Protein Hydrolysates Supplement in the Nutrient Solution of Soilless Grown Fresh Peppermint and Spearmint as a Tool for Improving Product Quality
Abstract
1. Introduction
2. Materials and Methods
2.1. Plant Growth
2.2. Nutritional Composition Analysis
2.3. Essential Oil
2.4. Polyphenolic Compounds
2.5. Experimental Design and Statistical Analysis
3. Results and Discussion
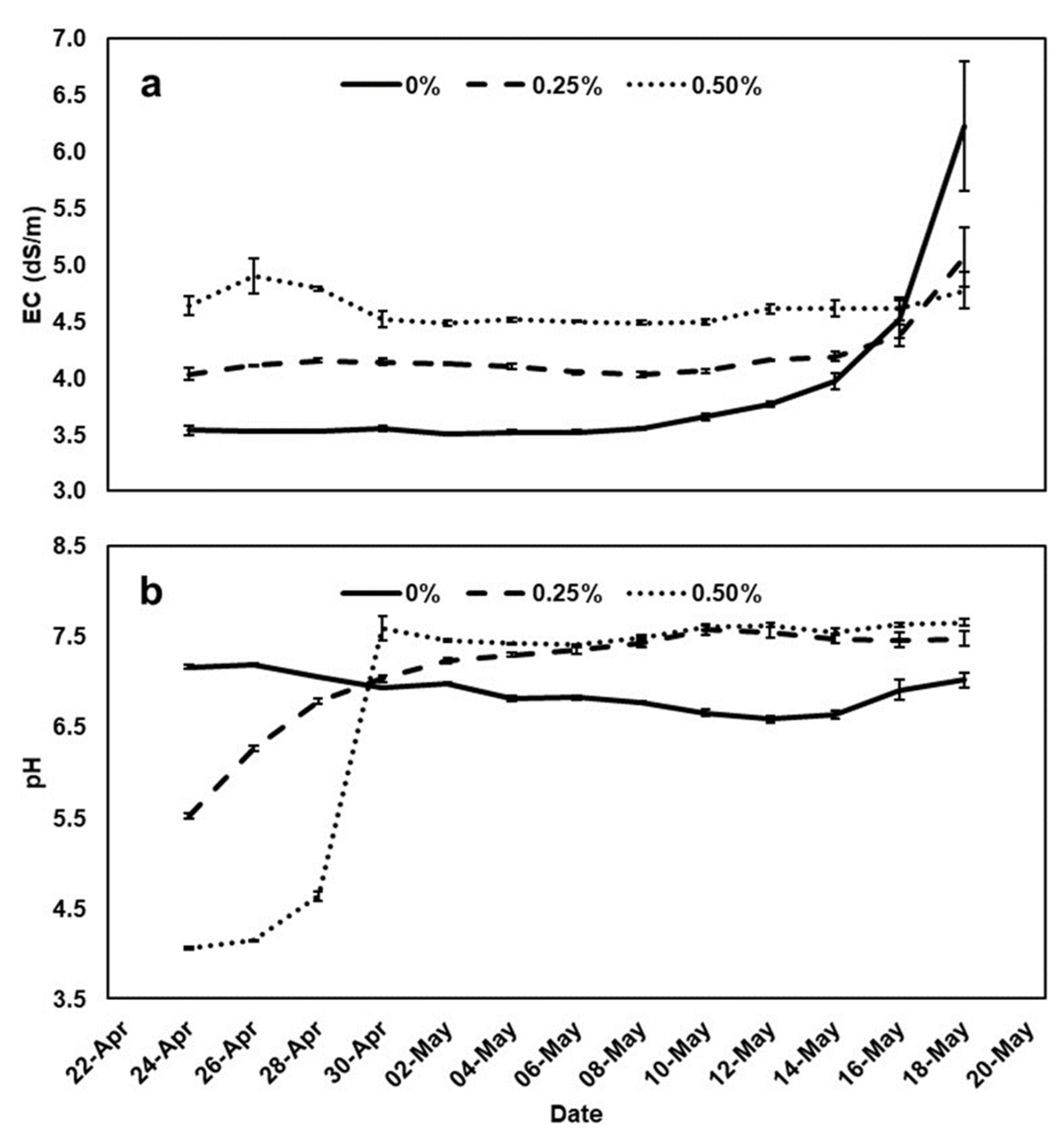
3.1. EC and pH of the Nutrient Solution
3.2. Plant Growth
3.3. Nutritional Composition
3.4. Essential Oil Composition
3.5. Polyphenolic Composition
4. Conclusions
Author Contributions
Funding
Data Availability Statement
Conflicts of Interest
References
- Lawrence, B.M. (Ed.) Mint: The Genus Mentha; CRC Press: Boca Raton, FL, USA, 2007. [Google Scholar]
- Charles, D.J. (Ed.) Antioxidant Properties of Spices, Herbs and Other Sources; Springer: New York, NY, USA, 2013. [Google Scholar]
- Peter, K.V. (Ed.) Handbook of Herbs and Spices; Woodhead Publishing Limited: Sawston, UK, 2001. [Google Scholar]
- Riachi, L.G.; De Maria, C.A.B. Peppermint antioxidants revisited. Food Chem. 2015, 176, 72–81. [Google Scholar] [CrossRef]
- Nassivera, F.; Sillani, S. Consumer perceptions and motivations in choice of minimally processed vegetables a case study in Italy. Br. Food J. 2015, 117, 970–986. [Google Scholar] [CrossRef]
- Ragaert, P.; Verbeke, W.; Devlieghere, F.; Debevere, J. Consumer perception and choice of minimally processed vegetables and packaged fruits. Food Qual. Prefer. 2004, 15, 259–270. [Google Scholar] [CrossRef]
- Martínez-Sánchez, A.; Luna, M.C.; Selma, M.V.; Tudela, J.A.; Abad, J.; Gil, M.I. Baby-leaf and multi-leaf of green and red lettuces are suitable raw materials for the fresh-cut industry. Postharvest Biol. Technol. 2012, 63, 1–10. [Google Scholar]
- Curutchet, A.; Dellacassa, E.; Ringuelet, J.A.; Chaves, A.R.; Viña, S.Z. Nutritional and sensory quality during refrigerated storage of fresh-cut mints (Mentha × piperita and M. spicata). Food Chem. 2014, 143, 231–238. [Google Scholar] [CrossRef]
- Santos, J.; Herrero, M.; Mendiola, J.A.; Oliva-Teles, M.T.; Ibanez, E.; Delerue-Matos, C.; Oliveira, M.B.P.P. Fresh-cut aromatic herbs: Nutritional quality stability during shelf-life. LWT Food Sci. Technol. 2014, 59, 101–107. [Google Scholar] [CrossRef]
- Treadwell, D.D.; Hochmuth, G.J.; Hochmuth, R.C.; Simonne, E.H.; Sargent, S.A.; Davis, L.L.; Laughlin, W.L.; Berry, A. Organic fertilization programs for greenhouse fresh-cut basil and spearmint in a soilless media trough system. Horttechnology 2011, 21, 162–169. [Google Scholar] [CrossRef]
- Colla, G.; Rouphael, Y. Biostimulants in horticulture. Sci. Hortic. 2015, 196, 1–2. [Google Scholar] [CrossRef]
- Bonasia, A.; Lazzizera, C.; Elia, A.; Conversa, G. Nutritional, biophysical and physiological characteristics of wild rocket genotypes as affected by soilless cultivation system, salinity level of nutrient solution and growing period. Front. Plant Sci. 2017, 8, 300. [Google Scholar] [CrossRef] [PubMed]
