Use Bottom Sediment to Agriculture—Effect on Plant and Heavy Metal Content in Soil
Abstract
1. Introduction
2. Materials and Methods
2.1. Site Characteristics and Experimental Designs
2.2. Measured Parameters
2.3. Statistical Analysis
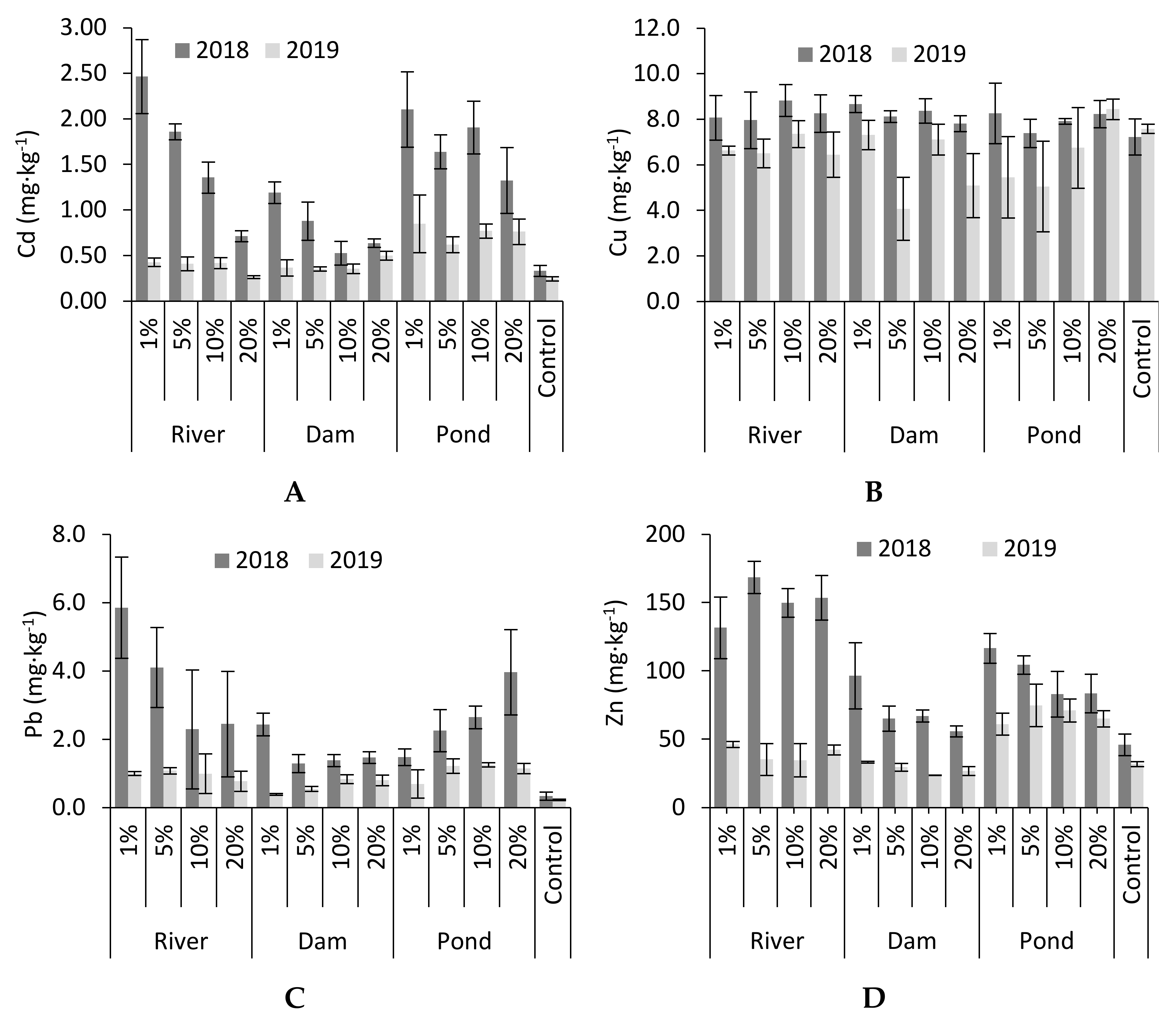
3. Results
3.1. Characteristics of Bottom Sediment
3.2. The Effect of Bottom Sediment on Heavy Metals Content in Soil
3.3. The Effect of Bottom Sediment on Yield and Heavy Metals Content in Plant
4. Discussion
5. Conclusions
Author Contributions
Funding
Institutional Review Board Statement
Informed Consent Statement
Data Availability Statement
Conflicts of Interest
References
- Mattei, P.; D’Acqui, L.P.; Nicese, F.P.; Lazzerini, G.; Masciandaro, G.; Macci, C.; Doni, S.; Sarteschi, F.; Giagnoni, L.; Renella, G. Use of phytoremediated sediments dredged in maritime port as plant nursery growing media. J. Env. Manag. 2017, 186, 225–232. [Google Scholar] [CrossRef]
- Todaro, F.; De Gisi, S.; Notarnicola, M. Sustainable remediation technologies for contaminated marine sediments: Preliminary results of an experimental investigation. Environ. Eng. Manag. J. 2018, 17, 2465–2471. [Google Scholar]
- SedNet. Contaminated Sediments in European River Basins, European Sediment Research Network. 2014. Available online: https://sednet.org/wp-content/uploads/2016/03/Sednet_booklet_final_2.pdf (accessed on 15 March 2021).
