Next Article in Journal
Biochar Promotes Nitrogen Transformation and Tomato Yield by Regulating Nitrogen-Related Microorganisms in Tomato Cultivation Soil
Previous Article in Journal
Nitrogen, Phosphorus, and Potassium Adsorption and Desorption Improvement and Soil Buffering Capacity Using Clinoptilolite Zeolite
 
 
Font Type:
Arial Georgia Verdana
Font Size:
Aa Aa Aa
Line Spacing:
Column Width:
Background:
Article

Biostimulant Activity of Azotobacter chroococcum and Trichoderma harzianum in Durum Wheat under Water and Nitrogen Deficiency

1
Department of Agricultural Sciences, University of Naples Federico II, Via Università 100, 80055 Portici, Italy
2
Department of Pharmacy, University of Naples Federico II, 80131 Naples, Italy
3
Task Force on Microbiome Studies, University of Naples Federico II, 80131 Naples, Italy
*
Author to whom correspondence should be addressed.
These authors have equally contributed to the manuscript.
Agronomy 2021, 11(2), 380; https://doi.org/10.3390/agronomy11020380
Submission received: 18 January 2021 / Revised: 12 February 2021 / Accepted: 15 February 2021 / Published: 20 February 2021

Abstract

Biostimulants hold great potential for developing integrated sustainable agriculture systems. The rhizobacteria Azotobacter chroococcum strain 76A and the fungus Trichoderma harzianum strain T22, with demonstrated biostimulant activity in previous systems, were evaluated in Triticum durum cv Creso for their ability to enhance growth and tolerance to drought stress. Growth and drought tolerance were evaluated in conditions of low and high soil nitrogen, with two levels of water stress. T. harzianum increased plant growth (+16%) under control conditions and tolerance to moderate drought stress (+52%) under optimal fertilization, while A. chroococcum conferred a growth penalty (−28%) in well-watered conditions under suboptimal fertilization and increased tolerance only under extreme drought stress (+15%). This growth penalty was ameliorated by nitrogen fertilization. T. harzianum abundance was found to be positively correlated to extreme soil drying, whereas A. chroococcum-induced tolerance was dependent on soil nitrogen availability. These results indicate that while biostimulants may enhance growth and stress tolerance, nutrient availability soil and environmental conditions heavily influence these responses. These interactions should be considered when designing biostimulant products targeted to specific cultural conditions.

1. Introduction

Competition for fresh water between urban, industrial and agriculture uses is constantly increasing due to population growth and climate change [1,2]. In agriculture, water shortage and extreme drought events are considered amongst the most critical environmental stresses causing yield loss [3,4,5]. Plants affected by drought stress initiate metabolic, physiological and morphological changes, which are necessary for stress adaptation [6,7,8,9,10,11]. Among the many strategies that have been developed to protect agricultural crops from drought stress, the use of molecules and compounds with biostimulant action is gaining an increasing interest since these products can aid the plant to partially counteract the negative effects of drought and other abiotic stresses [12]. Biostimulants are a loosely defined category grouped together more by applications than their inherent properties. In general, they can be classified in different groups: seaweed extracts [13,14], protein hydrolysates [15], humic and fulvic acids [16], silicon [17], chitosan [18], phosphites [19], arbuscular mycorrhizal fungi (AMF) [20], Trichoderma strains [21,22] and plant growth-promoting rhizobacteria (PGPR) [23]. Bacteria and fungi present in the rhizosphere may have a pivotal role as biostimulants to enhance plant stress resistance [24,25,26,27,28]. Plants living in symbiosis with mycorrhizal fungi appear to have the ability to absorb more water from the soil, possibly because the hyphae of the fungi permit greater access to water-filled pores in the soil than root hairs, thus making this resource available to the plant [24,29]. Many soil microbes, such as rhizobacteria and the fungus Trichoderma in the plant rhizosphere, are capable of acting as symbionts producing positive effects to the plant, including enhancement of seed germination; plant and root growth promotion; plant defense responses (induced systemic resistance (ISR) or systemic acquired resistance (SAR) to phytopathogen attack; production of effectors (i.e., enzymes, proteins, secondary metabolites). These beneficial effects are useful for growth and survival; solubilization, nutrient availability and assimilation; as well as increased resistance to abiotic stresses due to water, salinity or temperature limitations or extremes [30,31,32,33,34,35,36,37,38]. Numerous studies have been conducted on Trichoderma harzianum and the beneficial effects on drought stress tolerance on important crops such as rice [39], tomato [40,41] and wheat [42] have been documented.
Another relevant class of biostimulants is represented by PGPR, belonging to various genera, such as Bacillus, Pseudomonas, Azospirillum, Azotobacter, Alcaligens, Arthobacter, Agrobacterium and Rhizobium [23,43]. They can stimulate plant growth in direct or indirect modes. For example, they can produce hormones such as auxins, ABA, cytokinins and volatile chemical compounds that positively affect plant growth. They have also been shown to facilitate plant nutrient uptake [23]. PGPR can help plants to reduce the effects of abiotic stress. Numerous studies have demonstrated the efficacy of Rhizobium in augmenting tolerance against abiotic stress in plants [44]. Other bacteria can alleviate salt stress by producing high levels of auxin [43,45]. Furthermore, PGPR may also produce exopolysaccharides (EPS) [46] that form a film around the roots helping plants to maintain hydration and to re-establish a favorable water potential gradient under water limitations. These functions have been verified under saline stress [47], extreme temperatures, pH and drought [44,48]. In addition, many Trichoderma species also have PGPR-similar effects on the plant, acting as biostimulants on plant growth and enhancers of resistance to various abiotic stress [21,22,32].
Considering that different biostimulants and/or class of biostimulants may provide stress protection via diverse mechanisms of action [13,49], combination of two or more biostimulants is likely to enhance their protective action [50,51]. However, a complete understanding of additive and/or synergistic effects of multiple biostimulants is still lacking. As a preliminary step for designing functional combinations of biostimulants that can help crops to cope with environmental stresses, in this work we inoculated Triticum durum cv. Creso with T. harzianum strain T22 or Azotobacter chroococcum strain 76A to understand whether and how the application of these two biostimulants could be beneficial when applied on wheat exposed to drought and/or N deficiency.

2. Materials and Methods

2.1. Growing Conditions and Experimental Design

The experiment was carried out in greenhouse at the experimental station of the University of Naples Federico II, Southern Italy (lat. 43°31′ N, long. 14°58′ E; alt. 60 m above sea level). Triticum durum cv. Creso seeds were germinated in peat and were transplanted into 54 plastic pots (50 cm Ø) with a substrate volume of 0.03 m3 containing pure peat moss (100%) with the following characteristics: pH in water 6.0; 140 g l−1 total N; 43.7 mg L−1 available P; 157.7 mg L−1 K; organic substance was 70% of dry mass; 0.35 dS m−1 EC; apparent density 130 kg m−3 and total porosity of 90 (% v/v). Six plants per pot were transplanted to obtain a final density of 60 plants m−2. After transplantation, half of the pots was not fertilized with N while the other half was fertilized with N (27 pots nitrogen treatment) by adding to the soil 100 units ha−1 ammonium nitrate equivalent to 27% of total N (13.5% nitric N and 13.5% ammoniacal N). Plants were drip irrigated, with one dripper per plant. The system was fed by electric immersion pumps and irrigation was automatized thanks to a timer. In order to impose water stress, plants were irrigated with 50% (moderate stress) and 25% (severe stress) of the optimal water supply (100%), as estimated by evapotranspiration calculation [52].

2.2. Bacterial and Fungal Inoculum

The strain A. chroococcum 76A, previously selected for its multiple plant growth promotion activities as well as antimicrobial activity and tolerance to salt and drought stress [53,54] was used. Inoculum preparation was performed according to Van Oosten et al. [43]. The inoculum was applied mixed to quartz sand to reach a microbial concentration of approximately 1 × 106 CFU g−1 and applied as previously described [43].
The fungal inoculum consisted of the commercial product (Trianum-P, Koppert B.V., Rotterdam, The Netherlands) containing T. harzianum strain T22/KRL AG2 (hereby T22), prepared to a final concentration in water of 1 × 107 spores/mL.
Each liquid microbial inoculum was applied separately, by watering to three pots for each nitrogen × watering treatment (total six combinations), conducted in two replicates. The first inoculation was conducted at the time of transplant using a volume of 250 mL per pot for T. harzianum T22 and 500 mL per pot for A. chroococcum 76A. A second application was conducted one month later using a volume of 500 mL of each microbial inoculum. The water treatment was used as negative microbial control for all nitrogen-water stress conditions.
At the end of the experiment, rhizosphere samples were collected according to Romano et al. [55]. Microbiological analysis, using standard protocols [43,56], was conducted to determine the number of colony forming units (CFU), on generic or differential substrates, as Rose Bengal Agar and LG agar medium [57] for T. harzianum and A. chroococcum, respectively. The fungal colonies were identified by observing the morphological structures during sporulation under a light optical microscope (Zeiss, Axio scope, Milan, Italy).

