Agric. Res. 2015, 10, 4039–4052. [Google Scholar] [CrossRef]
- Ogwang, F.; Tenywa, J.S.; Otabbong, E.; Tumuhairwe, J.B.; Amoding-Katusabe, A. Faecal Blending for Nutrient Enrichment and Speedy Sanitisation for Soil Fertility Improvement. ISRN Soil Sci. 2012, 2012, 1–7. [Google Scholar] [CrossRef]
- Sangare, D.; Sou/Dakoure, M.; Hijikata, N.; Lahmar, R.; Yacouba, H.; Coulibaly, L.; Funamizu, N. Toilet compost and human urine used in agriculture: Fertilizer value assessment and effect on cultivated soil properties. Environ. Technol. 2015, 36, 1291–1298. [Google Scholar] [CrossRef]
- Tilley, E.; Ulrich, L.; Luethi, C.; Reymond, P.; Zurburegg, C.; Lüthi, C.; Morel, A.; Zurbrügg, C.; Schertenleib, R. Compendium of Sanitation Systems and Technologies; Swiss Agency for Development and Cooperation: Bern, Switzerland, 2014.
- Krause, A.; Nehls, T.; George, E.; Kaupenjohann, M. Organic wastes from bioenergy and ecological sanitation as a soil fertility improver: A field experiment in a tropical Andosol. SOIL 2016, 2, 147–162. [Google Scholar] [CrossRef]
- Niwagaba, C.; Nalubega, M.; Vinnerås, B.; Sundberg, C.; Jönsson, H. Bench-scale composting of source-separated human faeces for sanitation. Waste Manag. 2009, 29, 585–589. [Google Scholar] [CrossRef] [PubMed]
- Larsen, T.; Udert, K.K.M.; Lienert, J. Source Separation and Decentralization for Wastewater Management; Iwa Publishing: London, UK, 2013. [Google Scholar]
- Morgan, P. Toilets That Make Compost: Low-Cost, Sanitary Toilets that Produce Valuable Compost for Crops in an African Context; Stockholm Environment Institute: Stockholm, Sweden, 2007. [Google Scholar]
- Bauhaus University Weimar; German Association for Water Wastewater and Waste (DWA). New Alternative Sanitation Systems—NASS: Terminology, Material Flows, Treatment of Partial Flows, Utilisation; Weiterbildendes Studium Wasser und Umwelt, Bauhaus Universiy: Weimar, Germany, 2016; ISBN 9783957732132. [Google Scholar]
- World Health Organization. Guidelines on Sanitation and Health; WHO: Geneva, Switzerland, 2018; ISBN 9789241514705. [Google Scholar]
- Korduan, J. Rechtliche Rahmenbedingungen für die Anwendung von Recyclingprodukten aus Menschlichen Fäkalien für Gartenbau und Landwirtschaft in Deutschland; Technische Universität Berlin: Berlin, Germany, 2020. [Google Scholar]
- Drangert, J.-O.; Tonderski, K.; McConville, J. Extending the European Union Waste Hierarchy to Guide Nutrient-Effective Urban Sanitation toward Global Food Security—Opportunities for Phosphorus Recovery. Front. Sustain. Food Syst. 2018, 2. [Google Scholar] [CrossRef]
- Douhaire, C. Rechtsfragen der Düngung: Eine Steuerungs-und Rechtswissenschaftliche Analyse vor dem Hintergrund Unions-und Völkerrechtlicher Verpflichtungen und Politischer Zielsetzungen zum Umwelt-und Ressourcenschutz. In Schriften zum Umweltrecht, Band 189; Kloepfer, M., Ed.; Duncker & Humblot: Berlin, Germany, 2019; ISBN 978-3-428-15618-4. [Google Scholar]
