Impacts of Root-Lesion Nematode (Pratylenchus thornei) on Plant Nutrition, Biomass, Grain Yield and Yield Components of Susceptible/Intolerant Wheat Cultivars Determined by Nematicide Applications
Abstract
1. Introduction
2. Materials and Methods
2.1. Field Sites
2.2. Soil Properties
2.3. Soil Moisture, Plant Nutrients and Nematode Population Densities in the Soil Profile before Sowing
2.4. Experimental Design and Application of Fertiliser and Nematicides
2.5. Measurement of Crop Emergence, Growth and Development, and Nematode Numbers
2.6. Observations of Root Lesions, Nematodes Inside Roots, and Root Colonisation with Arbuscular Mycorrhizal Fungi
2.7. Plant Chemical Analyses
2.8. Rainfall
2.9. Soil Water and Available Nutrients
2.10. Statistical Analysis
3. Results
3.1. Population Densities of Pratylenchus thornei and Merlinius brevidens in the Soil Profile before Sowing
3.2. Experimental Data
3.3. Plant Establishment
3.4. Grain Yield
3.5. Ordination of Treatments Based on Multivariate Analysis of Nematode and Plant Variates
3.5.1. Principal Components Analysis of Experiment 2
3.5.2. Principal Components Analysis of Experiment 4
3.6. Depression of P. thornei Population Densities in the Root-Zone Soil and in the Roots at 72 DAS in Response to Aldicarb Rate in Experiment 4
3.7. Relation between Wheat Plant Variables and P. thornei Population Densities in the Root-Zone Soil at 72 DAS in Experiment 4
3.8. Effects of Fertiliser and Aldicarb Treatments on Progressive Uptake of N and P in Wheat Biomass and on Grain Protein in Experiment 4
3.9. Effects of Highest Rate of All Nematicides with and without Fertiliser on Nematode Population Densities, Wheat Growth and Yield in Experiment 4
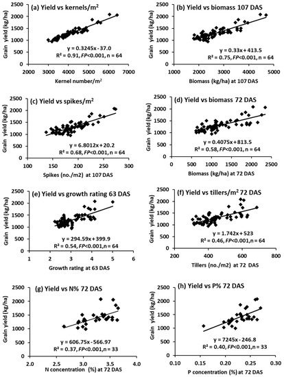
3.10. Relation between Grain Yield and Other Variables of Wheat Growth in Experiment 4
3.11. Observations of Root Lesions, Nematodes Inside Roots and Root Colonisation with Arbuscular Mycorrhizal Fungi
4. Discussion
5. Conclusions
Supplementary Materials
Author Contributions
Funding
Data Availability Statement
Acknowledgments
Conflicts of Interest
References
- Castillo, P.; Vovlas, N. Pratylenchus (Nematoda: Pratylenchidae): Diagnosis, biology, pathogenicity and management. In Biology and Ecology of Pratylenchus, Nematology Monographs Perspectives 6; Hunt, D.J., Perry, R.N., Eds.; Brill: Leden, The Netherlands; Boston, MA, USA, 2007; pp. 305–324. [Google Scholar]
- Smiley, R.W.; Nicol, J.M. Nematodes which challenge global wheat production. In Wheat Science and Trade; Carter, B.F., Ed.; Wiley-Blackwell: Ames, IA, USA, 2009; pp. 171–187. [Google Scholar]
- Thompson, J.P.; Owen, K.J.; Stirling, G.R.; Bell, M.J. Root-lesion nematodes (Pratylenchus thornei and P. neglectus): A review of recent progress in managing a significant pest of grain crops in northern Australia. Australas. Plant Pathol. 2008, 37, 235–242. [Google Scholar] [CrossRef]
- Vanstone, V.A.; Hollaway, G.J.; Stirling, G.R. Managing nematode pests in the southern and western regions of the Australian cereal industry: Continuing progress in a challenging environment. Australas. Plant Pathol. 2008, 37, 220–224. [Google Scholar] [CrossRef]
- Hodda, M.; Collins, S.J.; Vanstone, V.A.; Hartley, D.; Wanjura, W.; Kehoe, M. Pratylenchus quasiterioides n. sp. from cereals in Western Australia. Zootaxa 2014, 3866, 277–288. [Google Scholar] [CrossRef]