- Rodríguez-Hidalgo, S.; Artés-Hernández, F.; Gómez, P.A.; Ferńandez, J.A.; Artés, F. Quality of fresh-cut baby spinach grown under a floating trays system as affected by nitrogen fertilisation and innovative packaging treatments. J. Sci. Food Agric. 2010, 90, 1089–1097. [Google Scholar] [CrossRef]
- Vimolmangkang, S.; Sitthithaworn, W.; Vannavanich, D.; Keattikunpairoj, S.; Chittasupho, C. Productivity and quality of volatile oil extracted from Mentha spicata and M. arvensis var. piperascens grown by a hydroponic system using the deep flow technique. J. Nat. Med. 2010, 64, 31–35. [Google Scholar] [CrossRef]
- Scuderi, D.; Restuccia, C.; Chisari, M.; Barbagallo, R.N.; Caggia, C.; Giuffrida, F. Salinity of nutrient solution influences the shelf-life of fresh-cut lettuce grown in floating system. Postharvest Biol. Technol. 2011, 59, 132–137. [Google Scholar] [CrossRef]
- Chrysargyris, A.; Nikolaidou, E.; Stamatakis, A.; Tzortzakis, N. Vegetative, physiological, nutritional and antioxidant behavior of spearmint (Mentha spicata L.) in response to different nitrogen supply in hydroponics. J. Appl. Res. Med. Aromat. Plants 2017, 6, 52–61. [Google Scholar] [CrossRef]
- du Jardin, P. Plant biostimulants: Definition, concept, main categories and regulation. Sci. Hortic. 2015, 196, 3–14. [Google Scholar] [CrossRef]
- Colla, G.; Nardi, S.; Cardarelli, M.; Ertani, A.; Lucini, L.; Canaguier, R.; Rouphael, Y. Protein hydrolysates as biostimulants in horticulture. Sci. Hortic. 2015, 196, 28–38. [Google Scholar] [CrossRef]
- Thornton, B.; Robinson, D. Uptake and assimilation of nitrogen from solutions containing multiple N sources. Plant Cell Environ. 2005, 28, 813–821. [Google Scholar] [CrossRef]
- El-Naggar, A.; El-Araby, A.; De Neergaard, A.; Høgh-Jensen, H. Crop responses to 15N-labelled organic and inorganic nitrogen sources. Nutr. Cycl. Agroecosystems 2008, 80, 49–60. [Google Scholar] [CrossRef]
- Ertani, A.; Cavani, L.; Pizzeghello, D.; Brandellero, E.; Altissimo, A.; Ciavatta, C.; Nardi, S. Biostimulant activity of two protein hydrolyzates in the growth and nitrogen metabolism of maize seedlings. J. Plant Nutr. Soil Sci. 2009, 172, 237–244. [Google Scholar] [CrossRef]
- Vernieri, P.; Borghesi, E.; Ferrante, A.; Magnani, G. Application of biostimulants in floating system for improving rocket quality. J. Food Agric. Environ. 2005, 33, 86–88. [Google Scholar]
- Cataldo, D.A.; Maroon, M.; Schrader, L.E.; Youngs, V.L. Rapid colorimetric determination of nitrate in plant tissue by nitration of salicylic acid. Commun. Soil Sci. Plant Anal. 1975, 6, 71–80. [Google Scholar] [CrossRef]
- Brand-Williams, W.; Cuvelier, M.E.; Berset, C. Use of a free radical method to evaluate antioxidant activity. LWT Food Sci. Technol. 1995, 28, 25–30. [Google Scholar] [CrossRef]
- Scalbert, A.; Monties, B.; Janin, G. Tannins in wood: Comparison of different estimation methods. J. Agric. Food Chem. 1989, 37, 1324–1329. [Google Scholar] [CrossRef]
