Effects of Nitrogen Fertilizer on Photosynthetic Characteristics, Biomass, and Yield of Wheat under Different Shading Conditions
Abstract
:1. Introduction
2. Materials and Methods
2.1. Experimental Site and Cultivar
2.2. Experiment Design
2.3. Measurement Items and Methods
2.3.1. LAI
2.3.2. Chlorophyll Content Measurement
2.3.3. Measurement of Blade Gas Exchange Parameters
2.3.4. Chlorophyll Fluorescence Measurement
2.3.5. Dry Matter Accumulation and Distribution
2.3.6. Yield and Its Components
2.4. Data Analysis
3. Result and Analysis
3.1. LAI
3.2. Chlorophyll
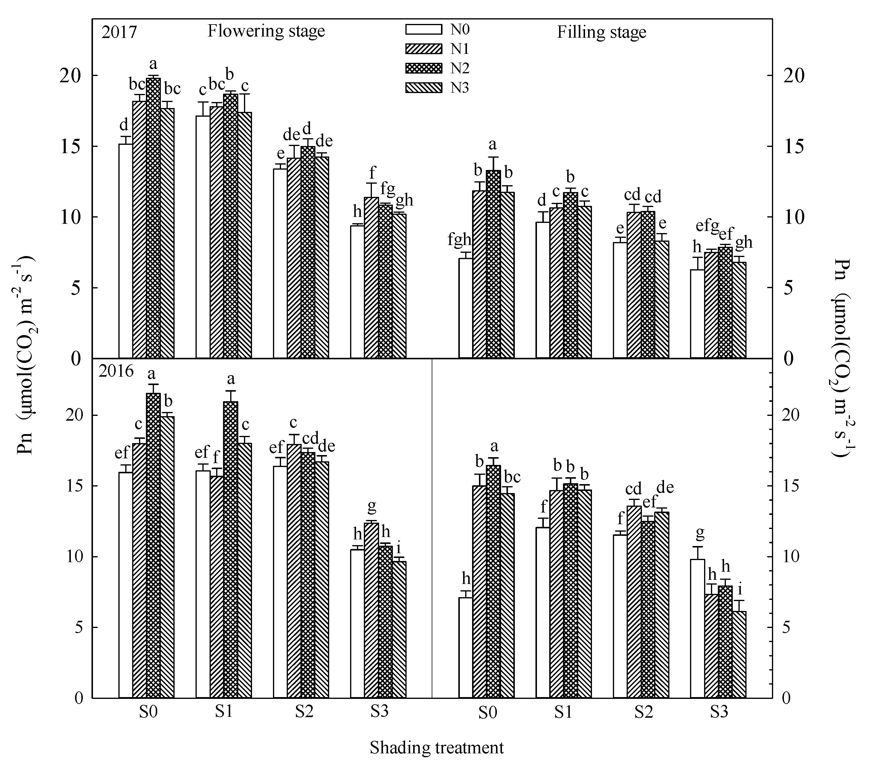
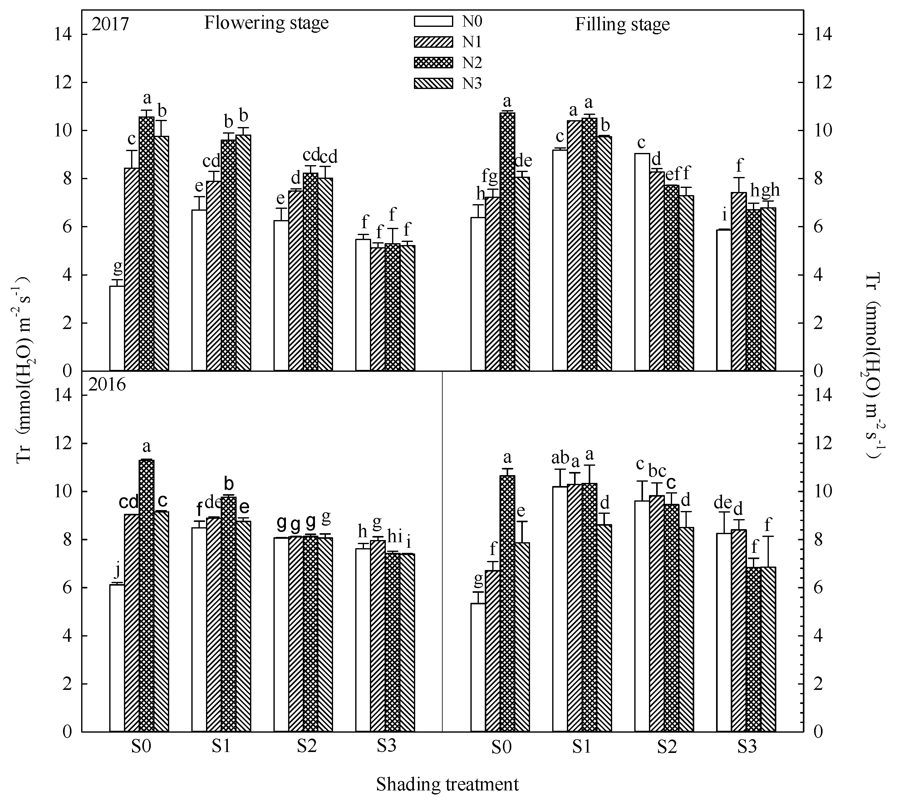
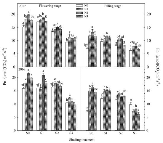
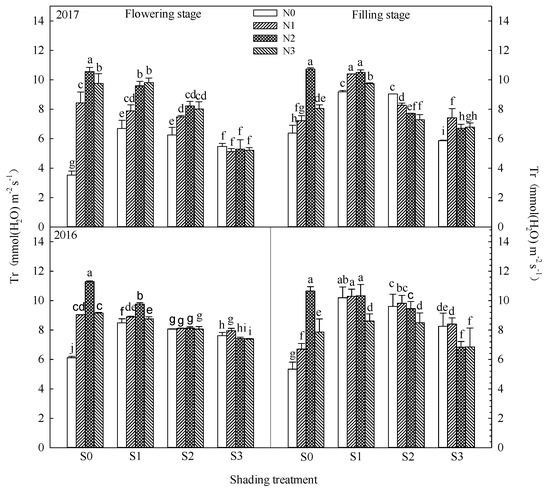
3.3. Gas Exchange Parameters
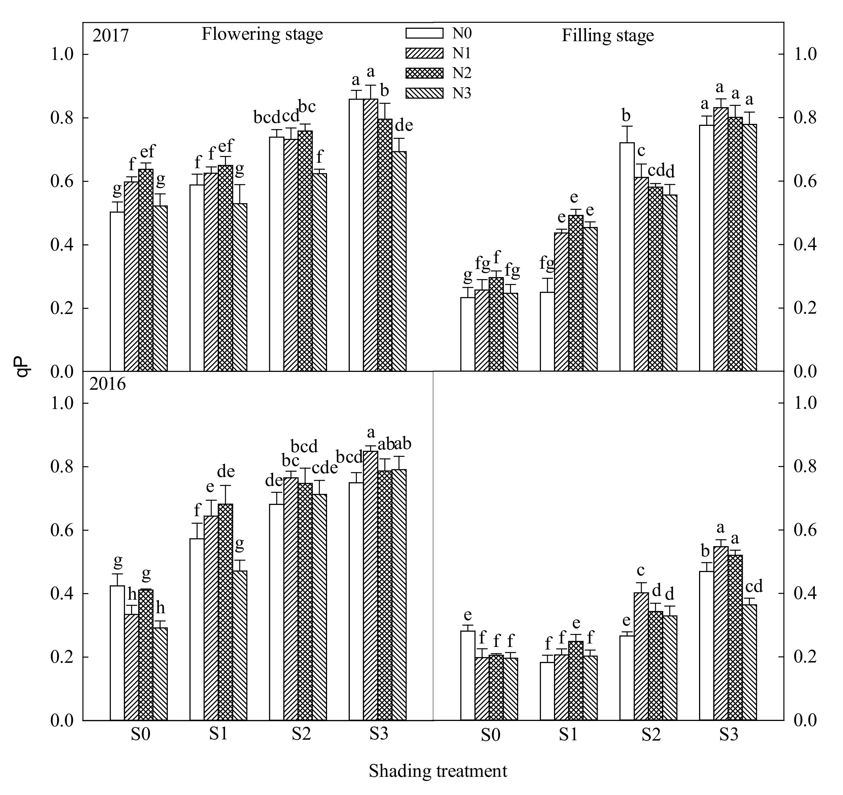
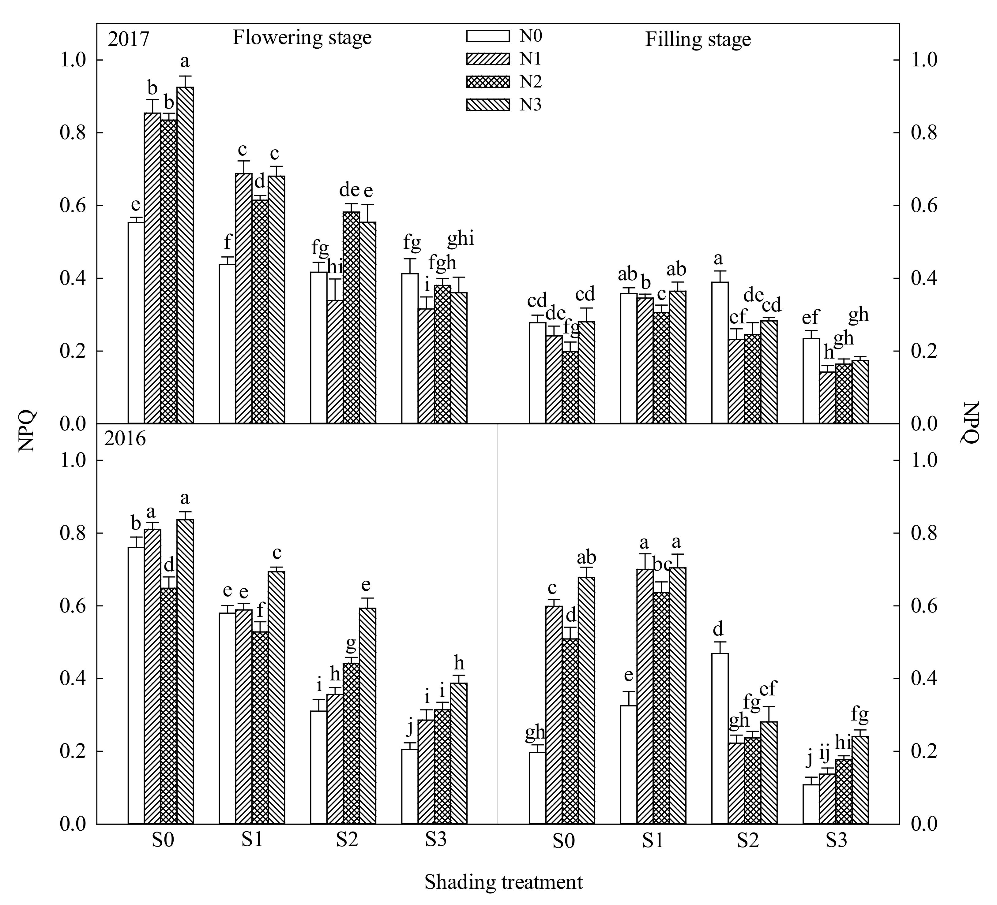
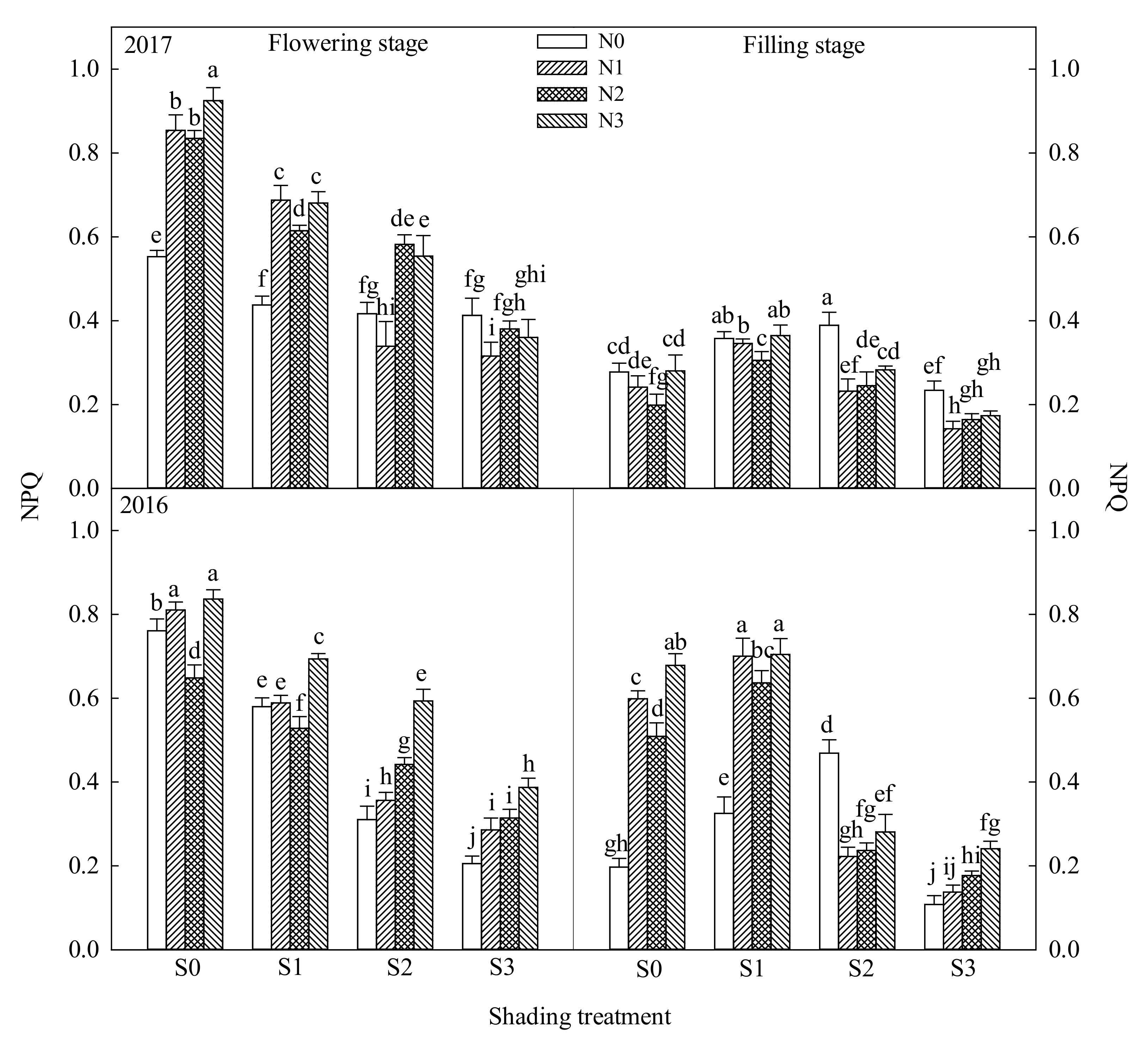
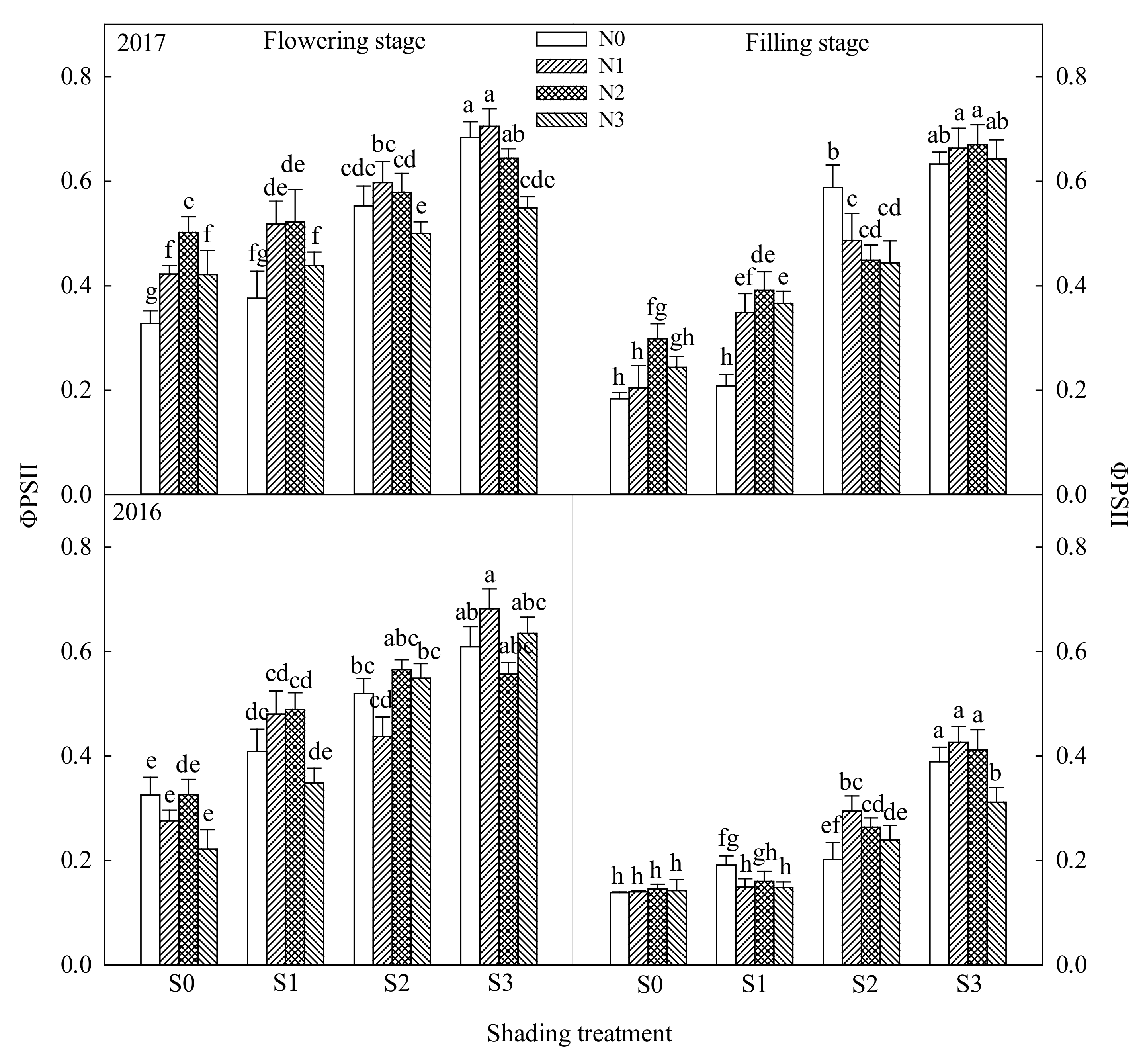
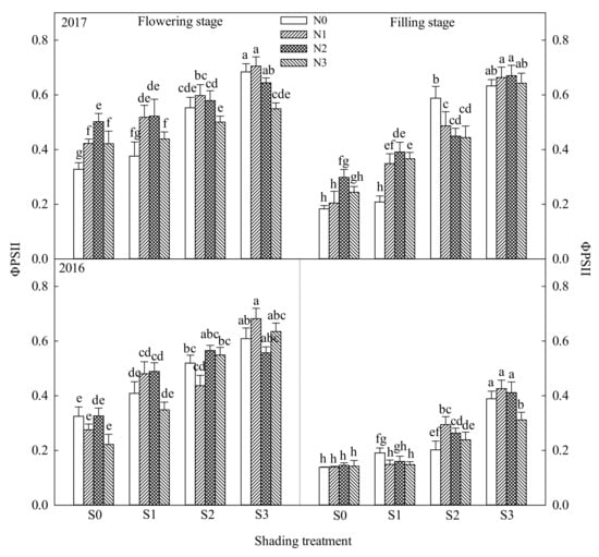
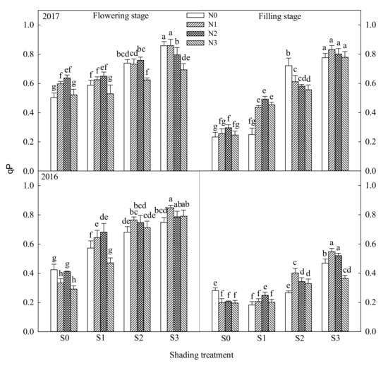
3.4. Chlorophyll Fluorescence Parameters
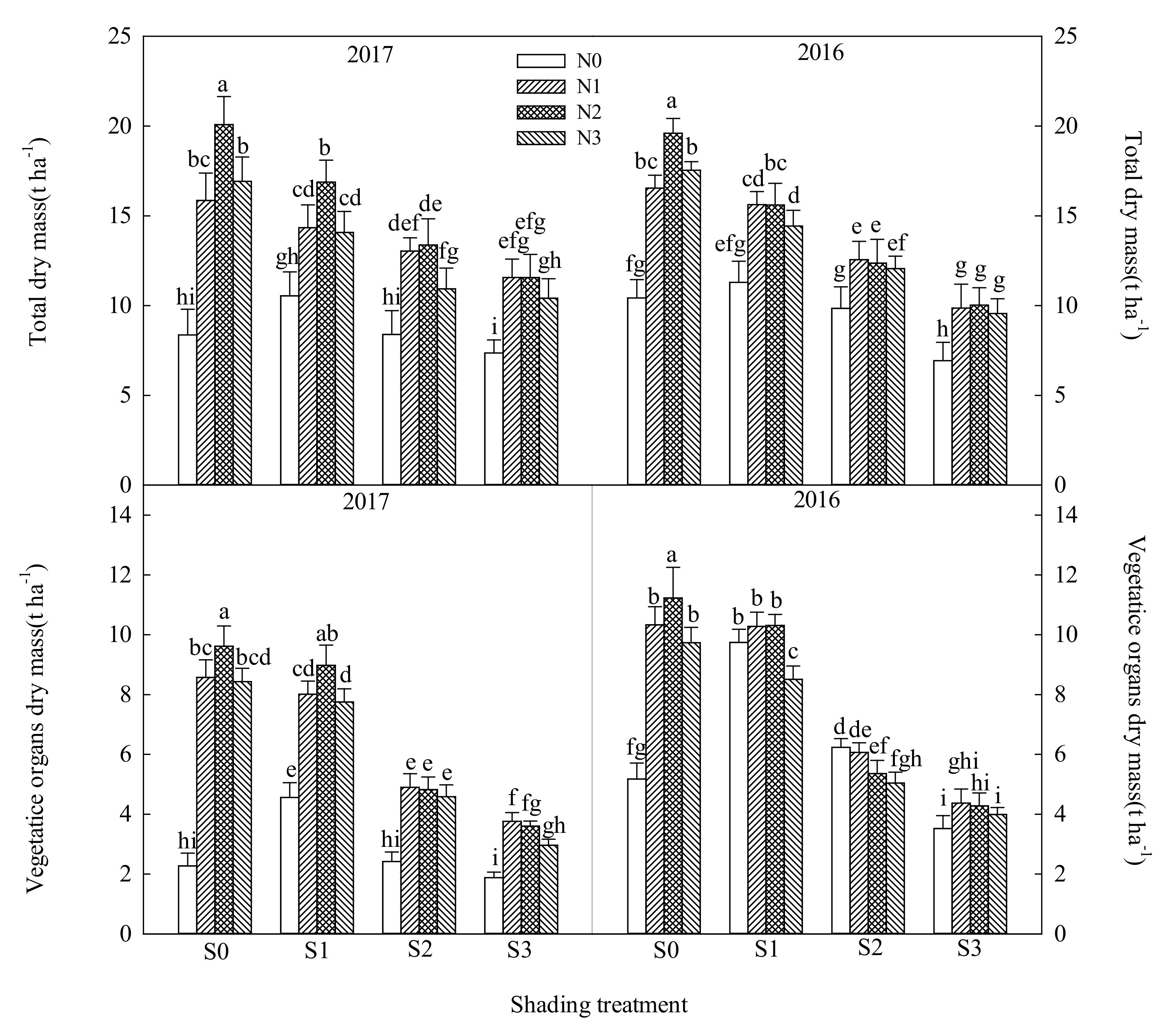
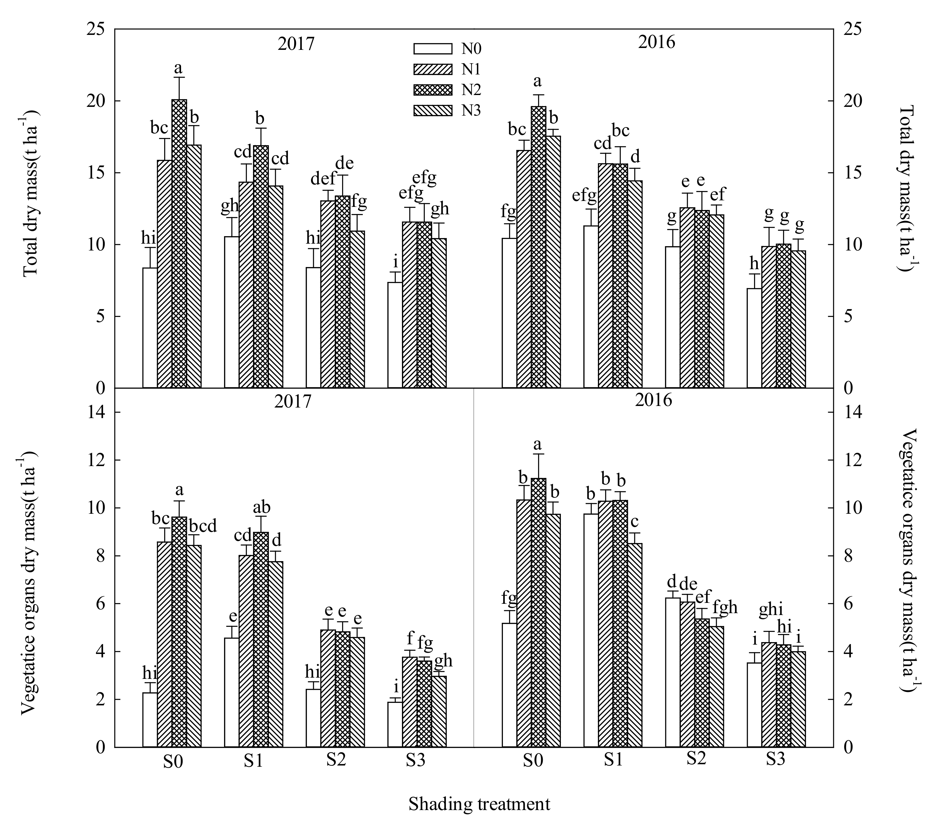
3.5. Dry Matter Accumulation
3.6. Yield and Yield Components
4. Discussion
5. Conclusions
Author Contributions
Funding
Institutional Review Board Statement
Informed Consent Statement
Data Availability Statement
Conflicts of Interest
References
- Zhang, W.; Wang, B.J.; Gan, Y.W.; Duan, A.P.; Hao, X.D.; Xu, W.L.; Lv, X.; Li, L.H. Competitive interaction in a jujube tree/wheat agroforestry system in northwest China̓ s Xinjiang Province. Agrofor. Syst. 2017, 91, 881–893. [Google Scholar] [CrossRef]
