Chili and Sweet Pepper Seed Oil Used as a Natural Antioxidant to Improve the Thermo-Oxidative Stability of Sunflower Oil
Abstract
1. Introduction
2. Materials and Methods
2.1. Oil Samples
2.2. Application of CPSO and SPSO to SFO
2.3. Heating Processes
2.4. Determination of Fatty Acid Composition by GC-MS
2.5. Determination of Peroxide Value
2.6. p-Anisidine Value (p-AV)
2.7. Total Oxidation Value (TOTOX)
2.8. Assessing the Lipid Oxidation Degree of Oil Samples by TBA Test
2.9. Statistical Analysis
3. Results
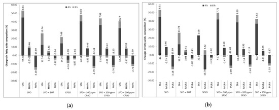
3.1. Fatty Acids Composition
- The highest content of palmitic acid (C16:0) was found in CPSO (13.90%) and the lowest in SFO + BHT (8.51%);
- The highest content of stearic acid was found in SPSO (4.82%) and the lowest in SFO (3.33%);
- The highest content of oleic acid was identified in SFO (30.76%) and the lowest in CPSO (11.42%);
- The largest amounts of linoleic acid were registered in CPSO (70.41%) and the smallest in SFO + BHT (56.83%).
3.2. Peroxide Value
3.3. p-Anisidine Value (p-AV)
3.4. Total Oxidation Value (TOTOX Value)
3.5. Assessing the Lipid Oxidation Degree of Oil Samples by TBA Test
4. Discussion
5. Conclusions
Author Contributions
Funding
Institutional Review Board Statement
Informed Consent Statement
Data Availability Statement
Acknowledgments
Conflicts of Interest
References
- Poiană, M.A. Enhancing Oxidative Stability of Sunflower Oil during Convective and Microwave Heating Using Grape Seed Extract. Int. J. Mol. Sci. 2012, 13, 9240–9259. [Google Scholar] [CrossRef] [PubMed]
- Wąsowicz, E.; Gramza, A.; Hęś, M.; Jeleń, H.H.; Korczak, J.; Małecka, M.; Mildner-Szkudlarz, S.; Rudzińska, M.; Samotyja, U.; Zawirska-Wojtasiak, R. Oxidation of Lipids in Food. Pol. J. Food Nutr. Sci. 2004, 13, 87–100. [Google Scholar]
- Tena, N.; Lobo-Prieto, A.; Aparicio, R.; García-González, D.L. Storage and Preservation of Fats and Oils. Encycl. Food Secur. Sustain. 2019, 2, 605–618. [Google Scholar]
- Iqbal, S.; Haleem, S.; Akhtar, M.; Zia-ul-Haq, M.; Akbar, J. Efficiency of Pomegranate Peel Extracts in Stabilization of Sunflower Oil under Accelerated Conditions. Food Res. Int. 2008, 41, 194–200. [Google Scholar] [CrossRef]
- Yang, C.Y.; Mandal, P.K.; Han, K.H.; Fukushima, M.; Choi, K.; Kim, C.J.; Lee, C.H. Capsaicin and Tocopherol in Red Pepper Seed Oil Enhances the Thermal Oxidative Stability during Frying. J. Food Sci. Technol. 2010, 47, 162–165. [Google Scholar] [CrossRef] [PubMed]