- Lichtenthaler, H.K.; Wellburn, A.R. Determinations of total carotenoids and chlorophylls a and b of leaf extracts in different solvents. Biochem. Soc. Trans. 1983, 11, 591–592. [Google Scholar] [CrossRef]
- Adams, R. Identification of Essential oil Components by gas Chromatography/Mass Spectroscopy, 4th ed.; Allured Publishing: Carol Stream, IL, USA, 2007. [Google Scholar]
- Vrhovsek, U.; Masuero, D.; Gasperotti, M.; Franceschi, P.; Caputi, L.; Viola, R.; Mattivi, F. A versatile targeted metabolomics method for the rapid quantification of multiple classes of phenolics in fruits and beverages. J. Agric. Food Chem. 2012, 60, 8831–8840. [Google Scholar] [CrossRef] [PubMed]
- Marschner, P. (Ed.) Marschner’s Mineral Nutrition of Higher Plants, 3rd ed.; Academic Press: London, UK, 2012. [Google Scholar]
- Imas, P.; Bar-Yosef, B.; Kafkafi, U.; Ganmore-Neumann, R. Release of carboxylic anions and protons by tomato roots in response to ammonium nitrate ratio and pH in nutrient solution. Plant Soil 1997, 191, 27–34. [Google Scholar] [CrossRef]
- Jones, D.L.; Darrah, P.R. Amino-acid influx at the soil-root interface of Zea mays L. and its implications in the rhizosphere. Plant Soil 1994, 163, 1–12. [Google Scholar] [CrossRef]
- Haynes, R.J. Active ion uptake and maintenance of cation-anion balance: A critical examination of their role in regulating rhizosphere pH. Plant Soil 1990, 126, 247–264. [Google Scholar] [CrossRef]
- Britto, D.T.; Kronzucker, H.J. NH4+ toxicity in higher plants: A critical review. J. Plant Physiol. 2002, 159, 567–584. [Google Scholar] [CrossRef]
- Michailidis, I. Aminoacids of plant origin and method of production. European Patent 2537823A1. Eur. Patent Off. Bull. 2012, 52, 1–8. [Google Scholar]
- Mobini, M.; Khoshgoftarmanesh, A.H.; Ghasemi, S. The effect of partial replacement of nitrate with arginine, histidine, and a mixture of amino acids extracted from blood powder on yield and nitrate accumulation in onion bulb. Sci. Hortic. 2014, 176, 232–237. [Google Scholar] [CrossRef]
- Aghaye Noroozlo, Y.; Souri, M.K.; Delshad, M. Effects of Soil Application of Amino Acids, Ammonium, and Nitrate on Nutrient Accumulation and Growth Characteristics of Sweet Basil. Commun. Soil Sci. Plant Anal. 2019, 50, 2864–2872. [Google Scholar] [CrossRef]
- Liu, X.-Q.; Ko, K.-Y.; Kim, S.-H.; Lee, K. Effect of amino acid fertilization on nitrate assimilation of leafy radish and soil chemical properties in high nitrate soil. Commun. Soil Sci. Plant Anal. 2008, 39, 269–281. [Google Scholar] [CrossRef]
- Wang, H.-J.; Wu, L.-H.; Wang, M.-Y.; Zhu, Y.-H.; Tao, Q.-N.; Zhang, F.-S. Effects of Amino Acids Replacing Nitrate on Growth, Nitrate Accumulation, and Macroelement Concentrations in Pak-choi (Brassica chinensis L.). Pedosphere 2007, 17, 595–600. [Google Scholar] [CrossRef]
- Gunes, A.; Post, W.H.K.; Kirkby, E.A.; Aktas, M. Influence of partial replacement on nitrate by amino acid nitrogen or urea in the nutrient medium on nitrate accumulation in NFT grown winter lettuce. J. Plant Nutr. 1994, 17, 1929–1938. [Google Scholar] [CrossRef]