- Vandecasteele, B.; Willekens, K.; Steel, H.; D’Hose, T.; Van Waes, C.; Bert, W. Feedstock Mixture Composition as Key Factor for C/P Ratio and Phosphorus Availability in Composts: Role of Biodegradation Potential, Biochar Amendment and Calcium Content. Waste Biomass Valoriz. 2017, 8, 2553–2567. [Google Scholar] [CrossRef]
- Winker, M.; Vinnerås, B.; Muskolus, A.; Arnold, U.; Clemens, J. Fertiliser products from new sanitation systems: Their potential values and risks. Bioresour. Technol. 2009, 100, 4090–4096. [Google Scholar] [CrossRef]
- Braun, P. Stickstoffbilanzen Dezentraler Wurmkompostierungvon Bioabfällen (Nitrogen Balance of Small-Scale Vermicomposting Systems with Organic Household Waste); Technische Universität Berlin: Berlin, Germany, 2019. [Google Scholar]
- Bergmann, W. Ernährungsstörungen bei Kulturpflanzen, 3rd ed.; Fischer: Jena, Germany, 1993; ISBN 3334604144. [Google Scholar]
- Blume, H.-P.; Brümmer, G.W.; Horn, R.; Kandeler, E.; Kögel-Knabner, I.; Kretzschmar, R.; Stahr, K.; Wilke, B.-M. Lehrbuch der Bodenkunde, 16th ed.; Spektrum Akademischer Verlag: Heidelberg, Germany, 2010; ISBN 978-3-8274-1444-1. [Google Scholar]
- DIN-Normenausschuss Wasserwesen (NAW). DIN 19747:2009—Investigation of Solids—Pre-Treatment, Preparation and Processing of Samples for Chemical, Biological and Physical Investigations; Beuth: Berlin, Germany, 2009. [Google Scholar]
- DIN-Normenausschuss Wasserwesen (NAW). EN 15933:2012—Sludge, Treated Biowaste and Soil—Determination of pH, German version; Beuth: Berlin, Germany, 2012. [Google Scholar]
- DIN-Normenausschuss Wasserwesen (NAW). CEN/TS 15937:2013—Sludge, Treated Biowaste and Soil—Determination of Specific Electrical Conductivity, German version; Beuth: Berlin, Germany, 2013. [Google Scholar]
- DIN-Normenausschuss Wasserwesen (NAW). EN 15935:2012—Sludge, Treated Biowaste and Soil—Determination of Loss on Ignition, German version; Beuth: Berlin, Germany, 2012. [Google Scholar]
- Verband Deutscher Landwirtschaftlicher Untersuchungs-und Forschungsanstalten (VDLUFA). Methodenbuch Band I Die Untersuchung von Böden; Bestimmung von Phosphor und Kalium im Calcium-Acetat-Lactat-Auszug; VDLUFA-Verlag: Darmstadt, Germany, 2012; Chapter A 6.2.1.1. [Google Scholar]
- DIN-Normenausschuss Wasserwesen (NAW). EN 16179:2012—Sludge, Treated Biowaste and Soil—Guidance for Sample Pretreatment, German version; Beuth: Berlin, Germany, 2012. [Google Scholar]
- DIN-Normenausschuss Wasserwesen (NAW). EN 16174:2012—Sludge, Treated Biowaste and Soil—Determination of Aqua Regia Soluble Fractions of Elements, German version; Beuth: Berlin, Germany, 2012. [Google Scholar]
- DIN-Normenausschuss Wasserwesen (NAW). DIN EN 12880:2001-02—Characterization of Sludges—Determination of Dry Residue and Water Content, German version; Beuth: Berlin, Germany, 2001. [Google Scholar]
- Verband Deutscher Landwirtschaftlicher Untersuchungs-und Forschungsanstalten (VDLUFA). Bestimmung von Nitrat-Stickstoff, Photometrische Bestimmung mit 24-Dimethylphenol. In Das VDLUFA Methodenbuch: Band II.1 Grundwerk—Die Untersuchung von Düngemitteln; VDLUFA-Verlag: Darmstadt, Germany, 1995; p. 1040. [Google Scholar]
