Light Quality Affects Water Use of Sweet Basil by Changing Its Stomatal Development
Abstract
1. Introduction
2. Materials and Methods
2.1. Plant Material and Growing Conditions
2.2. Light Treatments
2.3. Evapotranspiration Measurements
2.4. Photosynthetic Parameters and Growth Measurements
2.5. Stomatal Analysis
2.6. Experimental Design and Statistical Analysis
3. Results and Discussion
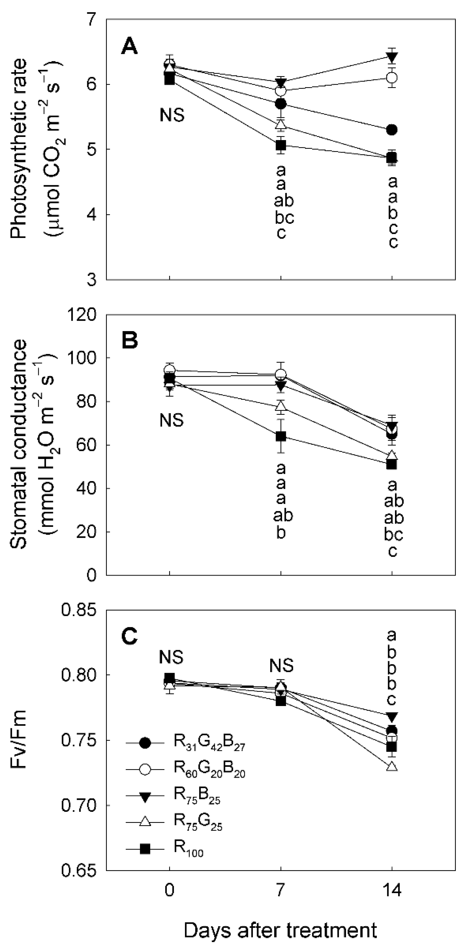
3.1. Overall Growth and Physiological Responses
3.2. Effect of Light Quality on the Water Use of Basil Plants
3.3. Stomatal Development under Different Light Quality
4. Conclusions
Author Contributions
Funding
Institutional Review Board Statement
Informed Consent Statement
Data Availability Statement
Conflicts of Interest
References
- Kozai, T.; Niu, G. Role of the plant factory with artificial lighting (PFAL) in urban areas. In Plant Factory, 2nd ed.; Kozai, T., Niu, G., Takagaki, M., Eds.; Elsevier: Amsterdam, The Netherlands, 2020; pp. 7–34. [Google Scholar]
- Bula, R.J.; Morrow, R.C.; Tibbitts, T.W.; Barta, D.J.; Ignatius, R.W.; Martin, T.S. Light-emitting diodes as a radiation source for plants. HortScience 1991, 26, 203–205. [Google Scholar] [CrossRef]
- Massa, G.D.; Kim, H.H.; Wheeler, R.M.; Mitchell, C.A. Plant productivity in response to LED lighting. HortScience 2008, 43, 1951–1956. [Google Scholar] [CrossRef]
- Kong, Y.; Nemali, A.; Mitchell, C.; Nemali, K. Spectral quality of light can affect energy consumption and energy-use efficiency of electrical lighting in indoor lettuce farming. HortScience 2019, 54, 865–872. [Google Scholar] [CrossRef]
- Pennisi, G.; Pistillo, A.; Orsini, F.; Cellini, A.; Spinelli, F.; Nicola, S.; Fernandez, J.A.; Crepaldi, A.; Gianquinto, G.; Marcelis, L.F.M. Optimal light intensity for sustainable water and energy use in indoor cultivation of lettuce and basil under red and blue LEDs. Sci. Hortic. 2020, 272, 109508. [Google Scholar] [CrossRef]
- Morrow, R.C. LED lighting in horticulture. HortScience 2008, 43, 1947–1950. [Google Scholar] [CrossRef]
- Zheng, L.; He, H.; Song, W. Application of light-emitting diodes and the effect of light quality on horticultural crops: A review. HortScience 2019, 54, 1656–1661. [Google Scholar] [CrossRef]
- Larsen, D.H.; Woltering, E.J.; Nicole, C.C.S.; Marcelis, L.F.M. Response of basil growth and morphology to light intensity and spectrum in a vertical farm. Front. Plant Sci. 2020, 11, 597906. [Google Scholar] [CrossRef]
- Silvestri, C.; Caceres, M.E.; Ceccarelli, M.; Pica, A.L.; Rugini, E.; Cristofori, V. Influence of continuous spectrum light on morphological traits and leaf anatomy of hazelnut plantlets. Front. Plant Sci. 2019, 10, 1318. [Google Scholar] [CrossRef]
- Goins, G.D.; Yorio, N.C.; Sanwo, M.M.; Brown, C.S. Photomorphogenesis, photosynthesis, and seed yield of wheat plants grown under red light-emitting diodes (LEDs) with and without supplemental blue lighting. J. Exp. Bot. 1997, 48, 1407–1413. [Google Scholar] [CrossRef]