- Inurreta-Aguirre, H.D.; Lauri, P.; Dupraz, C.; Gosme, M. Yield components and phenology of durum wheat in a Mediterranean alley-cropping system. Agrofor. Syst. 2018, 92, 961–974. [Google Scholar] [CrossRef]
- Gao, L.B.; Xu, H.S.; Bi, H.X.; Xi, W.M.; Bao, B.; Wang, X.Y.; Bi, C.; Chang, Y.F. Intercropping competition between apple trees and crops in agroforestry systems on the Loess Plateau of China. PLoS ONE 2013, 8, e70739. [Google Scholar] [CrossRef] [PubMed]
- Hong, Y.; Heerink, N.; Jin, S.Q.; Berentsen, P.; Zhang, L.Z.; Werf, W.V.D. Intercropping and agroforestry in China-Current state and trends. Agric. Ecosyst. Environ. 2017, 244, 52–61. [Google Scholar] [CrossRef]
- Yang, T.; Duan, Z.P.; Zhu, Y.; Gan, Y.W.; Wang, B.J.; Hao, X.D.; Xu, W.L.; Zhang, W.; Li, L.H. Effects of distance from a tree line on photosynthetic characteristics and yield of wheat in a jujube tree/wheat. Agrofor. Syst. 2019, 93, 1545–1555. [Google Scholar] [CrossRef]
- Artru, S.; Garre, S.; Dupraz, C.; Hiel, M.P.; Blitz-Frayret, C.; Lassois, L. Impact of spatio-temporal shade dynamics on wheat growth and yield, perspectives for temperate agroforestry. Eur. J. Agron. 2017, 82, 60–70. [Google Scholar] [CrossRef]
- Bell, G.E.; Danneberger, T.K.; McMahon, M.J. Spectral irradiance available for turfgrass growth in sun and shade. Crop Sci. 2000, 40, 189–195. [Google Scholar] [CrossRef]
- Jiang, H.; Wang, X.H.; Deng, Q.Y.; Yuan, L.P.; Xu, D.Q. Comparison of some photosynthetic characters between two hybrid rice combinations differing in yield potential. Photosynthetica 2002, 40, 133–137. [Google Scholar] [CrossRef]