2.3. Physiological and Biometric Measurements

The following physiological parameters were measured: net photosynthesis, stomatal conductance, leaf water potential (Ψleaf) and SPAD index. The net photosynthesis was determined with an infrared gas analyzer (HCM-1000, Walz, Effeltrich, Germany) at saturating photosynthetically active radiation (PAR) of 800 μmol m−2 s−1 at 20 °C and 65% relative air humidity on young fully expanded leaves [13]. The stomatal conductance was measured on young fully expanded leaves with an AP4 leaf porometer (Delta-T Devices, Cambridge, UK). Ψleaf was evaluated using a dewpoint psychrometer (WP4, Decagon Devices, Pullman, Washington, DC, USA) [13]. The SPAD index was measured with a MINOLTA chlorophyll meter (SPAD 502-Plus). At the end of the experiment (150 days after sowing), five plants per pot were separated into leaves, stems, roots and spikes, for fresh biomass determination. Tissues were then dried to constant weight in a forced-air oven at 80 °C for 72 h for the dry biomass determination. The final plant height, the number of leaves, stems and spikes were also recorded.

2.4. Mineral Analysis

Mineral composition was determined as previously reported in Cirillo et al. [58] on dried, finely ground samples of leaves and roots. Anions and cations were extracted in Milli-Q water (Merck Millipore, Darmstadt, Germany) in a thermostatic bath at 80 °C for 10 min (ShakeTemp SW22, Julabo, Seelbach, Germany). After centrifugation at 6000 rpm for 10 min, the supernatant was filtered (0.2 µm) and analyzed by ion chromatography with suppressed conductivity detection using a Dionex ICS-3000 system (Sunnyvale, CA, USA). Cations analysis was carried out with isocratic method (20 mM; flow rate 1 mL min−1) using an IonPac CS12A column with a CG12A guard column and methanesulfonic acid as eluent. Anions analysis was performed with KOH gradient (1 mM–50 mM; flow rate 1.5 mL min−1) using an IonPac AS11HC column with an AG11HC guard column. The results are expressed as g kg−1 dry matter (d.m.).

2.5. Gene Expression Analysis

Gene expression was performed via quantitative RT-PCR (qRT-PCR) on leaf tissue at Feekes Stage 7, before the flag leaf development. Leaves from the same treatment were mixed and three replications per bulk were obtained separately from the pool were analyzed. Each replicate was a pool of four plants. Total RNA extraction was performed by using TRIZOL Reagent (Life Technologies, Carlsbad, CA, USA). RNA was quantified by NanoDropND-1000 Spectrophotometer (NanoDropTechnologies). RNA integrity was verified by gel electrophoresis in denaturing conditions (1X MOPS and formaldehyde 2%). One µg of RNA was used as template to obtain cDNA using a QuantiTect Reverse Transcription kit (Qiagen). Synthesis of cDNA and subsequent amplification by qRT-PCR was performed as detailed in Van Oosten et al. [43]. Primers were designed based on the T. aestivum gene sequences present in the National Center for Biotechnology Information (NCBI) databases and reported in Table S1. The 26S ribosomal gene was used as endogenous reference for the normalization of the expression levels of the target genes.

2.6. Proline Content Measurement

Proline content was measured from leaf tissues at Feekes Stage 7. Two technical replicates were used for three plants per treatment. Proline quantification was performed using the method described by Claussen et al. [59], using 250 mg of powdered fresh tissue. Samples were suspended in three ml of 3% sulfosalicylic acid and filtered through a layer of glass-fiber filter (Ø 55 mm, Macherey-Nagel, Düren, Germany). One ml of glacial acetic acid and one ml of ninhydrin reagent (2.5 g ninhydrin/100 mL of a 6:3:1 solution of glacial acetic acid, distilled water and 85% ortho-phosphoric acid) were added to one ml of filtered sample. Mixtures were boiled for one hour at 100 °C in a water bath. Samples were then incubated for five minutes at room temperature and one ml of each sample was immediately read at spectrophotometer at a wavelength of 546 nm. The proline concentration was determined by comparison with a standard curve.

2.7. Statistical Analysis

Data were analyzed by three-way analysis of variance (ANOVA) by the software SPSS 21 (IBM, Armonk, NY, USA), with the interaction between treatment (inoculum with T22 or 76A), irrigation treatment (25%, 50% and 100%) and fertilization level (with or without nitrogen). Duncan’s multiple range comparison tests were used to determine differences between means (p ≤ 0.05) unless otherwise noted.

3. Results

3.1. Microbial Counts, Plant Growth and Yield

At the end of the cultivation cycle, a significant increase of diazotrophic bacterial growth in the rhizosphere of 76A inoculated wheat plants was observed in all conditions, with microbial concentrations reaching values of 7.34–7.56 Log CFU g−1 regardless of the drought stress and/or fertilization applied. With respect to fungal abundance, a clear inverse relation was found between hydric regime and the presence of fungi in the root zone in both control and inoculated plants (with lowest fungal CFU at 100% water, regardless the presence/absence of N fertilization), which could be possibly associated to increasing anoxia at water saturating conditions and/or water-induced stimulation of antagonistic microbes or compounds released in the soil community that inhibited fungal populations. The highest fungal CFU values were obtained at 25% water stress, in both the N-unfertilized (9.3 × 105 g/soil) and N-fertilized (19.3 × 105 CFU/g soil) conditions. Biostimulant treatment, nitrogen and water availability all affected plant growth and yield, with significant interactions among different factors (Table S2). A 50% reduction of the water regime caused 28% and 19% decrease of the average shoot and root dry weights, respectively (Figure 1A–D).
A further decrease occurred when the irrigation water was 25% of the control regime (−49% and −57% in shoots and roots vs. control plants, respectively). However, at 50% water, soil dehydration did not affect T22-treated plants in terms of shoot dry weight, which was 61% higher than control plants (Figure 1A). The T22 shoot dry weight was significantly higher (+24%) than control plants also at full soil hydration (100%) indicating that T22 may have functioned as general growth enhancer rather than specific stress protectant. A similar pattern was observed for stems number and spike fresh weight (FW), with an average reduction of −26% and −34% for stems FW and spike FW at 50%, and of −45% and −49% at 25% water, respectively, and +57% for stems number and +50% for spike FW for T22-treated plants vs. control at 50% water regime (Figure 1B,C). T22-treated plants had the highest shoot dry weight (DW) under standard and reduced N (+28% and +33% vs. control plants respectively) (Figure 2A).
With the exception of 76A-treated plants, which had a 38% lower root DW vs. control plants under no nitrogen, this parameter did not seem as affected by N as the shoot (Figure 2B). With respect to shoot fresh weight, there was a significant biostimulant × water × nitrogen interaction, which confirmed best performance of both T22 (at 100% and 50% water) and 76A (only at 100% water) under optimal N fertilization and the best performance of T22 (at 100% and 50% water) under suboptimal N (Figure 3).

3.2. Physiological Responses to Combined N and Water Stress

Ψleaf was around −2 MPa for all plants grown at 100% and 50% water treatment, whereas it was significantly reduced at 25% (Figure 4A).
At the most extreme water stress (25%), 76A-treated plants were less affected (−2.58 MPa) than control and T22-treated plants (−3.64 MPa and −3.27 MPa, respectively). The stomatal conductance was consistent with Ψleaf values (Figure 5). The stomatal conductance was higher in T22 and 76A relative to control plants at full irrigation regime under suboptimal fertilization (+21% and +55%, respectively), while only T22 performed better than the control under optimal fertilization (+52%).
However, this did not alter the Ψleaf since plant had no water restrictions to transpiration. At moderate water shortage (50%) the reduced stomatal conductance still allowed the control of leaf hydration in all plants with no reduction in Ψleaf; in contrast, although advanced water shortage (25%) further reduced stomatal conductance, this was not sufficient to maintain high Ψleaf. Interestingly, the slightly higher stomatal conductance of 76A vs. control and T22-treated plants under water shortage may explain the highest Ψleaf of those plants, suggesting that under extreme conditions 76A may have beneficial effects on plants.