- Christie, J.M.; Briggs, W.R. Blue light sensing in higher plants. J. Biol. Chem. 2001, 276, 11457–11460. [Google Scholar] [CrossRef]
- Yorio, N.C.; Goins, G.D.; Kagie, H.R.; Wheeler, R.M.; Sager, J.C. Improving spinach, radish, and lettuce growth under red light-emitting diodes (LEDs) with blue light supplementation. HortScience 2001, 36, 380–383. [Google Scholar] [CrossRef]
- Matsuda, R.; Ohashi-Kaneko, K.; Fujiwara, K.; Goto, E.; Kurata, K. Photosynthetic characteristics of rice leaves grown under red light with or without supplemental blue light. Plant Cell Physiol. 2004, 45, 1870–1874. [Google Scholar] [CrossRef] [PubMed]
- Kim, H.H.; Goins, G.D.; Wheeler, R.M.; Sager, J.C. Green-light supplementation for enhanced lettuce growth under red-and blue-light-emitting diodes. HortScience 2004, 39, 1617–1622. [Google Scholar] [CrossRef]
- Zhang, T.; Maruhnich, S.A.; Folta, K.M. Green light induces shade avoidance symptoms. Plant Physiol. 2011, 157, 1528–1536. [Google Scholar] [CrossRef] [PubMed]
- Sharkey, T.D.; Raschke, K. Effect of light quality on stomatal opening in leaves of Xanthium strumarium L. Plant Physiol. 1981, 68, 1170–1174. [Google Scholar] [CrossRef] [PubMed]
- XiaoYing, L.; ShiRong, G.; ZhiGang, X.; XueLei, J.; Tezuka, T. Regulation of chloroplast ultrastructure, cross-section anatomy of leaves, and morphology of stomata of cherry tomato by different light irradiations of light-emitting diodes. HortScience 2011, 46, 217–221. [Google Scholar] [CrossRef]
- Savvides, A.; Fanourakis, D.; van Ieperen, W. Co-ordination of hydraulic and stomatal conductances across light qualities in cucumber leaves. J. Exp. Bot. 2012, 63, 1135–1143. [Google Scholar] [CrossRef]
- Wang, J.; Lu, W.; Tong, Y.; Yang, Q. Leaf morphology, photosynthetic performance, chlorophyll fluorescence, stomatal development of lettuce (Lactuca sativa L.) exposed to different ratios of red light to blue light. Front. Plant Sci. 2016, 7, 250. [Google Scholar] [CrossRef]
- Frechilla, S.; Talbott, L.D.; Bogomolni, R.A.; Zeiger, E. Reversal of blue light-stimulated stomatal opening by green light. Plant Cell Physiol. 2000, 41, 171–176. [Google Scholar] [CrossRef] [PubMed]
- Pennisi, G.; Blasioli, S.; Cellini, A.; Maia, L.; Crepaldi, A.; Braschi, I.; Spinelli, F.; Nicola, S.; Fernandez, J.A.; Stanghellini, C.; et al. Unraveling the role of red:blue LED lights on resource use efficiency and nutritional properties of indoor grown sweet basil. Front. Plant Sci. 2019, 10, 305. [Google Scholar] [CrossRef] [PubMed]
- Bin, Z.; Qingya, W.; Canming, T. Anatomic analysis on heterosis in three transgenic bt pest-resistant hybrid cotton (G. hirsutum L.). Acta Agron. Sin. 2008, 34, 496–505. [Google Scholar]