- Strach, K. Bestimmung des Ammoniumstickstoffgehaltes. In Messmethodensammlung Biogas: Methoden zur Bestimmung von Analytischen und Prozessbeschreibenden Parametern im Biogasbereich: Energetische Biomassenutzung; Liebetrau, J., Pfeiffer, D., Thrän, D., Eds.; DBFZ Deutsches Biomasseforschungszentrum Gemeinnützige GmbH (DBFZ): Leipzig, Germany, 2013; Volume 2, p. 35. [Google Scholar]
- DIN-Normenausschuss Lebensmittel und Landwirtschaftliche Produkte (NAL). EN 13038:2011—Soil Improvers and Growing Media—Determination of Electrical Conductivity, German version; Beuth: Berlin, Germany, 2012. [Google Scholar]
- DIN-Normenausschuss Wasserwesen (NAW). EN ISO 11885:2009—Water Quality—Determination of Selected Elements by Inductively Coupled Plasma Optical Emission Spectrometry (ICP-OES) (ISO 11885:2007), German version; Beuth: Berlin, Germany, 2009. [Google Scholar]
- Bundesgütegemeinschaft Kompost e.V. (BGK). Methodenbuch zur Analyse Organischer Düngemittel, Bodenverbesserungsmittel und Substrate; Bundesgütegemeinschaft Kompost e.V. (BGK): Köln, Germany, 2006. [Google Scholar]
- DIN-Arbeitsausschuss NA 062-05-82 AA “Feste Biobrennstoffe”. In DIN EN 15104:2011-04—Solid Biofuels—Determination of Total Content of Carbon, Hydrogen and Nitrogen—Instrumental Methods, German version EN 15104:2011; Beuth: Berlin, Germany, 2011.
- Alef, K. Biologische Bodensanierung; VCH: Weinheim, Germany, 1994; ISBN 9783527300587. [Google Scholar]
- Zoltán, C. The Factors Influencing the Buffering Capacity of Soils and Their Importance in Horticultural Cultivation; Budapesti Corvinus Egyetem: Budapest, Hungary, 2010. [Google Scholar]
- Verband Deutscher Landwirtschaftlicher Untersuchungs-und Forschungsanstalten (VDLUFA). Methodenbuch Band III Die Chemische Untersuchung von Futtermitteln; Mikrowellenbeheizter Druckaufschluss; VDLUFA-Verlag: Darmstadt, Germany, 2012; Chapter 10.8.1.2. [Google Scholar]
- Verband Deutscher Landwirtschaftlicher Untersuchungs-und Forschungsanstalten (VDLUFA). Bestimmung von Gesamtstickstoff nach trockener Verbrennung (Elementaranalyse). In Methodenbuch Band I die Untersuchung von Böden; VDLUFA-Verlag: Darmstadt, Germany, 2012. [Google Scholar]
- Hernández, A.; Castillo, H.; Ojeda, D.; Arras, A.; López, J.; Sánchez, E. Effect of Vermicompost and Compost on lettuce Production. Chil. J. Agric. Res. 2010, 70, 583–589. [Google Scholar] [CrossRef]
- Arancon, N.Q.; Edwards, C.A.; Bierman, P.; Welch, C.; Metzger, J.D. Influences of vermicomposts on field strawberries: 1. Effects on growth and yields. Bioresour. Technol. 2004, 93, 145–153. [Google Scholar] [CrossRef]
- Chowdhury, M.A.; de Neergaard, A.; Jensen, L.S. Composting of solids separated from anaerobically digested animal manure: Effect of different bulking agents and mixing ratios on emissions of greenhouse gases and ammonia. Biosyst. Eng. 2014, 124. [Google Scholar] [CrossRef]