- Mymrin, V.; Stella, J.C.; Scremim, C.B.; Pan, R.C.Y.; Sanches, F.G.; Alekseev, K.; Pedroso, D.E.; Molinetti, A.; Fortini, O.M. Utilization of sediments dredged from marine ports as a principal component of composite material. J. Clean. Prod. 2017, 142, 4041–4049. [Google Scholar] [CrossRef]
- Wójcikowska-Kapusta, A.; Smal, H.; Ligęza, S. Contents of selected macronutrients in bottom sediments of two water reservoirs and assessment of their suitability for natural use. J. Water Land Dev. 2018, 38, 147–153. [Google Scholar] [CrossRef]
- Vácha, R.; Čechmánková, J.; Skála, J.; Hofman, J.; Čermák, P.; Sáňka, M.; Váchová, T. Use of dredged sediments on agricultural soils from viewpoint of potentially toxic substances. Plant Soil Env. 2011, 57, 388–395. [Google Scholar] [CrossRef]
- Ferrans, L.; Jani, Y.; Gao, L.; Hogland, W. Characterization of dredged sediments: A first guide to define potentially valuable compounds – the case of Malmfjärden Bay. Sweden. Adv. Geosci. 2019, 49, 137–147. [Google Scholar] [CrossRef]
- Szydłowski, K.; Podlasińska, J. Preliminary assessment of agriculture influence on heavy metal content in bottom sediments of small water reservoirs and in rushes. Infras. and Ecol. of Rural Aa. 2017, 3, 949–962. [Google Scholar]
- Baran, A.; Tarnawski, M.; Koniarz, T.; Jasiewicz, C. Agricultural use of sediments from Narożniki reservoir – yield and concentration of macronutrients and trace elements in the plant. Infra. and Ecol. of Rural Ae. 2016, 4, 1217–1228. [Google Scholar]
- Junakova, N.; Balintova, M. Assessment of nutrient concentration in reservoir bottom sediments. Procedia Eng. 2012, 42, 165–170. [Google Scholar] [CrossRef]
- Couvidat, J.; Chatain, V.; Bouzahzah, H.; Benzaazoua, M. Characterization of how contaminants arise in a dredged marine sediment and analysis of the effect of natural weathering. Sci. Total Environ. 2017, 624, 323–332. [Google Scholar] [CrossRef]
- Mattei, P.; Gnesini, A.; Gonnelli, C.; Marraccini, C.; Masciandaro, G.; Macci, C.; Doni, S.; Iannelli, R.; Lucchetti, S.; Nicese, F.P.; et al. Phytoremediated marine sediments as suitable peat-free growing media for production of red robin photinia (Photinia × fraseri). Chemosphere 2018, 201, 595–602. [Google Scholar] [CrossRef]
- Maj, K.; Koszelnik, P. Methods of the management of bottom sediment. J. Civil Eng. Environ. Arch. 2016, 33, 157–169. [Google Scholar]
- Zuliani, T.; Mladenovič, A.; Ščančar, J.; Milačič, R. Chemical characterisation of dredged sediments in relation to their potential use in civil engineering. Environ. Monit. Assess. 2016, 188, 234. [Google Scholar] [CrossRef] [PubMed]
- Hamouche, F.; Zentar, R. Effects of organic matter on mechanical properties of dredged sediments for beneficial use in road construction. Environ. Technol. 2018, 41. [Google Scholar] [CrossRef] [PubMed]
- Dang, T.A.; Kamali-Bernard, S.; Prince, W.A. Design of new blended cement based on marine dredged sediment. Constr. Build Mater. 2013, 41, 602–611. [Google Scholar] [CrossRef]
- Kiani, M.; Raave, H.; Simojoki, A.; Tammeorg, O.; Tammeorg, P. Recycling lake sediment to agriculture: Effects on plant growth, nutrient availability, and leaching. Sci. Total Environ. 2021, 753, 141984. [Google Scholar] [CrossRef] [PubMed]
- Tarnawski, M.; Baran, A.; Koniarz, T. The effect of bottom sediment supplement on changes of soil properties and on the chemical composition of plants. Geol. Geophys. Environ. 2015, 41, 285–292. [Google Scholar]
