Assessment of the Possibilities of Using Cross-Linked Polyacrylamide (Agro Hydrogel) and Preparations with Biostimulation in Building the Quality Potential of Newly Planted Apple Trees
Abstract
1. Introduction
2. Materials and Methods
- Control—the trees not treated with preparations.
- Fertilizer with biostimulation and humic acids 1% (1 L·99 L−1 water)—spraying the herbicide belt twice a season (the first treatment was done 7 days after planting, the second 21 days after planting).
- Fertilizer with biostimulat ion and humic acids 1% (1 L·99 L−1 water)—soaking the root system for 1 h before planting the trees by dipping the entire root system of maiden trees. The solution was prepared in the morning before planting the trees.
- Fertilizer with biostimulation and humic acids 1% (1 L·99 L−1 water)—soaking the root system for 12 h before planting the trees by dipping the entire root system of maiden trees.Tthe solution was prepared in the evening the day before planting.
- Agrogel 0.5 kg·100 L−1 water—the solution was made 12 h before planting the trees, in the evening of the day before planting. Then, the root systems of the planted trees were dipped just before planting.
- Fertilizer with biostimulation and humic acids 1% (1 L·99 L−1 water) + agrogel 0.5 kg·100 L−1 water—the solution was made 12 h before planting the trees, in the evening of the day before planting. Then, the root systems of the planted trees were dipped just before planting.
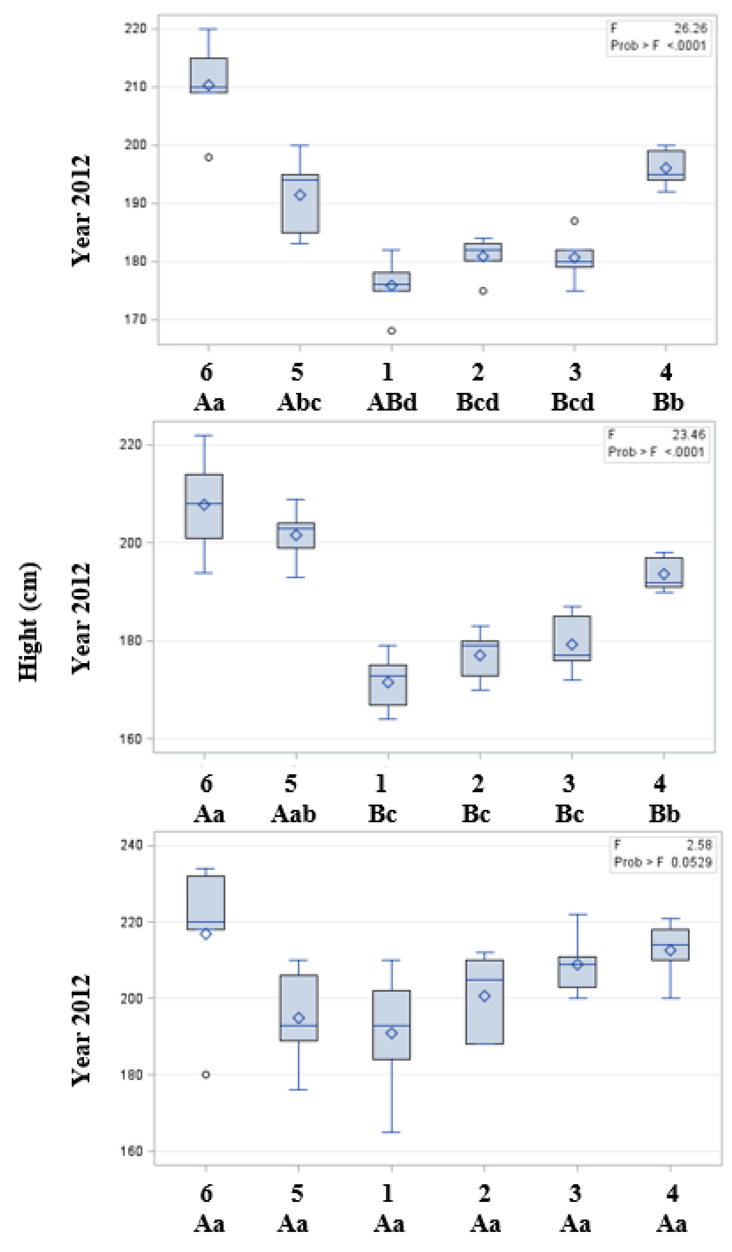
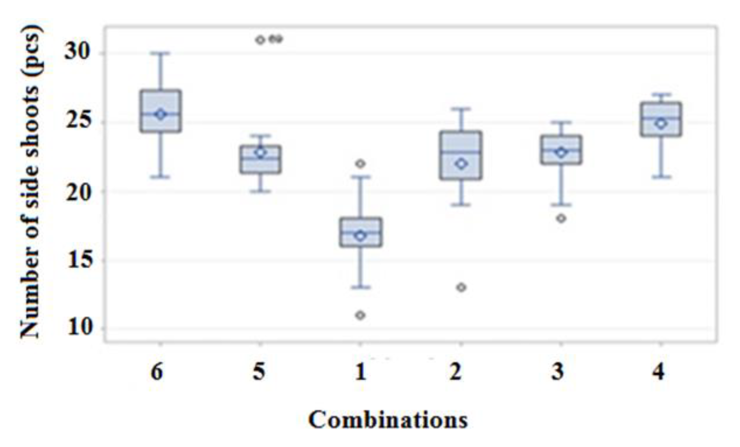
3. Results
- -
- The diameter of the tree trunks at a height of 30 cm highly correlated with the diameter of the rootstock trunks,
- -
- the height of the trees correlated with the thickness of the tree trunks,
- -
- the number of side shoots correlated with the thickness of the rootstock trunks and the trees and the height of plants,
- -
- the sum of the length of the side shoots correlated with all the assessed parameters except for the year of the test, and
- -
- meteorological conditions showed a positive correlation with the number of side shoots and the sum of the length of side shoots (Table 3).
- The concentrations used in the procedure of mixing fertilizer with biostimulation and agrogel preparations.
- The combination of using agrogel and soaking the root system for 12 h.
- The application of fertilizer with biostimulation for 1 h, which was used as a spray on the herbicide belt.
- The control roup, which did not merge into subsequent so-called branches, i.e., the trees, differed significantly in quality from the others.
4. Discussion
5. Conclusions
Author Contributions
Funding
Institutional Review Board Statement
Informed Consent Statement
Conflicts of Interest
References
- Bielicki, P.; Czynczyk, A. Drzewka jabłoni do nowoczesnych sadów XXI wieku. Zesz. Nauk. AR w Krakowie 1999, 351, 59–65. [Google Scholar]
- Treder, W.; Klamkowski, K.; Krzewińska, D.; Tryngiel-Gać, A. Najnowsze trendy w nawadnianiu upraw sadowniczych-prace badawcze związane z nawadnianiem roślin prowadzone w ISK w Skierniewicach. Infrastrukt. Ekol. Teren. Wiej. 2009, 6, 95–107. [Google Scholar]