- Meerow, A.W. Growth of two subtropical ornamentals using coir (coconut mesocarp pith) as a peat substitute. HortScience 1994, 29, 1484–1486. [Google Scholar] [CrossRef]
- Domínguez, J.; Aira, M.; Gómez-Brandón, M. Vermicomposting: Earthworms Enhance the Work of Microbes. In Microbes at Work: From Wastes to Resources; Insam, H., Franke-Whittle, I., Goberna, M., Eds.; Springer: Berlin/Heidelberg, Germany, 2010; pp. 93–114. ISBN 9783642040436. [Google Scholar]
- Rose, C.; Parker, A.; Jefferson, B.; Cartmell, E. The characterization of feces and urine: A review of the literature to inform advanced treatment technology. Crit. Rev. Environ. Sci. Technol. 2015, 45, 1827–1879. [Google Scholar] [CrossRef] [PubMed]
- Kehres, B.; Vogtmann, H. Qualitätskriterien und Güterichtlinien für Kompost aus organischen Abfallstoffen. Müll Abfall 1988, 5, 218–221. [Google Scholar]
- Ruiz, J.L.; Del Carmen Salas, M. Evaluation of organic substrates and microorganisms as bio-fertilisation tool in container crop production. Agronomy 2019, 9, 705. [Google Scholar] [CrossRef]
- Vermiculture Technology; Edwards, C.A., Arancon, N.Q., Sherman, R., Eds.; CRC Press Taylor & Francis Group: Boca Raton, FL, USA; London, UK; New York, NY, USA, 2011; ISBN 978-1-4398-0987-7. [Google Scholar]
- Vanden Nest, T.; Vandecasteele, B.; Ruysschaert, G.; Cougnon, M.; Merckx, R.; Reheul, D. Effect of organic and mineral fertilizers on soil P and C levels, crop yield and P leaching in a long term trial on a silt loam soil. Agric. Ecosyst. Environ. 2014, 197, 309–317. [Google Scholar] [CrossRef]
- McLaughlin, M.J.; McBeath, T.M.; Smernik, R.; Stacey, S.P.; Ajiboye, B.; Guppy, C. The chemical nature of P accumulation in agricultural soils—Implications for fertiliser management and design: An Australian perspective. Plant Soil 2011, 349, 69–87. [Google Scholar] [CrossRef]
- Vanden Nest, T.; Amery, F.; Fryda, L.; Boogaerts, C.; Bilbao, J.; Vandecasteele, B. Renewable P sources: P use efficiency of digestate, processed animal manure, compost, biochar and struvite. Sci. Total Environ. 2021, 750, 141699. [Google Scholar] [CrossRef] [PubMed]
- Dominguez, J. The Microbiology of Vermicomposting. In Vermiculture Technology: Eathworms, Organic Wastes, and Environmental management; Edwards, C.A., Arancon, N.Q., Sherman, R., Eds.; CRC Press Taylor & Francis Group: Boca Raton, FL, USA; London, UK; New York, NY, USA, 2011; pp. 53–66. [Google Scholar]
- Durak, A.; Altuntaş, Ö.; Kutsal, İ.K.; Işık, R.; Karaat, F.E. The Effects of Vermicompost on Yield and Some Growth Parameters of Lettuce. Turk. J. Agric. Food Sci. Technol. 2017, 5, 1566–1570. [Google Scholar] [CrossRef]
- Gondek, M.; Weindorf, D.C.; Thiel, C.; Kleinheinz, G. Soluble Salts in Compost and Their Effects on Soil and Plants: A Review. Compos. Sci. Util. 2020, 28. [Google Scholar] [CrossRef]
- Richards, L.A. Diagnosis and Improvement of Saline and Alkali Soils; Richards, L.A., Ed.; U.S. Government Printing Office: Washington, DC, USA, 1954; Volume Agriculture.
