Adaptive Ultrasound-Based Tractor Localization for Semi-Autonomous Vineyard Operations
Abstract
1. Introduction
- Global Navigation Satellite System (GNSS) Localization [4,5,6,7,8]. Information from positioning satellites can yield accurate positioning (sub centimeter accuracy) in open fields. However, this solution alone is not adequate for vineyard navigation. It suffers from two drawbacks: (1) surrounding vegetation may cause loss of accuracy in the reception of the satellite signal [9,10], and (2) it can be costly to keep up-to-date maps of vineyards.
- Distance-based Localization. In these methods, distance sensors return the distance of the tractor from various obstacles, and the tractor is localized with respect to these features.
- We introduce an adaptive data selection logic. We show that the adaptive data selection improves robustness against varying vegetative conditions.
- We introduce a converge detection logic that is to be employed as a master switch for the ADAS system.
- We considerably expand the validation considering data taken from the entire production cycle of a vineyard.
2. Materials and Methods
- Wheel velocity V sensor. This is the standard wheel velocity sensor installed on the tractor. It is an encoder.
- A front wheel steering sensor. It provides the steering angle at the wheel. In addition, in this case, this is a standard sensor of the tractor.
- A set of 12 ultrasonic (us) sensors. This is the main sensor employed by the localization algorithm. It is produced by Laserline. The minimum measurable distance is 0.2 m and the maximum is 3.88 m. The manufacturer claims an accuracy of 0.01 m for obstacles closer than 1.2 m and 0.02 m for farther obstacles.
- A 3D LiDAR sensor installed on the vehicle hood. This sensor calculates the ground-truth and is used only for validation purposes. The LiDAR is a Quanergy M8 device. It has a 8 vertical layers spread over a vertical Field of View of 20 degrees. It performs 10 full rotations per second.
2.1. Problem Formulation
- d as the distance from the left row.
- as the distance between the left and right rows.
- L is the wheelbase of the vehicle.
- as the distance from the rear axle to the point where the 3D LiDAR is mounted.
- as the angle of incidence, i.e., the angle between the longitudinal direction of the tractor and the direction of the left row.
- as the steering angle.
- V as the magnitude of the vehicle velocity at the rear axle.
- r as the vehicle yaw rate.
2.2. Localization Algorithm
2.2.1. Ground-Truth Computation
2.2.2. Data Pre-Processing
2.2.3. Extended Kalman Filter
- i is the number of the sensor (see Figure 2);
- li is the longitudinal mounting offset with respect to the measurement point shown in Figure 3 of the ith sensor (taken positive toward the rear axle); and
- is the lateral offset with respect to the center of the vehicle and taken positive.
2.2.4. Data Selection
- In spring, the covariance matrix values are narrowly clustered. This is due to the fact that the spring vines tend to be orderly and uniform and sufficiently dense to provide enough acoustic echoes.
- In summer, the variance is more spread and higher than in spring. The summer growth tends to create a discontinuous row with many protruding branches.
- In winter, we have the highest variability of the covariance matrix but, at same time, the lowest minimum values. In this season, the algorithm has fewer features to use for localization (explaining the high variability), but, at the same time, the few features are better aligned and representative of the straight row.
2.2.5. EKF Tuning
2.2.6. Convergence Flag
3. Discussion
3.1. State Augmentation
3.2. Data Selection
- In winter, without data selection, the estimated distance exhibits both a large bias and noise. There are too many measurements that do not fall on the adjacent row.
- In winter, the data selection step considerably improves the accuracy of both estimated variables.
- In winter, the benefit of the adaptive window is marginal. Recall that the error dependence on the window size is fairly smooth in winter.
- In spring, both solutions of data filtering provide a benefit against the EKF without data selection.
- The summer experiment is the one that better underlines the advantages on the adaptive window. The experiment shows that the solution with the fixed window can be subject to local divergence. The adaptive windowing helps preventing these issues because it selects a window size far from the performance discontinuity shown in Figure 10.