- Treder, W. Technika i technologia nawadniania brzoskwiń i moreli. In IV Ogólnopolskie Spotkanie Producentów Brzoskwini i Moreli; Plantress: Sandomierz, Poland, 2009; pp. 45–51. [Google Scholar]
- Bot, A.J.; Nachtergaele, F.O.; Young, A. Land Resource Potential and Constraints at Regional and Country Levels; World Soil Resources Reports 90; Land and Water Development Division, FAO: Rome, Italy, 2000. [Google Scholar]
- Zawieja, J.; Gudarowska, E.; Szewczuk, A. Wpływ sposobu regulowania wilgotności gleby w młodym sadzie brzoskwiniowym na wybrane właściwości fizyczne gleby. Infrastrukt. Ekol. Teren. Wiej. 2015, 245–256. [Google Scholar] [CrossRef]
- Yazdani, F.; Allahdadi, I.; Akbari, G.A. Impact of Superabsorbent Polymer on Yield and Growth Analysis of Soybean (Glycine max. L.) under Drought Stress Condition. Pak. J. Biol. Sci. 2007, 10, 4190–4196. [Google Scholar] [CrossRef] [PubMed]
- Kuchar, L.; Iwański, S. Symulacja opadów atmosferycznych dla oceny potrzeb nawodnień roślin w perspektywie oczekiwanych zmian klimatycznych. Infrastrukt. Ekol. Teren. Wiej. 2011, 5, 7–18. [Google Scholar]
- Paluszek, J. Kształtowanie syntetycznymi polimerami właściwości gleb erodowanych terenów lessowych. Rozpr. Nauk. Akad. Rol. Lub. 2003, 277, 1–153. [Google Scholar]
- Bartnik, C. Wpływ hydrożelu na przeżywalność siewek i sadzonek sosny pospolitej w warunkach suszy. Studia Mater. Cent. Edukac. Przyr. Leśnej 2008, 10, 329–338. [Google Scholar]
- Al-Harbi, A.R.; Al-Omran, A.M.; Shalaby, A.A.; Wahdam, H.; Choudhary, M.I. Growth response of cucumber to hydrophilic polymer application under different soil moisture levels. J. Veg. Crop Prod. 1996, 2, 57–61. [Google Scholar] [CrossRef]
- Jhurry, D. Agricultural Polymers. In Proceedings of the 2nd Annual Meeting of Agricultural Scientists; Food and Agricultural Council: Réduit, Mauritius, 1997; Volume 19, p. 113. [Google Scholar]
- Dąbrowska, J.; Lejcuś, K. Charakterystyka wybranych właściwości superabsorbentów. Infrastrukt. Ekol. Teren. Wiej. 2012, 3, 59–68. [Google Scholar]
- Leciejewski, P. Wpływ wielkości dodatku hydrożelu na zmiany uwilgotnienia i tempo przesychania gleby piaszczystej w warunkach laboratoryjnych. Studia Mater. Cent. Edukac. Przyr. Leśnej 2008, 10, 316–328. [Google Scholar]
- Sroka, P. Polimery—Lekarstwo na suszę. Aura 2004, 11, 5–7. [Google Scholar]
- Lejcuś, K.; Orzeszyna, H.; Pawłowski, A.; Garlikowski, D. Wykorzystanie superabsorbentów w zabezpieczeniach przeciwerozyjnych. Infrastrukt. Ekol. Teren. Wiej. 2008, 9, 189–194. [Google Scholar]
- Paluszek, J. Wpływ polimeru TerraCottem na strukturę zerodowanej gleby płowej. Acta Agrophysica 2009, 14, 713–724. [Google Scholar]
- Paluszek, J. Wpływ hydrożelu na właściwości gleb erodowanych. Ann. UMCS 2004, 59, 149–156. [Google Scholar]
- Paluszek, J. Wpływ dodatku AgroAquaGelu 420 na fizyczne właściwości erodowanej gleby płowej. Ochr. Sr. Zasobów Nat. 2010, 44, 107–116. [Google Scholar]