- Greenwald, R.; Bergin, M.H.; Xu, J.; Cohan, D.; Hoogenboom, G.; Chameides, W.L. The influence of aerosols on crop production: A study using the CERES crop model. Agric. Syst. 2006, 89, 390–413. [Google Scholar] [CrossRef]
- Zhang, C.J.; Chu, H.J.; Chen, G.X.; Shi, D.W.; Zuo, M.; Wang, J.; Lu, C.G.; Wang, P.; Chen, L. Photosynthetic and biochemical activities in flag leaves of a newly developed super high-yield hybrid rice (Oryza sativa) and its parents during the reproductive stage. J. Plant Res. 2007, 120, 209–217. [Google Scholar] [CrossRef]
- Yang, H.; Dong, B.D.; Wang, Y.K.; Qiao, Y.Z.; Shi, C.H.; Jin, L.L.; Liu, M.Y. Photosynthetic base of reduced grain yield by shading stress during the early reproductive stage of two wheat cultivars. Sci. Rep. 2020, 10, 14353. [Google Scholar] [CrossRef]
- Mu, H.; Jiang, D.; Wollenweber, B.; Dai, T.; Jing, Q.; Cao, W. Long-term low radiation decreases leaf photosynthesis, photochemical efficiency and grain yield in winter wheat. J. Agron. Crop Sci. 2010, 196, 38–47. [Google Scholar] [CrossRef]
- Wang, Z.; Yin, Y.; He, M.; Zhang, Y.; Lu, S.; Li, Q.; Shi, S. Allocation of photosynthates and grain growth of two wheat cultivars with different potential grain growth in response to pre-and post-anthesis shading. Crop Sci. 2003, 189, 280–285. [Google Scholar] [CrossRef]
- Mitchell, R.A.C.; Gibbard, C.L.; Mitchell, V.J.; Lawlor, D.W. Effects of shading in different developmental phases on biomass and grain yield of winter wheat at ambient and elevated CO2. Plant Cell Environ. 2006, 19, 615–621. [Google Scholar] [CrossRef]