- Schenkels, L.; Saeys, W.; Lauwers, A.; Maurice, P. Green light induces shade avoidance to alter plant morphology and increases biomass production in Ocimum basilicum L. Sci. Hortic. 2020, 261, 109002. [Google Scholar] [CrossRef]
- Zeiger, E.; Field, C. Photocontrol of the functional coupling between photosynthesis and stomatal conductance in the intact leaf: Blue light and PAR-dependent photosystems in guard cells. Plant Physiol. 1982, 70, 370–375. [Google Scholar] [CrossRef]
- Hogewoning, S.W.; Trouwborst, G.; Maljaars, H.; Poorter, H.; van Ieperen, W.; Harbinson, J. Blue light dose–responses of leaf photosynthesis, morphology, and chemical composition of Cucumis sativus grown under different combinations of red and blue light. J. Exp. Bot. 2010, 61, 3107–3117. [Google Scholar] [CrossRef]
- Zeiger, E. The biology of stomatal guard cells. Annu. Rev. Plant Physiol. 1983, 34, 441–474. [Google Scholar] [CrossRef]
- Assmann, S.M.; Shimazaki, K. The multisensory guard cell. Stomatal responses to blue light and abscisic acid. Plant Physiol. 1999, 119, 809–816. [Google Scholar] [CrossRef]
- Inoue, S.; Kinoshita, T. Blue light regulation of stomatal opening and the plasma membrane H+-ATPase. Plant Physiol. 2017, 174, 531–538. [Google Scholar] [CrossRef]
- McCree, K.J. The action spectrum, absorptance and quantum yield of photosynthesis in crop plants. Agric. Meteorol. 1971, 9, 191–216. [Google Scholar] [CrossRef]
- Thum, K.E.; Kim, M.; Christopher, D.A.; Mullet, J.E. Cryptochrome 1, cryptochrome 2, and phytochrome A co-activate the chloroplast psbD blue light–responsive promoter. Plant Cell 2001, 13, 2747–2760. [Google Scholar] [PubMed]
- Miao, Y.; Chen, Q.; Qu, M.; Gao, L.; Hou, L. Blue light alleviates ‘red light syndrome’ by regulating chloroplast ultrastructure, photosynthetic traits and nutrient accumulation in cucumber plants. Sci. Hortic. 2019, 257, 108680. [Google Scholar] [CrossRef]
- Fu, W.; Li, P.; Wu, Y. Effects of different light intensities on chlorophyll fluorescence characteristics and yield in lettuce. Sci. Hortic. 2012, 135, 45–51. [Google Scholar] [CrossRef]
- Sager, J.C.; Smith, W.O.; Edwards, J.L.; Cyr, K.L. Photosynthetic efficiency and phytochrome photoequilibria determination using spectral data. Trans. ASAE 1988, 31, 1882–1889. [Google Scholar] [CrossRef]
- Talbott, L.D.; Nikolova, G.; Ortiz, A.; Shmayevich, I.; Zeiger, E. Green light reversal of blue-light-stimulated stomatal opening is found in a diversity of plant species. Am. J. Bot. 2002, 89, 366–368. [Google Scholar] [CrossRef] [PubMed]
- Bouly, J.P.; Schleicher, E.; Dionisio-Sese, M.; Vandenbussche, F.; Van Der Straeten, D.; Bakrim, N.; Meier, S.; Batschauer, A.; Galland, P.; Bittl, R.; et al. Cryptochrome blue light photoreceptors are activated through interconversion of flavin redox states. J. Biol. Chem. 2007, 282, 9383–9391. [Google Scholar] [CrossRef]