- Laguerre, M.; Lecomte, J.; Villeneuve, P. Evaluation of the Ability of Antioxidants to Counteract Lipid Oxidation: Existing Methods, New Trends and Challenges. Prog. Lipid Res. 2007, 46, 244–282. [Google Scholar] [CrossRef]
- Yanishlieva, N.V.; Marinova, E.M. Stabilization of Edible Oils with Natural Antioxidants. Eur. J. Lipid Sci. Technol. 2001, 103, 752–767. [Google Scholar] [CrossRef]
- Zhang, Y.; Yang, L.; Zu, Y.; Chen, X.; Wang, F.; Liu, F. Oxidative Stability of Sunflower Oil by Carnosic Acid Compared with Synthetic Antioxidants during Accelerated Storage. Food Chem. 2010, 118, 656–662. [Google Scholar] [CrossRef]
- Kalantzakis, G.; Blekas, G. Effect of Greek Sage and Summer Savory Extracts on Vegetable Oil Thermal Stability. Eur. J. Lipid Sci. Technol. 2006, 108, 842–847. [Google Scholar] [CrossRef]
- Wang, L.; Liu, H.-M.; Qin, G.-Y. Structure Characterization and Antioxidant Activity of Polysaccharides from Chinese Quince Seed Meal. Food Chem. 2017, 234, 314–322. [Google Scholar] [CrossRef] [PubMed]
- Blasi, F.; Rocchetti, G.; Montesano, D.; Lucini, L.; Chiodelli, G.; Ghisoni, S. Changes in Extra-Virgin Olive Oil Added with LYCIUM Barbarum L. Carotenoids during Frying: Chemical Analyses and Metabolomic Approach. Food Res. Int. 2018, 105, 507–516. [Google Scholar] [CrossRef]
- Budryn, G.; Nebesny, E.; Zyzelewicz, D.; Oracz, J. Properties of Model Systems of Sunflower Oil and Green Coffee Extract after Heat Treatment and Storage. LWT-Food Sci. Technol. 2014, 59, 467–478. [Google Scholar] [CrossRef]
- Alama, M.A.; Syazwaniea, N.F.; Mahmoda, N.H.; Badaluddina, N.A.; Mustafab, K.A.; Aliasa, N.; Aslanic, F.M.; Prodhand, A. Evaluation of Antioxidant Compounds, Antioxidant Activities and Capsaicinoid Compounds of Chili (Capsicum sp.) Germplasms Available in Malaysia. J. Appl. Res. Med. Aromat. Plants 2018, 9, 46–54. [Google Scholar] [CrossRef]
- Kogure, K.; Goto, S.; Nishimura, M.; Yasumoto, M.; Abe, K.; Ohiwa, C.; Sassa, H.; Kusumi, T.; Terrada, H. Mechanism of Potent Antiperoxidative Effect of Capsaicin. Biochim. Biophys. Acta 2002, 1573, 84–92. [Google Scholar] [CrossRef]
- Lee, C.H.; Lee, I.H. The Effect of Capsaicin on the Thermal and Oxidative Stability of Soybean Oil. Anim. Resour. Res. 2001, 22, 9–17. [Google Scholar]