- Thompson, J.P.; Clewett, T.G.; Sheedy, J.G.; Reen, R.A.; O’Reilly, M. Occurrence of root-lesion nematodes (Pratylenchus thornei and P. neglectus) and stunt nematode (Merlinius brevidens) in the northern grain region of Australia. Australas. Plant Pathol. 2010, 39, 254–264. [Google Scholar] [CrossRef]
- Webb, A.A.; Grundy, M.J.; Powell, B.; Littleboy, M. The Australian subtropical cereal belt: Soils, climate and agriculture. In Sustainable Crop Production in the Sub-tropics—An Australian Perspective; Clarke, A.L., Wylie, P.B., Eds.; Queensland Department of Primary Industries: Toowoomba, Australia, 1997; pp. 8–23. [Google Scholar]
- Owen, K.J.; Sheedy, J.G.; Thompson, J.P.; Clewett, T.G.; O’Reilly, M.M. Resistance of Australian spring barley and wheat cultivars to root lesion nematode (P. thornei). In 2007 Plant Disease Management Reports (Online); Report 2: N034; American Phytopathological Society: St. Paul, MN, USA, 2008. [Google Scholar] [CrossRef]
- Thompson, J.P.; Reen, R.A.; Clewett, T.G.; Sheedy, J.G.; Kelly, A.M.; Gogel, B.J.; Knights, E.J. Hybridisation of Australian chickpea cultivars with wild Cicer spp. increases resistance to root-lesion nematodes (Pratylenchus thornei and P. neglectus). Australas. Plant Pathol. 2011, 40, 601–611. [Google Scholar] [CrossRef]
- Owen, K.J.; Clewett, T.G.; Thompson, J.P. Wheat biomass and yield increased when populations of the root-lesion nematode (Pratylenchus thornei) were reduced through sequential rotation of partially-resistant winter and summer crops. Crop. Pasture Sci. 2014, 65, 227–241. [Google Scholar] [CrossRef]
- Thompson, J.P.; Sheedy, J.G.; Robinson, N.A. Resistance of wheat genotypes to root-lesion nematode (Pratylenchus thornei) can be used to predict final nematode population densities, crop greenness and grain yield in the field. Phytopathology 2020, 110, 505–516. [Google Scholar] [CrossRef] [PubMed]
- Thompson, J.P.; Sheedy, J.G.; Robinson, N.A.; Clewett, T.G. Tolerance of wheat (Triticum aestivum) genotypes to root-lesion nematode (Pratylenchus thornei) in the subtropical grain region of eastern Australia. Euphytica 2021, in press. [Google Scholar]
- FAO. World reference base for soil resources. In World Soil Resource Report No; FAO: Rome, Italy, 1998. [Google Scholar]
- Dalal, R.C.; Mayer, R.J. Long-term trends in fertility of soils under continuous cultivation and cereal cropping in southern Queensland. b. Rate of loss of total nitrogen from the soil profile and changes in carbon-nitrogen ratios. Aust. J. Soil Res. 1986, 24, 493–504. [Google Scholar] [CrossRef]
- Thompson, J.P.; Mackenzie, J.; Sheedy, G.H. Root-lesion nematode (Pratylenchus thornei) reduces nutrient response, biomass and yield of wheat in sorghum–fallow–wheat cropping systems in a subtropical environment. Field Crops Res. 2012, 137, 126–140. [Google Scholar] [CrossRef]
- Rich, J.; Dunn, R.; Noling, J. Nematicides: Past and present uses. Nematology 2004, 21, 1179–1200. [Google Scholar]
- Desaeger, J.; Wran, C.; Zasada, I. New reduced-risk agricultural nematicides—Rationale and review. J. Nematol. 2020, 52, 1–16. [Google Scholar] [CrossRef]
- Oka, Y. From old-generation to next-generation nematicides. Agronomy 2020, 10, 1387. [Google Scholar] [CrossRef]
- Chen, J. Chemical nematicides: Recent research progress and outlook. J. Agric. Food Chem. 2020, 68, 12175–12188. [Google Scholar] [CrossRef]
- Isbell, R.F. The Australian Soil Classification, Rev. ed.; CSIRO Publishing: Melbourne, Australia, 1996. [Google Scholar]
- Soil Survey Staff. Soil Taxonomy; U.S. Dep. Agric., Agric. Handb, 1975; No. 436; United States Government Printing Office: Washington, DC, USA, 1975.