- Acreche, M.M.; Briceno-Félix, G.; Sánchez, J.A.M.; Slafer, G.A. Grain number determination in an old and a modern Mediterranean wheat as affected by pre-anthesis shading. Crop Pasture Sci. 2009, 60, 271–279. [Google Scholar] [CrossRef]
- Guo, T.C.; Feng, W.; Zhao, H.J.; Xue, G.D.; Wang, H.R.; Wang, Y.H.; Yao, Z.J. Photosynthetic characteristics of flag leaves and nitrogen effects in two winter wheat cultivars with different spike type. Acta Agron. Sin. 2004, 30, 115–121. [Google Scholar]
- Zhang, Y.S.; Feng, W.; Zhang, H.Y.; Qi, S.L.; Heng, Y.R.; Guo, B.B.; Li, X.; Wang, Y.H.; Guo, T.C. Effects of shading and nitrogen rate on photosynthetic characteristics of flag leaves and yield of winter wheat. Chin. J. Eco-Agric. 2016, 24, 1177–1184. [Google Scholar]
- Guan, Y.X.; Lin, B.; Ling, B.Y. Interaction effects of light density and nitrogen on maize leaf pigments, chlorophyll fluorescence and energy transition. Plant Nutr. Fertil. Sci. 2000, 6, 152–158. [Google Scholar]
- Zeng, X.B.; Qing, C.L.; Xie, D.T.; Hou, G.T. Interrelationship of light and nitrogen fertilizer application in crop growth. Acta Pedol. Sin. 2000, 37, 380–386. [Google Scholar]
- Huang, L.F.; Quan, X.Y.; Zhang, R.; Yuan, Y.; Zhao, W.; Jiang, L.L.; Shi, J.Q.; Zhuang, H.Y. Interactive effects of light intensity and nitrogen supply on dry matter production and distribution of rice. Chin. J. Rice Sci. 2014, 28, 167–176. [Google Scholar]
- Xinjiang Bureau of Statistics. Xinjiang Statistical Yearbook; China Statistics Press: Beijing, China, 2020.