- Tsouvaltzis, P.; Koukounaras, A.; Siomos, A.S. Application of amino acids improves lettuce crop uniformity and inhibits nitrate accumulation induced by the supplemental inorganic nitrogen fertilization. Int. J. Agric. Biol. 2014, 16, 951–955. [Google Scholar]
- Tsouvaltzis, P.; Kasampalis, D.S.; Aktsoglou, D.-C.; Barbayiannis, N.A.; Siomos, A.S. Effect of reduced nitrogen and supplemented amino acids nutrient solution on the nutritional quality of baby green and red lettuce grown in a floating system. Agronomy 2020, 10, 922. [Google Scholar] [CrossRef]
- Tamme, T.; Reinik, M.; Roasto, M.; Meremäe, K.; Kiis, A. Nitrate in leafy vegetables, culinary herbs, and cucumber grown under cover in Estonia: Content and intake. Food Addit. Contam. Part B Surveill. 2010, 3, 108–113. [Google Scholar] [CrossRef]
- Telesiński, A.; Grzeszczuk, M.; Jadczak, D.; Wysocka, G.; Onyszko, M. Assessment of changes in content of nitrates (V) in selected spice herbs depending on their preservation method and storage time. Zywn. Nauk. Technol. Jakosc/Food. Sci. Technol. Qual. 2013, 5, 168–176. [Google Scholar] [CrossRef]
- Capecka, E.; Mareczek, A.; Leja, M. Antioxidant activity of fresh and dry herbs of some Lamiaceae species. Food Chem. 2005, 93, 223–226. [Google Scholar] [CrossRef]
- Lanfer-Marquez, U.M.; Barros, R.M.C.; Sinnecker, P. Antioxidant activity of chlorophylls and their derivatives. Food Res. Int. 2005, 38, 885–891. [Google Scholar] [CrossRef]
- Nguyen, P.M.; Niemeyer, E.D. Effects of nitrogen fertilization on phenolic composition and antioxidant properties of basil (Ocimum basilicum L.). J. Agric. Food Chem. 2008, 56, 8685–8691. [Google Scholar] [CrossRef] [PubMed]
- Sharafzadeh, S. Effect of nitrogen, phosphorous and potassium on growth, essential oil and total phenolic content of garden thyme (Thymus Vulgaris L.). Adv. Environ. Biol. 2011, 5, 699–703. [Google Scholar]
- Figueiredo, A.C.; Barroso, J.G.; Pedro, L.G.; Scheffer, J.C. Factors affecting secondary metabolite production in plants: Volatile components and essential oils. Flavour Fragr. J. 2008, 23, 213–226. [Google Scholar] [CrossRef]
- Ramakrishna, A.; Ravishankar, G.A. Influence of abiotic stress signals on secondary metabolites in plants. Plant Signal. Behav. 2011, 6, 1720–1731. [Google Scholar]
- Verma, N.; Shukla, S. Impact of various factors responsible for fluctuation in plant secondary metabolites. J. Appl. Res. Med. Aromat. Plants 2015, 2, 105–113. [Google Scholar] [CrossRef]
- Barrett, D.M.; Beaulieu, J.C.; Shewfelt, R. Color, flavor, texture, and nutritional quality of fresh-cut fruits and vegetables: Desirable levels, instrumental and sensory measurement, and the effects of processing. Crit. Rev. Food Sci. Nutr. 2010, 50, 369–389. [Google Scholar] [CrossRef]
- Sanchez-Zabala, J.; González-Murua, C.; Marino, D. Mild ammonium stress increases chlorophyll content in Arabidopsis thaliana. Plant Signal. Behav. 2015, 10, e991596. [Google Scholar] [CrossRef] [PubMed]