- Baran, A.; Tarnawski, M.; Urbaniak, M. An assessment of bottom sediment as a source of plant nutrients and an agent for improving soil properties. Env. Eng Manag J. 2019, 18, 1647–1656. [Google Scholar] [CrossRef]
- Zhang, C.; Yu, Z.; Zeng, G.; Jiang, M.; Yang, Z.; Cui, F.; Zhu, M.; Shen, L.; Hu, L. Effect of sediment geochemical properties on heavy metal bioavailability. Env. Int. 2014, 73, 270–281. [Google Scholar] [CrossRef]
- Saeedi, M.; Li, L.Y.; Karbassi, A.R.; Zanjani, A.J. Sorbed metals fractionation and assessment of release in river sediment and particulate matter. Environ Monit Assess. 2013, 185, 1737–1754. [Google Scholar] [CrossRef]
- Skwierawski, A.; Sidoruk, M. Heavy metal concentrations in the sediment profiles of the anthropogenically transformed Plociduga reservoir. Ecol. Chem. Eng. 2014, 21, 79–88. [Google Scholar] [CrossRef]
- Sundaray, S.K.; Nayak, B.B.; Lee, B.G.; Bhatta, D. Spatio-temporal dynamics of heavy metals in sediments of the river estuarine system: Mahanadi basin (India). Env. Earth Sci. 2014, 71, 1893–1909. [Google Scholar] [CrossRef]
- Boszke, L.; Sobczyński, T.; Głosińska, G.; Kowalski, A.; Siepak, J. Distribution of Mercury and Other Heavy Metals in Bottom Sediments of the Middle Odra River (Germany/Poland). Pol. J. Env. Stud. 2004, 13, 495–502. [Google Scholar]
- Lychagin, M.Y.; Tkachenko, A.N.; Kasimov, N.S.; Kroonenberg, S.B. Heavy Metals in the Water, Plants, and Bottom Sediments of the Volga River Mouth Area. J. Coast. Res. 2015, 31, 859–868. [Google Scholar] [CrossRef]
- Martínez-Santos, M.; Probst, A.; García-García, J.; Ruiz-Romera, E. Influence of anthropogenic inputs and a high-magnitude flood event on metal contamination pattern in surface bottom sediments from the Deba River urban catchment. Sci Total Environ. 2015, 514, 10–25. [Google Scholar] [CrossRef] [PubMed]
- Bazrafshan, E.; Mostafapour, E.K.; Esmaelnejad, M.G.R.; Mahvi, A.H. Concentration of heavy metals in surface water and sediments of Chah Nimeh water reservoir in Sistan and Baluchestan province, Iran. Desal. Water Treat. 2016, 57, 9332–9342. [Google Scholar] [CrossRef]
- Deng, M.; Yang, X.; Dai, X.; Zhang, Q.; Malik, A.; Sadeghpour, A. Heavy metal pollution risk assessments and their transportation in sediment and overlay water for the typical Chinese reservoirs. Ecol Indic. 2020, 112, 106166. [Google Scholar] [CrossRef]
- Akin, B.S.; Kırmızıgül, O. Heavy metal contamination in surface sediments of Gökçekaya Dam Lake, Eskişehir, Turkey. Env. Earth Sci. 2017, 76, 402–414. [Google Scholar] [CrossRef]
- Ziemińska-Stolarska, A.; Imbierowicz, E.; Jaskulski, M.; Szmidt, A. Assessment of the Chemical State of Bottom Sediments in the Eutrophied Dam Reservoir in Poland. Int J Environ Res Public Health. 2020, 17, 3424. [Google Scholar] [CrossRef]
- Dushyantha, N.; Hemalal, P.V.A.; Jayawardena, C.L.; Ratnayake, A.S.; Premasiri, H.M.R.; Ratnayake, N.P. Nutrient characteristics of lake sediments around Eppawala Phosphate Deposit, Sri Lanka. J. Geol. Soc. Sri Lanka 2017, 18, 33–42. [Google Scholar]
- Braga, B.B.; de Carvalho, T.R.A.; Brosinsky, A.; Förster, S.; Medeiros, P.H.A. From waste to resource: Cost-benefit analysis of reservoir sediment reuse for soil fertilization in a semiarid catchment. Sci Total Env. 2019, 670, 158–169. [Google Scholar] [CrossRef] [PubMed]