- Beckmann, G.G.; Thompson, C.H. 1960. Soils and Land Use in the Kurrawa Area, Darling Downs, Queensland; CSIRO Division Soils, Soils Land Use Series: Melbourne, Australia, 1960; No. 37. [Google Scholar]
- Day, P.R. Particle fractionation and particle-size analysis. In Methods of Soil Analysis. Part 1. Physical and Mineralogical Properties Including Statistics of Measurement and Sampling; Black, C.A., Ed.; American Society Agronomy: Madison, WI, USA, 1965; pp. 545–567. [Google Scholar]
- Rayment, G.E.; Higginson, F.R. Australian Laboratory Handbook of Soil and Water Chemical Methods; Inkata Press: Melbourne, Australia, 1992. [Google Scholar]
- Dalal, R.C.; Mayer, R.J. Long-term trends in fertility of soils under continuous cultivation and cereal cropping in southern Queensland. I. Overall changes in soil properties and trends in winter cereal yields. Aust. J. Soil Res. 1986, 24, 265–279. [Google Scholar] [CrossRef]
- Colwell, J.D. The estimation of the phosphorus fertilizer requirements of wheat in southern New South Wales by soil analysis. Austral. J. Exp. Agric. 1963, 3, 190–197. [Google Scholar] [CrossRef]
- Lindsay, W.L.; Norvell, W.A. Development of DTPA soil test for zinc, iron, manganese and copper. Soil Sci. Soc. Am. J. 1978, 43, 421–428. [Google Scholar] [CrossRef]
- Whitehead, A.G.; Hemming, J.R. A comparison of some quantitative methods of extracting small vermiform nematodes from soil. Ann. Appl. Biol. 1965, 55, 25–38. [Google Scholar] [CrossRef]
- Fortuner, R. C.I.H. Description of Plant-parasitic Nematodes Set 7. In Pratylenchus Thornei; Commonwealth Institute of Helminthology: St Albans, UK, 1977; No. 93. [Google Scholar]
- Siddiqi, M.R. C.I.H. Description of Plant-parasitic Nematodes Set 1. In Merlinius Brevidens; Commonwealth Institute of Helminthology: St Albans, UK, 1972; No. 8. [Google Scholar]
- Peters, B.G. Toxicity tests with vinegar eelworm I. Counting and culturing. J. Helminthol. 1952, 26, 97–110. [Google Scholar] [CrossRef]
- Gurner, P.S.; Dube, A.J.; Fisher, J.M. Chemical control of cereal cyst nematode (Heterodera avenae) on wheat by a new low-volume applicator. Nematologica 1980, 26, 448–454. [Google Scholar]
- Brown, R.H. Control strategies in low value crops. In Principles and Practice of Nematode Control in Crops; Brown, R.H., Kerry, B.R., Eds.; Academic Press: Sydney, Australia, 1987; pp. 351–387. [Google Scholar]
- Zadoks, J.C.; Chang, T.T.; Konzak, C.F. A decimal code for the growth stages of cereals. Weed Res. 1974, 14, 415–421. [Google Scholar] [CrossRef]
- Southey, J.F. Laboratory Methods for Work with Plant and Soil Nematodes, 6th ed.; Great Britain. Minististry of Agriculture, Fisheries and Food Reference Book. 402, HMSO: London, UK, 1986; 148p. [Google Scholar]
- Phillips, J.M.; Hayman, D.S. Improved procedures for clearing roots and staining parasitic and vesicular-arbuscular mycorrhizal fungi for rapid assessment of infection. Trans. Br. Mycol. Soc. 1970, 55, 158–161. [Google Scholar] [CrossRef]
- Giovannetti, M.; Mosse, B. An evaluation of techniques for measuring vesicular arbuscular mycorrhizal infection in roots. New Phytol. 1980, 84, 489–500. [Google Scholar] [CrossRef]