3.3. Leaf and Root Ion Content

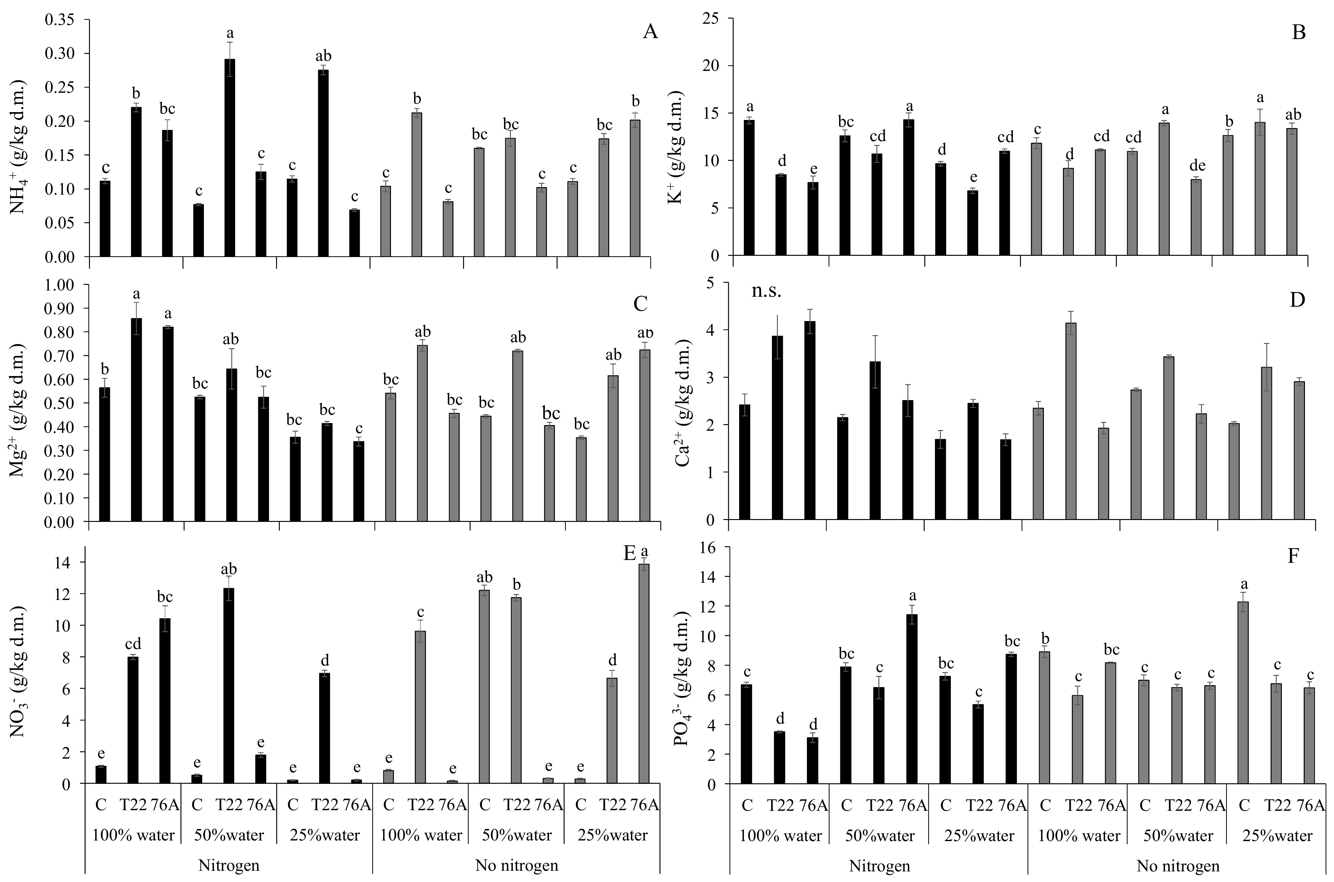
The effects of T22 and 76A under varying nitrogen and water levels on leaf and root ion accumulations were measured (Tables S3 and S4). Leaf ammonium content under optimal nutritional regime at 100% and 50% water treatments was similar for controls (average of 0.12 g kg−1 d.m.) and plants treated with the two biostimulants (average of 0.15 and 0.12 g kg−1 d.m. for T22 and 76A, respectively) (Figure 6A).
At extreme drought (25%), leaf NH4+ content moderately increased in T22 with highest values in 76A-treated plants (0.24 g kg−1 d.m.). Under limited nitrogen, leaf NH4+ contents were reduced in T22-treated plants (−27%), whereas were still high in 76A-treated plants at 50% water regime. Under optimal nitrogen regime, leaf NO3- decreased in T22 and 76A at 100% (−64% and −33%) and 50% (−26% and −20%) water treatments. At advanced water shortage (25%), it significantly increased in 76A (4.5-fold changes) plants and it was maintained still high under reduced nitrogen and water availability (Figure 6E). The patterns of K+ and PO43− accumulation in leaves did not show any remarkable trend with a minor yet general decay of these ions in T22 and 76A vs. control plants and a significant increase of PO43− concentration in 76A-treated plants at moderate stress under reduced nitrogen (Figure 6B–F), confirming that the 76A treatment may have somehow facilitate nutrients acquisition under these conditions. In roots, NH4+ contents were 18% and 8% higher in T22 and 76A-treated plants under optimal nitrogen and water regimes and were always higher in T22 treatments under optimal and suboptimal nitrogen (Figure 7A).
Under extreme conditions (low N and 50% water), highest accumulation on NH4+ was observed in 76A-treated plants (Figure 7A). The root NO3- content was 7.26 and 9.5 times higher in T22 and 76A-treated plants respectively under optimal water and nutritional regimes (Figure 7E). Highest NO3- contents across treatments were observed in T22-treated plants under optimal fertilization and 50% water and 76A-treated plants under extreme drought and reduced N (Figure 7E). The patterns of K+ and PO43- accumulation mirrored those observed in leaves with no major effects of the imposed treatments (Figure 7B–F).

3.4. Gene Expression

Three genes known to be involved in the response of wheat to abiotic stress were chosen to study their expression in interaction with beneficial microorganisms and nitrogen fertilization during drought stress. Furthermore, four genes involved in nitrate uptake and assimilation of wheat where selected to determine the effects of treatments on nitrogen uptake. Gene expression was evaluated in watered control (100% of needs) and in severe drought stress conditions (25% of needs). The transcription factor LEA2 gene (Late Embryogenesis Abundant) is known to be highly induced by drought stress. Under standard N fertilization, LEA2 expression was low in well-watered control plants with a slightly higher level of expression in 76A-inoculated plants (Figure 8A). Under severe water stress (25%), LEA2 expression increased in all treatments and in particular in 76A-treated plants which showed a 2-fold induction vs. control plants. LEA2 expression under reduced N mirrored the pattern observed under standard N, with the exception of 76A-treated plants in which the expression of this gene was similar to control plants and 2.44-fold higher than in T22-treated plants (Figure 8A).
The ABA 8′Hydroxylase (ABAH8) is the first committed step of ABA catabolism. In high N, plants inoculated with T22 and 76A had higher levels of expression over controls in the well-watered conditions (Figure 8B). Under severe water stress, no significant changes were observed for T22, whereas a 2-fold increase and 2-fold decrease were observed for control and 76A-treated plants, respectively. In low N conditions, the expression pattern of ABAH8 was very similar among treatments with a moderate down-regulation in 76A-treated plants in which, under severe water stress ABAH8 expression was halved compared to control plants. The effect on nitrogen uptake was also evaluated. The expression level was verified for genes involved in nitrate assimilation, NR (nitrate reductase) and NiR (nitrite reductase) and nitrate uptake (NRT2.1). When plants were grown under optimal N, both microorganisms induced an 8-fold increase of plant NR expression under optimal irrigation regimes. Under the same N conditions, a 2-fold downregulation of NR expression in response to water stress was observed in both T22 and 76A-treated plants (Figure 8C). Nitrogen starvation induced NR expression only in T22-treated plants under regular irrigation (2-fold increase vs. control) and induced a 2- to 3-fold downregulation under severe stress in T22 and 76A, respectively. NiR expression was similar among biostimulant treatments in plants grown under optimal N and water supply and it was equally and moderately downregulated in response to water shortage (Figure 8D). In contrast, in response to N starvation, NiR expression was downregulated in 76A at optimal water regime (2-fold vs. control) and upregulated in both T22 and 76A under water limitation (5-fold and 6-fold vs. control plants, respectively) (Figure 8D). With standard fertilization, NRT2.1 gene expression was moderately induced under optimal watering and it was generally downregulated in plants subjected to severe stress. Under reduced N, in 76A-treated plants the expression level of NRT2.1 was halved compared to the control plants with no change vs. control in T22 (Figure 8E). Remarkably, severe stress downregulated NRT2.1 expression by 3-fold in control plants while upregulated it significantly in both T22 and 76A-treated plants, with a 16-fold increase in the latter vs. control plants (Figure 8E).

3.5. Proline Content

Proline has been identified as a key metabolite involved in drought stress responses, particularly in cereal crops. We analyzed proline content in controls (100% water) and under severe drought stress (25% water) (Figure 9).
Under standard N fertilization, plants grown in well-water conditions did not show changes in proline content with respect to biostimulant treatments. However, upon imposition of severe water stress, control and 76A-treated plants increased their proline content (2.4- and 4-fold increase, respectively). In contrast, at low N, severe water stress resulted in elevated levels of proline only in untreated controls and T22 inoculated plants (Figure 9).