- Capra, G.F.; Grilli, E.; Macci, C.; Vacca, S.; Masciandaro, G.; Ceccanti, B.; Bondi, G.; Duras, M.G.; Dessena, M.A.; Marras, G.; et al. Lake-dredged material (LDM) in pedotechnique for the restoration of Mediterranean soils affected by erosion/entisolization processes. J. Soils Sediments. 2015, 15, 32–46. [Google Scholar] [CrossRef]
- Sojka, M.; Jaskuła, J.; Siepak, M. Heavy Metals in Bottom Sediments of Reservoirs in the Lowland Area of Western Poland: Concentrations, Distribution. Sources Ecol. Risk Water 2019, 11, 56. [Google Scholar]
- Gibson, D.J.; Connolly, J.; Hartnett, D.C.; Weidenhamer, J.D. Designs for greenhouse studies of interactions between plants. J. Ecol. 1999, 87, 1–16. [Google Scholar] [CrossRef]
- Passioura, J.B. The perils of pot experiments. Funct. Plant Biol. 2006, 33, 1075–1079. [Google Scholar] [CrossRef]
- International Organization for Standardization ISO 11277. Soil Quality—Determination of Particle Size Distribution in Mineral Soil Material—Method by Sieving and Sedimentation; International Organization for Standardization: Geneva, Switzerland, 2020. [Google Scholar]
- International Organization for Standardization ISO 10390. Soil Quality-Determination of pH; International Organization for Standardization: Geneva, Switzerland, 2005. [Google Scholar]
- International Organization for Standardization ISO 11466. Soil Quality-Extraction of trace elements soluble in aqua regia; International Organization for Standardization: Geneva, Switzerland, 1995. [Google Scholar]
- Polish Committee for Standardization PN-R-04023: Chemical and agricultural analysis-determination of the content available phosphorus in mineral soil; Polish Committee for Standardization: Warsaw, Poland, 1996.
- PTG (Polskie Towarzystwo Gleboznawcze – Soil Science Society of Poland). Particle size distribution and textural classes of soils and mineral materials -classification of polish society of soil science. Soil Scie. Ann. 2008, 40, 5–16. [Google Scholar]
- Pehoiu, G.; Murarescu, O.; Radulescu, C.; Dulama, J.D.; Teodorescu, S.; Stirbescu, R.M.; Bucurica, I.A.; Stanescu, S.G. Heavy metals accumulation and translocation in native plants grown on tailing dumps and human health risk. Plant Soil. 2020, 456, 405–424. [Google Scholar] [CrossRef]
- Tian, H.; Wang, Y.; Xie, J.; Li, H.; Zhu, Y. Effects of Soil Properties and Land Use Types on the Bioaccessibility of Cd, Pb, Cr, and Cu in Dongguan City, China. B Env. Contam Tox. 2020, 104, 64–70. [Google Scholar] [CrossRef] [PubMed]
- Mirecki, N.; Agič, R.; Šunić, L.; Milenković, L.; Zoran, S.; Ilić, S. Transfer factor as indicator of heavy metals content in plants. Fresenius Env. Bull. 2015, 24, 4212–4219. [Google Scholar]
- Zhang, Y.; Zhang, X.; Bi, Z.; Yu, Y.; Shi, P.; Ren, L.; Shan, Z. The impact of land use changes and erosion process on heavy metal distribution in the hilly area of the Loess Plateau. China. Sci. Total Env. 2020, 718, 137305. [Google Scholar] [CrossRef]
- Augustyniak, R.; Grochowska, J.; Łopata, M.; Parszuto, K.; Tandyrak, R. Characteristics of Bottom Sediments in Polish Lakes with Different Trophic Status. In Polish River Basins and Lakes—Part I; Korzeniewska, E., Harnisz, M., Eds.; The Handbook of Environmental Chemistry; Springer International Publishing: Berlin, Germany, 2020; Volume 86, pp. 139–157. [Google Scholar]