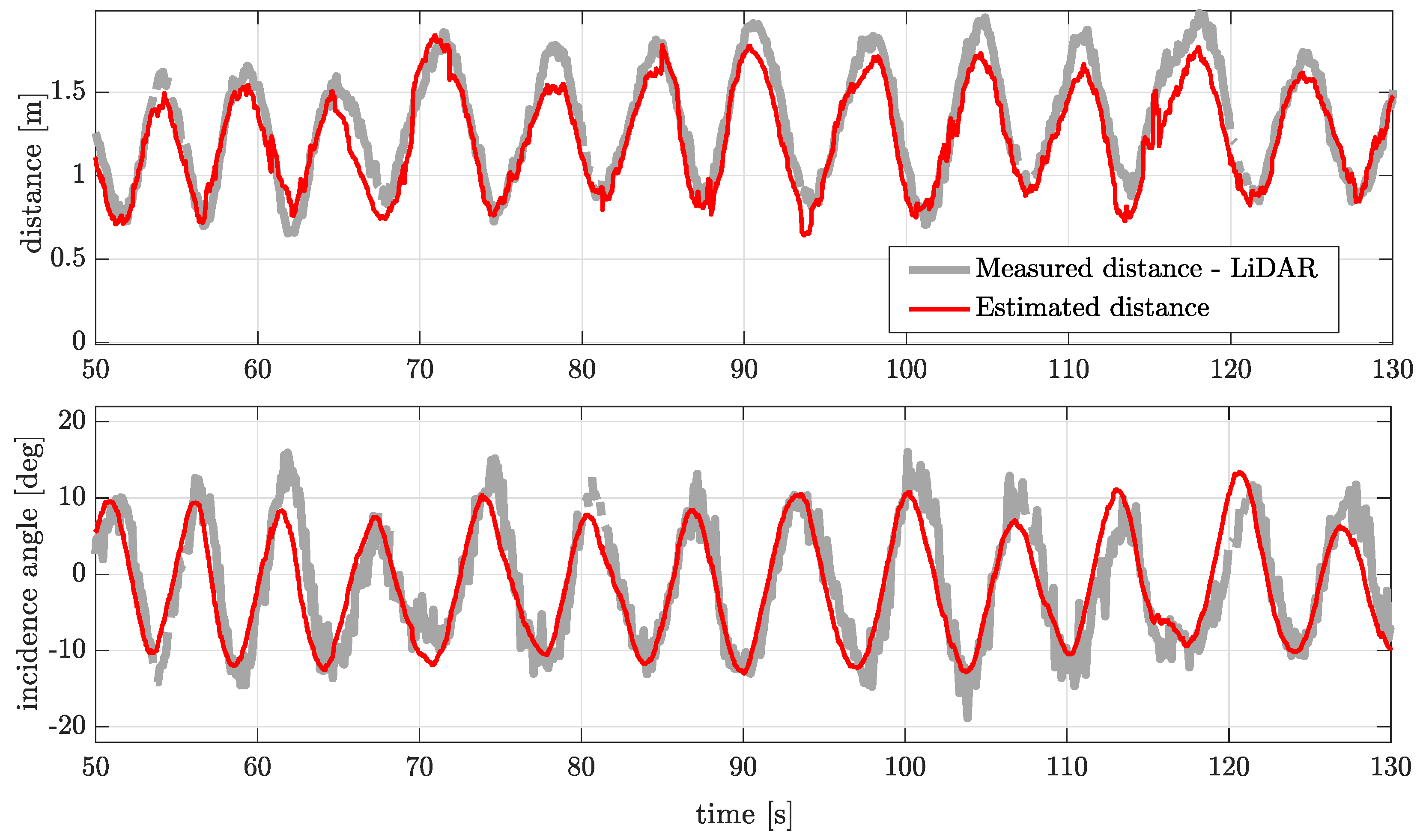
3.3. Validation for Different Driving Scenarios
3.4. Validation of the Convergence Flag
- Convergence advance (): the time between when the threshold triggers and when the estimation error reaches 0 for the first time. The larger this time, the quicker the flag response.
- Convergence error (): the distance error at the time the threshold is crossed. The smaller this index, the better.
4. Conclusions
Author Contributions
Funding
Informed Consent Statement
Acknowledgments
Conflicts of Interest
References
- Surbrook, T.; Gerrish, J.B. Mobile Robots in Agricolture. Proceedings of the First International Conference on Robotics and Intelligent Machines in Agriculture. Am. Soc. Agric. 1984, 84, 30. [Google Scholar]
- Prasad, D.; Singla, K.; Baggan, V. System Model for Smart Precision Farming for High Crop Yielding. J. Comput. Theor. Nanosci. 2019, 16, 4406–4411. [Google Scholar] [CrossRef]
- Romeo, L.; Petitti, A.; Marani, R.; Milella, A. Internet of Robotic Things in Smart Domains: Applications and Challenges. Sensors 2020, 20, 3355. [Google Scholar] [CrossRef] [PubMed]
- Dong, F.; Heinemann, W.; Kasper, R. Development of a row guidance system for an autonomous robot for white asparagus harvesting. Comput. Electron. Agric. 2011, 79, 216–225. [Google Scholar] [CrossRef]
- Reid, J.F.; Zhang, Q.; Noguchi, N.; Dickson, M. Agricultural automatic guidance research in North America. Comput. Electron. Agric. 2000, 25, 155–167. [Google Scholar] [CrossRef]
- Wang, X.; Fu, M.; Ma, H.; Yang, Y. Lateral control of autonomous vehicles based on fuzzy logic. Control Eng. Prac. 2015, 34, 1–17. [Google Scholar] [CrossRef]
- Lenain, R.; Thuilot, B.; Cariou, C.; Martiner, P. A new nonlinear control for vehicle in sliding conditions: Application to automatic guidance of farm vehicles using RTK GPS. In Proceedings of the 2004 IEEE International Conference on Robotics and Automation (ICRA’04), New Orleans, LA, USA, 26 April–1 May 2004; Volume 5, pp. 4381–4386. [Google Scholar]
- Guo, J.; Li, X.; Li, Z.; Hu, L.; Yang, G.; Zhao, C.; Fairbairn, D.; Watson, D.; Ge, M. Multi-GNSS precise point positioning for precision agriculture. Prec. Agric. 2018, 19, 895–911. [Google Scholar] [CrossRef]
- Ekambaram, V.N.; Ramchandran, K. Distributed high accuracy peer-to-peer localization in mobile multipath environments. In Proceedings of the 2010 IEEE Global Telecommunications Conference GLOBECOM 2010, Miami, FL, USA, 6–10 December 2010; pp. 1–5. [Google Scholar]
- Liu, K.; Lim, H.B.; Frazzoli, E.; Ji, H.; Lee, V.C. Improving positioning accuracy using GPS pseudorange measurements for cooperative vehicular localization. IEEE Trans. Veh. Technol. 2013, 63, 2544–2556. [Google Scholar] [CrossRef]
- Subramanian, V.; Burks, T.F.; Arroyo, A. Development of machine vision and laser radar based autonomous vehicle guidance systems for citrus grove navigation. Comput. Electron. Agric. 2006, 53, 130–143. [Google Scholar] [CrossRef]
- Guerrero, J.M.; Ruz, J.J.; Pajares, G. Crop rows and weeds detection in maize fields applying a computer vision system based on geometry. Comput. Electron. Agric. 2017, 142, 461–472. [Google Scholar] [CrossRef]