- Lee, C.H.; Han, K.H.; Kim, A.Y.; Lee, S.K.; Hong, G.E.; Pyun, C.W.; Choi, K.D.; Yang, C.Y. Effect of Hot Pepper Seed Oil, Capsaicin and Alpha-Tocopherol on Thermal Oxidative Stability in Lard and Soy Bean Oil. Korean J. Food Sci. Anim. Resourc. 2008, 28, 660–666. [Google Scholar] [CrossRef][Green Version]
- Iordănescu, O.A.; Radulov, I.P.; Buhan, I.; Cocan, I.; Berbecea, A.A.; Popescu, I.; Poșta, D.S.; Camen, D.; Lalescu, D. Physical, Nutritional and Functional Properties of Walnuts Genotypes (Juglans regia L.) from Romania. Agronomy 2021, 11, 1092. [Google Scholar] [CrossRef]
- Association of Coaching Supervisors. Official and Recommended Practices of the American Oil Chemists’ Society, Official Methods and Recommended Practices, 5th ed.; Firestone, D., Ed.; AOAC Press: Champaign, IL, USA, 1998. [Google Scholar]
- AOCS. Official Method Cd 18–90, p-Anisidine Value, Official Methods and Recommended Practices of the AOCS; AOCS: Urbana, IL, USA, 2017. [Google Scholar]
- Gordon, M.H. Measuring Antioxidant Activity, Ch 4. In Antioxidants in Food: Practical Applications; Pokorny, J., Yanishlieva, N., Gordon, M., Eds.; CRC Press: Boca Raton, FL, USA, 2001; pp. 71–80. [Google Scholar]
- Singh, G.; Maurya, S.; de Lampasona, M.P.; Catalan, C. Chemical Constituents, Antifungal and Antioxidative Potential of Foeniculum Vulgare Volatile Oil and Its Acetone Extract. Food Control 2006, 17, 745–752. [Google Scholar] [CrossRef]
- Kikuzaki, H.; Nakatani, N. Antioxidant Effect of Some Ginger Constituents. J. Food Sci. 1993, 58, 1407–1410. [Google Scholar] [CrossRef]
- Tarladgis, B.G.; Watts, B.M.; Younathan, M.T.; Dugan, L. A Distillation Method for the Quantitative Determination of Malonaldehyde in Rancid Food. J. Am. Oil Chem. Soc. 1960, 37, 44–48. [Google Scholar] [CrossRef]
- Aladedunye, F.; Przybylski, R. Frying Stability of High Oleic Sunflower Oils as Affected by Composition of Tocopherol Isomers and Linoleic Acid Content. Food Chem. 2013, 141, 2373–2378. [Google Scholar] [CrossRef]
- Alexa, E.; Poiană, M.A.; Peev, C.; Dehelean, C. Detection of Vegetable Oils Adulteration on the Basis of Fatty Acids Composition Determined by RP-HPLC. Rev. De Chim. 2006, 57, 285–289. [Google Scholar]
- Jarret, R.L.; Levy, I.J.; Potter, T.L.; Cermak, S.C. Seed Oil and Fatty Acid Composition in Capsicum spp. J. Food Compos. Anal. 2013, 30, 102–108. [Google Scholar] [CrossRef]
- Silva, L.R.; Azevedo, J.; Pereira, M.J.; Valentão, P.; Andrade, P.B. Chemical Assessment and Antioxidant Capacity of Pepper (Capsicum annuum L.) Seeds. Food Chem. Toxicol. 2013, 53, 240–248. [Google Scholar] [CrossRef] [PubMed]
