Treatment of Pesticide-Contaminated Water Using a Selected Fungal Consortium: Study in a Batch and Packed-Bed Bioreactor
Abstract
1. Introduction
2. Materials and Methods
2.1. Pesticides
2.2. Fungal Strains and Culture Media
2.3. Pesticides Degradation by Fungal Single Strains and Consortium
2.4. Immobilization of Fungal Strains
2.5. Pesticide Degradation by Immobilized Fungal Consortium in Batch Mode
2.6. Pesticide Degradation by Immobilized Fungal Consortium in Continuous Mode
2.7. Biological Activities
2.8. Analyses of Pesticides and Metabolites
2.9. Kinetics and Statistical Analysis
3. Results
3.1. Pesticide Removal by Single Fungi and Consortium
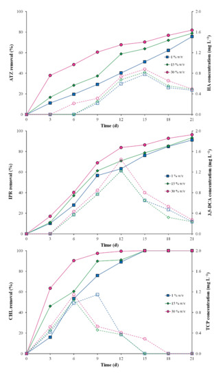
3.2. Pesticide Removal by Immobilized Fungal Consortium
3.3. Pesticide Degradation via the Immobilized Fungal Consortium in a Packed-Bed Bioreactor
4. Discussion
5. Conclusions
Supplementary Materials
Author Contributions
Funding
Institutional Review Board Statement
Informed Consent Statement
Data Availability Statement
Conflicts of Interest
References
- Storck, V.; Karpouzas, D.; Martin-Laurent, F. Towards a better pesticide policy for the European Union. Sci. Total Environ. 2017, 575, 1027–1033. [Google Scholar] [CrossRef] [PubMed]
- Finger, R.; Möhring, N.; Dalhaus, T.; Böcker, T. Revisiting pesticide taxation schemes. Ecol. Econ. 2017, 134, 263–266. [Google Scholar] [CrossRef]
- Morillo, E.; Villaverde, J. Advanced technologies for the remediation of pesticide-contaminated soils. Sci. Total Environ. 2017, 586, 576–597. [Google Scholar] [CrossRef]
- Köck-Schulmeyer, M.; Villagrasa, M.; López, M.; Alda, D.; Céspedes-Sanchez, R.; Ventura, F.; Barceló, D. Occurrence and behavior of pesticides in wastewater treatment plants and their environmental impact. Sci. Total Environ. 2013, 460, 466–476. [Google Scholar] [CrossRef]
- Karas, P.; Perruchon, C.; Karanasios, E.; Papadopoulou, E.; Manthou, E.; Sitra, S.; Ehaliotis, C.; Karpouzas, D. Integrated biodepuration of pesticide-contaminated wastewaters from the fruit-packaging industry using biobeds: Bioaugmentation, risk assessment and optimized management. J. Hazard. Mater. 2016, 320, 635–644. [Google Scholar] [CrossRef] [PubMed]
- Lindemann, S.R.; Bernstein, H.C.; Song, H.S.; Fredrickson, J.K.; Fields, M.W.; Shou, W.; Johnson, D.R.; Beliaev, A.S. Engineering microbial consortia for controllable outputs. ISME J. 2016, 10, 2077–2084. [Google Scholar] [CrossRef]
- Hays, S.G.; Patrick, W.G.; Ziesack, M.; Oxman, N.; Silver, P.A. Better together: Engineering and application of microbial symbioses. Curr. Opin. Biotechnol. 2015, 36, 40–49. [Google Scholar] [CrossRef] [PubMed]
- Hussain, S.; Hartley, C.J.; Shettigar, M.; Pandey, G. Bacterial biodegradation of neonicotinoid pesticides in soil and water systems. FEMS Microbiol. Lett. 2016, 363, 1–20. [Google Scholar] [CrossRef] [PubMed]
- Cycon, M.; Mrozik, A.; Piotrowska-Seget, Z. Bioaugmentation as a strategy for the remediation of pesticide-polluted soil: A review. Chemosphere 2017, 172, 52–71. [Google Scholar] [CrossRef]