- Chenard, C.H.; Kopsell, D.A.; Kopsell, D.E. Nitrogen concentration affects nutrient and carotenoid accumulation in parsley. J. Plant Nutr. 2005, 28, 285–297. [Google Scholar] [CrossRef]
- Azizi, A.; Yan, F.; Honermeier, B. Herbage yield, essential oil content and composition of three oregano (Origanum vulgare L.) populations as affected by soil moisture regimes and nitrogen supply. Ind. Crops Prod. 2009, 29, 554–561. [Google Scholar] [CrossRef]
- Rioba, N.B.; Itulya, F.M.; Saidi, M.; Dudai, N.; Bernstein, N. Effects of nitrogen, phosphorus and irrigation frequency on essential oil content and composition of sage (Salvia officinalis L.). J. Appl. Res. Med. Aromat. Plants 2015, 2, 21–29. [Google Scholar] [CrossRef]
- Sifola, M.I.; Barbieri, G. Growth, yield and essential oil content of three cultivars of basil grown under different levels of nitrogen in the field. Sci. Hortic. 2006, 108, 408–413. [Google Scholar] [CrossRef]
- Zheljazkov, V.D.; Cantrell, C.L.; Astatkie, T.; Wayne Ebelhar, M. Peppermint productivity and oil composition as a function of nitrogen, growth stage, and harvest time. Agron. J. 2010, 102, 124–128. [Google Scholar] [CrossRef]
- Nurzyńska-Wierdak, R. Sweet basil essential oil composition: Relationship between cultivar, foliar feeding with nitrogen and oil content. J. Essent. Oil Res. 2012, 24, 217–227. [Google Scholar] [CrossRef]
- Areias, F.M.; Valenta, P.; Andrade, P.B.; Ferreres, F.; Seabra, R.M.; Vincenzi, D.; Pasquale, D. Phenolic fingerprint of peppermint leaves. Food Chem. 2001, 73, 307–311. [Google Scholar] [CrossRef]
- Cirlini, M.; Mena, P.; Tassotti, M.; Herrlinger, K.A.; Nieman, K.M.; Dall’Asta, C.; Del Rio, D. Phenolic and volatile composition of a dry spearmint (Mentha spicata L.) extract. Molecules 2016, 21, 1007. [Google Scholar] [CrossRef] [PubMed]
- Herms, D.A.; Mattson, W.J. The dilemma of plants: To grow or defend. Q. Rev. Biol. 1992, 67, 283–335. [Google Scholar] [CrossRef]

| Peppermint | Spearmint | |||||||||||||
|---|---|---|---|---|---|---|---|---|---|---|---|---|---|---|
| Amino Acids Concentration | Amino Acids Concentration | |||||||||||||
| 0% | 0.25% | 0.50% | p | 0% | 0.25% | 0.50% | p | |||||||
| Fresh weight (g) | 10.2 a | 8.52 | 7.53 | ns b | 8.05 | 8.37 | 6.23 | ns | ||||||
| Plant height (cm) | 22.83 | a c | 19.46 | b | 18.97 | b | * | 24.06 | a | 24.82 | a | 21.21 | b | * |
| Root length (cm) | 12.97 | a | 4.48 | b | 0.74 | c | *** | 11.48 | a | 3.98 | b | 0.94 | c | *** |
| Dry matter (%) | 14.2 | 14.7 | 15.5 | ns | 17.2 | 18.8 | 19.3 | ns | ||||||
| Total soluble solids (%) | 9.5 | 10.0 | 10.5 | ns | 9.5 | 10.7 | 10.3 | ns | ||||||
| Nitrates (mg/kg f.w.) | 828.5 | a | 647.4 | a | 298.7 | b | *** | 797.3 | a | 525.8 | b | 179.8 | c | *** |
| Total antixidant capacity (mg AEAC/100 g f.w.) | 110.3 | 95.6 | 134.6 | ns | 65.0 | b | 71.3 | b | 172.4 | a | ** | |||
| Total soluble phenols (mg GAE/kg f.w.) | 0.467 | 0.340 | 0.560 | ns | 0.367 | b | 0.407 | b | 0.760 | a | * | |||
| Total chlorophyll (μg/g f.w.) | 1138.4 | b | 1327.0 | a | 1248.5 | ab | * | 1173.4 | b | 1379.8 | a | 1316.7 | a | * |