- Medina-Juárez, L.Á.; Gámez-Meza, N. Effect of Refining Process and Use of Natural Antioxidants on Soybean Oil. In Soybean-Biochemistry, Chemistry and Physiology; Ng, T.-B., Ed.; Books on Demand: Norderstedt, Germany, 2011; pp. 435–454. [Google Scholar]
- Ungureanu, C.-R.; Poiana, M.-A.; Cocan, I.; Lupitu, A.I.; Alexa, E.; Moigradean, D. Strategies to Improve the Thermo-Oxidative Stability of Sunflower Oil by Exploiting the Antioxidant Potential of Blueberries Processing Byproducts. Molecules 2020, 25, 5688. [Google Scholar] [CrossRef] [PubMed]
- Wang, D.; Meng, Y.; Zhao, X.; Fan, W.; Yi, T.; Wang, X. Sunflower Oil Flavored by Essential Oil from Punica Granatum Cv. Heyinshiliu Peels Improved Its Oxidative Stability and Sensory Properties. LWT 2019, 111, 55–61. [Google Scholar] [CrossRef]
- Wang, D.; Chen, X.; Wang, Q.; Meng, Y.; Wang, D.; Wang, X. Influence of the Essential Oil of Mentha Spicata Cv. Henanshixiang on Sunflower Oil during the Deep-Frying of Chinese Maye. LWT 2020, 122, 109020. [Google Scholar] [CrossRef]
- Hussain, S.A.; Hameed, A.; Ajmal, I.; Nosheen, S.; Suleriam, H.A.R.; Song, Y. Effects of Sesame Seed Extract as a Natural Antioxidant on the Oxidative Stability of Sunflower Oil. J. Food Sci. Technol. 2018, 55, 4099–4110. [Google Scholar] [CrossRef]


| Time | |||
|---|---|---|---|
| Temperature (°C) | 0 h | 4 h | 8 h |
| 26.4 | 177.4 | 179.1 | |
| Sample | Fatty Acids (%) | ||||
|---|---|---|---|---|---|
| C16:0 | C18:0 | C18:1 | C18:2 | C22:1 | |
| initial | |||||
| SFO | 8.54 ± 0.13 a | 3.33 ± 0.10 a | 30.76 ± 1.22 a | 56.91 ± 1.11 a | nd |
| SFO + BHT | 8.51 ± 0.16 a | 3.53 ± 0.09 a,c | 30.63 ± 1.00 a | 56.83 ± 1.39 a | nd |
| CPSO | 13.90 ± 0.45 b | 4.26 ± 0.12 b | 11.42 ± 0.29 b | 70.41 ± 2.04 b | nd |
| SPSO | 13.10 ± 0.47 b | 4.82 ± 0.19 d | 12.51 ± 0.30 c | 69.39 ± 2.05 b | 0.18 ± 0.03 a |
| SFO + 100 ppmCPSO | 9.08 ± 0.17 c | 3.44 ± 0.11 a | 28.84 ± 0.97 a,e | 58.28 ± 1.46 a,c | nd |
| SFO + 200 ppmCPSO | 9.69 ± 0.20 d | 3.52 ± 0.10 a,c,f | 26.90 ± 0.92 d,e | 59.66 ± 1.88 a,c | nd |
| SFO + 300 ppmCPSO | 10.18 ± 0.24 d,e | 3.62 ± 0.12 c,f | 24.82 ± 0.89 d,f | 60.98 ± 1.28 c | nd |
| SFO + 100 ppmSPSO | 8.98 ± 0.16 c | 3.49 ± 0.09 a,f | 28.96 ± 0.96 a,e | 58.19 ± 1.40 a,c | 0.02 ± 0.01 b |
| SFO + 200 ppmSPSO | 9.50 ± 0.18 d,f | 3.63 ± 0.16 c,f | 27.12± 0.77 d,e,g | 59.39 ± 1.84 a,c | 0.05 ± 0.02 b,d |