- Kim, H.H.; Goins, G.D.; Wheeler, R.M.; Sager, J.C. Stomatal conductance of lettuce grown under or exposed to different light qualities. Ann. Bot. 2004, 94, 691–697. [Google Scholar] [CrossRef] [PubMed]
- Bian, Z.; Zhang, X.; Wang, Y.; Lu, C. Improving drought tolerance by altering the photosynthetic rate and stomatal aperture via green light in tomato (Solanum lycopersicum L.) seedlings under drought conditions. Environ. Exp. Bot. 2019, 167, 103844. [Google Scholar] [CrossRef]
- Talbott, L.D.; Hammad, J.W.; Harn, L.C.; Nguyen, V.H.; Patel, J.; Zeiger, E. Reversal by green light of blue light-stimulated stomatal opening in intact, attached leaves of Arabidopsis operates only in the potassium-dependent, morning phase of movement. Plant Cell Physiol. 2006, 47, 332–339. [Google Scholar] [CrossRef] [PubMed]
- Talbott, L.D.; Zeiger, E. Central roles for potassium and sucrose in guard-cell osmoregulation. Plant Physiol. 1996, 111, 1051–1057. [Google Scholar] [CrossRef]
- Kim, J.; van Iersel, M.W.; Burnett, S.E. Estimating daily water use of two petunia cultivars based on plant and environmental factors. HortScience 2011, 46, 1287–1293. [Google Scholar] [CrossRef]
- Monje, O.; Stutte, G.W.; Goins, G.D.; Porterfield, D.M.; Bingham, G.E. Farming in space: Environmental and biophysical concerns. Adv. Space. Res. 2003, 31, 151–167. [Google Scholar] [CrossRef]
- Schoch, P.G.; Zinsou, C.; Sibi, M. Dependence of the stomatal index on environmental factors during stomatal differentiation in leaves of Vigna sinensis L. 1. Effect of light intensity. J. Exp. Bot. 1980, 31, 1211–1216. [Google Scholar] [CrossRef]
- Neff, M.M.; Fankhauser, C.; Chory, J. Light: An indicator of time and place. Genes. Dev. 2000, 14, 257–271. [Google Scholar] [PubMed]
- Shimazaki, K.; Doi, M.; Assmann, S.M.; Kinoshita, T. Light regulation of stomatal movement. Annu. Rev. Plant Biol. 2007, 58, 219–247. [Google Scholar] [CrossRef]
- Inoue, S.; Kinoshita, T.; Matsumoto, M.; Nakayama, K.I.; Doi, M.; Shimazaki, K. Blue light-induced autophosphorylation of phototropin is a primary step for signaling. Proc. Natl. Acad. Sci. USA 2008, 105, 5626–5631. [Google Scholar] [CrossRef] [PubMed]
- Kang, C.Y.; Lian, H.L.; Wang, F.F.; Huang, J.R.; Yang, H.Q. Cryptochromes, phytochromes, and COP1 regulate light-controlled stomatal development in Arabidopsis. Plant Cell 2009, 21, 2624–2641. [Google Scholar] [CrossRef]
- Jensen, N.B.; Clausen, M.R.; Kjaer, K.H. Spectral quality of supplemental LED grow light permanently alters stomatal functioning and chilling tolerance in basil (Ocimum basilicum L.). Sci. Hortic. 2018, 227, 38–47. [Google Scholar] [CrossRef]









| Growth Parameters | DAT | Treatment | Significance | ||||
|---|---|---|---|---|---|---|---|
| R100 | R75G25 | R75B25 | R60G20B20 | R31G42B27 | |||
| Canopy leaf temperature (°C) | 0 | 23.7 | 23.8 | 24.0 | 23.9 | 23.7 | NS |