- Qiao, X.; Zhao, Q.; Lei, J.J.; Gao, Y.H.; Zhang, H.Z.; Chen, X.W.; Sai, L.H.S.; Xue, L.H. Study on growth, development and yield formation of wheat under walnut-wheat intercropping system. J. Triticeae Crop. 2012, 32, 734–738. [Google Scholar]
- Qiao, X.; Xiao, L.; Gao, Y.H.; Zhang, W.; Chen, X.W.; Sai, L.H.; Lei, J.J.; Xue, L.H.; Zhang, Y.Q.; Li, A.L. Yield and quality of intercropped wheat in jujube- and walnut-based agroforestry systems in southern Xinjiang Province, China. Agron. J. 2020, 112, 2676–2691. [Google Scholar] [CrossRef]
- Qiao, X.; Chen, X.W.; Lei, J.J.; Sai, L.H.; Xue, L.H. Apricot-based agroforestry system in Southern Xinjiang Province of China: Influence on yield and quality of intercropping wheat. Agrofor. Syst. 2020, 94, 477–487. [Google Scholar] [CrossRef] [Green Version]
- Liu, W.D.; Fan, S.P.; Chao, H.Y.; Wang, H.Z.; Luo, Y. Effects of the ratio of bas N and application N on grain yield and quality of two wheat varieties with different spike type. Acta Agric. Boreali-Sin. 2003, 18, 56–59. [Google Scholar]
- Lu, Z.G.; Dai, T.B.; Jiang, D.; Jing, Q.; Qin, X.D.; Cao, W.X. Effects of different nitrogen rates and dressing ratios on grain yield and quality in weak-gluten wheat. J. Triticeae Crop. 2006, 26, 75–80. [Google Scholar]
- Li, H.S. Theory and Technology of Plant Physiology and Biochemistry; Higher Education Press: Beijing, China, 2000. [Google Scholar]
- Dai, J.; Zhang, W.; Yu, Y.Z.; Yang, J.S. The relationship between yield and photosynthetic area after flowering in rapeseed. Chin. J. Oil Crop Sci. 2001, 2, 20–23. [Google Scholar]
- Arenas-Corraliza, M.G.; Rolo, V.; López-Díaz, M.L.; Moreno, G. Wheat and barley can increase grain yield in shade through acclimation of physiological and morphological traits in Mediterranean conditions. Sci. Rep. 2019, 9, 259–277. [Google Scholar] [CrossRef] [PubMed]
- Li, G.Q.; Tang, L.; Zhang, W.Y.; Cao, W.X.; Zhu, Y. Effect of nitrogen rate on vertical distribution characteristics of leaf-type in wheat with different plant types. Acta Agron Sin. 2011, 37, 127–137. [Google Scholar] [CrossRef]
- Zhang, B.Y.; Cui, R.X. Effect of nitrogen fertilizer rate and topdressing stage on the photosynthesis and yield of winter wheat. J. Qingdao Agric. Univ. 2010, 27, 195–199. [Google Scholar]
- Muhidin; Syam’un, E.; Kaimuddin; Musa, Y.; Sadimantara, G.R.; Usman; Leomo, S.L.; Rakian, T.C. The effect of shade on chlorophyll and anthocyanin content of upland red rice. Earth Environ. Sci 2018, 122, 012030. [Google Scholar]
- Shaver, J.M.; Oldenburg, D.J.; Bendich, A.J. The structure of chloroplast DNA molecules and the effects of light on the amount of chloroplast DNA during development in medicago truncatula. Plant Physiol. 2008, 146, 1064–1074. [Google Scholar] [CrossRef] [Green Version]
- Li, H.W.; Jiang, D.; Wollenweber, B.; Dai, T.B.; Cao, W.X. Effects of shading on morphology, physiology and grain yield of winter wheat. Eur. J. Agron. 2010, 33, 267–275. [Google Scholar] [CrossRef]
- Evans, J.R.; Poorter, H. Photosynthetic acclimation of plants to growth irradiance: The relative importance of specific leaf area and nitrogen partitioning in maximizing carbon gain. Plant Cell Environ. 2001, 24, 755–767. [Google Scholar] [CrossRef]
- Dai, Y.J.; Shen, Z.G.; Liu, Y.; Wang, L.L.; Hannaway, D.; Lu, H.F. Effects of shade treatments on the photosynthetic capacity, chlorophyll fluorescence, and chlorophyll content of Tetrastigma hemsleyanum Diels et Gilg. Environ. Exp. Bot. 2009, 65, 177–182. [Google Scholar] [CrossRef]
- Praba, M.L.; Vanangamudi, M.; Thandapani, V. Effect of low light on yield and physiological attributes of rice. Crop. Manag. Physiol. 2004, 29, 71–73. [Google Scholar]
- Yang, H.J.; Yuan, X.Y.; Qi, X.; Guo, P.Y.; Guo, D.X.; Dong, S.Q.; Wen, Y.Y.; Zhang, L.G. Photosynthetic physiological response of foxtail millet to weak light stress at jointing-stage. J. Nucl. Agric. Sci. 2017, 31, 386–393. [Google Scholar]
- Wang, Y.J.; Ge, M.J.; Yan, X.T.; Wei, H.Y.; Zhang, H.C.; Dai, Q.G.; Huo, Z.Y.; Xu, K. Effects of light, nitrogen and their interaction on grain yield and matter production characteristics of Japonica super rice. Acta Agron. Sin. 2014, 40, 154–165. [Google Scholar] [CrossRef]
- Yun, F.; Liu, G.S.; Shi, H.Z.; Song, J. Effects of light and nitrogen interaction on photosynthesis and chlorophyll fluorescence characteristics in flue-cured tobacco. Sci. Agric. Sin. 2010, 43, 932–941. [Google Scholar]
- Wang, J.; Chen, Y.; Wang, P.; Li, Y.S.; Liu, P.; Khan, A. Leaf gas exchange, phosphorus uptake, growth and yield responses of cotton cultivars to different phosphorus rates. Photosynthetica 2018, 56, 1414–1421. [Google Scholar] [CrossRef]
- Ivanova, L.A.; Ivanov, L.A.; Rinzhina, D.A.; Yankov, V.I.P. Shading-induced changes in the leaf mesophyll of plants of different functional types. Russ. J. Plant Physiol. 2008, 55, 211–219. [Google Scholar] [CrossRef]