4. Discussion

4.1. T. harzianum Enhances Yield and Biomass Production under Reduced Water and Nitrogen Availability

The field of plant biostimulants is rapidly expanding because experimental evidence indicates that these products may sustainably improve plant yield and their performance under both biotic and abiotic stresses [60,61]. The use of plant growth-promoting microbes (PGPM), including microbial individuals and consortia, their bioactive compounds and multi-component mixtures are becoming effective components of many plant biostimulant products used as general growth enhancers and/or specific stress protectants [12,62,63]. Recent studies demonstrate the potential of microbial consortia with biostimulant action in agriculture [64,65,66]. Profiling the functional properties of single components of the consortia is an essential step for designing products with effective properties under specific cultural conditions, such as reduced agricultural inputs. Previous reports have highlighted the potential functional complementarity of Trichoderma and Azotobacter as a PGP consortium [62]. In this work, we tested whether T. harzianum strain T22 and A. chroococcum strain 76A could improve wheat performance under reduced water and nitrogen availability, a critical scenario anticipated by global warming and increasing production costs [67]. A gradual decline for all measured biometric and physiological parameters was observed at reduced water and nitrogen availability, confirming that the experimental conditions of the pot experiment well reproduced what is normally observed for wheat in the field (Table S2; Figure 4 and Figure 5). Under full irrigation regime T22 enhanced shoot dry weight and spike fresh weight and revealed a significant stress protection with respect to dry weight, spike fresh weight and stems number at moderate stress with a general increase vs. control plant (Figure 1 and Figure 2). Beneficial effects of T22 were found also with respect to N availability mostly on shoots which increase in terms of both fresh and dry weight (Figure 1, Figure 2 and Figure 3). Despite the inverse relationship between water availability and fungal growth, T22 was effective in terms of biostimulant activity. It has been reported, that hypoxia and/or transitory anoxia may induce the production of secondary metabolites in Trichoderma, which may have various and often unknown interactions with the plant [68]. Trichoderma spp. produce over 250 metabolites including peptides, secondary metabolites and other proteins that may enhance plant growth and development via signaling function [30,32,33,69]. Beneficial effects of Trichoderma in response to environmental stresses have been reported [70,71,72]. Inoculation of wheat plants with T. reesei helped wheat plants to overcome salt stress. Although it is not clear how the protective action of T. reesei under salt stress occurred, the presence of lower ABA levels, higher stomatal conductance and concentrations of IAA and GA in T. reesei inoculated plants vs. control were consistent with a reduced perception of stress in the former [73]. Trichoderma colonization has been shown to determine drought stress protection in tender wheat [74].
Plant treated with 76A did not show any protective action of this PGPM vs. water and/or N deficiency (Figure 1, Figure 2 and Figure 3). However, analysis of the triple interaction between treatment, water and nitrogen regime (TxWxN) with respect to shoot fresh weight, while confirming that T22 enhanced shoot growth at full irrigation regimes and moderate stress (50%), also revealed that 76A inoculated plants responded slightly better than T22-treated plants at severe water stress, under both standard and reduced N regime (Figure 3). These results may indicate that combination of T. harzianum T22 (effective at 50% optimal water) and A. chroococcum 76A (effective at 25% optimal water) may cover, as stress protectants, a broader spectrum of water stress conditions compared to single treatments.

4.2. Photosynthetic Functionality, Water Relation and Ion Partitioning Are Critical Components of T. harzianum T22 vs. A. chroococcum 76A Mediated Stress Protection

Stomatal conductance and net photosynthetic rate were in general higher in T22 vs. control plants (Figure 4 and Figure 5). Similarly, the response of 76A in terms of shoot fresh weight was confirmed by the photosynthetic rate which was also higher than control plants. At extreme soil dehydration, 76A had the highest water potential under severe water stress (Figure 4A). This result is consistent with higher proline accumulation in these plants vs. both control and T22-treated plants under standard N regime (Figure 9). Proline accumulation has multiple roles in plants exposed to abiotic stresses [75]. Among these, proline may act as an indicator of the perceived stress [76] or a modulator of adaptation [77]. With Trichoderma, for instance, both high [41] and low [73] levels of proline have been associated to stress adaptation. For 76A-inoculated plants, the activation of stress related signals such as proline accumulation improved the plant hydration level (Figure 4A and Figure 9), yet it was not sufficient to ameliorate plants performance under reduced water and nitrogen regimes (Figure 1, Figure 2 and Figure 3). With respect to ion accumulation and partitioning within plant organs, both treatments (T22 and 76A) had a remarkable effect on NH4+ and NO3 accumulation patterns (Figure 6A and Figure 7A). An increase of ammonium was observed in leaves of plants grown with N and at the lowest irrigation regime (25%). In the absence of N, 76A-treated plants had higher levels of ammonium at reduced water availability (50%). These results indicate that A. chroococcum 76A is able to improve the absorption of ammonium in plants subjected to abiotic stress especially under water shortage conditions [43,54]. A similar increase was observed for nitrate in 76A-treated plants at the lowest irrigation level (25%) with and without nitrogen fertilization (Figure 6E and Figure 7E). This could be due to a higher biological nitrification activity favored by soil aeration and by a good supply of ammonium synthesized by A. chroococcum 76A [78,79]. The higher accumulation of phosphate in 76A inoculated plants in the absence of nitrogen and reduced irrigation (50%) could be attributed to enhanced mobilization of this ion and/or 76A activation of root phosphate transporters [80,81]. In roots, ammonium and nitrate accumulation in 76A inoculated plants was observed only at the lowest irrigation regime in the absence of nitrogen or under optimal conditions (100% water and with N fertilization), whereas the positive effect of T22 on ammonium and nitrate accumulation was significant in most treatments. Increased nitrogen use efficiency (NUE) is one of the main goals of modern wheat breeding [82], which is pivotal to increase wheat crop sustainability while maintaining high yield [83]. The effect of 76A on leaves ion accumulation was confirmed also for NO3 for which, again, most interesting differences vs. both control and T22-treated plants were found under severe water stress (Figure 6E). Identifying optimal conditions to enhance the biofunctional properties of microbial biostimulants is essential to design effective combinations for different crop species under diverse cultural conditions. The effect of Trichoderma was unequivocal in the absence of stress and under moderate stress; however, 76A demonstrated some potential in terms of ions mobilization and protection vs. severe drought. Although the cause effect relationship of compatible solutes and stress adaptation is still under debate [84,85], higher production of proline in 76A-inoculated plants was likely functionally associated with higher leaf water potential measured in these plants (Figure 9) [86,87]. Nevertheless, such adaptation response was not sufficient to improve plant performance under severe water stress (Figure 4 and Figure 5). The responses of T22 and 76A-treated plants under moderate and severe water stress, on one side are consistent with the coexistence of multiple mechanisms for stress adaptation in plants which can be triggered by different biostimulants; on the other side, the observed responses could represent a biofunctional basis to be further explored to design synergistic/complementary combinations.

4.3. Molecular Basis of Wheat-Microorganisms Interactions in Response to Water and Nitrogen Limitations

Our results indicate that both T22 and 76A demonstrate a potential as biostimulants under reduced nitrogen and water availability. Clearly, each microorganism and its beneficial relationship with the plant is dependent on several environmental and agricultural factors and associated molecular responses. Under low N and water availability, plants inoculated with 76A had high expression levels of the nitrate uptake transporter NRT2.1. This has been previously observed in wheat as an indicator of nitrogen starvation [88]. However, nitrate content in these plants was significantly higher compared to other treatments while expression of nitrate reductase, the first committed step in nitrate assimilation, was severely downregulated. The high expression of nitrate uptake genes combined with high nitrate content and down regulation of nitrate assimilation indicates that 76A has a direct effect on plant growth under severe water stress. Possibly, 76A is affecting plant nitrate uptake and assimilation through hormonal signaling. It has been shown that strains belonging to Azotobacter genus are capable of synthesizing plant hormones affecting growth and metabolism of plants [89]. While 76A did not significantly increase yield under water stress when N was sufficient, it increased yield under well-watered conditions. We have previously observed a beneficial effect in tomato yield with 76A inoculation under standard fertilization regime, but attenuated under very high N [43]. On the contrary, in the present work, we observed that low N conferred a yield penalty in wheat. This could be due to very different N requirements between the two species or to the fact that 76A strain requires an optimal range of N to be of benefit to the plant.
T. harzianum T22 conferred both a growth and yield increase in well-watered conditions with abundant N. Expression of nitrate assimilation genes in these conditions reflects in well-watered conditions regardless of N availability in the soil. However, in low N control conditions, inoculation with T22 increased only growth and had no significant effects on yield. In both N conditions, T22 increased growth and yield in presence of moderate water stress. Under severe water stress T22 generally did not confer any enhancement to growth or yield. It appears that the beneficial relationship between T22 and the plant is inhibited when the soil matrix is very dry. The LEA2 gene is a key regulator of drought stress responses and was highly expressed in T22 inoculated plants under severe water stress.
Evidence for plant growth promotion is present in the literature for biostimulants and has become a topic of interest for sustainable crop systems. While commercial biostimulant products abound in the market today, their modes of action still remain somewhat unclear. Additionally, these products are often tested under optimal conditions and their performance under stress conditions has only been marginally addressed [12]. Use of microorganisms, such as 76A and T22, as biostimulants is promising, but, in order to successfully implement it in the field, we need to better understand how they affect plants under different stress conditions. Here, we have demonstrated that soil N availability plays a major role in growth, yield and stress tolerance in conjunction with these microbes. There is no “magic bullet” when it comes to biostimulants, but these findings can be utilized to adapt and modify strategies for sustainable systems that can reduce inputs, while maintaining yield and increasing stress tolerance.

Supplementary Materials

The following are available online at https://www.mdpi.com/2073-4395/11/2/380/s1, Table S1: List of primers used in this study, Table S2: Plant biometric and growth characteristics of wheat grown at different water stress regimes (100%, 50%, 25%) with and without N fertilization, Table S3: Leaves ionic profile of wheat grown at different water stress regimes (100%, 50%, 25%) with and without N fertilization, Table S4: Roots ionic profile of wheat grown at different water stress regimes (100%, 50%, 25%) with and without N fertilization.