| SFO + 300 ppmSPSO | 9.89 ± 0.17 d,f | 3.75 ± 015 e,f | 25.37 ± 0.93 d | 60.62 ± 1.81 c | 0.07 ± 001 c,d |
| Sample | 4 h | ||||
| SFO | 8.21 ± 0.21 a | 8.99 ± 0.28 a | 33.67 ± 1.08 a | 49.12 ± 1.04 a | nd |
| SFO + BHT | 8.40 ± 0.16 a | 5.15 ± 0.12 b | 31.56 ± 1.06 a,d | 54.89 ± 1.09 b | nd |
| CPSO | 12.54 ± 0.51 b | 8.21 ± 0.20 c | 10.85 ± 0.40 b | 68.40 ± 1.88 c | nd |
| SPSO | 12.47 ± 0.37 b | 9.49 ± 0.24 a,d | 10.14 ± 0.26 b | 67.43 ± 2.13 c | 0.41 ± 0.03 a |
| SFO + 100 ppmCPSO | 8.64 ± 0.34 a,d | 8.94 ± 0.22 a,e | 31.28 ± 0.96 c,d | 51.05 ± 0.95 a,d | nd |
| SFO + 200 ppmCPSO | 9.07 ± 0.25 c,d | 8.85 ± 0.15 a,e | 29.11 ± 0.97 c,f | 52.95 ± 1.07 b,d | nd |
| SFO + 300 ppmCPSO | 9.50 ± 0.35 c | 8.75 ± 0.22 a,e | 26.85 ± 0.99 e | 54.89 ± 1.33 b | nd |
| SFO + 100 ppmSPSO | 8.61 ± 0.22 a | 9.04 ± 0.24 a | 31.38 ± 1.06 a,d,f | 50.93 ± 1.09 a,d | 0.03 ± 0.01 b |
| SFO + 200 ppmSPSO | 9.09 ± 0.20 c,d | 9.08 ± 0.23 a | 28.99 ± 1.02 e,f | 52.78 ± 1.04 b,d | 0.06 ± 0.02 b,c |
| SFO + 300 ppmSPSO | 9.54 ± 0.19 c | 9.16 ± 0.17 a | 26.59 ± 0.92 e | 54.64 ± 1.44 b | 0.11 ± 0.03 c |
| Sample | 8 h | ||||
| SFO | 8.80 ± 0.23 a | 9.83 ± 0.29 a | 32.81 ± 0.96 a | 47.56 ± 1.13 a | nd |
| SFO + BHT | 8.89 ± 0.38 a,c | 6.50 ± 0.15 b | 32.32 ± 1.10 a,d | 53.89 ± 1.15 b | nd |
| CPSO | 11.81 ± 0.41 b | 10.49 ± 0.35 a | 10.40 ± 0.44 b | 67.12 ± 1.60 c | nd |
| SPSO | 12.24 ± 0.46 b | 9.96 ± 0.25 a | 10.51 ± 0.26 b | 66.58 ± 1.38 c | 0.63 ± 0.12 a |
| SFO + 100 ppmCPSO | 9.10 ± 0.19 c | 9.89 ± 0.32 a | 30.70 ± 0.98 a,d | 49.63 ± 1.05 d,e | nd |
| SFO + 200 ppmCPSO | 9.39 ± 0.39 c,e | 9.97 ± 0.27 a | 28.37 ± 1.03 c | 51.49 ± 1.32 b,e,f | nd |
| SFO + 300 ppmCPSO | 9.72 ± 0.37 c,e | 10.03 ± 0.30 a | 26.08 ± 0.98 e | 53.40 ± 1.15 b | nd |
| SFO + 100 ppmSPSO | 9.17 ± 0.29 c | 9.85 ± 0.34 a | 30.59 ± 0.61 c,d,f | 49.46 ± 1.23 d,f,g | 0.04 ± 0.01 b |
| SFO + 200 ppmSPSO | 9.87 ± 0.26 d,e | 9.86 ± 0.31 a | 28.34 ± 1.00 c,g | 51.38 ± 1.25 b,e,g | 0.09 ± 0.01 c |
| SFO + 300 ppmSPSO | 9.83 ± 0.38 d,e | 9.88 ± 0.21 a | 26.17± 0.68 e | 53.24 ± 1.30 b | 0.18 ± 0.04 d |
| Fatty Acids (%) | SFO (Control) | SFO + BHT | CPSO | SPSO | SFO + 100 ppm CPSO | SFO + 200 ppm CPSO | SFO + 300 ppm CPSO | SFO + 100 ppm SPSO | SFO + 200 ppm SPSO | SFO + 300 ppm SPSO |
|---|---|---|---|---|---|---|---|---|---|---|
| initial | ||||||||||
| SAT | 11.87 | 12.03 | 18.16 | 17.92 | 12.52 | 13.20 | 13.80 | 12.46 | 13.13 | 13.64 |