- Kumar, S.; Kaushik, G.; Dar, M.; Nimesh, S.; López-Chuken, U.; Villareal-Chiu, J. Microbial degradation of organophosphate pesticides: A Review. Pedosphere 2018, 28, 190–208. [Google Scholar] [CrossRef]
- Kumar, M.; Yadav, A.N.; Saxena, R.; Paul, D.; Tomar, R.S. Biodiversity of pesticides degrading microbial communities and their environmental impact. Biocatal. Agric. Biotechnol. 2021, 31, 101883. [Google Scholar] [CrossRef]
- Briceño, G.; Lamilla, C.; Leiva, B.; Levio, M.; Donoso-Piñol, P.; Schalchli, H.; Gallardo, F.; Diez, M.C. Pesticide-Tolerant bacteria isolated from a biopurification system to remove commonly used pesticides to protect water resources. PLoS ONE 2020, 15, 1–20. [Google Scholar] [CrossRef] [PubMed]
- Góngora-Echeverría, V.R.; Quintal-Franco, C.; Arena-Ortiz, M.L.; Giácoman-Vallejos, G.; Ponce-Caballero, C. Identification of microbial species present in a pesticide dissipation process in biobed systems using typical substrates from southeastern Mexico as a biomixture at a laboratory scale. Sci. Total Environ. 2018, 628–629, 528–538. [Google Scholar] [CrossRef]
- Góngora-Echeverría, V.R.; García-Escalante, R.; Rojas-Herrera, R.; Giácoman-Vallejos, G.; Ponce-Caballero, C. Pesticide bioremediation in liquid media using a microbial consortium and bacteria-pure strains isolated from a biomixture used in agricultural areas. Ecotoxicol. Environ. Saf. 2020, 200, 110734. [Google Scholar] [CrossRef]
- Pinto, A.; Serrano, C.; Pires, T.; Mestrinho, E.; Dias, L.; Teixeira, D.; Caldeira, A. Degradation of terbuthylazine, difenoconazole and pendimethalin pesticides by selected fungi cultures. Sci. Total Environ. 2012, 435–436, 402–410. [Google Scholar] [CrossRef] [PubMed]
- Grandclément, C.; Seyssiecq, I.; Piram, A.; Wong-Wah-Chung, P.; Vanot, G.; Tiliacos, N.; Roche, N.; Doumenq, P. From the conventional biological wastewater treatment to hybrid processes, the evaluation of organic micropollutant removal: A review. Water Res. 2017, 111, 297–317. [Google Scholar] [CrossRef]
- Saleh, I.A.; Zouari, N.; Al-Ghouti, M.A. Removal of pesticides from water and wastewater: Chemical, physical and biological treatment approaches. Environ. Technol. Innov. 2020, 19, 101026. [Google Scholar] [CrossRef]
- Tekere, M.; Ncube, I.; Read, J.S.; Zvauya, R. Biodegradation of the organochlorine pesticide, lindane by a sub-tropical white rot fungus in batch and packed bed bioreactor systems. Environ. Technol. 2002, 23, 199–206. [Google Scholar] [CrossRef]
- Geed, S.R.; Shrirame, B.S.; Singh, R.S.; Rai, B.N. Assessment of pesticides removal using two-stage integrated aerobic treatment plant (IATP) by Bacillus sp. isolated from agricultural field. Bioresour. Technol. 2017, 242, 45–54. [Google Scholar] [CrossRef]
- Diez, M.C.; Leiva, B.; Gallardo, F. Novel insights in biopurification system for dissipation of a pesticide mixture in repeated applications. Environ. Sci. Pollut. Res. 2018, 25, 21440–21450. [Google Scholar] [CrossRef] [PubMed]