- Paluszek, J. Zmiany struktury zerodowanej gleby płowej wytworzonej z lessu pod wpływem dodatku polimeru AgroAquaGel 420. Pr. Studia Geogr. 2010, 45, 345–356. [Google Scholar]
- Schmidt, R.E.; Ervin, E.H.; Zhang, X. Questions and answers about biostimulants. Golf Course Manag. 2003, 71, 91–94. [Google Scholar]
- Berlyn, G.P.; Sivaramakrishnan, S. The use of organic biostimulants to reduce fertilizer use, increase stress resistance, and promote growth. In National Proceedings Forest and Conservation Nursery Association Meeting; Department of Agriculture, Forest Service, Pacific Northwest Research Station: Portland, OR, USA, 1996; pp. 106–112. [Google Scholar]
- Verkleij, F.N. Seaweed extracts in agriculture and horticulture: A review. Biol. Agric. Hort. 1992, 8, 309–324. [Google Scholar] [CrossRef]
- Zhang, X.; Schmidt, R.E. The impact of growth regulators on the a-tocopherol status in water-stressed Poa pratensis L. Int. Turfgrass Res. J. 1997, 8, 1364–1373. [Google Scholar]
- Kováčik, P.; Šimanský, V.; Wierzbowska, J.; Renčo, M. Impact of foliar application of biostimulator Mg-Tytanit on the formation of winter oilseed rape phytomass and titanium content. J. Elem. 2016, 21, 1235–1251. [Google Scholar] [CrossRef]
- Karnok, K.J. Promises, Promises: Can Biostimulants Deliver? Golf Course Manag. 2000, 68, 67–71. [Google Scholar]
- Finnie, J.F.; Van Staden, J. The effects of seaweed concentrate and applied hormones on in vitro cultured tomato roots. J. Plant Physiol. 1985, 120, 215–310. [Google Scholar] [CrossRef]
- Mooney, P.A.; Van Staden, J. Algae and cytokinins. J. Plant Physiol. 1986, 123, 1–21. [Google Scholar] [CrossRef]
- Crouch, I.J.; Van Staden, J. Effect of seaweed concentrate on the establishment and yield of greenhouse tomato plants. J. Appl. Phycol. 1992, 4, 291–296. [Google Scholar] [CrossRef]
- Crouch, I.J.; Van Staden, J. Evidence for the presence of plant growth regulators in commercial seaweed products. Plant Growth Regul. 1993, 13, 21–29. [Google Scholar] [CrossRef]
- Reitz, S.R.; Trumble, J.T. Effects of cytokinin-containing seaweed extract on Phaseolus lunatus L.: Influence of nutrient availability and apex removal. Bot. Mar. 1996, 39, 33–38. [Google Scholar] [CrossRef]
- Durand, N.; Briand, X.; Meyer, C.H. The effect of marine bioactive substances (N Pro) and exogenous cytokinins on nitrate reductase activity in Arabidopsis thaliana. Physiol. Plant. 2003, 119, 489–493. [Google Scholar] [CrossRef]
- Stirk, W.A.; Novak, M.S.; Van Staden, J. Cytokinins in macroalgae. Plant Growth Regul. 2003, 41, 13–24. [Google Scholar] [CrossRef]
- Ordog, V.; Stirk, W.A.; Van Staden, J.; Novak, O.; Strand, M. Endogenous cytokinins in the three genera of microalgae from the Chlorophyta. J. Phycol. 2004, 40, 88–95. [Google Scholar] [CrossRef]
- Stephenson, W.A. Seaweed in Agriculture and Horticulture; Faber and Faber: London, UK, 1968. [Google Scholar]
- Munda, M.; Gubensek, F. The amino acid composition of some common marine algae from iceland. Bot. Mar. 1975, 19, 85–92. [Google Scholar] [CrossRef]