| MUFA | 30.76 | 30.63 | 11.42 | 12.69 | 28.84 | 26.90 | 24.82 | 28.98 | 27.17 | 25.44 |
| PUFA | 56.91 | 56.83 | 70.41 | 69.39 | 58.28 | 59.66 | 60.98 | 58.19 | 59.39 | 60.62 |
| 4 h | ||||||||||
| SAT | 17.20 | 13.54 | 20.75 | 21.96 | 17.57 | 17.94 | 18.25 | 17.66 | 18.17 | 18.65 |
| MUFA | 33.67 | 31.56 | 10.85 | 10.56 | 31.28 | 29.11 | 26.85 | 31.41 | 29.05 | 26.70 |
| PUFA | 49.12 | 54.89 | 68.40 | 67.43 | 51.05 | 52.95 | 54.89 | 50.93 | 52.78 | 54.64 |
| 8 h | ||||||||||
| SAT | 18.63 | 15.40 | 22.30 | 22.20 | 18.98 | 19.36 | 19.76 | 19.02 | 19.73 | 19.70 |
| MUFA | 32.81 | 32.32 | 10.40 | 11.14 | 30.70 | 28.37 | 26.08 | 30.63 | 28.43 | 26.35 |
| PUFA | 47.56 | 53.89 | 67.12 | 66.58 | 49.63 | 51.50 | 53.40 | 49.46 | 51.38 | 53.24 |
| Sample | PV (meq/kg Oil) | ||
| Initial | 4 h | 8 h | |
| SFO | 1.58 ± 0.03 a | 11.23 ± 0.18 a | 16.40 ± 0.17 a |
| SFO + BHT | 1.59 ± 0.03 a | 7.83 ± 0.17 b | 12.37 ± 0.26 b |
| CPSO | 0.52 ± 0.01 b | 3.63 ± 0.16 c | 4.88 ± 0.10 c |
| SPSO | 0.66 ± 0.02 b | 4.26 ± 0.34 c | 5.84 ± 0.09 c |
| SFO + 100 ppm CPSO | 1.48 ± 0.03 c | 10.62 ± 0.14 a | 15.55 ± 0.14 a |
| SFO + 200 ppm CPSO | 1.37 ± 0.04 d | 9.27 ± 0.10 d | 14.16 ± 0.37 d,e |
| SFO + 300 ppm CPSO | 1.29 ± 0.04 e | 8.88 ± 0.11 d,e | 12.95 ± 0.17 b |
| SFO + 100 ppm SPSO | 1.49 ± 0.04 c | 10.66 ± 0.12 a | 15.66 ± 0.20 a |
| SFO + 200 ppm SPSO | 1.40 ± 0.03 d | 9.72 ± 0.12 d,f | 14.28 ± 0.24 d |
| SFO + 300 ppm SPSO | 1.30 ± 0.02 e | 9.44 ± 0.22 d,f | 13.45 ± 0.32 b,e |
| Sample | p-AV (ppm) | ||
|---|---|---|---|
| Initial | 4 h | 8 h | |
| SFO | 1.873 ± 0.025 a | 52.119 ± 1.372 a | 72.496 ± 1.340 a |
| SFO + 200 ppm BHT | 1.861 ± 0.027 a | 47.121 ± 1.570 b | 65.397 ± 1.800 b |
| CPSO | 0.673 ± 0.025 b | 32.549 ± 0.938 c | 40.182 ± 1.353 c |
| SPSO | 0.723 ± 0.023 b | 34.814 ± 0.987 d | 41.570 ± 0.972 c |
| SFO + 100 ppm CPSO | 1.713 ± 0.022 c | 50.666 ± 1.568 a,f | 69.682 ± 1.141 d |
| SFO + 200 ppm CPSO | 1.664 ± 0.040 c | 48.5295 ± 1.016 b,g | 66.553 ± 1.408 b,f |
| SFO + 300 ppm CPSO | 1.488 ± 0.028 d | 45.9195 ± 1.234 b,h | 63.445 ± 1.259 b,g |
| SFO + 100 ppm SPSO | 1.846 ± 0.032 a | 51.3525 ± 1.592 a,i | 70.227 ± 0.932 d |
| SFO + 200 ppm SPSO | 1.769 ± 0.047 c | 49.444 ± 1.083 e,f,g,i | 67.818 ± 1.175 b,f |
| SFO + 300 ppm SPSO | 1.687 ± 0.023 c | 46.298 ± 1.638 b,h | 64.122 ± 1.208 b,g |
| Sample | TBA (µg MDA/g) | ||
|---|---|---|---|
| Initial | 4 h | 8 h | |