- Jia, H.; Oguchi, R.; Hope, A.B.; Barber, J.; Chow, W.S. Differential effects of severe water stress on linear and cyclic electron fluxes through photo system I in spinach leaf discs in CO2-enriched air. Planta 2008, 2282, 803–812. [Google Scholar] [CrossRef]
- Guo, H.X.; Liu, W.Q.; Shi, Y.C. Effects of different nitrogen forms on photosynthetic rate and the chlorophyll fluorescence induction kinetics of flue-cured tobacco. Photosynthetica 2006, 44, 140–142. [Google Scholar] [CrossRef]
- Zhang, H.Z.; Ai, Z.Z.; Cui, Y.; Zhao, Q.; Kong, D.P.; Hu, A.Z.; Wang, L.H.; Wang, Z.; Zhang, Y.Q.; Fan, Z.R.; et al. Effect of shading on the photosynthetic characteristics and yield in winter wheat in southern Xinjiang. Xinjiang Agric. Sci. 2019, 56, 1765–1771. [Google Scholar]
- Wang, L.; Deng, F.; Ren, W.J. Shading tolerance in rice is related to better light harvesting and use efficiency and grain filling rate during grain filling period. Field Crop. Res. 2015, 180, 54–62. [Google Scholar] [CrossRef]
- He, M.R.; Wang, Z.L.; Gao, S.P. Analysis on adapability of wheat cultivars to low light intensity during grain filling. Acta Agron. Sin. 2001, 27, 640–644. [Google Scholar]
- Dong, B.D.; Yang, H.; Liu, H.P.; Qiao, Y.Z.; Zhang, M.M.; Wang, Y.K.; Xie, Z.X.; Liu, M.Y. Effects of shading stress on grain number, yield, and photosynthesis during early reproductive growth in wheat. Crop. Sci. 2019, 58, 1–16. [Google Scholar] [CrossRef]
- Toyota, M.; Tsutsui, I.; Kusutani, A.; Asanuma, K. Initiation and development of spikelets and florets in Wheat as influenced by shading and nitrogen supply at the spikelet phase. Plant Prod. Sci. 2001, 4, 283–290. [Google Scholar] [CrossRef]
- Zhang, Y.C.; Zhang, M.; Liu, X.W.; Zhou, Q.Q.; Yang, M.; Li, Y.S.; Yang, Q.; Cai, G.R. Effect of weak light after anthesis on photosynthetic characteristics and yield of winter wheat. J. Triticeae Crop. 2017, 37, 1038–1046. [Google Scholar]
- Guo, C.H.; Gao, Z.Q.; Miao, G.Y. Effect of shading at post flowering on photosynthetic characteristics of flag leaf and response of grain yield and quality to shading in wheat. Acta Agron. Sin. 2010, 36, 673–679. [Google Scholar] [CrossRef]
- Yao, H.S.; Zhang, Y.L.; Yi, X.P.; Zhang, X.J.; Zhang, W.F. Cotton responds to different plant population densities by adjusting specific leaf area to optimize canopy photosynthetic use efficiency of light and nitrogen. Field Crop. Res. 2016, 188, 10–16. [Google Scholar] [CrossRef]
- Zhou, Q.H.; Lv, W.S.; Fu, M.J.; Zeng, Y.j. Effects of light and nitrogen interaction on yield formation of super late rice. Chin. Rice 2013, 19, 35–38. [Google Scholar]










| Layer (cm) | Organic Substance (g kg−1) | Total Nitrogen (g kg−1) | Total Phosphorus (g kg−1) | Total Potassium (g kg−1) | Available Nitrogen (mg kg−1) | Available Phosphorus (mg kg−1) | Available Potassium (mg kg−1) | Total Salt (g kg−1) | pH |
|---|---|---|---|---|---|---|---|---|---|
| 0–20 | 14.87 | 0.635 | 0.796 | 19.019 | 37.3 | 18.2 | 104 | 1.4 | 8.51 |
| 20–40 | 14.13 | 0.464 | 0.668 | 19.534 | 33.7 | 4.6 | 94 | 0.5 | 8.92 |
| Treatment | CHl a | CHl b | CHl (a + b) | Chl a/b | |||||||||||||
|---|---|---|---|---|---|---|---|---|---|---|---|---|---|---|---|---|---|
| 2017 | 2016 | 2017 | 2016 | 2017 | 2016 | 2017 | 2016 | ||||||||||
| Flowering Stage | Filling Stage | Flowering Stage | Filling Stage | Flowering Stage | Filling Stage | Flowering Stage | Filling Stage | Flowering Stage | Filling Stage | Flowering Stage | Filling Stage | Flowering Stage | Filling Stage | Flowering Stage | Filling Stage | ||
| S0 | N0 | 2.18 + 0.10 j | 1.18 + 0.01 d | 2.31 + 0.04 e | 1.35 + 0.03 g | 1.04 + 0.06 g | 0.35 + 0.01 f | 1.02 + 0.03 h | 0.42 + 0.02 g | 3.22 + 0.01 g | 1.54 + 0.04 e | 3.33 + 0.11 f | 1.78 + 0.03 j | 2.00 + 0.12 a | 3.29 + 0.01 a | 2.27 + 0.03 a | 3.14 + 0.03 a |
| N1 | 2.37 + 0.06 efg | 2.02 + 0.05 bc | 2.47 + 0.12 bcd | 2.01 + 0.08 ef | 1.28 + 0.06 cde | 0.76 + 0.04 cde | 1.27 + 0.02 g | 0.81 + 0.07 e | 3.65 + 0.02 cde | 2.78 + 0.09 cd | 3.74 + 0.09 de | 2.83 + 0.06 h | 1.84 + 0.07 cde | 2.66 + 0.10 cd | 1.93 + 0.08 b | 2.46 + 0.08 bc | |
| N2 | 2.52 + 0.13 b | 2.06 + 0.04 bc | 2.56 + 0.05 ab | 2.34 + 0.08 ab | 1.41 + 0.12 ab | 0.76 + 0.03 cde | 1.74 + 0.05 bc | 0.95 + 0.02 bcd | 3.93 + 0.15 ab | 2.83 + 0.07 cd | 4.31 + 0.13 ab | 3.28 + 0.05 bc | 1.78 + 0.02 cdefg | 2.71 + 0.09 bc | 1.47 + 0.09 efg | 2.46 + 0.08 bc | |
| N3 | 2.44 + 0.09 cd | 1.91 + 0.09 c | 2.53 + 0.05 abc | 2.09 + 0.03 de | 1.14 + 0.07 fg | 0.73 + 0.02 de | 1.57 + 0.12 e | 0.84 + 0.02 de | 3.58 + 0.03 def | 2.64 + 0.04 d | 4.11 + 0.04 bc | 2.93 + 0.09 fgh | 2.12 + 0.02 a | 2.59 + 0.07 cd | 1.61 + 0.11 de | 2.47 + 0.05 bc | |
| S1 | N0 | 2.40 + 0.04 def | 2.03 + 0.07 bc | 2.41 + 0.09 bcde | 1.90 + 0.03 f | 1.25 + 0.02 ef | 0.69 + 0.06 e | 1.45 + 0.06 f | 0.61 + 0.02 f | 3.64 + 0.01 cde | 2.71 + 0.03 cd | 3.87 + 0.09 cd | 2.51 + 0.05 i | 1.92 + 0.09 bc | 2.93 + 0.11 b | 1.66 + 0.15 cd | 3.12 + 0.13 a |