Author Contributions

Conceptualization, O.P., S.L.W. and A.M.; Data curation, V.V., M.N., R.M. and V.C.; Formal analysis, V.V., M.N., R.M. and V.C.; Funding acquisition, A.M.; Investigation, S.S., E.D.S., M.J.V.O., V.V., M.N. and R.M.; Supervision, O.P., S.L.W. and A.M.; Validation, S.S., E.D.S., M.J.V.O., V.V., M.N. and R.M.; Visualization, V.C.; Writing—original draft, E.D.S. and M.J.V.O.; Writing—review and editing, M.J.V.O., O.P., S.L.W., V.C. and A.M. All authors have read and agreed to the published version of the manuscript.

Funding

This work was supported by the EU Project: BIOFECTOR Plant Growth–Promoting Bio-effectors (#FP7-KBBE-2012-6 Grant Agreement 312117).

Institutional Review Board Statement

Not applicable.

Informed Consent Statement

Not applicable.

Data Availability Statement

The data presented in this study are available on request from the corresponding author.

Conflicts of Interest

The authors declare no conflict of interest.

References

  1. Evans, N.; Baierl, A.; Semenov, M.A.; Gladders, P.; Fitt, B.D.L. Range and severity of a plant disease increased by global warming. J. R. Soc. Interface 2008, 5, 525–531. [Google Scholar] [CrossRef]
  2. Eckardt, N.A.; Cominelli, E. The future of science: Food and water for life. Plant Cell 2009, 21, 368–372. [Google Scholar] [CrossRef]
  3. Zou, Y.N.; Wu, Q.S.; Kuča, K. Unravelling the role of arbuscular mycorrhizal fungi in mitigating the oxidative burst of plants under drought stress. Plant Biol. 2020, 1–8. [Google Scholar] [CrossRef]
  4. Farooq, M.; Hussain, M.; Wahid, A.; Siddique, K.H.M. Drought stress in plants: An overview. In Plant Responses to Drought Stress: From Morphological to Molecular Features; Springer: Berlin/Heidelberg, Germany, 2012; pp. 1–33. ISBN 9783642326530. [Google Scholar]
  5. Lambers, H.; Oliveira, R.S. Plant Physiological Ecology; Springer: New York, NY, USA, 2019; ISBN 9783030296391. [Google Scholar]
  6. Ilyas, M.; Nisar, M.; Khan, N.; Hazrat, A.; Khan, A.H.; Hayat, K.; Fahad, S.; Khan, A.; Ullah, A. Drought tolerance strategies in plants: A mechanistic approach. J. Plant Growth Regul. 2020. [Google Scholar] [CrossRef]
  7. Tardieu, F.; Simonneau, T.; Muller, B. The physiological basis of drought tolerance in crop plants: A scenario-dependent probabilistic approach. Annu. Rev. Plant Biol. 2018, 69, 733–759. [Google Scholar] [CrossRef]
  8. Ruggiero, A.; Punzo, P.; Landi, S.; Costa, A.; Van Oosten, M.J.; Grillo, S. Improving plant water use efficiency through molecular genetics. Horticulturae 2017, 3, 31. [Google Scholar] [CrossRef]
  9. Li, Y.; Ye, W.; Wang, M.; Yan, X. Climate change and drought: A risk assessment of crop-yield impacts. Clim. Res. 2009, 39, 31–46. [Google Scholar] [CrossRef]
  10. Farooq, M.; Basra, S.M.A.; Wahid, A.; Ahmad, N.; Saleem, B.A. Improving the drought tolerance in rice (Oryza sativa L.) by exogenous application of salicylic acid. J. Agron. Crop Sci. 2009, 195, 237–246. [Google Scholar] [CrossRef]
  11. He, M.; Dijkstra, F.A. Drought effect on plant nitrogen and phosphorus: A meta-analysis. New Phytol. 2014, 204, 924–931. [Google Scholar] [CrossRef] [PubMed]
  12. Van Oosten, M.J.; Pepe, O.; De Pascale, S.; Silletti, S.; Maggio, A. The role of biostimulants and bioeffectors as alleviators of abiotic stress in crop plants. Chem. Biol. Technol. Agric. 2017, 4, 5. [Google Scholar] [CrossRef]
  13. Di Stasio, E.; Cirillo, V.; Raimondi, G.; Giordano, M.; Esposito, M.; Maggio, A. Osmo-priming with seaweed extracts enhances yield of salt-stressed tomato plants. Agronomy 2020, 10, 1559. [Google Scholar] [CrossRef]
  14. Battacharyya, D.; Babgohari, M.Z.; Rathor, P.; Prithiviraj, B. Seaweed extracts as biostimulants in horticulture. Sci. Hortic. 2015, 196, 39–48. [Google Scholar] [CrossRef]
  15. Colla, G.; Nardi, S.; Cardarelli, M.; Ertani, A.; Lucini, L.; Canaguier, R.; Rouphael, Y. Protein hydrolysates as biostimulants in horticulture. Sci. Hortic. 2015, 196, 28–38. [Google Scholar] [CrossRef]
  16. Canellas, L.P.; Olivares, F.L.; Aguiar, N.O.; Jones, D.L.; Nebbioso, A.; Mazzei, P.; Piccolo, A. Humic and fulvic acids as biostimulants in horticulture. Sci. Hortic. 2015, 196, 15–27. [Google Scholar] [CrossRef]
  17. Savvas, D.; Ntatsi, G. Biostimulant activity of silicon in horticulture. Sci. Hortic. 2015, 196, 66–81. [Google Scholar] [CrossRef]
  18. Pichyangkura, R.; Chadchawan, S. Biostimulant activity of chitosan in horticulture. Sci. Hortic. 2015, 196, 49–65. [Google Scholar] [CrossRef]
  19. Gómez-Merino, F.C.; Trejo-Téllez, L.I. Biostimulant activity of phosphite in horticulture. Sci. Hortic. 2015, 196, 82–90. [Google Scholar] [CrossRef]
  20. Rouphael, Y.; Franken, P.; Schneider, C.; Schwarz, D.; Giovannetti, M.; Agnolucci, M.; De Pascale, S.; Bonini, P.; Colla, G. Arbuscular mycorrhizal fungi act as biostimulants in horticultural crops. Sci. Hortic. 2015, 196, 91–108. [Google Scholar] [CrossRef]
  21. Woo, S.L.; Scala, F.; Ruocco, M.; Lorito, M. The molecular biology of the interactions between Trichoderma spp., phytopathogenic fungi and plants. Phytopathology 2006, 96, 181–185. [Google Scholar] [CrossRef]
  22. López-Bucio, J.; Pelagio-Flores, R.; Herrera-Estrella, A. Trichoderma as biostimulant: Exploiting the multilevel properties of a plant beneficial fungus. Sci. Hortic. 2015, 196, 109–123. [Google Scholar] [CrossRef]
  23. Ruzzi, M.; Aroca, R. Plant growth-promoting rhizobacteria act as biostimulants in horticulture. Sci. Hortic. 2015, 196, 124–134. [Google Scholar] [CrossRef]
  24. Dodd, I.C.; Ruiz-Lozano, J.M. Microbial enhancement of crop resource use efficiency. Curr. Opin. Biotechnol. 2012, 23, 236–242. [Google Scholar] [CrossRef] [PubMed]
  25. Zhang, F.; Huo, Y.; Cobb, A.B.; Luo, G.; Zhou, J.; Yang, G.; Wilson, G.W.T.; Zhang, Y. Trichoderma biofertilizer links to altered soil chemistry, altered microbial communities and improved grassland biomass. Front. Microbiol. 2018, 9, 848. [Google Scholar] [CrossRef]
  26. Chen, M.; Arato, M.; Borghi, L.; Nouri, E.; Reinhardt, D. Beneficial services of arbuscular mycorrhizal fungi—From ecology to application. Front. Plant Sci. 2018, 9, 1270. [Google Scholar] [CrossRef] [PubMed]
  27. Singh, P.K.; Singh, M.; Tripathi, B.N. Glomalin: An arbuscular mycorrhizal fungal soil protein. Protoplasma 2013, 250, 663–669. [Google Scholar] [CrossRef]
  28. Smith, S.E.; Facelli, E.; Pope, S.; Smith, F.A. Plant performance in stressful environments: Interpreting new and established knowledge of the roles of arbuscular mycorrhizas. Plant Soil 2010, 326, 3–20. [Google Scholar] [CrossRef]
  29. Khalvati, M.A.; Hu, Y.; Mozafar, A.; Schmidhalter, U. Quantification of water uptake by arbuscular mycorrhizal hyphae and its significance for leaf growth, water relations and gas exchange of barley subjected to drought stress. Plant Biol. 2005, 7, 706–712. [Google Scholar] [CrossRef]
  30. Harman, G.E.; Howell, C.R.; Viterbo, A.; Chet, I.; Lorito, M. Trichoderma species—Opportunistic, avirulent plant symbionts. Nat. Rev. Microbiol. 2004, 2, 43–56. [Google Scholar] [CrossRef]
  31. Seidl, V.; Marchetti, M.; Schandl, R.; Allmaier, G.; Kubicek, C.P. Epl1, the major secreted protein of Hypocrea atroviridis on glucose, is a member of a strongly conserved protein family comprising plant defense response elicitors. FEBS J. 2006, 273, 4346–4359. [Google Scholar] [CrossRef]
  32. Vinale, F.; Sivasithamparam, K.; Ghisalberti, E.L.; Marra, R.; Woo, S.L.; Lorito, M. Trichoderma-plant-pathogen interactions. Soil Biol. Biochem. 2008, 40, 1–10. [Google Scholar] [CrossRef]
  33. Lorito, M.; Woo, S.L.; Harman, G.E.; Monte, E. Translational research on Trichoderma: From ’omics to the field. Annu. Rev. Phytopathol. 2010, 48, 395–417. [Google Scholar] [CrossRef]
  34. Shoresh, M.; Harman, G.E.; Mastouri, F. Induced systemic resistance and plant responses to fungal biocontrol agents. Annu. Rev. Phytopathol. 2010, 48, 21–43. [Google Scholar] [CrossRef]
  35. Mukherjee, P.K.; Horwitz, B.A.; Herrera-Estrella, A.; Schmoll, M.; Kenerley, C.M. Trichoderma research in the genome era. Annu. Rev. Phytopathol. 2013, 51, 105–129. [Google Scholar] [CrossRef]
  36. Studholme, D.J.; Harris, B.; Le Cocq, K.; Winsbury, R.; Perera, V.; Ryder, L.; Ward, J.L.; Beale, M.H.; Thornton, C.R.; Grant, M. Investigating the beneficial traits of Trichoderma hamatum GD12 for sustainable agriculture-insights from genomics. Front. Plant Sci. 2013, 4, 258. [Google Scholar] [CrossRef]
  37. Hermosa, R.; Belén Rubio, M.; Cardoza, R.E.; Nicolás, C.; Monte, E.; Gutiérrez, S. The contribution of Trichoderma to balancing the costs of plant growth and defense. Int. Microbiol. 2013, 16, 69–80. [Google Scholar]
  38. Hermosa, R.; Viterbo, A.; Chet, I.; Monte, E. Plant-beneficial effects of Trichoderma and of its genes. Microbiology 2012, 158, 17–25. [Google Scholar] [CrossRef]
  39. Pandey, V.; Ansari, M.W.; Tula, S.; Yadav, S.; Sahoo, R.K.; Shukla, N.; Bains, G.; Badal, S.; Chandra, S.; Gaur, A.K.; et al. Dose-dependent response of Trichoderma harzianum in improving drought tolerance in rice genotypes. Planta 2016, 243, 1251–1264. [Google Scholar] [CrossRef] [PubMed]
  40. Mastouri, F.; Björkman, T.; Harman, G.E. Trichoderma harzianum enhances antioxidant defense of tomato seedlings and resistance to water deficit. Mol. Plant Microbe Interact. 2012, 25, 1264–1271. [Google Scholar] [CrossRef] [PubMed]
  41. Mona, S.A.; Hashem, A.; Abd Allah, E.F.; Alqarawi, A.A.; Soliman, D.W.K.; Wirth, S.; Egamberdieva, D. Increased resistance of drought by Trichoderma harzianum fungal treatment correlates with increased secondary metabolites and proline content. J. Integr. Agric. 2017, 16, 1751–1757. [Google Scholar] [CrossRef]
  42. Rawat, L.; Bisht, T.S.; Kukreti, A.; Prasad, M. Bioprospecting drought tolerant Trichoderma harzianum isolates promote growth and delay the onset of drought responses in wheat (Triticum aestivum L.). Mol. Soil Biol. 2016, 7, 1–15. [Google Scholar] [CrossRef][Green Version]