| Total carotenoids (μg/g f.w.) | 200.4 | 231.4 | 225.6 | ns | 204.7 | b | 247.9 | a | 246.5 | a | * | |||
| Essential oil (ml/100 g f.w.) | 0.34 | b | 0.35 | b | 0.43 | a | * | 0.19 | b | 0.20 | b | 0.24 | a | * |
| Peppermint | Spearmint | ||||||||||||
|---|---|---|---|---|---|---|---|---|---|---|---|---|---|
| Amino Acids Concentration | Amino Acids Concentration | ||||||||||||
| No. | Compounds | RI a | 0% | 0.25% | 0.50% | p | 0% | 0.25% | 0.50% | p | |||
| 1 | α-thujene | 929 | 0.03 b | 0.03 | 0.03 | ns c | 0.02 | 0.01 | 0.02 | ns | |||
| 2 | α-pinene | 935 | 0.60 | 0.64 | 0.60 | ns | 1.23 | 1.22 | 1.27 | ns | |||
| 3 | camphene | 950 | - | - | - | 0.02 | 0.01 | 0.01 | ns | ||||
| 4 | sabinene | 974 | 0.42 | 0.44 | 0.43 | ns | 1.66 | 1.69 | 1.77 | ns | |||
| 5 | β-pinene | 977 | 0.90 | 0.92 | 0.90 | ns | 2.52 | 2.49 | 2.65 | ns | |||
| 6 | 1-octen-3-ol | 982 | 0.02 | 0.01 | 0.02 | ns | - | - | - | ||||
| 7 | myrcene | 992 | 0.25 | 0.24 | 0.24 | ns | 4.65 | 4.65 | 4.61 | ns | |||
| 8 | 3-octanol | 996 | 0.07 | 0.05 | 0.07 | ns | 0.72 | b d | 0.76 | b | 0.86 | a | ** |
| 9 | pseudolimonene | 1004 | - | - | - | 0.11 | 0.09 | 0.11 | ns | ||||
| 10 | α-terpinene | 1016 | 0.26 | 0.22 | 0.23 | ns | 0.04 | 0.02 | 0.02 | ns | |||
| 11 | o-cymene | 1025 | 0.03 | 0.03 | 0.04 | ns | - | - | - | ||||
| 12 | limonene | 1029 | 2.22 | 2.29 | 2.36 | ns | 17.57 | 16.48 | 16.80 | ns | |||
| 13 | 1,8-cineole | 1032 | 4.14 | 3.95 | 4.26 | ns | 16.44 | 17.48 | 17.41 | ns | |||
| 14 | cis-β-ocimene | 1040 | 0.14 | 0.12 | 0.12 | ns | 0.61 | 0.62 | 0.64 | ns | |||
| 15 | trans-β-ocimene | 1051 | - | - | - | 0.12 | 0.13 | 0.14 | ns | ||||
| 16 | γ-terpinene | 1060 | 0.46 | 0.39 | 0.42 | ns | 0.07 | 0.04 | 0.05 | ns | |||
| 17 | cis-sabinene hydrate | 1068 | 0.37 | 0.60 | 0.51 | ns | 0.01 | 0.03 | 0.03 | ns | |||
| 18 | terpinolene | 1087 | 0.12 | 0.10 | 0.11 | ns | 0.09 | a | 0.08 | b | 0.08 | b | * |
| Monoterpene hydrocarbons (%) | 10.00 | 10.04 | 10.33 | 45.88 | 45.79 | 46.47 | |||||||
| 19 | linalool | 1100 | 0.10 | 0.10 | 0.11 | ns | 0.11 | 0.10 | 0.11 | ns | |||
| 20 | trans-pinocarveol | 1139 | - | - | - | 0.15 | 0.14 | 0.17 | ns | ||||
| 21 | menthone | 1158 | 55.44 | 55.50 | 55.84 | ns | - | - | - | ||||
| 22 | menthofuran | 1164 | 6.49 | 7.11 | 5.43 | ns | - | - | - | ||||
| 23 | isomenthone | 1166 | 6.25 | 6.01 | 6.76 | ns | - | - | - | ||||
| 24 | neomenthol | 1167 | 0.12 | 0.11 | 0.12 | ns | - | - | - | ||||
| 25 | δ-terpineol | 1167 | - | - | - | 0.45 | 0.45 | 0.52 | ns | ||||
| 26 | menthol | 1176 | 15.16 | 14.68 | 14.79 | ns | - | - | - | ||||
| 27 | terpinen-4-ol | 1177 | 1.27 | 1.09 | 1.20 | ns | 0.13 | 0.10 | 0.13 | ns | |||
| 28 | neoisomenthol | 1182 | 0.07 | 0.06 | 0.07 | ns | - | - | - | ||||
| 29 | α-terpineol | 1189 | 0.14 | 0.11 | 0.14 | ns | 0.91 | 0.86 | 0.94 | ns | |||
| 30 | dihydrocarveol | 1193 | - | - | - | 0.11 | 0.13 | 0.15 | ns | ||||
| 31 | trans-dihydrocarvone | 1194 | - | - | - | 0.12 | 0.10 | 0.16 | ns | ||||