| N1 | 2.46 + 0.01 cd | 2.46 + 0.04 a | 2.51 + 0.18 abc | 2.39 + 0.06 ab | 1.36 + 0.01 bc | 0.96 + 0.02 ab | 1.58 + 0.04 de | 0.99 + 0.07 abc | 3.82 + 0.12 bcd | 3.42 + 0.10 a | 4.09 + 0.21 bc | 3.38 + 0.11 ab | 1.79 + 0.07 cdefg | 2.54 + 0.02 cde | 1.59 + 0.02 def | 2.39 + 0.06 c | |
| N2 | 2.58 + 0.06 a | 2.54 + 0.03 a | 2.62 + 0.12 a | 2.44 + 0.05 a | 1.50 + 0.03 a | 0.94 + 0.06 ab | 1.81 + 0.04 ab | 1.03 + 0.12 ab | 4.08 + 0.24 a | 3.49 + 0.01 a | 4.44 + 0.11 a | 3.47 + 0.15 a | 1.71 + 0.09 efg | 2.68 + 0.15 c | 1.45 + 0.06 efg | 2.35 + 0.05 c | |
| N3 | 2.47 + 0.08 bc | 2.45 + 0.10 a | 2.50 + 0.03 abc | 2.36 + 0.09 ab | 1.41 + 0.12 ab | 0.97 + 0.02 ab | 1.86 + 0.06 a | 1.02 + 0.07 ab | 3.88 + 0.02 abc | 3.42 + 0.05 a | 4.37 + 0.19 a | 3.38 + 0.02 ab | 1.74 + 0.12 defg | 2.50 + 0.02 cde | 1.34 + 0.12 g | 2.31 + 0.09 cd | |
| S2 | N0 | 2.26 + 0.03 i | 2.33 + 0.23 ab | 2.27 + 0.05 e | 2.12 + 0.05 de | 1.10 + 0.01 g | 0.92 + 0.08 b | 1.27 + 0.03 g | 0.87 + 0.01 de | 3.36 + 0.02 fg | 3.26 + 0.11 ab | 3.55 + 0.05 ef | 2.99 + 0.14 fg | 2.04 + 0.01 ab | 2.50 + 0.12 cde | 1.79 + 0.12 bc | 2.43 + 0.05 c |
| N1 | 2.36 + 0.02 efg | 2.08 + 0.02 bc | 2.50 + 0.02 abc | 2.25 + 0.11 bcd | 1.41 + 0.04 ab | 0.95 + 0.02 ab | 1.70 + 0.04 bcd | 1.04 + 0.10 ab | 3.77 + 0.02 bcde | 3.03 + 0.09 bc | 4.21 + 0.07 ab | 3.29 + 0.06 bc | 1.67 + 0.02 g | 2.19 + 0.02 fg | 1.47 + 0.05 efg | 2.15 + 0.11 de | |
| N2 | 2.34 + 0.07 fgh | 1.94 + 0.56 c | 2.51 + 0.04 abc | 2.16 + 0.14 cde | 1.38 + 0.04 bc | 0.76 + 0.03 cde | 1.72 + 0.11 bc | 0.93 + 0.09 bcd | 3.73 + 0.01 bcde | 2.69 + 0.32 cd | 4.24 + 0.13 ab | 3.09 + 0.12 def | 1.68 + 0.15 fg | 2.53 + 0.30 cde | 1.45 + 0.09 efg | 2.30 + 0.15 cd | |
| N3 | 2.41 + 0.08 de | 1.89 + 0.11 c | 2.34 + 0.12 de | 2.01 + 0.02 ef | 1.37 + 0.08 bc | 0.81 + 0.02 c | 1.73 + 0.11 bc | 1.00 + 0.07 ab | 3.78 + 0.10 bcde | 2.70 + 0.02 cd | 4.07 + 0.20 bc | 3.02 + 0.12 efg | 1.74 + 0.03 defg | 2.32 + 0.22 ef | 1.35 + 0.05 g | 1.99 + 0.02 ef | |
| S3 | N0 | 2.29 + 0.02 hi | 2.54 + 0.09 a | 2.29 + 0.06 e | 2.28 + 0.14 abc | 1.12 + 0.04 g | 1.01 + 0.03 a | 1.21 + 0.05 g | 0.89 + 0.01 cde | 3.41 + 0.09 fg | 3.55 + 0.09 a | 3.50 + 0.16 f | 3.17 + 0.03 cde | 2.04 + 0.01 ab | 2.51 + 0.03 cde | 1.89 + 0.05 b | 2.56 + 0.1 b |
| N1 | 2.36 + 0.03 efg | 1.99 + 0.32 bc | 2.51 + 0.01 abc | 2.12 + 0.06 de | 1.36 + 0.03 bcd | 0.96 + 0.05 ab | 1.72 + 0.04 bc | 1.06 + 0.06 a | 3.72 + 0.07 bcde | 2.96 + 0.23 bcd | 4.23 + 0.08 ab | 3.19 + 0.08 cd | 1.73 + 0.02 defg | 2.07 + 0.01 g | 1.46 + 0.03 efg | 1.98 + 0.06 ef | |
| N2 | 2.30 + 0.05 hi | 1.89 + 0.12 c | 2.40 + 0.04 cde | 2.08 + 0.12 e | 1.25 + 0.07 de | 0.78 + 0.05 cd | 1.67 + 0.07 cde | 1.01 + 0.04 ab | 3.55 + 0.30 ef | 2.67 + 0.02 d | 4.07 + 0.14 bc | 3.09 + 0.09 def | 1.83 + 0.01 cdef | 2.42 + 0.12 def | 1.43 + 0.14 fg | 2.05 + 0.12 e | |
| N3 | 2.32 + 0.04 gh | 1.84 + 0.09 c | 2.29 + 0.03 e | 1.87 + 0.12 f | 1.24 + 0.03 ef | 0.79 + 0.02 cd | 1.65 + 0.11 cde | 0.99 + 0.03 abc | 3.56 + 0.22 ef | 2.63 + 0.56 d | 3.94 + 0.16 cd | 2.86 + 0.05 gh | 1.87 + 0.10 cd | 2.33 + 0.24 ef | 1.38 + 0.06 g | 1.86 + 0.12 f | |
| Sources of Variation | d.f. | SS | MS | F |
|---|---|---|---|---|
| Replication | 5 | 1,154,668.92 | 230,933.78 | 0.42 |
| Shade | 3 | 206,345,398.85 | 68,781,799.62 | 126.39 ** |
| Error (S) | 15 | 8,162,533.31 | 544,168.89 | |
| Nitrogen | 3 | 75,528,222.43 | 25,176,074.14 | 81.98 ** |
| S*N | 9 | 45,853,371.71 | 5,094,819.08 | 16.59 ** |
| Error (N) | 60 | 18,424,595.55 | 307,076.59 | |
| Total | 95 | 355,468,790.77 |
| Treatment | Spike Number (104 ha−1) | Kernels Per ear | 1000-Grain Weight (g) | Yield (kg ha−1) | |
|---|---|---|---|---|---|
| S0 | N0 | 446.7 ± 6.3 gh | 24.2 ± 1.1 ef | 40.4 ± 1.0 bc | 2716.5 ± 632.2 i |
| N1 | 659.1 ± 63.2 b | 32.2 ± 0.7 a | 40.7 ± 2.0 bc | 7833.0 ± 397.5 b | |
| N2 | 714.4 ± 41.7 a | 32.6 ± 1.1 a | 41.0 ± 1.0 bc | 8997.0 ± 766.5 a | |
| N3 | 648.6 ± 44.5 bc | 31.3 ± 0.8 ab | 40.1 ± 1.0 c | 8001.0 ± 89.7 b | |
| S1 | N0 | 478.9 ± 19.3 g | 26.7 ± 0.4 d | 44.4 ± 1.5 a | 4657.5 ± 902.5 fg |
| N1 | 614.1 ± 9.4 bcd | 30.1 ± 0.6 bc | 41.2 ± 2.0 bc | 6171.0 ± 188.1 cd | |
| N2 | 634.2 ± 18.0 bc | 31.7 ± 2.2 ab | 42.5 ± 0.4 ab | 6907.5 ± 279.3 c | |
| N3 | 612.1 ± 32.2 bcd | 31.9 ± 1.8 ab | 42.2 ± 1.7 ab | 6805.5 ± 228.7 c | |
| S2 | N0 | 416.7 ± 13.2 h | 25.4 ± 0.5 def | 42.2 ± 1.2 bc | 3583.5 ± 416.4 h |
| N1 | 602.4 ± 26.2 cde | 29.5 ± 0.9 c | 36.3 ± 1.0 d | 5497.5 ± 1227.0 de | |
| N2 | 594.9 ± 36.0 cde | 29.4 ± 0.4 c | 35.3 ± 1.0 de | 5422.5 ± 148.1 def | |
| N3 | 562.2 ± 28.2 def | 30.3 ± 1.5 bc | 34.0 ± 2.0 e | 5328.0 ± 212.7 ef | |
| S3 | N0 | 403.9 ± 23.4 g | 23.8 ± 0.6 f | 40.8 ± 1.8 bc | 2785.5 ± 94.6 i |
| N1 | 553.0 ± 16.5 ef | 26.7 ± 0.7 d | 29.8 ± 1.7 f | 3978.0 ± 326.2 gh | |
| N2 | 576.6 ± 24.6 def | 25.1 ± 0.5 def | 29.7 ± 0.6 f | 3736.5 ± 625.3 h | |
| N3 | 530.5 ± 13.3 f | 25.9 ± 0.3 de | 28.4 ± 1.0 f | 3637.5 ± 202.5 h | |
| The Correlation Coefficient | Flowering Stage | Filling Stage | TDA | DAR | Spike Number | Kernels Per Ear | 1000-Grain Weight | Yield | |||||||||||||||||