- Abetz, P. Seaweed extracts: Have they any place in Australian agriculture or horticulture? J. Aust. Inst. Agric. Sci. 1980, 46, 23–29. [Google Scholar]
- Khan, W.; Rayirath, U.P.; Subramanian, S.; Jithesh, M.N.; Rayorath, P.; Hodges, D.M.; Critchley, A.T.; Craigie, J.S.; Norrie, J.; Prithiviraj, B. Seaweed extracts as biostimulants of plant growth and development. Plant Growth Regul. 2009, 28, 386–399. [Google Scholar] [CrossRef]
- Moore, K.K. Using seaweed compost to grow bedding plants. Bio Cycle 2004, 45, 43–44. [Google Scholar]
- Mancuso, S.; Azzarello, E.; Mugnai, S.; Briand, X. Marine bioactive substances (IPA extract) improve foliar ion uptake and water stress tolerance in potted Vitis vinifera plants. Adv. Hort. Sci. 2006, 20, 156–161. [Google Scholar]
- Atzmon, N.; Van Staden, J. The effect of seaweed concentrate on the growth of Pinus pinea seedlings. New For. 1994, 8, 279–288. [Google Scholar]
- Slavik, M. Production of Norway spruce (Picea abies) seedlings on substrate mixes using growth stimulants. J. For. Sci. 2005, 51, 15–23. [Google Scholar] [CrossRef]
- Allen, V.G.; Pond, K.R.; Saker, K.E.; Fontenot, J.P.; Bagley, C.P.; Ivy, R.L.; Evans, R.R.; Schmidt, R.E.; Fike, J.H.; Zhang, X.; et al. Tasco: Influence of a brown seaweed on antioxidants in forages and livestock—A review. J. Anim. Sci. 2001, 79, 21–31. [Google Scholar] [CrossRef]
- Cluzet, S.; Torregrosa, C.; Jacquet, C.; Lafitte, C.; Fournier, J.; Mercier, L.; Salamagne, S.; Briand, X.; Esquerré-Tugayé, M.T.; Dumas, B. Gene expression profiling and protection of Medicago truncatula against a fungal infection in response to an elicitor from the green alga Ulva spp. Plant Cell Environ. 2004, 27, 917–928. [Google Scholar] [CrossRef]
- Zhang, X.; Ervin, E.H. Cytokinin—Containing seaweed and humic acid extracts associated with creeping bentgrass leaf cytokinins and drought resistance. Crop. Sci. 2004, 44, 1731–1745. [Google Scholar] [CrossRef]
- Joliet, E.; de Langlais-Jeannin, I.; Morot-Gaudry, J.F. Les Extraits D’algues Marines: Proprie´ te´ s Phytoactives et Inte´reˆ t Agronomique; Anne´e Biologique: Paris, France, 1991; pp. 109–126. [Google Scholar]
- Zhang, X.; Ervin, E.H. Impact of seaweed extract-based cytokinins and zeatin riboside on creeping bent grass heat tolerance. Crop Sci. 2008, 48, 364–370. [Google Scholar]
- Mikkelsen, R.L. Using hydrophilic polymers to control nutrient release. Fertil. Res. 1994, 38, 53–59. [Google Scholar] [CrossRef]
- Orzeszyna, H.; Garlikowski, D.; Pawłowski, A. Using of geocomposite with superabsorbent synthetic polymers as water retention element in vegetative layers. Int. Agrophisics 2006, 20, 201–206. [Google Scholar]
- Makowska, M.; Borowski, E.; Ziemba, A. Wpływ dodatku Ekosorbu do gleby na produktywność oraz zawartość N, P, K i Ca w liściach i korzeniach roślin truskawki. Annales Universitatis Mariae Curie-Skłodowska. Sect. EEE Hortic. 2005, 15, 17–28. [Google Scholar]