- Fonseca, R.; Barriga, F.J.A.S.; Fyfe, W. Dam Reservoir Sediments as Fertilizers and Artificial Soils. Case Studies from Portugal and Brazil. In Proc. Water and Soil Environments, Biological and Geological Perspectives; Tazaki, K., Ed.; International Symposium Kanazawa University: Kanazawa, Japan, 2003; pp. 55–62. [Google Scholar]
- Skrobiłowicz, E.; Skrobiłowicz, M. Organic carbon contents in bottom sediments from the upper river Narew and its tributaries. J. Elementol. 2008, 13, 101–108. [Google Scholar]
- El-Radaideh, N.; Al-Taani, A.A.; Al-Momani, T.; Tarawneh, K.; Batayneh, A.; Taani, A. Evaluating the potential of sediments in Ziqlab Reservoir (northwest Jordan) for soil replacement and amendment. Lake and Reservoir Manag. 2014, 30, 32–45. [Google Scholar] [CrossRef]
- Smal, H.; Ligęza, S.; Baran, S.; Wójcikowska-Kapusta, A.; Obroślak, R. Nitrogen and Phosphorus in Bottom Sediments of Two Small Dam Reservoirs. Pol. J. Environ. Stud. 2013, 22, 1479–1489. [Google Scholar]
- Rzetala, M.; Babicheva, V.A.; Rzetala, M.A. Composition and physico-chemical properties of bottom sediments in the southern part of the Bratsk Reservoir (Russia). Sci. Rep. 2019, 9, 12790. [Google Scholar] [CrossRef] [PubMed]
- Jaskuła, J.; Sojka, M.; Fiedler, M.; Wróżyński, R. Analysis of Spatial Variability of River Bottom Sediment Pollution with Heavy Metals and Assessment of Potential Ecological Hazard for the Warta River, Poland. Minerals 2021, 11, 327. [Google Scholar] [CrossRef]
- Abou El-Anwar, E.A. Assessment of heavy metal pollution in soil and bottom sediment of Upper Egypt: Comparison study. Bull Natl Res Cent. 2019, 43, 180–191. [Google Scholar] [CrossRef]
- Xiao, R.; Bai, J.; Huang, L. Distribution and pollution, toxicity and risk assessment of heavy metals in sediments from urban and rural rivers of the Pearl River delta in southern China. Ecotoxicology 2013, 22, 1564–1575. [Google Scholar] [CrossRef]
- Shen, F.; Mao, L.; Sun, R.; Du, J.; Tan, Z.; Ding, M. Contamination Evaluation and Source Identification of Heavy Metals in the Sediments from the Lishui River Watershed, Southern China. Int. J. Environ. Res. Public Health 2019, 16, 336. [Google Scholar] [CrossRef] [PubMed]
- Thevenon, F.; Graham, N.D.; Chiaradia, M.; Arpagaus, P.; Wildi, W.; Poté, J. Local to regional scale industrial heavy metal pollution recorded in sediments of large freshwater lakes in central Europe (lakes Geneva and Lucerne) over the last centuries. Sci Total Env. 2011, 412, 239–247. [Google Scholar] [CrossRef]
- Kedir, K.; Gure, A.; Abduro, F. Heavy Metals in Sediments of Gilgel Gibe I Hydroelectric Dam Reservoir and its Tributaries. Ethiop. J. Educ. Sci. 2019, 15, 18–29. [Google Scholar]
- Zhao, R.; Coles, N.A.; Wu, J. Status of heavy metals in soils following long-term river sediment application in plain river network region, southern China. J. Soils Sediments. 2015, 15, 2285–2292. [Google Scholar] [CrossRef]
- Wojtkowska, M. Migration and Forms of Metals in Bottom Sediments of Czerniakowskie Lake. Bull Environ. Contam. Toxicol. 2013, 90, 165–169. [Google Scholar] [CrossRef]
- Darmody, R.G.; Diaz, D.R. Dredged Sediment: Application as an Agricultural Amendment on Sandy Soils. 2017. Available online: https://www.ideals.illinois.edu/bitstream/handle/2142/97824/TR-066.pdf?sequence=3&isAllowed=y (accessed on 14 May 2021).