- Best, E.K. An automated method for determining nitrate-nitrogen in soil extracts. Qld. J. Agric. Anim. Sci. 1976, 33, 161–166. [Google Scholar]
- Murphy, J.; Riley, J.P. A modified single solution method for determination of phosphate in natural waters. Anal. Chim. Acta 1962, 27, 31–36. [Google Scholar] [CrossRef]
- VSN International. GenStat for Windows, 18th ed.; VSN International: Hemel Hempstead, UK, 2015. [Google Scholar]
- Baxter, R.; Blake, C. Pratylenchus thornei-a cause of root necrosis in wheat. Nematologica 1968, 14, 351–361. [Google Scholar]
- Dropkin, V.H. Introduction to Plant Nematology; John Wiley & Sons: New York, NY, USA, 1980; pp. 48–49. [Google Scholar]
- Thompson, J.P. Modelling population densities of root-lesion nematode (Pratylenchus thornei) from soil profile temperatures to choose an optimum sowing date for wheat in a subtropical region. Field Crops Res. 2015, 183, 50–55. [Google Scholar] [CrossRef]
- Whish, J.P.M.; Thompson, J.P.; Clewett, T.G.; Lawrence, J.L.; Wood, J. Pratylenchus thornei populations reduce water uptake in intolerant wheat cultivars. Field Crops Res. 2014, 161, 1–10. [Google Scholar] [CrossRef]
- Thompson, J.P. Improving the mycorrhizal conditions of the soil through cultural practices and effects on growth and phosphorus uptake of plants. In Phosphorus Nutrition of Grain Legumes in the Semi‑Arid Tropics; Johansen, C., Lee, K.K., Sahrawat, K.L., Eds.; ICRISAT (International Crops Research Institute for the Semi-Arid Tropics): Hyderabad, India, 1991; pp. 117–137. [Google Scholar]
- Owen, K.J.; Clewett, T.G.; Thompson, J.P. Pre-cropping with canola decreased Pratylenchus thornei populations, arbuscular mycorrhizal fungi, and yield of wheat. Crop. Pasture Sci. 2010, 61, 399–410. [Google Scholar] [CrossRef]
- McMaster, G.S. Development of the wheat plant. In Wheat Science and Trade; Carter, B.F., Ed.; Wiley-Blackwell: Ames, IA, USA, 2009; pp. 31–55. [Google Scholar]
- Sadras, V.; Kirkegaard, J.; Hunt, J. Water use in rainfed systems: Physiology of grain yield and its agronomic implications. In Australian Agriculture in 2020: From Conservation to Automation; Pratley, J., Kirkegaard, J., Eds.; Agronomy Australia and Charles Sturt University: Wagga Wagga, Australia, 2019; pp. 205–219. [Google Scholar]
- Robinson, N.A.; Sheedy, J.G.; Macdonald, B.J.; Owen, K.J.; Thompson, J.P. Tolerance of wheat cultivars to root-lesion nematode (Pratylenchus thornei) assessed by Normalised Difference Vegetation Index (NDVI) is predictive of grain yield. Annal. Appl. Biol. 2019, 174, 388–401. [Google Scholar] [CrossRef]
- Hague, N.G.M.; Gowen, S.R. Chemical control of nematodes. In Principles and Practice of Nematode Control in Crops; Brown, R.H., Kerry, B.R., Eds.; Academic Press: Sydney, Australia, 1987; pp. 131–178. [Google Scholar]
- Reen, R.A.; Thompson, J.P.; Clewett, T.G.; Sheedy, J.G.; Bell, K. Yield response in chickpea cultivars and wheat following crop rotations affecting population densities of Pratylenchus thornei and arbuscular mycorrhizal fungi. Crop. Pasture Sci. 2014, 65, 428–441. [Google Scholar] [CrossRef]