| 32 | trans-carveol | 1219 | - | - | - | 1.08 | 0.76 | 1.16 | ns | ||||
| 33 | pulegone | 1238 | 1.76 | 1.80 | 1.70 | ns | - | - | - | ||||
| 34 | carvone | 1247 | - | - | - | 40.64 | 41.86 | 39.87 | ns | ||||
| 35 | piperitone | 1253 | 0.49 | 0.51 | 0.54 | ns | - | - | - | ||||
| 36 | dihydroedulan II | 1284 | - | - | - | 0.13 | 0.12 | 0.16 | ns | ||||
| 37 | menthyl acetate | 1294 | 0.42 | 0.55 | 0.55 | ns | - | - | - | ||||
| Oxygenated monoterpenes (%) | 87.71 | 87.64 | 87.25 | 43.83 | 44.61 | 43.37 | |||||||
| 38 | α-copaene | 1376 | - | - | - | 0.02 | 0.02 | 0.02 | ns | ||||
| 39 | β-bourbonene | 1383 | - | - | - | 0.49 | 0.47 | 0.52 | ns | ||||
| 40 | β-elemene | 1391 | - | - | - | 0.18 | 0.17 | 0.18 | ns | ||||
| 41 | β-caryophyllene | 1415 | 0.60 | 0.63 | 0.67 | ns | 3.82 | 3.65 | 3.92 | ns | |||
| 42 | α-humulene | 1451 | - | - | - | 0.17 | 0.16 | 0.18 | ns | ||||
| 43 | cis-β-farnesene | 1461 | 0.11 | 0.11 | 0.12 | ns | 0.11 | 0.09 | 0.10 | ns | |||
| 44 | germacrene-D | 1479 | 1.01 | 1.03 | 1.09 | ns | 4.35 | 4.02 | 3.86 | ns | |||
| 45 | bicyclogermacrene | 1492 | 0.09 | 0.08 | 0.09 | ns | 0.37 | 0.33 | 0.31 | ns | |||
| 46 | δ-cadinene | 1525 | - | - | - | 0.09 | 0.08 | 0.08 | ns | ||||
| Sesquiterpene hydrocarbons (%) | 1.82 | 1.86 | 1.97 | 9.61 | 8.99 | 9.16 | |||||||
| 47 | caryophyllene oxide | 1584 | - | - | - | 0.04 | a | 0.01 | b | 0.03 | ab | * | |
| 48 | viridiflorol | 1591 | 0.26 | 0.24 | 0.26 | ns | - | - | |||||
| Oxygenated sesquiterpenes (%) | 0.26 | 0.24 | 0.26 | 0.04 | 0.01 | 0.03 | |||||||
| 49 | 13-epi-manool oxide | 2012 | - | - | - | 0.12 | b | 0.12 | b | 0.20 | a | * | |
| Oxygenated diterpenes (%) | 0.00 | 0.00 | 0.00 | 0.12 | 0.12 | 0.20 | |||||||
| Total (%) | 99.79 | 99.78 | 99.81 | 99.48 | 99.52 | 99.24 | |||||||
| Peppermint | Spearmint | ||||||||||||||
|---|---|---|---|---|---|---|---|---|---|---|---|---|---|---|---|
| Amino Acids Concentration | Amino Acids Concentration | ||||||||||||||
| No. | Compounds (mg/100 g d.w.) | 0% | 0.25% | 0.50% | p | 0% | 0.25% | 0.50% | p | ||||||
| 1 | Vanillic acid | 0.34 a | 0.46 | 0.38 | ns b | 0.84 | 0.69 | 0.82 | ns | ||||||
| 2 | 2,6-dihydroxybenzoic acid | 0.68 | 0.32 | 0.40 | ns | 0.77 | a c | 0.49 | b | 0.82 | a | * | |||
| 3 | Syringaldehyde | 0.03 | 0.04 | 0.03 | ns | 0.06 | 0.06 | 0.05 | ns | ||||||
| 4 | Daphetin | 0.13 | 0.11 | 0.10 | ns | 0.13 | 0.13 | 0.17 | ns | ||||||
| 5 | Caffeic acid | 11.79 | 10.28 | 10.41 | ns | 13.23 | 13.81 | 14.25 | ns | ||||||
| 6 | Ferulic acid | 0.23 | 0.26 | 0.25 | ns | 0.29 | 0.27 | 0.30 | ns | ||||||
| 7 | Caftaric acid | 19.35 | 29.05 | 25.14 | ns | 13.73 | 12.58 | 16.45 | ns | ||||||
| 8 | Neochlorogenic acid | 5.24 | 7.57 | 7.41 | ns | 3.06 | 3.31 | 3.50 | ns | ||||||
| 9 | Chlorogenic acid | 4.62 | 5.89 | 4.89 | ns | 4.47 | 4.44 | 5.23 | ns | ||||||
| 10 | Rosmarinic acid | 287.81 | 402.33 | 253.35 | ns | 417.62 | 400.47 | 437.49 | ns | ||||||
| 11 | Sinapyl alcohol | 0.68 | 0.56 | 0.75 | ns | 0.56 | 0.57 | 0.58 | ns | ||||||