- Papathanasiou, F.; Tsakiris, I.; Tamoutsidis, E.; Papadopoulos, I. Vermicompost as a soil supplement to improve growth, yield and quality of lettuce. J. Food Agric. Environ. 2012, 10, 677–682. [Google Scholar]
- Coria-Cayupán, Y.S.; Sánchez de Pinto, M.I.; Nazareno, M.A. Variations in bioactive substance contents and crop yields of lettuce (Lactuca sativa L.) cultivated in soils with different fertilization treatments. J. Agric. Food Chem. 2009, 57, 10122–10129. [Google Scholar] [CrossRef] [PubMed]
- Arancon, N.Q.; Edwards, C.A.; Bierman, P.; Metzger, J.D.; Lee, S.; Welch, C. Effects of vermicomposts on growth and marketable fruits of field-grown tomatoes, peppers and strawberries. Pedobiologia 2003, 47, 731–735. [Google Scholar] [CrossRef]
- Bundesgütegemeinschaft Kompost e.V. (BGK). Schwellenwerte und Grenzwerte Kompost, RAL-Gütesicherung Dok. 251-006-4 2021; Bundesgütegemeinschaft Kompost e.V. (BGK): Köln, Germany, 2021. [Google Scholar]
- Cai, Q.-Y.; Mo, C.-H.; Li, H.-Q.; Lü, H.; Zeng, Q.-Y.; Li, Y.-W.; Wu, X.-L. Heavy metal contamination of urban soils and dusts in Guangzhou, South China. Environ. Monit. Assess. 2013, 185, 1095–1106. [Google Scholar] [CrossRef]
- Sahakyan, L.; Maghakyan, N.; Belyaeva, O.; Tepanosyan, G.; Kafyan, M.; Saghatelyan, A. Heavy metals in urban dust: Contamination and health risk assessment: A case study from Gyumri, Armenia. Arab. J. Geosci. 2016, 9, 1–11. [Google Scholar] [CrossRef]
- Rubatzky, V.E.; Yamaguchi, M. World Vegetables—Principles, Production and Nutritive Values, 2nd ed.; Springer Science+Business Media: Dordrecht, The Netherlands, 1997; ISBN 978-1-4615-6015-9. [Google Scholar]
- León, A.P.; Pérez Martín, J.; Chiesa, A. Vermicompost Application and Growth Patterns of Lettuce (Lactuca sativa L.). Agric. Trop. Subtrop. 2012, 45, 134–139. [Google Scholar] [CrossRef][Green Version]
- Kang, J.-G.; van Iersel, M.W. Nutrient Solution Concentration Affects Shoot:Root Ratio, Leaf Area Ratio, and Growth of Subirrigated Salvia (Salvia splendens). HortScience 2004, 39, 49–54. [Google Scholar] [CrossRef]
- Anderson, E.L. Tillage and N fertilization effects on maize root growth and root:shoot ratio. Plant Soil 1988, 108, 245–251. [Google Scholar] [CrossRef]
- Anghinoni, I.; Barber, S.A. Phosphorus Influx and Growth Characteristics of Corn Roots as Influenced by Phosphorus Supply. Agronomy 1980, 72, 685–688. [Google Scholar] [CrossRef]
- Fricke, K. Grundlagen zur Bioabfallkompostierung; 2 T4-un.; Die Werkstatt: Vienna, Austria, 1990. [Google Scholar]
- Peterson, J.C. Effects of pH Upon Nutrient Availability in a Commercial Soilless Root Medium Utilized for Floral Crop Production. Ohio State Univ. Ohio Res. Dev. Cent. Cir. 1982, 268, 16–19. [Google Scholar]
- George, E.; Horst, W.J.; Neumann, E. Adaptation of Plants to Adverse Chemical Soil Conditions. In Marschner’s Mineral Nutrition of Higher Plants; Marschner, H., Marschner, P., Eds.; Academic Press: Amsterdam, The Netherlands; Boston, MA, USA, 2012; pp. 409–472. [Google Scholar]
- Hawkesford, M.; Horst, W.; Kichey, T.; Lambers, H.; Schjoerring, J.; Skrumsager, I. Functions of Macronutrients. In Marschner’s Mineral Nutrition of Higher Plants; Marschner, H., Marschner, P., Eds.; Academic Press: Amsterdam, The Netherlands; Boston, MA, USA, 2012; pp. 135–189. [Google Scholar]