| 7 | 23.6 | 24.1 | 23.6 | 23.4 | 23.8 | NS | |
| 14 | 24.8 | 24.5 | 24.2 | 24.5 | 24.5 | NS | |
| Chlorophyll content (SPAD) | 0 | 33.3 | 34.6 | 34.3 | 33.3 | 32.8 | NS |
| 7 | 37.2 | 38.2 | 37.8 | 37.6 | 37.9 | NS | |
| 14 | 38.0 | 36.1 | 36.3 | 37.0 | 35.5 | NS | |
| Shoot fresh weight (g) | 0 | 6.2 | 6.9 | 6.9 | 6.8 | 7.0 | NS |
| 7 | 14.0 | 14.5 | 14.2 | 14.2 | 14.3 | NS | |
| 14 | 20.0 | 20.8 | 19.6 | 18.3 | 18.0 | NS | |
| Shoot dry weight (g) | 0 | 0.47 | 0.53 | 0.52 | 0.51 | 0.52 | NS |
| 7 | 1.19 | 1.25 | 1.23 | 1.17 | 1.21 | NS | |
| 14 | 1.86 | 1.96 | 1.93 | 1.83 | 1.90 | NS | |
| Root fresh weight (g) | 0 | 1.05 | 0.93 | 1.05 | 1.12 | 1.28 | NS |
| 7 | 3.17 | 2.77 | 2.98 | 3.38 | 2.90 | NS | |
| 14 | 5.91 | 4.57 | 4.92 | 4.61 | 5.28 | NS | |
| Root dry weight (g) | 0 | 0.07 | 0.06 | 0.07 | 0.08 | 0.08 | NS |
| 7 | 0.22 | 0.19 | 0.22 | 0.23 | 0.19 | NS | |
| 14 | 0.45 | 0.35 | 0.42 | 0.39 | 0.47 | NS | |
| Leaf area (cm2) | 0 | 228 | 241 | 249 | 246 | 251 | NS |
| 7 | 462 | 493 | 479 | 481 | 474 | NS | |
| 14 | 649 | 695 | 638 | 589 | 602 | NS | |
| Treatment | Guard Cell Length (µm) | Guard Cell Width (µm) | Pore Length (µm) | Stomatal Density (Stomata mm−2) | ||||
|---|---|---|---|---|---|---|---|---|
| 7DAT | 14DAT | 7DAT | 14DAT | 7DAT | 14DAT | 7DAT | 14DAT | |
| R100 | 35.5 | 33.2 | 20.5 | 19.3 | 26.7 | 24.3 | 60.2 | 55.7 c |
| R75G25 | 35.5 | 32.8 | 20.4 | 18.7 | 27.1 | 23.7 | 59.8 | 59.0 bc |
| R75B25 | 36.2 | 32.4 | 20.5 | 19.2 | 27.4 | 23.3 | 61.0 | 63.2 ab |
| R60G20B20 | 35.6 | 33.3 | 20.0 | 19.3 | 27.2 | 24.0 | 61.7 | 68.3 a |
| R31G42B27 | 35.9 | 33.3 | 20.1 | 19.5 | 27.3 | 23.9 | 57.5 | 67.3 a |
| Significance | NS | NS | NS | NS | NS | NS | NS | *** |
Publisher’s Note: MDPI stays neutral with regard to jurisdictional claims in published maps and institutional affiliations. |
© 2021 by the authors. Licensee MDPI, Basel, Switzerland. This article is an open access article distributed under the terms and conditions of the Creative Commons Attribution (CC BY) license (http://creativecommons.org/licenses/by/4.0/).
Share and Cite
Lim, S.; Kim, J. Light Quality Affects Water Use of Sweet Basil by Changing Its Stomatal Development. Agronomy 2021, 11, 303. https://doi.org/10.3390/agronomy11020303
Lim S, Kim J. Light Quality Affects Water Use of Sweet Basil by Changing Its Stomatal Development. Agronomy. 2021; 11(2):303. https://doi.org/10.3390/agronomy11020303
Chicago/Turabian StyleLim, Sungeun, and Jongyun Kim. 2021. "Light Quality Affects Water Use of Sweet Basil by Changing Its Stomatal Development" Agronomy 11, no. 2: 303. https://doi.org/10.3390/agronomy11020303
APA StyleLim, S., & Kim, J. (2021). Light Quality Affects Water Use of Sweet Basil by Changing Its Stomatal Development. Agronomy, 11(2), 303. https://doi.org/10.3390/agronomy11020303