  43. Van Oosten, M.J.; Di Stasio, E.; Cirillo, V.; Silletti, S.; Ventorino, V.; Pepe, O.; Raimondi, G.; Maggio, A. Root inoculation with Azotobacter chroococcum 76A enhances tomato plants adaptation to salt stress under low N conditions. BMC Plant Biol. 2018, 18, 205. [Google Scholar] [CrossRef]
  44. Gopalakrishnan, S.; Sathya, A.; Vijayabharathi, R.; Varshney, R.K.; Gowda, C.L.L.; Krishnamurthy, L. Plant growth promoting rhizobia: Challenges and opportunities. 3 Biotech 2015, 5, 355–377. [Google Scholar] [CrossRef]
  45. Egamberdieva, D. Alleviation of salt stress by plant growth regulators and IAA producing bacteria in wheat. Acta Physiol. Plant. 2009, 31, 861–864. [Google Scholar] [CrossRef]
  46. Ventorino, V.; Nicolaus, B.; Di Donato, P.; Pagliano, G.; Poli, A.; Robertiello, A.; Iavarone, V.; Pepe, O. Bioprospecting of exopolysaccharide-producing bacteria from different natural ecosystems for biopolymer synthesis from vinasse. Chem. Biol. Technol. Agric. 2019, 6, 18. [Google Scholar] [CrossRef]
  47. Paul, D.; Lade, H. Plant-growth-promoting rhizobacteria to improve crop growth in saline soils: A review. Agron. Sustain. Dev. 2014, 34, 737–752. [Google Scholar] [CrossRef]
  48. Kaushal, M.; Wani, S.P. Plant-growth-promoting rhizobacteria: Drought stress alleviators to ameliorate crop production in drylands. Ann. Microbiol. 2016, 66, 35–42. [Google Scholar] [CrossRef]
  49. Yakhin, O.I.; Lubyanov, A.A.; Yakhin, I.A.; Brown, P.H. Biostimulants in plant science: A global perspective. Front. Plant Sci. 2017, 7, 2049. [Google Scholar] [CrossRef] [PubMed]
  50. Rouphael, Y.; Colla, G. Synergistic biostimulatory action: Designing the next generation of plant biostimulants for sustainable agriculture. Front. Plant Sci. 2018, 871, 1655. [Google Scholar] [CrossRef]
  51. Gemin, L.G.; Mógor, Á.F.; De Oliveira Amatussi, J.; Mógor, G. Microalgae associated to humic acid as a novel biostimulant improving onion growth and yield. Sci. Hortic. 2019, 256, 108560. [Google Scholar] [CrossRef]
  52. Testa, G.; Gresta, F.; Cosentino, S.L. Dry matter and qualitative characteristics of alfalfa as affected by harvest times and soil water content. Eur. J. Agron. 2011, 34, 144–152. [Google Scholar] [CrossRef]
  53. Anastasio, M.; Pepe, O.; Cirillo, T.; Palomba, S.; Blaiotta, G.; Villani, F. Selection and use of phytate-degrading LAB to improve cereal-based products by mineral solubilization during dough fermentation. J. Food Sci. 2010, 75, 28–35. [Google Scholar] [CrossRef]
  54. Viscardi, S.; Ventorino, V.; Duran, P.; Maggio, A.; De Pascale, S.; Mora, M.L.; Pepe, O. Assessment of plant growth promoting activities and abiotic stress tolerance of Azotobacter chroococcum strains for a potential use in sustainable agriculture. J. Soil Sci. Plant Nutr. 2016, 16, 848–863. [Google Scholar] [CrossRef]
  55. Romano, I.; Ventorino, V.; Pepe, O. Effectiveness of plant beneficial microbes: Overview of the methodological approaches for the assessment of root colonization and persistence. Front. Plant Sci. 2020, 11, 6. [Google Scholar] [CrossRef] [PubMed]
  56. Rouphael, Y.; Carillo, P.; Colla, G.; Fiorentino, N.; Sabatino, L.; El-Nakhel, C.; Giordano, M.; Pannico, A.; Cirillo, V.; Shabani, E.; et al. Appraisal of combined applications of Trichoderma virens and a biopolymer-based biostimulant on lettuce agronomical, physiological and qualitative properties under variable n regimes. Agronomy 2020, 10, 196. [Google Scholar] [CrossRef]
  57. Pepe, O.; Ventorino, V.; Blaiotta, G. Dynamic of functional microbial groups during mesophilic composting of agro-industrial wastes and free-living (N2)-fixing bacteria application. Waste Manag. 2013, 33, 1616–1625. [Google Scholar] [CrossRef]
  58. Cirillo, V.; Van Oosten, M.J.; Izzo, M.; Maggio, A. Omeprazole treatment elicits contrasting responses to salt stress in two basil genotypes. Ann. Appl. Biol. 2019, 174, 329–338. [Google Scholar] [CrossRef]
  59. Claussen, W. Proline as a measure of stress in tomato plants. Plant Sci. 2005, 168, 241–248. [Google Scholar] [CrossRef]
  60. Teklić, T.; Parađiković, N.; Špoljarević, M.; Zeljković, S.; Lončarić, Z.; Lisjak, M. Linking abiotic stress, plant metabolites, biostimulants and functional food. Ann. Appl. Biol. 2020, 1–23. [Google Scholar] [CrossRef]
  61. Frioni, T.; Tombesi, S.; Quaglia, M.; Calderini, O.; Moretti, C.; Poni, S.; Gatti, M.; Moncalvo, A.; Sabbatini, P.; Berrìos, J.G.; et al. Metabolic and transcriptional changes associated with the use of Ascophyllum nodosum extracts as tools to improve the quality of wine grapes (Vitis vinifera cv. Sangiovese) and their tolerance to biotic stress. J. Sci. Food Agric. 2019, 99, 6350–6363. [Google Scholar] [CrossRef]
  62. Woo, S.L.; Pepe, O. Microbial consortia: Promising probiotics as plant biostimulants for sustainable agriculture. Front. Plant Sci. 2018, 9, 1801. [Google Scholar] [CrossRef]
  63. Naik, K.; Mishra, S.; Srichandan, H.; Singh, P.K.; Sarangi, P.K. Plant growth promoting microbes: Potential link to sustainable agriculture and environment. Biocatal. Agric. Biotechnol. 2019, 21, 101326. [Google Scholar] [CrossRef]
  64. De Vries, F.T.; Wallenstein, M.D. Below-ground connections underlying above-ground food production: A framework for optimising ecological connections in the rhizosphere. J. Ecol. 2017, 105, 913–920. [Google Scholar] [CrossRef]
  65. Wallenstein, M.D. Managing and manipulating the rhizosphere microbiome for plant health: A systems approach. Rhizosphere 2017, 3, 230–232. [Google Scholar] [CrossRef]
  66. Kong, W.; Meldgin, D.R.; Collins, J.J.; Lu, T. Designing microbial consortia with defined social interactions. Nat. Chem. Biol. 2018, 14, 821–829. [Google Scholar] [CrossRef] [PubMed]
  67. Ferguson, J.N. Climate change and abiotic stress mechanisms in plants. Emerg. Top. Life Sci. 2019, 3, 165–181. [Google Scholar] [PubMed]
  68. Bonaccorsi, E.D.; Ferreira, A.J.S.; Chambergo, F.S.; Ramos, A.S.P.; Mantovani, M.C.; Simon Farah, J.P.; Sorio, C.S.; Gombert, A.K.; Tonso, A.; El-Dorry, H. Transcriptional response of the obligatory aerobe Trichoderma reesei to hypoxia and transient anoxia: Implications for energy production and survival in the absence of oxygen. Biochemistry 2006, 45, 3912–3924. [Google Scholar] [CrossRef]
  69. Vinale, F.; Sivasithamparam, K.; Ghisalberti, E.L.; Woo, S.L.; Nigro, M.; Marra, R.; Lombardi, N.; Pascale, A.; Ruocco, M.; Lanzuise, S.; et al. Trichoderma secondary metabolites active on plants and fungal pathogens. Open Mycol. J. 2014, 8, 127–139. [Google Scholar] [CrossRef]
  70. Poveda, J. Trichoderma parareesei favors the tolerance of rapeseed (Brassica napus L.) to salinity and drought due to a chorismate mutase. Agronomy 2020, 10, 118. [Google Scholar] [CrossRef]
  71. Mastouri, F.; Björkman, T.; Harman, G.E. Seed treatment with Trichoderma harzianum alleviates biotic, abiotic and physiological stresses in germinating seeds and seedlings. Phytopathology 2010, 100, 1213–1221. [Google Scholar] [CrossRef]
  72. Yasmeen, R.; Siddiqui, Z.S. Physiological responses of crop plants against Trichoderma harzianum in saline environment. Acta Bot. Croat. 2017, 76, 154–162. [Google Scholar] [CrossRef]
  73. Ikram, M.; Ali, N.; Jan, G.; Iqbal, A.; Hamayun, M.; Jan, F.G.; Hussain, A.; Lee, I.J. Trichoderma reesei improved the nutrition status of wheat crop under salt stress. J. Plant Interact. 2019, 14, 590–602. [Google Scholar] [CrossRef]
  74. Sharma, P.; Nath Patel, A.; Kumar Saini, M.; Deep, S. Field demonstration of Trichoderma harzianum as a plant growth promoter in wheat (Triticum aestivum L.). J. Agric. Sci. 2012, 4, 65–73. [Google Scholar] [CrossRef]
  75. Kaur, G.; Asthir, B. Proline: A key player in plant abiotic stress tolerance. Biol. Plant. 2015, 59, 609–619. [Google Scholar] [CrossRef]
  76. Pál, M.; Tajti, J.; Szalai, G.; Peeva, V.; Végh, B.; Janda, T. Interaction of polyamines, abscisic acid and proline under osmotic stress in the leaves of wheat plants. Sci. Rep. 2018, 8, 12839. [Google Scholar] [CrossRef]
  77. Barbieri, G.; Vallone, S.; Orsini, F.; Paradiso, R.; De Pascale, S.; Negre-Zakharov, F.; Maggio, A. Stomatal density and metabolic determinants mediate salt stress adaptation and water use efficiency in basil (Ocimum basilicum L.). J. Plant Physiol. 2012, 169, 1737–1746. [Google Scholar] [CrossRef]
  78. Plunkett, M.H.; Knutson, C.M.; Barney, B.M. Key factors affecting ammonium production by an Azotobacter vinelandii strain deregulated for biological nitrogen fixation. Microb. Cell Fact. 2020, 19, 107. [Google Scholar] [CrossRef] [PubMed]
  79. Narula, N.; Lakshminarayana, K.; Tauro, P. Ammonia excretion by Azotobacter chroococcum. Biotechnol. Bioeng. 1981, 23, 467–470. [Google Scholar] [CrossRef]
  80. Nosrati, R.; Owlia, P.; Saderi, H.; Rasooli, I.; Malboobi, M.A. Phosphate solubilization characteristics of efficient nitrogen fixing soil Azotobacter strains. Iran. J. Microbiol. 2014, 6, 285–295. [Google Scholar]
  81. Das, H.K. Azotobacters as biofertilizer. In Advances in Applied Microbiology; Elsevier Inc.: Amsterdam, The Netherlands, 2019; Volume 108, pp. 1–43. ISBN 9780128176207. [Google Scholar]
  82. Cormier, F.; Foulkes, J.; Hirel, B.; Gouache, D.; Moënne-Loccoz, Y.; Le Gouis, J. Breeding for increased nitrogen-use efficiency: A review for wheat (T. aestivum L.). Plant Breed. 2016, 135, 255–278. [Google Scholar] [CrossRef]
  83. Salim, N.; Raza, A. Nutrient use efficiency (NUE) for sustainable wheat production: A review. J. Plant Nutr. 2020, 43, 297–315. [Google Scholar] [CrossRef]
  84. Gagneul, D.; Aïnouche, A.; Duhazé, C.; Lugan, R.; Larher, F.R.; Bouchereau, A. A reassessment of the function of the so-called compatible solutes in the halophytic plumbaginaceae Limonium latifolium. Plant Physiol. 2007, 144, 1598–1611. [Google Scholar] [CrossRef]