|---|---|---|---|---|---|---|---|---|---|---|---|---|---|---|---|---|---|---|---|---|---|---|---|---|---|
| LAI | Pn | gs | Ci | Tr | Fv/Fm | ΦPSII | qP | NPQ | LAI | Pn | gs | Ci | Tr | Fv/Fm | ΦPSII | qP | NPQ | ||||||||
| Flowering stage | LAI | 1 | 0.58 ** | 0.83 ** | 0.23 | 0.78 ** | 0.38 * | −0.15 | −0.18 | 0.35 * | 0.81 ** | 0.75 ** | 0.52 ** | 0.15 | 0.57 ** | 0.23 | −0.32 | −0.31 | 0.53 ** | 0.86 ** | 0.70 ** | 0.91 ** | 0.61 ** | −0.2 | 0.68 ** |
| Pn | 1 | 0.65 ** | −0.35 * | 0.71 ** | −0.29 | −0.70 ** | −0.66 ** | 0.73 ** | 0.31 | 0.83 ** | 0.57 ** | −0.16 | 0.61 ** | −0.07 | −0.73 ** | −0.72 ** | 0.58 ** | 0.76 ** | 0.81 ** | 0.64 ** | 0.70 ** | 0.47 ** | 0.84 ** | ||
| gs | 1 | 0.24 | 0.83 ** | 0.12 | −0.18 | −0.16 | 0.39 * | 0.74 ** | 0.75 ** | 0.70 ** | 0.14 | 0.74 ** | 0.09 | −0.40* | −0.42 * | 0.38 * | 0.77 ** | 0.72 ** | 0.77 ** | 0.69 ** | −0.03 | 0.66 ** | |||
| Ci | 1 | 0.17 | 0.39 * | 0.70 ** | 0.65 ** | −0.3 | 0.33 | −0.21 | 0.25 | 0.44 ** | 0.21 | 0.47 ** | 0.61 ** | 0.57 ** | −0.36 * | −0.05 | −0.2 | 0.07 | −0.28 | −0.29 | −0.14 | ||||
| Tr | 1 | 0.07 | −0.33 | −0.38 * | 0.55 ** | 0.59 ** | 0.79 ** | 0.62 ** | 0.24 | 0.66 ** | 0.11 | −0.52 ** | −0.55 ** | 0.46 ** | 0.85 ** | 0.84 ** | 0.75 ** | 0.78 ** | 0.13 | 0.81 ** | |||||
| Fv/Fm | 1 | 0.34 | 0.27 | −0.34 | 0.50 ** | 0.08 | −0.02 | 0.29 | −0.11 | 0.21 | 0.31 | 0.32 | 0.05 | 0.15 | −0.03 | 0.34 | 0.08 | −0.66 ** | −0.06 | ||||||
| ΦPSⅡ | 1 | 0.95 ** | −0.67 ** | 0.11 | −0.54 ** | −0.1 | 0.32 | −0.09 | 0.3 | 0.77 ** | 0.76 ** | −0.60 ** | −0.45 ** | −0.58 ** | −0.29 | −0.59 ** | −0.46 ** | −0.57 ** | |||||||
| qP | 1 | −0.74 ** | 0.15 | −0.51 ** | −0.06 | 0.24 | −0.04 | 0.2 | 0.70 ** | 0.69 ** | −0.61 ** | −0.49 ** | −0.61 ** | −0.31 | −0.58 ** | −0.50 ** | −0.63 ** | ||||||||
| NPQ | 1 | −0.09 | 0.52 ** | 0.21 | −0.07 | 0.17 | 0.08 | −0.55 ** | −0.57 ** | 0.40 * | 0.65 ** | 0.69 ** | 0.50 ** | 0.48 ** | 0.56 ** | 0.80 ** | |||||||||
| Filling stage | LAI | 1 | 0.56 ** | 0.49 ** | 0.17 | 0.56 ** | −0.05 | −0.15 | −0.11 | 0.31 | 0.57 ** | 0.45 ** | 0.66 ** | 0.54 ** | −0.43* | 0.31 | |||||||||
| Pn | 1 | 0.61 ** | −0.09 | 0.64 ** | −0.06 | −0.66 ** | −0.67 ** | 0.70 ** | 0.85 ** | 0.86 ** | 0.74 ** | 0.86 ** | 0.18 | 0.82 ** | |||||||||||
| gs | 1 | 0.36 * | 0.85 ** | 0.04 | −0.23 | −0.27 | 0.28 | 0.53 ** | 0.58 ** | 0.46 ** | 0.49 ** | 0.22 | 0.53 ** | ||||||||||||
| Ci | 1 | 0.11 | 0.25 | 0.26 | 0.21 | −0.33 | 0.14 | 0.08 | 0.2 | 0.03 | −0.25 | 0.07 | |||||||||||||
| Tr | 1 | 0.04 | −0.3 | −0.34 | 0.35 * | 0.53 ** | 0.59 ** | 0.42 * | 0.51 ** | 0.22 | 0.49 ** | ||||||||||||||
| Fv/Fm | 1 | 0.39 * | 0.34 | −0.18 | 0.12 | −0.05 | 0.21 | −0.34 | 0.02 | 0.16 | |||||||||||||||
| ΦPSⅡ | 1 | 0.99 ** | −0.60 ** | −0.57 ** | −0.67 ** | −0.42 * | −0.73 ** | −0.19 | −0.52 ** | ||||||||||||||||
| qP | 1 | −0.58 ** | −0.58 ** | −0.69 ** | −0.42 * | −0.72 ** | −0.22 | −0.55 ** | |||||||||||||||||
| NPQ | 1 | 0.59 ** | 0.66 ** | 0.41 * | 0.62 ** | 0.26 | 0.57 ** | ||||||||||||||||||
| TDA | 1 | 0.93 ** | 0.91 ** | 0.78 ** | 0.08 | 0.90 ** | |||||||||||||||||||
| DAR | 1 | 0.73 ** | 0.87 ** | 0.31 | 0.90 ** | ||||||||||||||||||||
| Spike number | 1 | 0.61 ** | −0.2 | 0.75 ** | |||||||||||||||||||||
| Kernels per ear | 1 | 0.1 | 0.71 ** | ||||||||||||||||||||||
| 1000-Grain weight | 1 | 0.44 * | |||||||||||||||||||||||
| Yield | 1 | ||||||||||||||||||||||||
Publisher’s Note: MDPI stays neutral with regard to jurisdictional claims in published maps and institutional affiliations. |
© 2021 by the authors. Licensee MDPI, Basel, Switzerland. This article is an open access article distributed under the terms and conditions of the Creative Commons Attribution (CC BY) license (https://creativecommons.org/licenses/by/4.0/).
Share and Cite
Zhang, H.; Zhao, Q.; Wang, Z.; Wang, L.; Li, X.; Fan, Z.; Zhang, Y.; Li, J.; Gao, X.; Shi, J.; et al. Effects of Nitrogen Fertilizer on Photosynthetic Characteristics, Biomass, and Yield of Wheat under Different Shading Conditions. Agronomy 2021, 11, 1989. https://doi.org/10.3390/agronomy11101989
Zhang H, Zhao Q, Wang Z, Wang L, Li X, Fan Z, Zhang Y, Li J, Gao X, Shi J, et al. Effects of Nitrogen Fertilizer on Photosynthetic Characteristics, Biomass, and Yield of Wheat under Different Shading Conditions. Agronomy. 2021; 11(10):1989. https://doi.org/10.3390/agronomy11101989
Chicago/Turabian StyleZhang, Hongzhi, Qi Zhao, Zhong Wang, Lihong Wang, Xiaorong Li, Zheru Fan, Yueqiang Zhang, Jianfeng Li, Xin Gao, Jia Shi, and et al. 2021. "Effects of Nitrogen Fertilizer on Photosynthetic Characteristics, Biomass, and Yield of Wheat under Different Shading Conditions" Agronomy 11, no. 10: 1989. https://doi.org/10.3390/agronomy11101989
APA StyleZhang, H., Zhao, Q., Wang, Z., Wang, L., Li, X., Fan, Z., Zhang, Y., Li, J., Gao, X., Shi, J., & Chen, F. (2021). Effects of Nitrogen Fertilizer on Photosynthetic Characteristics, Biomass, and Yield of Wheat under Different Shading Conditions. Agronomy, 11(10), 1989. https://doi.org/10.3390/agronomy11101989