| SFO | 20.26 ± 0.5 a | 143.56 ± 4.23 a | 180.08 ± 5.82 a |
| SFO + BHT | 20.22 ± 0.47 a | 98.13 ± 2.87 b | 125.43 ± 3.91 b |
| CPSO | 9.24 ± 0.32 b | 28.65 ± 0.89 c | 53.19 ± 1.88 c |
| SPSO | 13.30 ± 0.37 c | 39.05 ± 1.07 d | 70.52 ± 2.24 d |
| SFO + 100 ppm CPSO | 18.70 ± 0.51 d | 123.25 ± 3.24 e | 146.30 ± 4.11 e |
| SFO + 200 ppm CPSO | 17.73 ± 0.42 e,g | 100.61 ± 3.02 b | 125.92 ± 3.10 b |
| SFO + 300 ppm CPSO | 16.59 ± 0.40 f | 85.51 ± 2.66 f | 98.92 ± 2.49 e |
| SFO + 100 ppm SPSO | 19.42 ± 0.46 d,h | 131.19 ± 4.47 f | 164.77 ± 5.19 f |
| SFO + 200 ppm SPSO | 18.58 ± 0.47 d | 112.81 ± 3.47 g | 139.51 ± 4.19 g |
| SFO + 300 ppm SPSO | 17.91 ± 0.41 d,g | 96.46 ± 2.96 b | 114.24 ± 3.51 h |
Publisher’s Note: MDPI stays neutral with regard to jurisdictional claims in published maps and institutional affiliations. |
© 2021 by the authors. Licensee MDPI, Basel, Switzerland. This article is an open access article distributed under the terms and conditions of the Creative Commons Attribution (CC BY) license (https://creativecommons.org/licenses/by/4.0/).
Share and Cite
Cocan, I.; Negrea, M.; Cozma, A.; Alexa, E.; Poiana, M.-A.; Raba, D.; Danciu, C.; Popescu, I.; Cadariu, A.I.; Obistioiu, D.; et al. Chili and Sweet Pepper Seed Oil Used as a Natural Antioxidant to Improve the Thermo-Oxidative Stability of Sunflower Oil. Agronomy 2021, 11, 2579. https://doi.org/10.3390/agronomy11122579
Cocan I, Negrea M, Cozma A, Alexa E, Poiana M-A, Raba D, Danciu C, Popescu I, Cadariu AI, Obistioiu D, et al. Chili and Sweet Pepper Seed Oil Used as a Natural Antioxidant to Improve the Thermo-Oxidative Stability of Sunflower Oil. Agronomy. 2021; 11(12):2579. https://doi.org/10.3390/agronomy11122579
Chicago/Turabian StyleCocan, Ileana, Monica Negrea, Antoanela Cozma, Ersilia Alexa, Mariana-Atena Poiana, Diana Raba, Corina Danciu, Iuliana Popescu, Andreea I. Cadariu, Diana Obistioiu, and et al. 2021. "Chili and Sweet Pepper Seed Oil Used as a Natural Antioxidant to Improve the Thermo-Oxidative Stability of Sunflower Oil" Agronomy 11, no. 12: 2579. https://doi.org/10.3390/agronomy11122579
APA StyleCocan, I., Negrea, M., Cozma, A., Alexa, E., Poiana, M.-A., Raba, D., Danciu, C., Popescu, I., Cadariu, A. I., Obistioiu, D., & Radulov, I. (2021). Chili and Sweet Pepper Seed Oil Used as a Natural Antioxidant to Improve the Thermo-Oxidative Stability of Sunflower Oil. Agronomy, 11(12), 2579. https://doi.org/10.3390/agronomy11122579