- Gudarowska, E.; Szewczuk, A. Influence of rootstock and soil conditioner on the growth and yield of young apple trees planted in various places characterized by diverse long-term method of soil management. Infrastruct. Ecol. Rural Areas 2011, 11, 87–95. [Google Scholar]
- Pogroszewska, E. Ocena przydatności Akrygelu-RP, stosowanego jako komponentów podłoża, do korzenienia sadzonek skrzydłokwiatu. Zesz. Postęp. Nauk Rol. 1998, 461, 373–386. [Google Scholar]
- Hetman, J.; Szot, P. Wpływ akryżelu jako składników podłoży na korzenienie się sadzonek gerbery odmiany Ferrari i Melody produkowanej in vitro. Zesz. Postęp. Nauk Rol. 1996, 429, 155–161. [Google Scholar]
- Slup, E.; Salas, P. Affecting the Quality of Nursery Produce by Soil Conditioners; Mendla University of Agriculture and Forestry Brno: Brno, Czechia, 2006; pp. 386–395. [Google Scholar]
- Gudarowska, E.; Szewczuk, A. Wpływ nawadniania i agrożelu na jakość podkładki Pumiselect i jednorocznych drzewek dwóch odmian brzoskwini. Infrastrukt. Ekol. Teren. Wiej. 2009, 3, 119–128. [Google Scholar]
- Breś, W.; Łuczak, P. Ocena właściwości hydrożelu alcosorb (AS 400) oraz badanie możliwości jego stosowania jako komponentu podłoży. Zesz. Probl. Post. Nauk Rol. 1996, 429, 65–68. [Google Scholar]
- Koc, G.; Szarek, S. Efektywność zastosowania wzrastających dawek hydrożelu w uprawie pieczarki dwuzarodnikowej Agarrius Bisporus (Lange) Sing. Imbach. J. Agribus. Rual Dev. 2011, 4, 115–122. [Google Scholar]
- Frannkenberger, W.T.; Arshad, M. Phytohormones in Soils; Marcel Dekker: New York, NY, USA, 1995. [Google Scholar]
- Salat, A. Les Biostimulants. PHM. Rev. Hortic. 2004, 454, 22–24. [Google Scholar]
- Kelting, M.; Harris, J.R.; Fanelli, J.; Appleton, B. Biostimulants and soil amendments affect two-year post transplant growth of red maple and Washington hawthorn. Hort. Sci. 1998, 33, 819–822. [Google Scholar]






| Combination | Diameter of Rootstock Trunks, 10 cm above the Soil Surface, mm | Diameter of Tree Trunks, 30 cm above the Soil Surface, mm | Height in Autumn, cm | |
|---|---|---|---|---|
| agrotechnical operations (A) | Control | 31.03 c * | 16.73 d | 179.40 d |
| Fertilizer with biostimulation 1%—spraying the herbicide belt | 31.47 c | 17.41 cd | 186.13 cd | |
| Fertilizer with biostimulation 1%—soaking 1 h before planting | 33.27 b | 17.53 bcd | 189.67 cd | |
| Fertilizer with biostimulation 1%—soaking 12 h before planting | 34.07 b | 18.41 bc | 200.73 b | |
| Agrogel 0.5 kg/100 L water | 33.43 b | 18.46 b | 195.93 bc | |
| Fertilizer with biostimulation 1% + Agrogel 0.5 kg/100 L water | 36.60 a | 21.93 a | 211.67 a | |
| YEAR (B) | 2012 | 32.48 b | 303.31 b | 18916 b |
| 2013 | 32.51 b | 302.22 c | 188.50 b | |
| 2014 | 34.93 a | 304.51 a | 204.10 a | |
| (A × B) p-value | <0.0001 | <0.0001 | 0.0140 | |
| Combination | Number of Side Shoots, pcs | Average Shoot Length, cm | Total Length of Side Shoots, cm | |
|---|---|---|---|---|
| agrotechnical operations (A) | Control | 16.81 d | 21.13 b | 351.63 c |
| Fertilizer with biostimulation 1%—spraying the herbicide belt | 22.03 c | 22.83 ab | 500.96 b | |