- Ferris, H. Population assessment and management strategies for plant parasitic nematodes. Agric. Ecosyst. Environ. 1985, 12, 285–299. [Google Scholar] [CrossRef]
- Whish, J.P.M.; Thompson, J.P.; Clewett, T.G.; Wood, J.; Rostad, H.E. Predicting the slow decline of root lesion nematodes (Pratylenchus thornei) during host-free fallows to improve farm management decisions. Eur. J. Agron. 2017, 91, 44–53. [Google Scholar] [CrossRef]
- Thompson, J.P.; Clewett, T.G.; O’Reilly, M.M. Optimising initial population, growth time and nitrogen nutrition for assessing resistance of wheat cultivars to root-lesion nematode (Pratylenchus thornei). Australas. Plant Pathol. 2015, 44, 133–147. [Google Scholar] [CrossRef]













| Rates of Active Ingredient | |||
|---|---|---|---|
| Active Ingredient | Product | Year 1 | Year 2 |
| Name | Exp. 1, Formartin | Exp. 3, Formartin | |
| Exp. 2, Macalister | Exp. 4, Pirrinuan | ||
| Carbamates | kg/ha | kg/ha | |
| Aldicarb | Temik® | 0.5, 1, 2, 4, 10 | 0.125, 0.25, 0.5, 1, 2, 4 |
| Oxamyl | Vydate® | 0.5, 1, 2, 4 | 0.5, 1, 2, 4 |
| Carbofuran | Furadan® | 0.5, 1, 2, 4 | 0.5, 1, 2, 4 |
| Carbosulfan | Marshal® | 0.5, 1, 2, 4 | 0.5, 1, 2, 4 |
| Cleothocarb | Lance® | not tested | 0.5, 1, 2, 4 |
| Organophosphates | kg/ha | kg/ha | |
| Ethoprop | Mocap® | 0.5, 1, 2, 4 | not tested |
| Terbufos | Counter® | 0.5, 1, 2, 4 | 0.5, 1, 2, 4 |
| Fenamiphos | Nemacur® | 0.5, 1, 2, 4 | 0.5, 1, 2, 4 |
| Fensulfothion | Dasanit® | 0.5, 1, 2, 4 | 0.5, 1, 2, 4 |
| Fumigants | L/ha | L/ha | |
| Ethylene dibromide (EDB) | Nemadi® | 1.9, 3.7, 7.4, 11.1 | 3.7, 7.4, 11.1, 14.8 |
| 1,3-Dichloropropene (1,3-D) | Telone II® | 1.9, 3.7, 7.4, 11.1 | 7.4, 14.3, 22.2, 27.6 |
| Seed treatments | g/kg seed | g/kg seed | |
| Oxamyl | Vydate ST® | 3, 6, 9, 12 | 3, 6, 9, 12 |
| Carbofuran | Furadan ST® | 3, 6, 9, 12 | 3, 6, 9, 12 |
| Operation | Experiment 1 | Experiment 2 | ||||
|---|---|---|---|---|---|---|
| Date | DAS a | Zadoks, GS b | Date | DAS | Zadoks, GS | |
| Deep soil sampling | 17 June | |||||
| Wheat sown | 15 June | 14 June | ||||
| Plants counted | 14 July | 29 | Z13, 3 leaf | 10 July | 26 | Z13, 3 leaf |
| Nematode and plant sampling | 17 September | 80 | Z35, stem elongation | |||
| Spike counting, biomass | 7 October | 100 | Z55, heading | |||
| Machine harvest of grain | 5 November | 143 | Z92, ripe | 4 November | 143 | Z92, ripe |
| Operation | Experiment 3 | Experiment 4 | ||||
| Date | DAS | Zadoks, GS | Date | DAS | Zadoks, GS | |
| Deep soil sampling | 10 May | 19 May | ||||
| Wheat sown | 29 June | 30 June | ||||
| Plants counted | 3 August | 35 | Z20, main shoot | 29 July | 29 | Z13, 3 leaf |
| Vegetative rating | 4 September | 67 | Z25, tillering | 1 September | 63 | Z25, tillering |
| Nematode and plant sampling | 10 September | 72 | Z32, stem elongation | |||
| Spike counting, biomass | 20 October | 113 | Z65, anthesis | 15 October | 107 | Z65, anthesis |
| Machine harvest of grain | 18 November | 148 | Z92, ripe | 18 November | 141 | Z92, ripe |