- Canet, R.; Chaves, C.; Pomares, F.; Albiach, A. Agricultural use of sediments from the Albufera Lake (eastern Spain). Agric Ecosyst Env. 2003, 95, 29–36. [Google Scholar] [CrossRef]
- Karak, T.; Bhattacharyya, P. Heavy Metal Accumulation in Soil Amended with Roadside Pond Sediment and Uptake by Winter Wheat (Triticum aestivum L. cv. PBW 343). Sci. World J. 2010, 10, 2314–2329. [Google Scholar] [CrossRef] [PubMed]
- Chabchoubi, I.B.; Mtibaa, S.; Ksibi, M.; Hentati, O. Health risk assessment of heavy metals (Cu, Zn, and Mn) in wild oat grown in soils amended with sediment dredged from the Joumine Dam in Bizerte, Tunisia. Euro Mediterr. J. Environ. Integr. 2020, 5, 58–72. [Google Scholar]
- Zhang, H.; Chen, J.; Zhu, L.; Yang, G.; Li, D. Transfer of Cadmium from Soil to Vegetable in the Pearl River Delta area, South China. Plos One 2014, 9, 108572. [Google Scholar] [CrossRef] [PubMed]
- Luo, C.; Liu, C.; Wang, Y.; Liu, X.; Li, F.; Zhang, G.; Li, X. Heavy metal contamination in soils and vegetables near an e-waste processing site, south China. J. Hazard. Mater. 2011, 186, 481–490. [Google Scholar] [CrossRef] [PubMed]
- Sangiumsak, N.; Punrattanasin, P. Adsorption Behavior of Heavy Metals on Various Soils. Pol. J. Env. Stud. 2014, 23, 853–865. [Google Scholar]





| Properties | Unit | Soil | Bottom Sediment | ||
|---|---|---|---|---|---|
| River | Dam | Pond | |||
| Sand * (0.05–2.0 mm) | % | 72 | 90 | 86 | 65 |
| Silt * (0.002–0.05 mm) | 21 | 6 | 10 | 28 | |
| Clay * (<0.002 mm) | 7 | 4 | 4 | 7 | |
| pH | - | 5.21 | 7.62 | 6.60 | 6.37 |
| Corg | g·kg−1 | 7.20 | 2.70 | 4.40 | 15.60 |
| Ntot | 0.70 | 0.30 | 0.40 | 1.40 | |
| Ca | 0.65 | 5.28 | 4.38 | 3.47 | |
| Mg | 0.04 | 1.93 | 1.21 | 0.71 | |
| PER ** | mg·kg−1 | 39.21 | 2.27 | 21.05 | 32.63 |
| KER ** | 72.11 | 230.02 | 350.92 | 2095.43 | |
| Cd | 0.21 | 0.33 | 0.45 | 0.37 | |
| Cu | 2.22 | 1.56 | 3.98 | 7.42 | |
| Zn | 9.44 | 34.73 | 12.51 | 27.45 | |
| Pb | 9.49 | 2.97 | 8.08 | 12.61 | |
| Bottom Sediment | Dose of Bottom Sediment (%) * | Cd | Cu | Zn | Pb |
|---|---|---|---|---|---|
| River | 1 | 0.03 | 0.15 | 3.47 | 0.29 |
| 5 | 0.16 | 0.78 | 17.36 | 1.48 | |
| 10 | 0.33 | 1.56 | 34.73 | 2.97 | |
| 20 | 0.66 | 3.12 | 69.46 | 5.94 | |
| Dam | 1 | 0.04 | 0.39 | 1.25 | 0.81 |
| 5 | 0.22 | 1.99 | 6.25 | 4.04 | |
| 10 | 0.45 | 3.98 | 12.51 | 8.08 | |
| 20 | 0.90 | 7.96 | 25.02 | 16.16 | |
| Pond | 1 | 0.03 | 0.74 | 2.74 | 1.26 |
| 5 | 0.18 | 3.71 | 13.72 | 6.31 | |
| 10 | 0.37 | 7.42 | 27.45 | 12.61 | |
| 20 | 0.74 | 14.84 | 54.90 | 25.22 | |
| Control | - | - | - | - | - |