- Barawid, O.C., Jr.; Mizushima, A.; Ishii, K.; Noguchi, N. Development of an autonomous navigation system using a two-dimensional laser scanner in an orchard application. Biosyst. Eng. 2007, 96, 139–149. [Google Scholar] [CrossRef]
- Illingworth, J.; Kittler, J. A survey of the Hough transform. Comput. Vision Graph. Image Process. 1988, 44, 87–116. [Google Scholar] [CrossRef]
- Weiss, U.; Biber, P. Plant detection and mapping for agricultural robots using a 3D LIDAR sensor. Robot. Autonom. Syst. 2011, 59, 265–273. [Google Scholar] [CrossRef]
- Hiremath, S.A.; Van Der Heijden, G.W.; Van Evert, F.K.; Stein, A.; Ter Braak, C.J. Laser range finder model for autonomous navigation of a robot in a maize field using a particle filter. Comput. Electron. Agric. 2014, 100, 41–50. [Google Scholar] [CrossRef]
- Astolfi, P.; Gabrielli, A.; Bascetta, L.; Matteucci, M. Vineyard Autonomous Navigation in the Echord++ GRAPE Experiment. IFAC-PapersOnLine 2018, 51, 704–709. [Google Scholar] [CrossRef]
- Furioli, S.; Onesto, L.; Corno, M.; Cesana, P.; Savaresi, S. Cost-effective Tractor Localization for Semi-Autonomous Vineyard Operations. In Proceedings of the 2020 IEEE 23rd International Conference on Intelligent Transportation Systems (ITSC), Rhodes, Greece, 20–23 September 2020; pp. 1–6. [Google Scholar]
- Schnabel, R.; Wahl, R.; Klein, R. Efficient RANSAC for point-cloud shape detection. Wiley Online Library. Comput. Graph. Forum 2007, 26, 214–226. [Google Scholar] [CrossRef]
- Chui, C.K.; Chen, G. Kalman Filtering; Springer: Berlin/Heidelberg, Germany, 2017. [Google Scholar]
- Gustafsson, F.; Gunnarsson, F.; Bergman, N.; Forssell, U.; Jansson, J.; Karlsson, R.; Nordlund, P.J. Particle filters for positioning, navigation, and tracking. IEEE Trans. Signal Process. 2002, 50, 425–437. [Google Scholar] [CrossRef]




















Publisher’s Note: MDPI stays neutral with regard to jurisdictional claims in published maps and institutional affiliations. |
© 2021 by the authors. Licensee MDPI, Basel, Switzerland. This article is an open access article distributed under the terms and conditions of the Creative Commons Attribution (CC BY) license (http://creativecommons.org/licenses/by/4.0/).
Share and Cite
Corno, M.; Furioli, S.; Cesana, P.; Savaresi, S.M. Adaptive Ultrasound-Based Tractor Localization for Semi-Autonomous Vineyard Operations. Agronomy 2021, 11, 287. https://doi.org/10.3390/agronomy11020287
Corno M, Furioli S, Cesana P, Savaresi SM. Adaptive Ultrasound-Based Tractor Localization for Semi-Autonomous Vineyard Operations. Agronomy. 2021; 11(2):287. https://doi.org/10.3390/agronomy11020287
Chicago/Turabian StyleCorno, Matteo, Sara Furioli, Paolo Cesana, and Sergio M. Savaresi. 2021. "Adaptive Ultrasound-Based Tractor Localization for Semi-Autonomous Vineyard Operations" Agronomy 11, no. 2: 287. https://doi.org/10.3390/agronomy11020287
APA StyleCorno, M., Furioli, S., Cesana, P., & Savaresi, S. M. (2021). Adaptive Ultrasound-Based Tractor Localization for Semi-Autonomous Vineyard Operations. Agronomy, 11(2), 287. https://doi.org/10.3390/agronomy11020287