  85. Hayat, S.; Hayat, Q.; Alyemeni, M.N.; Wani, A.S.; Pichtel, J.; Ahmad, A. Role of proline under changing environments: A review. Plant Signal. Behav. 2012, 7, 1–11. [Google Scholar] [CrossRef] [PubMed]
  86. Maggio, A.; Miyazaki, S.; Veronese, P.; Fujita, T.; Ibeas, J.I.; Damsz, B.; Narasimhan, M.L.; Hasegawa, P.M.; Joly, R.J.; Bressan, R.A. Does proline accumulation play an active role in stress-induced growth reduction? Plant J. 2002, 31, 699–712. [Google Scholar] [CrossRef] [PubMed]
  87. Maggio, A.; Zhu, J.K.; Hasegawa, P.M.; Bressan, R.A. Osmogenetics: Aristotle to Arabidopsis. Plant Cell 2006, 18, 1542–1557. [Google Scholar] [CrossRef] [PubMed]
  88. Saia, S.; Rappa, V.; Ruisi, P.; Abenavoli, M.R.; Sunseri, F.; Giambalvo, D.; Frenda, A.S.; Martinelli, F. Soil inoculation with symbiotic microorganisms promotes plant growth and nutrient transporter genes expression in durum wheat. Front. Plant Sci. 2015, 6, 815. [Google Scholar] [CrossRef]
  89. Ahmad, F.; Ahmad, I.; Khan, M.S. Screening of free-living rhizospheric bacteria for their multiple plant growth promoting activities. Microbiol. Res. 2008, 163, 173–181. [Google Scholar] [CrossRef]
Figure 1. Interaction between water stress regime (100%, 50%, 25%) and biostimulant treatment (C, T22 and 76A) for main biometric and growth characteristics: (A) Shoot dry weight (DW); (B) Number of stems per plant; (C) Spikes fresh weight (FW); (D) Roots DW. Values are means ± SE of the interaction water regime x treatment. Different letters indicate significant differences between means at p < 0.05 according to Duncan’s multiple comparison post-hoc test.
Figure 1. Interaction between water stress regime (100%, 50%, 25%) and biostimulant treatment (C, T22 and 76A) for main biometric and growth characteristics: (A) Shoot dry weight (DW); (B) Number of stems per plant; (C) Spikes fresh weight (FW); (D) Roots DW. Values are means ± SE of the interaction water regime x treatment. Different letters indicate significant differences between means at p < 0.05 according to Duncan’s multiple comparison post-hoc test.
Agronomy 11 00380 g001
Figure 2. Interaction between nitrogen levels (Nitrogen, No nitrogen) and biostimulant treatment (C, T22 and 76A) for main biometric and growth characteristics: (A) Shoot dry weight (DW); (B) Roots DW. Values are means ± SE of the interaction nutrient regime x treatment, different letters indicate significant differences between means at p < 0.05 according to Duncan’s multiple comparison post-hoc test.
Figure 2. Interaction between nitrogen levels (Nitrogen, No nitrogen) and biostimulant treatment (C, T22 and 76A) for main biometric and growth characteristics: (A) Shoot dry weight (DW); (B) Roots DW. Values are means ± SE of the interaction nutrient regime x treatment, different letters indicate significant differences between means at p < 0.05 according to Duncan’s multiple comparison post-hoc test.
Agronomy 11 00380 g002
Figure 3. Shoots fresh weight of wheat treated with biostimulants (C, T22 and 76A), grown at different water stress regimes (100%, 50%, 25%) with and without N fertilization. Values are means ± SE, different letters indicate significant differences between means at p < 0.05 according to Duncan’s multiple comparison post-hoc test.
Figure 3. Shoots fresh weight of wheat treated with biostimulants (C, T22 and 76A), grown at different water stress regimes (100%, 50%, 25%) with and without N fertilization. Values are means ± SE, different letters indicate significant differences between means at p < 0.05 according to Duncan’s multiple comparison post-hoc test.
Agronomy 11 00380 g003
Figure 4. Plant physiological parameters of wheat treated with biostimulants (C, T22 and 76A), grown at different water stress regimes (100%, 50%, 25%) with and without N fertilization. (A) Leaf water potential; (B) Net photosynthesis. Values are means ± SE of the interaction water regime x treatment, different letters indicate significant differences between means.
Figure 4. Plant physiological parameters of wheat treated with biostimulants (C, T22 and 76A), grown at different water stress regimes (100%, 50%, 25%) with and without N fertilization. (A) Leaf water potential; (B) Net photosynthesis. Values are means ± SE of the interaction water regime x treatment, different letters indicate significant differences between means.
Agronomy 11 00380 g004
Figure 5. Stomatal conductance of wheat treated with biostimulants (C, T22 and 76A), grown at different water stress regimes (100%, 50%, 25%) with and without N fertilization. Values are means ± SE, different letters indicate significant differences between means at p < 0.05 according to Duncan’s multiple comparison post-hoc test.
Figure 5. Stomatal conductance of wheat treated with biostimulants (C, T22 and 76A), grown at different water stress regimes (100%, 50%, 25%) with and without N fertilization. Values are means ± SE, different letters indicate significant differences between means at p < 0.05 according to Duncan’s multiple comparison post-hoc test.
Agronomy 11 00380 g005
Figure 6. Leaves ionic profile of wheat treated with biostimulants (C, T22 and 76A), grown at different water stress regimes (100%, 50%, 25%) with and without N fertilization. (A) Ammonium leaf concentration; (B) Potassium leaf concentration; (C) Magnesium leaf concentration; (D) Calcium leaf concentration; (E) Nitrate leaf concentration; (F) Phosphate leaf concentration (d.m. = dry matter). Values are means ± SE, different letters indicate significant differences between means at p < 0.05 according to Duncan’s multiple comparison post-hoc test.
Figure 6. Leaves ionic profile of wheat treated with biostimulants (C, T22 and 76A), grown at different water stress regimes (100%, 50%, 25%) with and without N fertilization. (A) Ammonium leaf concentration; (B) Potassium leaf concentration; (C) Magnesium leaf concentration; (D) Calcium leaf concentration; (E) Nitrate leaf concentration; (F) Phosphate leaf concentration (d.m. = dry matter). Values are means ± SE, different letters indicate significant differences between means at p < 0.05 according to Duncan’s multiple comparison post-hoc test.
Agronomy 11 00380 g006
Figure 7. Roots ionic profile of wheat treated with biostimulants (C, T22 and 76A), grown at different water stress regimes (100%, 50%, 25%) with and without N fertilization. (A) Ammonium root concentration; (B) Potassium root concentration; (C) Magnesium root concentration; (D) Calcium root concentration; (E) Nitrate root concentration; (F) Phosphate root concentration (d.m. = dry matter). Values are means ± SE, different letters indicate significant differences between means at p < 0.05 according to Duncan’s multiple comparison post-hoc test (ns = not significant).
Figure 7. Roots ionic profile of wheat treated with biostimulants (C, T22 and 76A), grown at different water stress regimes (100%, 50%, 25%) with and without N fertilization. (A) Ammonium root concentration; (B) Potassium root concentration; (C) Magnesium root concentration; (D) Calcium root concentration; (E) Nitrate root concentration; (F) Phosphate root concentration (d.m. = dry matter). Values are means ± SE, different letters indicate significant differences between means at p < 0.05 according to Duncan’s multiple comparison post-hoc test (ns = not significant).
Agronomy 11 00380 g007
Figure 8. Analysis by qRT-PCR of genes involved in stress response or nitrogen assimilation and transport in wheat leaves collected from plants treated with biostimulants (C, T22 and 76A). The relative quantity of target gene transcripts was calculated using the comparative cycle threshold method and data were normalized to one in control plants without fertilization. (A) Late Embriogenesis Abundant 2 (LEA2); (B) ABA 8′Hydroxylase (ABA8H); (C) Nitrate reductase (NR); (D) Nitrite reductase (NiR); (E) Nitrate transporter 2.1 (NRT2.1). Data are the mean ± SE of three technical replicates. 26S was used as endogenous control. The white bars represent samples without fertilization and the black ones represent fertilized samples and the percentages indicate the water treatment.
Figure 8. Analysis by qRT-PCR of genes involved in stress response or nitrogen assimilation and transport in wheat leaves collected from plants treated with biostimulants (C, T22 and 76A). The relative quantity of target gene transcripts was calculated using the comparative cycle threshold method and data were normalized to one in control plants without fertilization. (A) Late Embriogenesis Abundant 2 (LEA2); (B) ABA 8′Hydroxylase (ABA8H); (C) Nitrate reductase (NR); (D) Nitrite reductase (NiR); (E) Nitrate transporter 2.1 (NRT2.1). Data are the mean ± SE of three technical replicates. 26S was used as endogenous control. The white bars represent samples without fertilization and the black ones represent fertilized samples and the percentages indicate the water treatment.
Agronomy 11 00380 g008
Figure 9. Leaf proline content in wheat treated with biostimulants (C, T22 and 76A), grown at different water stress regimes (100%, 25%) with and without N fertilization. Values are the mean of technical duplicate for each sample ± SE (n = 3). Different letters indicate significant differences between means at p < 0.05 according to Duncan’s multiple comparison post-hoc test.
Figure 9. Leaf proline content in wheat treated with biostimulants (C, T22 and 76A), grown at different water stress regimes (100%, 25%) with and without N fertilization. Values are the mean of technical duplicate for each sample ± SE (n = 3). Different letters indicate significant differences between means at p < 0.05 according to Duncan’s multiple comparison post-hoc test.
Agronomy 11 00380 g009
Publisher’s Note: MDPI stays neutral with regard to jurisdictional claims in published maps and institutional affiliations.