| Bottom Sediment | Dose of Bottom Sediment (%) | Cd | Cu | Zn | Pb | ||||
|---|---|---|---|---|---|---|---|---|---|
| 2018 | 2019 | 2018 | 2019 | 2018 | 2019 | 2018 | 2019 | ||
| River | 1 | 1.68d | 0.63c | 0.55a | 0.55b | 1.37d | 1.08b | 0.07c | 0.02b |
| 5 | 1.21c | 0.46a | 0.53a | 0.51b | 1.13b | 0.88a | 0.05b | 0.02b | |
| 10 | 0.84b | 0.55b | 0.57b | 0.55b | 1.18c | 0.91a | 0.03a | 0.02b | |
| 20 | 0.40a | 0.51b | 0.51a | 0.37a | 0.73a | 0.84a | 0.03a | 0.01a | |
| mean | 1.03C | 0.54B | 0.54B | 0.50B | 1.10C | 0.93D | 0.04D | 0.02C | |
| Dam | 1 | 1.81c | 0.29b | 0.55c | 0.41b | 0.57c | 0.65c | 0.03c | 0.01a |
| 5 | 0.56b | 0.27a | 0.45b | 0.33a | 0.46a | 0.43b | 0.01a | 0.01a | |
| 10 | 0.31a | 0.25a | 0.43b | 0.41b | 0.54b | 0.44b | 0.02b | 0.01a | |
| 20 | 0.34a | 0.24c | 0.37a | 0.46c | 0.59c | 0.35a | 0.02b | 0.01a | |
| mean | 0.51B | 0.26A | 0.45A | 0.40A | 0.54A | 0.47B | 0.02B | 0.01B | |
| Pond | 1 | 1.23c | 0.36c | 0.58c | 0.62c | 0.78c | 0.91d | 0.02a | 0.01a |
| 5 | 1.06b | 0.30b | 0.52b | 0.32a | 0.68b | 0.53c | 0.03b | 0.02b | |
| 10 | 0.97b | 0.27b | 0.50b | 0.52b | 0.51a | 0.38a | 0.03b | 0.02b | |
| 20 | 0.73a | 0.16a | 0.42a | 0.32a | 0.48a | 0.43b | 0.04c | 0.02b | |
| mean | 0.99D | 0.27A | 0.51B | 0.44A | 0.61B | 0.56C | 0.03C | 0.02C | |
| Control | 0.32A | 0.31A | 0.65C | 0.79C | 0.97C | 0.20A | 0.008A | 0.006A | |
Publisher’s Note: MDPI stays neutral with regard to jurisdictional claims in published maps and institutional affiliations. |
© 2021 by the authors. Licensee MDPI, Basel, Switzerland. This article is an open access article distributed under the terms and conditions of the Creative Commons Attribution (CC BY) license (https://creativecommons.org/licenses/by/4.0/).
Share and Cite
Kazberuk, W.; Szulc, W.; Rutkowska, B. Use Bottom Sediment to Agriculture—Effect on Plant and Heavy Metal Content in Soil. Agronomy 2021, 11, 1077. https://doi.org/10.3390/agronomy11061077
Kazberuk W, Szulc W, Rutkowska B. Use Bottom Sediment to Agriculture—Effect on Plant and Heavy Metal Content in Soil. Agronomy. 2021; 11(6):1077. https://doi.org/10.3390/agronomy11061077
Chicago/Turabian StyleKazberuk, Witold, Wiesław Szulc, and Beata Rutkowska. 2021. "Use Bottom Sediment to Agriculture—Effect on Plant and Heavy Metal Content in Soil" Agronomy 11, no. 6: 1077. https://doi.org/10.3390/agronomy11061077
APA StyleKazberuk, W., Szulc, W., & Rutkowska, B. (2021). Use Bottom Sediment to Agriculture—Effect on Plant and Heavy Metal Content in Soil. Agronomy, 11(6), 1077. https://doi.org/10.3390/agronomy11061077