- Levio-Raiman, M.; Schalchli, H.; Briceño, G.; Bornhardt, C.; Tortella, G.; Rubilar, O.; Cristina Diez, M. Performance of an optimized fixed-bed column packed with an organic biomixture to remove atrazine from aqueous solution. Environ. Technol. Innov. 2021, 21, 101263. [Google Scholar] [CrossRef]
- De Jong, E.; Field, J.A.; de Bont, J.A.M. Aryl alcohols in the physiology of ligninolytic fungi. FEMS Microbiol. Rev. 1994, 13, 153–187. [Google Scholar] [CrossRef]
- Ahmadi, M.; Jorfi, S.; Kujlu, R.; Ghafari, S.; Darvishi Cheshmeh Soltani, R.; Jaafarzadeh Haghighifard, N. A novel salt-tolerant bacterial consortium for biodegradation of saline and recalcitrant petrochemical wastewater. J. Environ. Manag. 2017, 191, 198–208. [Google Scholar] [CrossRef]
- Espinosa-Ortiz, E.J.; Rene, E.R.; Pakshirajan, K.; van Hullebusch, E.D.; Lens, P.N.L. Fungal pelleted reactors in wastewater treatment: Applications and perspectives. Chem. Eng. J. 2016, 283, 553–571. [Google Scholar] [CrossRef]
- Maqbool, Z.; Hussain, S.; Imran, M.; Mahmood, F.; Shahzad, T.; Ahmed, Z.; Azeem, F.; Muzammil, S. Perspectives of using fungi as bioresource for bioremediation of pesticides in the environment: A critical review. Environ. Sci. Pollut. Res. 2016, 23, 16904–16925. [Google Scholar] [CrossRef] [PubMed]
- Briceño, G.; Fuentes, M.S.; Palma, G.; Jorquera, M.A.; Amoroso, M.J.; Diez, M.C. Chlorpyrifos biodegradation and 3,5,6-trichloro-2-pyridinol production by actinobacteria isolated from soil. Int. Biodeterior. Biodegrad. 2012, 73, 1–7. [Google Scholar] [CrossRef]
- Fang, H.; Qin Xiang, Y.; Jie Hao, Y.; Qiang Chu, X.; Dong Pan, X.; Quan Yu, J.; Long Yu, Y. Fungal degradation of chlorpyrifos by Verticillium sp. DSP in pure cultures and its use in bioremediation of contaminated soil and pakchoi. Int. Biodeterior. Biodegrad. 2008, 61, 294–303. [Google Scholar] [CrossRef]
- Erguven, G.O.; Bayhan, H.; Ikizoglu, B.; Kanat, G.; Nuhoglu, Y. The capacity of some newly bacteria and fungi for biodegradation of herbicide trifluralin under agiated culture media. Cell. Mol. Biol. 2016, 62, 74–79. [Google Scholar]
- Chen, S.; Liu, C.; Peng, C.; Liu, H.; Hu, M.; Zhong, G. Biodegradation of chlorpyrifos and its hydrolysis product 3,5,6-trichloro-2-pyridinol by a new fungal strain Cladosporium cladosporioides Hu-01. PLoS ONE 2012, 7, e0047205. [Google Scholar] [CrossRef] [PubMed]
- Diez, M.C. Biological aspects involved in the degradation of organic pollutants. J. Soil Sci. Plant. Nutr. 2010, 10, 244–267. [Google Scholar] [CrossRef]
- Sarker, A.; Lee, S.H.; Kwak, S.Y.; Nandi, R.; Kim, J.E. Comparative catalytic degradation of a metabolite 3,5-dichloroaniline derived from dicarboximide fungicide by laccase and MnO2 mediators. Ecotoxicol. Environ. Saf. 2020, 196, 110561. [Google Scholar] [CrossRef] [PubMed]
- Luo, Y.; Guo, W.; Hao, H.; Duc, L.; Ibney, F.; Kang, J.; Xia, S.; Zhang, Z.; Evan, W. Removal and fate of micropollutants in a sponge-based moving bed bioreactor. Bioresour. Technol. 2014, 159, 311–319. [Google Scholar] [CrossRef]