| Fertilizer with biostimulation 1%—soaking 1 h before planting | 22.83 bc | 22.03 ab | 504.21 b | |
| Fertilizer with biostimulation 1%—soaking 12 h before planting | 24.93 ab | 22.66 ab | 563.96 b | |
| Agrogel 0.5 kg/100 L water | 22.83 bc | 24.11 ab | 548.43 b | |
| Fertilizer with biostimulation 1% + Agrogel 0.5 kg/100 L water | 25.61 a | 26.56 a | 676.43 a | |
| YEAR (B) | 2012 | 306.95 a | 307.07 a | 738.74 a |
| 2013 | 306.17 a | 307.24 a | 716.05 a | |
| 2014 | 307.45 a | 308.11 a | 756.04 a | |
| (AxB) p-value | 0.6221 | 0.9999 | 0.9845 | |
| Growth and Quality Parameters of ‘Gala Must’ Apple Trees | Year | Diameter of Rootstock Trunks—10 cm | Diameter of Tree Trunks—30 cm | Height of Tree Trunks in Autumn | Number of Side Shoots | Average Length of Shoots | Total Length of Side Shoots |
|---|---|---|---|---|---|---|---|
| Year | 1 | ||||||
| Diameter of root trunks—10 cm | 0.372 | 1 | |||||
| Diameter of tree trunks—30 cm | 0.192 | 0.681 | 1 | ||||
| Height in autumn | 0.376 | 0.676 | 0.639 | 1 | |||
| Number of side shoots | 0.027 | 0.423 | 0.481 | 0.571 | 1 | ||
| Average length of shoots | 0.080 | 0.246 | 0.284 | 0.206 | 0.097 | 1 | |
| Total length of side shoots | 0.060 | 0.453 | 0.513 | 0.510 | 0.690 | 0.778 | 1 |
| Meteorological conditions | 0.072 | −0.252 | 0.132 | 0.324 | 0.516 | 0.326 | 0.653 |
Publisher’s Note: MDPI stays neutral with regard to jurisdictional claims in published maps and institutional affiliations. |
© 2021 by the authors. Licensee MDPI, Basel, Switzerland. This article is an open access article distributed under the terms and conditions of the Creative Commons Attribution (CC BY) license (http://creativecommons.org/licenses/by/4.0/).
Share and Cite
Kapłan, M.; Lenart, A.; Klimek, K.; Borowy, A.; Wrona, D.; Lipa, T. Assessment of the Possibilities of Using Cross-Linked Polyacrylamide (Agro Hydrogel) and Preparations with Biostimulation in Building the Quality Potential of Newly Planted Apple Trees. Agronomy 2021, 11, 125. https://doi.org/10.3390/agronomy11010125
Kapłan M, Lenart A, Klimek K, Borowy A, Wrona D, Lipa T. Assessment of the Possibilities of Using Cross-Linked Polyacrylamide (Agro Hydrogel) and Preparations with Biostimulation in Building the Quality Potential of Newly Planted Apple Trees. Agronomy. 2021; 11(1):125. https://doi.org/10.3390/agronomy11010125
Chicago/Turabian StyleKapłan, Magdalena, Agnieszka Lenart, Kamila Klimek, Andrzej Borowy, Dariusz Wrona, and Tomasz Lipa. 2021. "Assessment of the Possibilities of Using Cross-Linked Polyacrylamide (Agro Hydrogel) and Preparations with Biostimulation in Building the Quality Potential of Newly Planted Apple Trees" Agronomy 11, no. 1: 125. https://doi.org/10.3390/agronomy11010125
APA StyleKapłan, M., Lenart, A., Klimek, K., Borowy, A., Wrona, D., & Lipa, T. (2021). Assessment of the Possibilities of Using Cross-Linked Polyacrylamide (Agro Hydrogel) and Preparations with Biostimulation in Building the Quality Potential of Newly Planted Apple Trees. Agronomy, 11(1), 125. https://doi.org/10.3390/agronomy11010125