- McCall, D.; Willumsen, J. Effects of nitrate, ammonium and chloride application on the yield and nitrate content of soil-grown lettuce. J. Hortic. Sci. Biotechnol. 1998, 73, 698–703. [Google Scholar] [CrossRef]
- Frossard, E.; Skrabal, P.; Sinaj, S.; Bangerter, F.; Traore, O. Forms and exchangeability of inorganic phosphate in composted solid organic wastes. Nutr. Cycl. Agroecosyst. 2002, 62, 103–113. [Google Scholar] [CrossRef]
- Rietra, R.P.J.J.; Heinen, M.; Dimkpa, C.O.; Bindraban, P.S. Effects of Nutrient Antagonism and Synergism on Yield and Fertilizer Use Efficiency. Commun. Soil Sci. Plant Anal. 2017, 48, 1895–1920. [Google Scholar] [CrossRef]
- Jakobsen, S.T. Interaction between Plant Nutrients: III. Antagonism between Potassium, Magnesium and Calcium. Acta Agric. Scand. Sect. B Soil Plant Sci. 1993, 43, 1–5. [Google Scholar] [CrossRef]
- Finck, A. Pflanzenernährung und Düngung in Stichworten (Plant Nutrition and Fertilization in Keywords), 6th ed.; Gebrüder Borntraeger: Stuttgart, Germany, 2007; ISBN 978-3443031169. [Google Scholar]
- Reeves, D.W. The role of soil organic matter in maintaining soil quality in continuous cropping systems. Soil Tillage Res. 1997, 43, 131–167. [Google Scholar] [CrossRef]
- Millaway, R.M.; Wiersholm, L. Calcium and metabolic disorders. Commun. Soil Sci. Plant Anal. 1979, 10, 1–28. [Google Scholar] [CrossRef]
- Palmquist, H.; Jönsson, H. Urine, faeces, greywater and biodegradable solid waste as potential fertilisers. In Proceedings of the 2nd International Symposium on Ecological Sanitation, Incorporating the 1st IWA Specialist Group Conference on Sustainable Sanitation, Lübeck, Germany, 7–11 April 2004; p. 825. [Google Scholar]
- Basisdaten Bevölkerungsstand Berlin Brandenburg. Available online: https://www.statistik-berlin-brandenburg.de/BasisZeitreiheGrafik/Bas-Bevoelkerungsstand.asp?Ptyp=300&Sageb=12015&creg=BBB&anzwer=6 (accessed on 20 March 2021).
- Bundesrepublik Deutschland. Verordnung über das Inverkehrbringen von Düngemitteln, Bodenhilfsstoffen, Kultursubstraten und Pflanzenhilfsmittels; Bundesministeriums der Justiz und für Verbraucherschutz und Bundesamts für Justiz: Berlin, Germany, 2019; pp. 1–118. Available online: www.gesetze-im-internet.de (accessed on 7 June 2021).
- Senatsverwaltung für Stadtentwicklung und Umwelt, Referat Freiraumplanung und Stadtgrün. Das Bunte Grün-Kleingärten in Berlin; Senatsverwaltung für Stadtentwicklung und Umwelt: Berlin, Germany, 2012; p. 52.
- Krause, A.; Rotter, V.S. Recycling improves soil fertility management in smallholdings in Tanzania. Agriculture 2018, 8, 31. [Google Scholar] [CrossRef]
- Krause, A.; Rotter, V.S. Linking energy-sanitation-agriculture: Intersectional resource management in smallholder households in Tanzania. Sci. Total Environ. 2017, 590–591, 514–530. [Google Scholar] [CrossRef]
Publisher’s Note: MDPI stays neutral with regard to jurisdictional claims in published maps and institutional affiliations. |
© 2021 by the authors. Licensee MDPI, Basel, Switzerland. This article is an open access article distributed under the terms and conditions of the Creative Commons Attribution (CC BY) license (https://creativecommons.org/licenses/by/4.0/).