- Yadav, M.; Srivastva, N.; Singh, R.S.; Upadhyay, S.N.; Dubey, S.K. Biodegradation of chlorpyrifos by Pseudomonas sp. in a continuous packed bed bioreactor. Bioresour. Technol. 2014, 165, 265–269. [Google Scholar] [CrossRef] [PubMed]
- Silveira, S.; Martins, C.; Guedes, L.; Santaella, S.T. Immobilization of microbial cells: A promising tool for treatment of toxic pollutants in industrial wastewater. Afr. J. Biotechnol. 2013, 12, 4412–4418. [Google Scholar]
- Pradeep, V.; Malavalli, U. Use of Ca-alginate immobilized Pseudomonas aeruginosa for repeated batch and continuous degradation of endosulfan. 3 Biotech. 2016, 6, 124. [Google Scholar] [CrossRef] [PubMed]
- Schoebitz, M.; López, M.D.; Roldán, A. Bioencapsulation of microbial inoculants for better soil-plant fertilization. A review. Agron. Sustain. Dev. 2013, 33, 751–765. [Google Scholar] [CrossRef]
- Briceño, G.; Fuentes, M.S.; Rubilar, O.; Jorquera, M.; Tortella, G.; Palma, G.; Amoroso, M.J.; Diez, M.C. Removal of the insecticide diazinon from liquid media by free and immobilized Streptomyces sp. isolated from agricultural soil. J. Basic Microbiol. 2015, 55, 293–302. [Google Scholar] [CrossRef]
- Briceño, G.; Levio, M.; González, M.E.; Saez, J.M.; Palma, G.; Schalchli, H.; Diez, M.C. Performance of a continuous stirred tank bioreactor employing an immobilized actinobacteria mixed culture for the removal of organophosphorus pesticides. 3 Biotech. 2020, 10, 1–11. [Google Scholar] [CrossRef]
- Yadav, M.; Srivastva, N.; Shukla, A.K.; Singh, R.S.; Upadhyay, S.N.; Dubey, S.K. Efficacy of Aspergillus sp. for degradation of chlorpyrifos in batch and continuous aerated packed bed bioreactors. Appl. Biochem. Biotechnol. 2015, 175, 16–24. [Google Scholar] [CrossRef]
- Macías-Flores, A.; Tafoya-Garnica, A.; Ruiz-Ordaz, N.; Salmerón-Alcocer, A.; Juárez-Ramírez, C.; Ahuatzi-Chacón, D.; Mondragón-Parada, M.E.; Galíndez-Mayer, J. Atrazine biodegradation by a bacterial community immobilized in two types of packed-bed biofilm reactors. World J. Microbiol. Biotechnol. 2009, 25, 2195–2204. [Google Scholar] [CrossRef]







| Characteristics | ATZ | IPR | CHL |
|---|---|---|---|
| Chemical class | Triazine | Dicarboximide | Organophosphate |
| Molecular formula | C8H14ClN5 | C9H11Cl3NO3PS | C13H13Cl2N3O3 |
| Type | Herbicide | Fungicide | Insecticide |
| Water solubility (mg L−1) | 35 | 6.80 | 1.05 |
| Molecular weight (g mol−1) | 215 | 330 | 350 |
| T1/2 (d) in soils | 75 | 36 | 50 |
| GUS | 3.3 | 2.7 | 0.17 |
| Kow (Log P) | 2.7 | 3.0 | 4.7 |
| Koc | 100 | 700 | 8100 |
| H5 | H12 | Microbial Consortium | ||||||||
|---|---|---|---|---|---|---|---|---|---|---|
| Pesticide | Concentration (mg L−1) | K (d−1) | T1/2 (d) | R2 | K (d−1) | T1/2 (d) | R2 | K (d−1) | T1/2 (d) | R2 |
| ATZ | 10 | 0.059 ± 0.001 | 11.77 ± 1.50 b | 0.98 | 0.031 ± 0.001 | 22.36 ± 1.43 a | 0.98 | 0.128 ± 0.001 | 5.44 ± 0.43 c | 0.97 |
| 20 | 0.051 ± 0.002 | 13.67 ± 1.20 b | 0.98 | 0.027 ± 0.000 | 25.77 ± 1.09 a | 0.96 | 0.076 ± 0.001 | 9.12 ± 0.56 c | 0.99 | |