| 12 | Fertaric acid | 1.80 | 1.87 | 1.82 | ns | 2.60 | 2.72 | 2.23 | ns | ||||||
| 13 | t-coutaric | 0.76 | b | 1.77 | a | 1.54 | a | * | 1.14 | 1.04 | 1.05 | ns | |||
| 14 | Apigenin | 1.57 | 1.31 | 1.34 | ns | 0.55 | 0.98 | 0.81 | ns | ||||||
| 15 | Luteolin | 7.50 | 6.25 | 5.77 | ns | 1.85 | 2.61 | 2.72 | ns | ||||||
| 16 | Luteolin-7-O-glucoside | 0.88 | 0.92 | 0.81 | ns | 1.18 | 1.63 | 1.43 | ns | ||||||
| 17 | Hesperidin | 128.98 | 146.85 | 134.46 | ns | 88.72 | 86.73 | 104.79 | ns | ||||||
| 18 | Apigenin-7-glucoside | 0.21 | 0.22 | 0.13 | ns | 0.43 | 0.66 | 0.55 | ns | ||||||
| 19 | Naringenin | 1.90 | 1.93 | 2.00 | ns | 1.08 | 1.30 | 1.48 | ns | ||||||
| 20 | Kaempferol-3-glucoside | 0.02 | 0.01 | 0.02 | ns | 0.02 | 0.03 | 0.03 | ns | ||||||
| 21 | Arbutin | 0.07 | 0.10 | 0.10 | ns | 0.13 | a | 0.08 | b | 0.08 | b | * | |||
| 22 | Syringic acid | 0.76 | 0.49 | 0.49 | ns | 0.47 | 0.63 | 0.67 | ns | ||||||
| 23 | Cryptochlorogenic acid | 16.22 | 21.03 | 16.94 | ns | 15.40 | 16.69 | 19.78 | ns | ||||||
| 24 | Quercetin-3-glucoside | 0.23 | 0.30 | 0.29 | ns | 0.34 | 0.25 | 0.39 | ns | ||||||
| 25 | Quercetin-4-O-glucoside | 40.03 | 45.07 | 40.84 | ns | 26.43 | 25.90 | 31.15 | ns | ||||||
| 26 | Rutin | 1.09 | 1.31 | 1.24 | ns | 2.47 | 1.09 | 2.15 | ns | ||||||
Publisher’s Note: MDPI stays neutral with regard to jurisdictional claims in published maps and institutional affiliations. |
© 2021 by the authors. Licensee MDPI, Basel, Switzerland. This article is an open access article distributed under the terms and conditions of the Creative Commons Attribution (CC BY) license (http://creativecommons.org/licenses/by/4.0/).
Share and Cite
Aktsoglou, D.-C.; Kasampalis, D.S.; Sarrou, E.; Tsouvaltzis, P.; Chatzopoulou, P.; Martens, S.; Siomos, A.S. Protein Hydrolysates Supplement in the Nutrient Solution of Soilless Grown Fresh Peppermint and Spearmint as a Tool for Improving Product Quality. Agronomy 2021, 11, 317. https://doi.org/10.3390/agronomy11020317
Aktsoglou D-C, Kasampalis DS, Sarrou E, Tsouvaltzis P, Chatzopoulou P, Martens S, Siomos AS. Protein Hydrolysates Supplement in the Nutrient Solution of Soilless Grown Fresh Peppermint and Spearmint as a Tool for Improving Product Quality. Agronomy. 2021; 11(2):317. https://doi.org/10.3390/agronomy11020317
Chicago/Turabian StyleAktsoglou, Danai-Christina, Dimitrios S. Kasampalis, Eirini Sarrou, Pavlos Tsouvaltzis, Paschalina Chatzopoulou, Stefan Martens, and Anastasios S. Siomos. 2021. "Protein Hydrolysates Supplement in the Nutrient Solution of Soilless Grown Fresh Peppermint and Spearmint as a Tool for Improving Product Quality" Agronomy 11, no. 2: 317. https://doi.org/10.3390/agronomy11020317
APA StyleAktsoglou, D.-C., Kasampalis, D. S., Sarrou, E., Tsouvaltzis, P., Chatzopoulou, P., Martens, S., & Siomos, A. S. (2021). Protein Hydrolysates Supplement in the Nutrient Solution of Soilless Grown Fresh Peppermint and Spearmint as a Tool for Improving Product Quality. Agronomy, 11(2), 317. https://doi.org/10.3390/agronomy11020317