Share and Cite

MDPI and ACS Style

Silletti, S.; Di Stasio, E.; Van Oosten, M.J.; Ventorino, V.; Pepe, O.; Napolitano, M.; Marra, R.; Woo, S.L.; Cirillo, V.; Maggio, A. Biostimulant Activity of Azotobacter chroococcum and Trichoderma harzianum in Durum Wheat under Water and Nitrogen Deficiency. Agronomy 2021, 11, 380. https://doi.org/10.3390/agronomy11020380

AMA Style

Silletti S, Di Stasio E, Van Oosten MJ, Ventorino V, Pepe O, Napolitano M, Marra R, Woo SL, Cirillo V, Maggio A. Biostimulant Activity of Azotobacter chroococcum and Trichoderma harzianum in Durum Wheat under Water and Nitrogen Deficiency. Agronomy. 2021; 11(2):380. https://doi.org/10.3390/agronomy11020380

Chicago/Turabian Style

Silletti, Silvia, Emilio Di Stasio, Michael James Van Oosten, Valeria Ventorino, Olimpia Pepe, Mauro Napolitano, Roberta Marra, Sheridan Lois Woo, Valerio Cirillo, and Albino Maggio. 2021. "Biostimulant Activity of Azotobacter chroococcum and Trichoderma harzianum in Durum Wheat under Water and Nitrogen Deficiency" Agronomy 11, no. 2: 380. https://doi.org/10.3390/agronomy11020380

APA Style

Silletti, S., Di Stasio, E., Van Oosten, M. J., Ventorino, V., Pepe, O., Napolitano, M., Marra, R., Woo, S. L., Cirillo, V., & Maggio, A. (2021). Biostimulant Activity of Azotobacter chroococcum and Trichoderma harzianum in Durum Wheat under Water and Nitrogen Deficiency. Agronomy, 11(2), 380. https://doi.org/10.3390/agronomy11020380

Note that from the first issue of 2016, this journal uses article numbers instead of page numbers. See further details here.

Article Metrics

Back to TopTop