| 50 | 0.049 ± 0.001 | 14.29 ± 0.90 b | 0.99 | 0.040 ± 0.000 | 17.29 ± 0.33 a | 0.98 | 0.076 ± 0.001 | 9.18 ± 0.87 c | 0.96 | |
| IPR | 10 | 0.089 ± 0.001 | 7.83 ± 0.30 b | 0.98 | 0.062 ± 0.001 | 11.14 ± 0.23 a | 0.96 | 0.171 ± 0.002 | 4.05 ± 0.53 c | 0.97 |
| 20 | 0.052 ± 0.001 | 13.36 ± 0.90 a | 0.98 | 0.047 ± 0.001 | 14.72 ± 0.54 a | 0.95 | 0.189 ± 0.002 | 3.68 ± 0.64 b | 0.97 | |
| 50 | 0.099 ± 0.000 | 7.04 ± 0.14 a | 0.98 | 0.080 ± 0.001 | 8.64 ± 0.11 a | 0.97 | 0.119 ± 0.001 | 5.84 ± 0.32 b | 0.97 | |
| CHL | 10 | 0.151 ± 0.001 | 4.58 ± 0.55 a | 0.98 | 0.218 ± 0.001 | 3.18 ± 0.32 b | 0.98 | 0.264 ± 0.001 | 2.62 ± 0.10 b | 0.99 |
| 20 | 0.163 ± 0.001 | 4.26 ± 0.58 a | 0.98 | 0.189 ± 0.002 | 3.67 ± 0.44 a | 0.95 | 0.235 ± 0.001 | 2.94 ± 0.23 b | 0.97 | |
| 50 | 0.137 ± 0.002 | 5.05 ± 0.45 a | 0.99 | 0.195 ± 0.000 | 3.56 ± 0.21 b | 0.95 | 0.258 ± 0.001 | 2.69 ± 0.19 c | 0.97 | |
| ATZ | IPR | CHL | |||||||
|---|---|---|---|---|---|---|---|---|---|
| Inoculum Concentrtion (w/v) | K (d−1) | T1/2 (d) | R2 | K (d−1) | T1/2 (d) | R2 | K (d−1) | T1/2 (d) | R2 |
| 1 | 0.054 ± 0.002 | 13.19 ± 0.98 a | 0.97 | 0.107 ± 0.008 | 6.48 ± 0.45 a | 0.97 | 0.189 ± 0.023 | 3.67 ± 0.43 a | 0.96 |
| 15 | 0.075 ± 0.005 | 9.29 ± 0.66 b | 0.98 | 0.119 ± 0.010 | 5.79 ± 0.33 b | 0.99 | 0.199 ± 0.011 | 3.50 ± 0.32 a | 0.98 |
| 30 | 0.076 ± 0.001 | 9.18 ± 0.11 b | 0.98 | 0.161 ± 0.004 | 4.32 ± 0.12 c | 0.98 | 0.442 ± 0.020 | 1.57 ± 0.12 b | 0.99 |
Publisher’s Note: MDPI stays neutral with regard to jurisdictional claims in published maps and institutional affiliations. |
© 2021 by the authors. Licensee MDPI, Basel, Switzerland. This article is an open access article distributed under the terms and conditions of the Creative Commons Attribution (CC BY) license (http://creativecommons.org/licenses/by/4.0/).
Share and Cite
Levio-Raiman, M.; Briceño, G.; Leiva, B.; López, S.; Schalchli, H.; Lamilla, C.; Bornhardt, C.; Diez, M.C. Treatment of Pesticide-Contaminated Water Using a Selected Fungal Consortium: Study in a Batch and Packed-Bed Bioreactor. Agronomy 2021, 11, 743. https://doi.org/10.3390/agronomy11040743
Levio-Raiman M, Briceño G, Leiva B, López S, Schalchli H, Lamilla C, Bornhardt C, Diez MC. Treatment of Pesticide-Contaminated Water Using a Selected Fungal Consortium: Study in a Batch and Packed-Bed Bioreactor. Agronomy. 2021; 11(4):743. https://doi.org/10.3390/agronomy11040743
Chicago/Turabian StyleLevio-Raiman, Marcela, Gabriela Briceño, Bárbara Leiva, Sebastián López, Heidi Schalchli, Claudio Lamilla, Cristian Bornhardt, and M. Cristina Diez. 2021. "Treatment of Pesticide-Contaminated Water Using a Selected Fungal Consortium: Study in a Batch and Packed-Bed Bioreactor" Agronomy 11, no. 4: 743. https://doi.org/10.3390/agronomy11040743
APA StyleLevio-Raiman, M., Briceño, G., Leiva, B., López, S., Schalchli, H., Lamilla, C., Bornhardt, C., & Diez, M. C. (2021). Treatment of Pesticide-Contaminated Water Using a Selected Fungal Consortium: Study in a Batch and Packed-Bed Bioreactor. Agronomy, 11(4), 743. https://doi.org/10.3390/agronomy11040743