| Rainfall (mm) | |||||||||||||
|---|---|---|---|---|---|---|---|---|---|---|---|---|---|
| Year and Experiment | Month | Annual | |||||||||||
| J | F | M | A | M | J | J | A | S | O | N | D | Total | |
| Formartin | |||||||||||||
| Year 1, Exp. 1 | 102 | 51 | 4 | 0 | 53 | 3 | 34 | 20 | 0 | 85 | 39 | 71 | 462 |
| Year 2, Exp. 3 | 28 | 226 | 26 | 124 | 50 | 50 | 52 | 22 | 1 | 11 | 146 | 120 | 856 |
| Farm records | 79 | 70 | 45 | 33 | 35 | 30 | 30 | 26 | 28 | 54 | 67 | 82 | 575 |
| Jondaryan BOM | 88 | 70 | 57 | 36 | 35 | 38 | 36 | 29 | 35 | 58 | 71 | 87 | 640 |
| Macalister | |||||||||||||
| Year 1, Exp. 2 | 98 | 53 | 37 | 4 | 44 | 3 | 7 | 37 | 0 | 107 | 61 | 127 | 578 |
| Macalister BOM | 83 | 76 | 61 | 36 | 34 | 37 | 33 | 28 | 32 | 55 | 71 | 92 | 638 |
| Pirrinuan | |||||||||||||
| Year 2, Exp. 4 | 20 | 203 | 30 | 94 | 40 | 62 | 57 | 31 | 4 | 14 | 68 | 118 | 740 |
| Wyobie BOM | 78 | 64 | 55 | 28 | 36 | 32 | 32 | 28 | 30 | 60 | 68 | 90 | 600 |
| Experiment | Soil (0–120 cm) | Soil (0–10 cm) | |||
|---|---|---|---|---|---|
| Number | Location | Available Water | Mineral-N a | P b | Zn c |
| (mm) | (kg/ha) | (mg/kg) | (mg/kg) | ||
| 1 | Formartin | 172.0 ± 6.1 | 141 ± 22.7 | 15.7 ± 1.6 | 1.3 ± 0.1 |
| 2 | Macalister | 77.2 ± 9.3 | 109 ± 13.4 | 13.2 ± 0.9 | 0.39 ± 0.02 |
| 3 | Formartin | 162.5 ± 5.7 | 281 ± 33.3 | nt d | Nt |
| 4 | Pirrinuan | 135.7 ± 1.7 | 205 ± 14.7 | 15.4 ± 0.5 | 0.89 ± 0.15 |
| Method e | 7C2 | 9B2 | 12A1 | ||
Publisher’s Note: MDPI stays neutral with regard to jurisdictional claims in published maps and institutional affiliations. |
© 2021 by the authors. Licensee MDPI, Basel, Switzerland. This article is an open access article distributed under the terms and conditions of the Creative Commons Attribution (CC BY) license (http://creativecommons.org/licenses/by/4.0/).
Share and Cite
Thompson, J.P.; Clewett, T.G. Impacts of Root-Lesion Nematode (Pratylenchus thornei) on Plant Nutrition, Biomass, Grain Yield and Yield Components of Susceptible/Intolerant Wheat Cultivars Determined by Nematicide Applications. Agronomy 2021, 11, 296. https://doi.org/10.3390/agronomy11020296
Thompson JP, Clewett TG. Impacts of Root-Lesion Nematode (Pratylenchus thornei) on Plant Nutrition, Biomass, Grain Yield and Yield Components of Susceptible/Intolerant Wheat Cultivars Determined by Nematicide Applications. Agronomy. 2021; 11(2):296. https://doi.org/10.3390/agronomy11020296
Chicago/Turabian StyleThompson, John P., and Timothy G. Clewett. 2021. "Impacts of Root-Lesion Nematode (Pratylenchus thornei) on Plant Nutrition, Biomass, Grain Yield and Yield Components of Susceptible/Intolerant Wheat Cultivars Determined by Nematicide Applications" Agronomy 11, no. 2: 296. https://doi.org/10.3390/agronomy11020296
APA StyleThompson, J. P., & Clewett, T. G. (2021). Impacts of Root-Lesion Nematode (Pratylenchus thornei) on Plant Nutrition, Biomass, Grain Yield and Yield Components of Susceptible/Intolerant Wheat Cultivars Determined by Nematicide Applications. Agronomy, 11(2), 296. https://doi.org/10.3390/agronomy11020296

